Simple Summary
Moso bamboo (Phyllostachys edulis) expansion caused substantial changes in the ecosystem process. Changes in plant–soil chemical characteristics and microbial community compositions have not been thoroughly studied. To understand changes in forest ecosystem process and the underlining microbial community compositions, we studied changes in plant–soil chemical characteristics and microbial community compositions. The results showed that moso bamboo expansion into Japanese cedar plantations altered litter C:N and divergently affected soil fungal and bacterial community compositions. Specifically, moso bamboo expansion decreased soil organic carbon, total nitrogen, litter carbon, and the carbon to nitrogen ratio. Moso bamboo expansion also increased soil NH4+-N and pH, while it decreased fungi OTUs at the phyla, class, order, family, and genus levels. The expansion of moso bamboo into Japanese cedar substantially altered soil-fungal- and bacterial-community structure, which might have implications for changes in the ecosystem element-cycling process.
Abstract
Moso bamboo expansion is common across the world. The expansion of moso bamboo into adjacent forests altered plant and soil characteristics. While the community structure of soil fungi and bacteria plays an important role in maintaining the function of forest ecosystems, changes in microbial community compositions remain unclear, limiting our understanding of ecological process changes following moso bamboo expansion. To explore changes in the community structure of soil fungi and bacteria in Japanese cedar plantations experiencing expansion of moso bamboo, Illumina NovaSeq high-throughput sequencing technology was used to elucidate changes in soil microbial communities as well as alteration in litter and soil chemical characteristics. The results showed that moso bamboo expansion decreased content of soil organic carbon, total nitrogen, litter carbon, and the carbon to nitrogen ratio as well as the number of bacterial operational taxonomic units (OTUs) at the genus level, the α-diversity Simple index, and the abundance of Acidobacteria, Chloroflexi, and Gemmatimonadetes. Moso bamboo expansion also increased soil NH4+-N, pH, while it decreased fungi OTUs at the phyla, class, order, family, and genus level. The expansion of moso bamboo into Japanese cedar substantially altered soil fungal and bacterial community structure, which might have implications for changes in the ecosystem element-cycling process. In the forest ecosystem and expansion management of moso bamboo, the types and different expansion stages of moso bamboo should be paid attention to, in the assessment of ecological effects and soil microbial structure.
1. Introduction
Biological invasion is a global problem, resulting in major changes to ecosystem diversity and stability [1,2]. The introduction of exotic plants into new habitats within a certain period and with limited space can cause environmental degradation, resource shortages, natural disasters, and other phenomena, thus altering the original ecological balance and reducing biological diversity [2,3,4,5]. When alien plants are introduced into a new environment, they exhibit strong adaptability and growth advantages due to changes in the external environmental factors [1,6,7], ultimately causing changes to the soil carbon and nitrogen cycle and the microbial structure.
Bamboo is widely regarded as one of the most economically useful species in the 21st century and is mainly distributed in the tropical and subtropical regions of the Asia-Pacific, Africa, and Latin America [8]. Moso bamboo (Phyllostachys edulis) is a very important forest resource in southern China [9]. Moso bamboo has the biological characteristics of rapid growth and a strong reproductive capacity. Its rhizomes are also characterized as being strongly aggressive and being able to gradually spread into the adjacent forest vegetation, resulting in an expansion phenomenon in the stand, thus forming a mixed forest or even a pure bamboo forest [10].
The expansion of moso bamboo can seriously threaten the adjacent forest vegetation and lead to the death of the surrounding forest vegetation, thus altering the vegetation community structure and reducing biodiversity [9]. The expansion of moso bamboo reduces soil organic matter carbon [8,11], nitrogen transform rates [10,12], and the changes to soil microorganisms mainly depend on the original soil type [9,13,14]. The expansion of moso bamboo also causes significant changes in the emissions of the soil greenhouse gases nitrous oxide and carbon dioxide [15,16,17,18,19].
Soil microorganisms are an important component of forest ecosystems and play a significant role in the mineralization of soil organic matter and nutrient cycling [20]. Fungi and bacteria are the main components of the soil microbial community, and their abundance and diversity are directly affected by soil properties and environmental factors [21], which are of great significance for energy conversion and material circulation [22]. Different environmental conditions and vegetation types can change the structure and function of the soil microbial community [23,24]. Changes in stand types have different effects on the community structure, root exudates, litter quantity and quality, and nutrient availability. Therefore, in recent years, soil microbial diversity has become a pertinent issue in the field of ecology [25]. Fang et al. [26] studied changes in the soil nitrogen cycle, as affected by Japanese cedar and moso bamboo, by adding biological inhibitors. However, there are few studies on soil microbial diversity under different expanding stages.
