Reconstruction of the Standardized Precipitation-Evapotranspiration Index for the Western Region of Durango State, Mexico
Abstract
1. Introduction
2. Materials and Methods
2.1. Development of Chronologies
2.2. Climate Data Gathering and SPEI Calculation
2.3. Correlation Analysis and Response Function
2.4. Reconstruction Model Calibration and Verification
2.5. Comparison with Other Drought Indices
2.6. Spatial Representativeness of the Reconstructed SPEI
2.7. Ocean–Atmosphere Circulation Modes
3. Results
3.1. Total Ring Width, Earlywood, and Latewood Chronologies
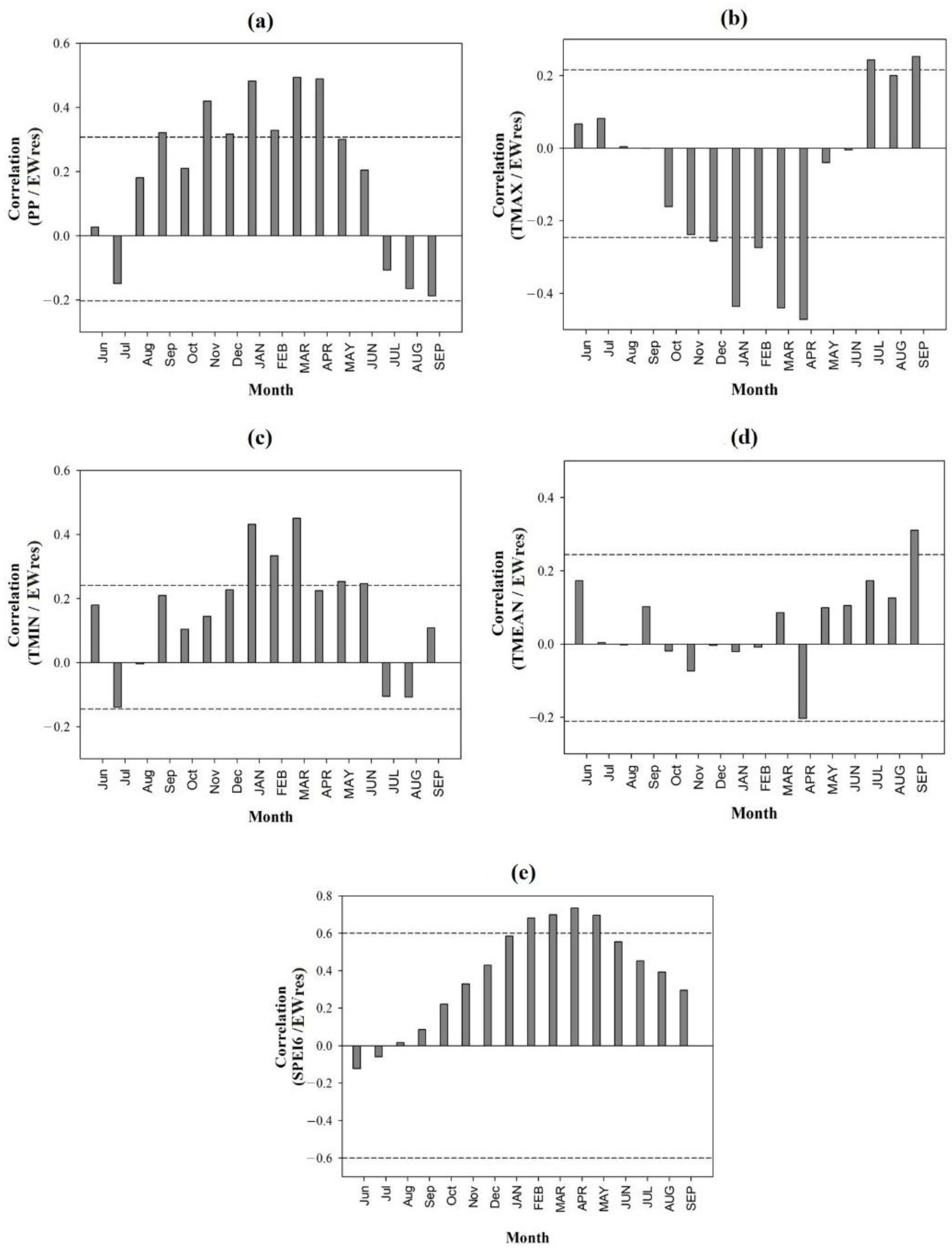
3.2. Relationship between Tree Growth and Climate
3.3. SPEI Reconstruction
3.4. Comparison of the Reconstructed SPEI with Other Drought Indices
Influence of Ocean-Atmosphere Phenomena
4. Discussion
5. Conclusions
Author Contributions
Funding
Institutional Review Board Statement
Informed Consent Statement
Data Availability Statement
Acknowledgments
Conflicts of Interest
References
- Trenberth, K.; Overpeck, J.; Solomon, S. Exploring Drought and Its Implications for the Future. Eos Trans. Am. Geophys. Union 2004, 85, 27. [Google Scholar] [CrossRef]
- IPCC. The Physical Science Basis. In Contribution of Working Group I to the Fifth Assessment Report of the Intergovernmental Panel on Climate Change; Stocker, T.F., Qin, D., Plattner, G.-K., Tignor, M., Allen, S.K., Boschung, J., Nauels, A., Xia, Y., Bex, V., Midgley, P.M., Eds.; Cambridge University Press: Cambridge, UK, 2013. [Google Scholar]
- Ma, Y.; Liu, Y.; Song, H.; Sun, J.; Lei, Y.; Wang, Y. A Standardized Precipitation Evapotranspiration Index Reconstruction in the Taihe Mountains Using Tree-Ring Widths for the Last 283 Years. PLoS ONE 2015, 10, e0133605. [Google Scholar] [CrossRef] [PubMed]
- Wilhite, D.A.; Glantz, M.H. Understanding: The Drought Phenomenon: The Role of Definitions. Water Int. 1985, 10, 111–120. [Google Scholar] [CrossRef]
- Vicente-Serrano, S.M.; Beguería, S.; López-Moreno, J.I. A Multiscalar Drought Index Sensitive to Global Warming: The Standardized Precipitation Evapotranspiration Index. J. Clim. 2010, 23, 1696–1718. [Google Scholar] [CrossRef]
- Eslamian, S.; Ostad-Ali-Askari, K.; Singh, V.; Dalezios, N.; Ghane, M.; Yihdego, Y.; Matouq, M. A Review of Drought Indices. Int. J. Constr. Res. Civ. Eng. 2017, 3, 48–66. [Google Scholar] [CrossRef]
- Doughty, C.E.; Metcalfe, D.B.; Girardin, C.A.J.; Amézquita, F.F.; Cabrera, D.G.; Huasco, W.H.; Silva-Espejo, J.E.; Araujo-Murakami, A.; da Costa, M.C.; Rocha, W.; et al. Drought Impact on Forest Carbon Dynamics and Fluxes in Amazonia. Nature 2015, 519, 78–82. [Google Scholar] [CrossRef]
- Stephens, S.L.; Agee, J.K.; Fule, P.Z.; North, M.P.; Romme, W.H.; Swetnam, T.W.; Turner, M.G. Managing Forests and Fire in Changing Climates. Science 2013, 342, 41–42. [Google Scholar] [CrossRef] [PubMed]
- Mukherjee, S.; Mishra, A.; Trenberth, K.E. Climate Change and Drought: A Perspective on Drought Indices. Curr. Clim. Chang. Rep. 2018, 4, 145–163. [Google Scholar] [CrossRef]
- Villanueva-Díaz, J.; Cerano Paredes, J.; Stahle, D.W.; Constante García, V.; Vázquez Salem, L.; Estrada Ávalos, J.; Benavides Solorio, J.d.D. Árboles Longevos de México. Rev. Mex. Cienc. For. 2010, 1, 7–30. [Google Scholar]
- Osorio-Osorio, J.A.; Astudillo-Sánchez, C.-C.; Villanueva-Díaz, J.; Soria-Díaz, L.; Vargas-Tristán, V. Reconstrucción Histórica de La Precipitación En La Reserva de La Biosfera El Cielo, México, Mediante Anillos de Crecimiento En Taxodium Mucronatum (Cupressaceae). Rev. Biol. Trop. 2020, 68, 818–832. [Google Scholar] [CrossRef]
- Martínez-Sifuentes, A.R.; Villanueva-Díaz, J.; Correa-Díaz, A.; Estrada-Ávalos, J.; Trucíos-Caciano, R.; Estrada-Arellano, J.R.; Cardoza-Martínez, G.F.; Garza-Martínez, M.Á. Dendroclimatic Reconstruction of Precipitation and Temperature for the Mayo River Basin in Northwestern Mexico. Trees 2022, 36, 835–847. [Google Scholar] [CrossRef]
- Villanueva-Diaz, J.; Stahle, D.W.; Luckman, B.H.; Cerano-Paredes, J.; Therrell, M.D.; Cleaveland, M.K.; Cornejo-Oviedo, E. Winter-Spring Precipitation Reconstructions from Tree Rings for Northeast Mexico. Clim. Chang. 2007, 83, 117–131. [Google Scholar] [CrossRef]
- Villanueva-Díaz, J.; Martínez-Sifuentes, A.R.; Quiñonez-Barraza, G.; Estrada-Ávalos; Perez-Evangelista, E.R.; del Rocío Reyes-Camarillo, F.; Reyes-Camarillo, R. Annual Radial Growth and Climatic Response of Quercus Crassifolia Bonpl. in Northwestern Durango, Mexico. Trees 2021, 35, 783–798. [Google Scholar] [CrossRef]
- Villanueva-Díaz, J.; Martínez-Sifuentes, A.-R.; Reyes-Camarillo, F.-R.; Estrada-Ávalos, J. Reconstrucción de Precipitación y Temperatura Con Anillos de Crecimiento Anual Del Ciprés Taxodium Mucronatum (Taxodiaceae) En Coahuila, México. Rev. Biol. Trop. 2021, 69, 302–316. [Google Scholar] [CrossRef]
- Brito-Castillo, L.; Díaz-Castro, S.; Salinas-Zavala, C.A.; Douglas, A.V. Reconstruction of Long-Term Winter Streamflow in the Gulf of California Continental Watershed. J. Hydrol. 2003, 278, 39–50. [Google Scholar] [CrossRef]
- Martínez-Sifuentes, A.R.; Villanueva-Díaz, J.; Carlón-Allende, T.; Estrada-Ávalos, J. 243 Years of Reconstructed Streamflow Volume and Identification of Extreme Hydroclimatic Events in the Conchos River Basin, Chihuahua, Mexico. Trees 2020, 34, 1347–1361. [Google Scholar] [CrossRef]
- Stahle, D.W.; Cook, E.R.; Burnette, D.J.; Villanueva, J.; Cerano, J.; Burns, J.N.; Griffin, D.; Cook, B.I.; Acuña, R.; Torbenson, M.C.A.; et al. The Mexican Drought Atlas: Tree-Ring Reconstructions of the Soil Moisture Balance during the Late Pre-Hispanic, Colonial, and Modern Eras. Quat. Sci. Rev. 2016, 149, 34–60. [Google Scholar] [CrossRef]
- Villanueva-Díaz, J.; Stahle, D.W.; Therrell, M.D.; Beramendi-Orosco, L.; Estrada-Ávalos, J.; Martínez-Sifuentes, A.R.; Astudillo-Sánchez, C.C.; Cervantes-Martínez, R.; Cerano-Paredes, J. The Climatic Response of Baldcypress (Taxodium mucronatum Ten.) in San Luis Potosi, Mexico. Trees 2020, 34, 623–635. [Google Scholar] [CrossRef]
- Zargar, A.; Sadiq, R.; Naser, B.; Khan, F.I. A Review of Drought Indices. Environ. Rev. 2011, 19, 333–349. [Google Scholar] [CrossRef]
- Wells, N.; Goddard, S.; Hayes, M.J. A Self-Calibrating Palmer Drought Severity Index. J. Clim. 2004, 17, 2335–2351. [Google Scholar] [CrossRef]
- Hayes, M.J.; Svoboda, M.D.; Wiihite, D.A.; Vanyarkho, O.V. Monitoring the 1996 Drought Using the Standardized Precipitation Index. Bull. Am. Meteorol. Soc. 1999, 80, 429–438. [Google Scholar] [CrossRef]
- García, M.E. Modificaciones Al Sistema de Clasificación Climática de Köppen, 4th ed.; Instituto de Geografía, Ed.; Universidad Nacional Autónoma de México: Mexico City, Mexico, 1981. [Google Scholar]
- Quiñonez-Barraza, G.; Zhao, D.; De Los Santos Posadas, H.M.; Corral-Rivas, J.J. Considering Neighborhood Effects Improves Individual Dbh Growth Models for Natural Mixed-Species Forests in Mexico. Ann. For. Sci. 2018, 75, 78. [Google Scholar] [CrossRef]
- FAO. World Reference Base for Soil Resources 2014; FAO: Rome, Italy, 2015. [Google Scholar]
- González, E.M.; Márquez, L.M.A. Vegetación y Ecorregiones de Durango; Plaza y Valdés: Mexico City, Mexico, 2007. [Google Scholar]
- INEGI. Continuo Mexicano de Elevaciones (CEM) 3.0 [Mexican Continuous Elevation 3.0]; INEGI: Aguascalientes, Mexico, 2013.
- Stokes, M.A.; Smiley, T.L. An Introduction to Tree Ring Dating; University of Chicago Press: Chicago, IL, USA, 1968. [Google Scholar]
- Holmes, R.L.; Adams, R.K.; Fritts, H.C. Tree-Ring Chronologies of Western North America: California, Eastern Oregon and Northern Great Basin with Procedures Used in the Chronology Development Work Including Users Manuals for Computer Programs COFECHA and ARSTAN; Laboratory of Tree-Ring Research, University of Arizona: Tucson, AZ, USA, 1986. [Google Scholar]
- Fritts, H.C. Tree Rings and Climate; Academic Press: London, UK; New York, NY, USA, 1976. [Google Scholar]
- Bunn, A.G. A Dendrochronology Program Library in R (DplR). Dendrochronologia 2008, 26, 115–124. [Google Scholar] [CrossRef]
- R Core Team. R: A Language and Environment for Statistical Computing; R Foundation for Statistical Computing 2020; R Core Team: Vienna, Austria, 2020. [Google Scholar]
- Briffa, K.; Jones, P.D. Basic Chronology Statistics and Assessment. In Methods of Dendrochronology: Applications in the Environmental Sciences; Cook, E.R., Kairiukstis, L.A., Eds.; Kluwer Academic Publishers: Dordrech, The Netherlands, 1990; pp. 137–162. [Google Scholar]
- Wigley, T.M.L.; Briffa, K.R.; Jones, P.D. On the Average Value of Correlated Time Series, with Applications in Dendroclimatology and Hydrometeorology. J. Appl. Meteorol. Climatol. 1984, 23, 201–213. [Google Scholar] [CrossRef]
- Meko, D.M.; Touchan, R.; Anchukaitis, K.J. Seascorr: A MATLAB Program for Identifying the Seasonal Climate Signal in an Annual Tree-Ring Time Series. Comput. Geosci. 2011, 37, 1234–1241. [Google Scholar] [CrossRef]
- Zang, C.; Biondi, F. Treeclim: An R Package for the Numerical Calibration of Proxy-Climate Relationships. Ecography 2015, 38, 431–436. [Google Scholar] [CrossRef]
- Cleaveland, M.K.; Stahle, D.W.; Therrell, M.D.; Villanueva-Diaz, J.; Burns, B.T. Tree-Ring Reconstructed Winter Precipitation and Tropical Teleconnections in Durango, Mexico. Clim. Chang. 2003, 59, 369–388. [Google Scholar] [CrossRef]
- Cook, E.R.; Meko, D.M.; Stahle, D.W.; Cleaveland, M.K. Drought Reconstructions for the Continental United States. J. Clim. 1999, 12, 1145–1162. [Google Scholar] [CrossRef]
- Steel, R.; Torrie, J. Principles and Procedures of Statistics. A Biometrical Approach, 2nd ed.; McGraw-Hill: New York, NY, USA, 1980. [Google Scholar]
- Stahle, D.W.; Cook, E.R.; Burnette, D.J.; Torbenson, M.C.A.; Howard, I.M.; Griffin, D.; Diaz, J.V.; Cook, B.I.; Williams, A.P.; Watson, E.; et al. Dynamics, Variability, and Change in Seasonal Precipitation Reconstructions for North America. J. Clim. 2020, 33, 3173–3195. [Google Scholar] [CrossRef]
- Wolter, K.; Timlin, M.S. El Niño/Southern Oscillation Behaviour since 1871 as Diagnosed in an Extended Multivariate ENSO Index (MEI.Ext). Int. J. Climatol. 2011, 31, 1074–1087. [Google Scholar] [CrossRef]
- Zhang, T.; Hoell, A.; Perlwitz, J.; Eischeid, J.; Murray, D.; Hoerling, M.; Hamill, T.M. Towards Probabilistic Multivariate ENSO Monitoring. Geophys. Res. Lett. 2019, 46, 10532–10540. [Google Scholar] [CrossRef]
- Zhang, Y.; Wallace, J.M.; Battisti, D.S. ENSO-like Interdecadal Variability: 1900–93. J. Clim. 1997, 10, 1004–1020. [Google Scholar] [CrossRef]
- Mann, M.E.; Lees, J.M. Robust Estimation of Background Noise and Signal Detection in Climatic Time Series. Clim. Chang. 1996, 33, 409–445. [Google Scholar] [CrossRef]
- Perry, J.P. The Pines of México and Central America; Timber Press, Inc.: Portland, OR, USA, 1991. [Google Scholar]
- Hernández-Velasco, J.; Hernández-Díaz, J.C.; Fladung, M.; Cañadas-López, Á.; Prieto-Ruíz, J.Á.; Wehenkel, C. Spatial Genetic Structure in Four Pinus Species in the Sierra Madre Occidental, Durango, Mexico. Can. J. For. Res. 2016, 47, 73–80. [Google Scholar] [CrossRef]
- Simental-Rodriguez, S.L.; Pérez-Luna, A.; Hernández-Díaz, J.C.; Jaramillo-Correa, J.P.; López-Sánchez, C.A.; Flores-Rentería, L.; Carrillo-Parra, A.; Wehenkel, C. Modelling Shifts and Contraction of Seed Zones in Two Mexican Pine Species by Using Molecular Markers. Forests 2021, 12, 570. [Google Scholar] [CrossRef]
- Díaz-Ramírez, B.; Villanueva-Díaz, J.; Cerano-Paredes, J. Reconstrucción de La Precipitación Estacional Con Anillos de Crecimiento Para La Región Hidrológica Presidio-San Pedro. Madera Bosques 2016, 22, 111–123. [Google Scholar] [CrossRef]
- Irby, C.M.; Fulé, P.Z.; Yocom, L.L.; Villanueva Díaz, J. Dendrochronological Reconstruction of Long-Term Precipitation Patterns in Basaseachi National Park, Chihuahua, Mexico. Madera Bosques 2013, 19, 92–105. [Google Scholar]
- González-Cásares, M.; Pompa-García, M.; Camarero, J.J. Differences in Climate–Growth Relationship Indicate Diverse Drought Tolerances among Five Pine Species Coexisting in Northwestern Mexico. Trees 2017, 31, 531–544. [Google Scholar] [CrossRef]
- Acosta-Hernández, A.C.; Padilla-Martínez, J.R.; Hernández-Díaz, J.C.; Prieto-Ruiz, J.A.; Goche-Telles, J.R.; Nájera-Luna, J.A.; Pompa-García, M. Influence of Climate on Carbon Sequestration in Conifers Growing under Contrasting Hydro-Climatic Conditions. Forests 2020, 11, 1134. [Google Scholar] [CrossRef]
- González-Elizondo, M.; González-Elizondo, M.d.S.; Villanueva Díaz, J.; Cerano Paredes, J. Evaluación Del Potencial Dendroclimático de Pinus Lumholtzii B.L. Rob. & Fernald. Rev. Mex. Cienc. For. 2017, 8, 28–54. [Google Scholar]
- Aguirre-Díaz, G.J.; Labarthe-Hernández, G. Fissure Ignimbrites: Fissure-Source Origin for Voluminous Ignimbrites of the Sierra Madre Occidental and Its Relationship with Basin and Range Faulting. Geology 2003, 31, 773–776. [Google Scholar] [CrossRef]
- Wang, Y.; Feng, Q.; Kang, X. Tree-Ring-Based Reconstruction of Temperature Variability (1445–2011) for the Upper Reaches of the Heihe River Basin, Northwest China. J. Arid Land 2016, 8, 60–76. [Google Scholar] [CrossRef]
- Zhou, H.; Chen, Y.; Zhu, C.; Li, Z.; Fang, G.; Li, Y.; Fu, A. Climate Change May Accelerate the Decline of Desert Riparian Forest in the Lower Tarim River, Northwestern China: Evidence from Tree-Rings of Populus Euphratica. Ecol. Indic. 2020, 111, 105997. [Google Scholar] [CrossRef]
- Chávez-Gándara, M.P.; Cerano-Paredes, J.; Nájera-Luna, J.A.; Pereda-Breceda, V.; Esquivel-Arriaga, G.; Cervantes-Martínez, R.; Cambrón-Sandoval, V.H.; Cruz-Cobos, F.; Corral-Rivas, S. Reconstrucción de La Precipitación Invierno-Primavera Con Base En Anillos de Crecimiento de Árboles Para La Región de San Dimas, Durango, México. Bosque 2017, 38, 387–399. [Google Scholar] [CrossRef]
- de Luis, M.; Gričar, J.; Čufar, K.; Raventós, J. Seasonal Dynamics of Wood Formation in Pinus Halepensis from Dry and Semi-Arid Ecosystems in Spain. IAWA J. 2007, 28, 389–404. [Google Scholar] [CrossRef]
- Cherubini, P.; Gartner, B.L.; Tognetti, R.; Bräker, O.U.; Schoch, W.; Innes, J.L. Identification, Measurement and Interpretation of Tree Rings in Woody Species from Mediterranean Climates. Biol. Rev. 2003, 78, 119–148. [Google Scholar] [CrossRef] [PubMed]
- Cerano-Paredes, J.; Villanueva Díaz, J.; Valdez Cepeda, R.D.; Méndez González, J.; Constante García, V. Sequías Reconstruidas En Los Últimos 600 Años Para El Noreste de México. Rev. Mex. Cienc. Agrícolas 2011, 2, 235–249. [Google Scholar]
- Florescano, M.E. Análisis Histórico de Las Sequías En México; Secretaría de Agricultura y Recursos Hidráulicos (SARH): Mexico City, Mexico, 1980. [Google Scholar]
- Villanueva-Díaz, J.; Cerano-Paredes, J.; Estrada-Ávalos, J. Reconstrucción de Precipitación Estacional de Pseudotsuga Menziesii (Mirb.) Franco En Sierra La Madera, Cuatrociénegas, Coahuila. Rev. Mex. Cienc. For. 2008, 33, 17–35. [Google Scholar]
- Cerano-Paredes, J.; Villanueva-Díaz, J.; Fulé, P.Z.; Arreola Ávila, J.G.; Sánchez Cohen, I.; Valdez Cepeda, R.D. Reconstrucción de 350 Años de Precipitación Para El Suroeste de Chihuahua, México. Madera Bosques 2009, 15, 27–44. [Google Scholar] [CrossRef][Green Version]
- Grissino-Mayer, H.D. Tree-Ring Reconstruction of Climate and Fire History at El Malpais National Monument New Mexico; The University of Arizona: Tucson, AZ, USA, 1995. [Google Scholar]
- Woodhouse, C.A.; Stahle, D.W.; Díaz, J.V. Rio Grande and Rio Conchos Water Supply Variability over the Past 500 Years. Clim. Res. 2012, 51, 147–158. [Google Scholar] [CrossRef]
- Ortega-Gaucin, D.; Pérez, M.L.; Cortés, F.I.A. Drought Risk Management in Mexico: Progress and Challenges. Int. J. Saf. Secur. Eng. 2016, 6, 161–170. [Google Scholar] [CrossRef]
- Murray-Tortarolo, G.N.; Jaramillo, V.J. The Impact of Extreme Weather Events on Livestock Populations: The Case of the 2011 Drought in Mexico. Clim. Chang. 2019, 153, 79–89. [Google Scholar] [CrossRef]
- Zúñiga-Vásquez, J.M.; Cisneros-González, D.; Pompa-García, M. Drought Regulates the Burned Forest Areas in Mexico: The Case of 2011, a Record Year. Geocarto Int. 2019, 34, 560–573. [Google Scholar] [CrossRef]
- Colunga, M.; Rivera, F. Drought and Mexico-US Migration. In The State of Environmental Migration; Gemenne, F., Brücker, P., Ionesco, D., Eds.; IDDRI: Paris, France, 2011; pp. 91–106. [Google Scholar]
- Carlón-Allende, T.; Villanueva Díaz, J.; Soto Castro, G.; Mendoza, M.E.; Macías, J.L. Tree Rings as Indicators of Climatic Variation in the Trans-Mexican Volcanic Belt, Central Mexico. Ecol. Indic. 2021, 120, 106920. [Google Scholar] [CrossRef]
- Seaguer, R.; Ting, M.; Davis, M.; Cane, M.; Naik, N.; Nakamura, J.; Li, C.; Cook, E.; Stahle, D.W. Mexican Drought: An Observational Modeling and Tree Ring Study of Variability and Climate Change. Atmósfera 2009, 22, 1–31. [Google Scholar]
- Bruun, J.T.; Allen, J.I.; Smyth, T.J. Heartbeat of the Southern Oscillation Explains ENSO Climatic Resonances. J. Geophys. Res. Ocean. 2017, 122, 6746–6772. [Google Scholar] [CrossRef]
- Castruita-Esparza, L.U.; Silva, L.C.R.; Gómez-Guerrero, A.; Villanueva-Díaz, J.; Correa-Díaz, A.; Horwath, W.R. Coping With Extreme Events: Growth and Water-Use Efficiency of Trees in Western Mexico During the Driest and Wettest Periods of the Past One Hundred Sixty Years. J. Geophys. Res. Biogeosciences 2019, 124, 3419–3431. [Google Scholar] [CrossRef]










| Chronology | Dendrochronological Statistics | |||||
|---|---|---|---|---|---|---|
| Mean | SD | EPS | SI | MS | AC1 | |
| TRWstd | 0.95 | 0.27 | 0.99 | 0.62 | 0.35 | 0.51 |
| EWstd | 0.95 | 0.29 | 0.99 | 0.61 | 0.39 | 0.50 |
| LWstd | 0.95 | 0.22 | 0.98 | 0.44 | 0.37 | 0.49 |
| TRWres | 0.98 | 0.21 | 0.99 | 0.62 | 0.35 | −0.08 |
| EWres | 0.98 | 0.22 | 0.99 | 0.61 | 0.39 | −0.05 |
| LWres | 0.98 | 0.18 | 0.98 | 0.44 | 0.37 | 0.02 |
| Chronology | February | March | April | May |
|---|---|---|---|---|
| TRWstd | 0.66 | 0.66 | 0.65 | 0.62 |
| EWstd | 0.67 | 0.66 | 0.67 | 0.64 |
| LWstd | 0.60 | 0.60 | 0.56 | 0.52 |
| TRWres | 0.68 | 0.71 | 0.73 | 0.69 |
| EWres * | 0.68 | 0.70 | 0.74 | 0.70 |
| LWres | 0.68 | 0.69 | 0.67 | 0.62 |
| Period | r | tV | ST | FND | RE | CE | DW |
|---|---|---|---|---|---|---|---|
| Calibration (1974–1996) | 0.707 | 3.037 | 4 | 3 | 0.476 | 0.476 | 1.865 |
| Verification (1997–2019) | 0.763 | 3.979 | 5 | 5 | 0.626 | 0.626 |
Publisher’s Note: MDPI stays neutral with regard to jurisdictional claims in published maps and institutional affiliations. |
© 2022 by the authors. Licensee MDPI, Basel, Switzerland. This article is an open access article distributed under the terms and conditions of the Creative Commons Attribution (CC BY) license (https://creativecommons.org/licenses/by/4.0/).
Share and Cite
Cabral-Alemán, C.; Villanueva-Díaz, J.; Quiñonez-Barraza, G.; Gómez-Guerrero, A.; Arreola-Ávila, J.G. Reconstruction of the Standardized Precipitation-Evapotranspiration Index for the Western Region of Durango State, Mexico. Forests 2022, 13, 1233. https://doi.org/10.3390/f13081233
Cabral-Alemán C, Villanueva-Díaz J, Quiñonez-Barraza G, Gómez-Guerrero A, Arreola-Ávila JG. Reconstruction of the Standardized Precipitation-Evapotranspiration Index for the Western Region of Durango State, Mexico. Forests. 2022; 13(8):1233. https://doi.org/10.3390/f13081233
Chicago/Turabian StyleCabral-Alemán, Citlalli, José Villanueva-Díaz, Gerónimo Quiñonez-Barraza, Armando Gómez-Guerrero, and Jesús Guadalupe Arreola-Ávila. 2022. "Reconstruction of the Standardized Precipitation-Evapotranspiration Index for the Western Region of Durango State, Mexico" Forests 13, no. 8: 1233. https://doi.org/10.3390/f13081233
APA StyleCabral-Alemán, C., Villanueva-Díaz, J., Quiñonez-Barraza, G., Gómez-Guerrero, A., & Arreola-Ávila, J. G. (2022). Reconstruction of the Standardized Precipitation-Evapotranspiration Index for the Western Region of Durango State, Mexico. Forests, 13(8), 1233. https://doi.org/10.3390/f13081233