The expansion of moso bamboo into surrounding forests will reduce species diversity and alter the vegetation type [27]. Vegetation-species composition plays an important role in soil microbial-community structure [28,29]. The expansion of moso bamboo leads to alterations in the forest-species composition, which has a direct impact on soil microbial-community structure, in turn affecting plant development, plant-community composition, and ecosystem functioning. Here, soil microbial communities’ compositions as well as litter and soil carbon and nitrogen status, during different expanding stages of moso bamboo, were studied. We predicted that (1) litter and soil carbon and nitrogen status differ with expanding stages of moso bamboo; (2) soil microbial-community compositions altered differently between microbial and fungal communities, in response to the expansion of moso bamboo. We expected clearly separated changes in both biotic compositions and abiotic characteristics along the expanding stages of moso bamboo.
2. Materials and Methods
2.1. Study Area
This study area was in Lushan Nature Reserve in Jiangxi province, encompassing a total area of 30.2 km2. The region has a subtropical monsoon climate, an annual average rainfall of 2070 mm, an annual average temperature of 11.6 °C, a maximum temperature of 31.1 °C, and a minimum temperature of −16.7 °C. The average annual fog days are 191 days, and the frost periods are 150 days. In recent years, many moso bamboo forests have been expanding into the surrounding Japanese cedar forests, in areas over 800 m above sea level. Moreover, the number of moso bamboo plants has increased sharply, which greatly affects the forest landscape pattern and the stability of the forest ecosystem in the protected area.
2.2. Experimental Design and Sample Collection
Complete randomized experimental design was used in this study. Japanese cedar forests with different mixing rate of moso bamboo were selected to represent the expanding stage of moso bamboo into Japanese cedar plantations. Specifically, the research area was divided into four treatments, including Japanese cedar forests (115°57′17″ E, 29°32′42″ N), altitude 980 m; mixed 1 (30% moso bamboo and 70% Japanese cedar) (115°57′21″ E, 29°32′46″ N), altitude 980 m; mixed 2 (60% moso bamboo and 40% Japanese cedar) (115°57′12″ E, 29°32′44″ N), altitude 960 m; and moso bamboo forests (115°57′12″ E, 29°32′44″ N), altitude 950 m. Each treatment including four replications, and each of them were separated by at least 500 m in the studied area. In July 2020, soils were collected from four 20 × 20 m sample plots. A five-point sampling method was adopted, and a soil drill (diameter of 5 cm) was used to take soil samples from the 0–20-cm soil layer, which were transported back to the laboratory in an icebox. The soil samples from the five points were mixed evenly by plots, the visible stones and plant residues (such as roots, stems and leaves) were carefully removed from the fresh samples, and the samples were then passed through a 2-mm sieve for the experiment. At the same time, the litter of Japanese cedar and moso bamboo were collected and brought back to the laboratory.
2.3. Soil and Litter Chemical Characteristic Analyses
We removed part of the soil sample for air drying, one part for the determination of soil pH, and another part for the determination of soil total organic carbon (TOC) and total nitrogen (TN), after screening with a pore sieve of 0.149 mm. Some of the remaining fresh samples were placed at 4 °C and measured for available nitrogen (AN = NH4+-N + NO3−-N) soon after, while the other samples were placed in a −80 °C refrigerator for microbiological measurements [30]. Soil pH was calculated using the electric electrode method (water: soil = 2.5:1) (Metter Toledo, Shanghai, China). Moso bamboo and Japanese cedar litter was dried at 60 °C and weighed, and the litter carbon (LC) and litter total nitrogen (LN) contents were determined after passing through a 0.149-mm aperture sieve. TOC and LC were determined by the potassium dichromic (H2SO4–K2Cr2O7) method; and soil TN and LN, NO3−-N, and NH4+-N were determined by automatic analyzer (Smart Chem 200, Westco, Rome, Italy) after being extracted by 2 mol L−1 KCl solution [30].
2.4. DNA Extraction and Gene Sequencing
DNA (Deoxyribonucleic acid) was extracted from 0.5 g of fresh soil samples, and the DNA concentration and purity (0.8% agarose gel) were monitored. The primers used for bacterial 16S rRNA were 338F: 5′-ACTCCTACGGGAGGCAGCA-3′, 806R: 5′-GGACTACHVGGGTWTCTAAT-3′ for the V4 region. The soil fungal ITS1 region was detected by 18S rRNA, and PCR amplification was performed. The primer sequences were ITS5F: 5′-GGAAGTAAAAGTCGTAACAAGG-3′ and ITS2R: 5′-GCTGCGTTCTTCATCGATGC-3′. Approximately 2 μL of template DNA, 1 μL of each forward and reverse primer, and 15 μL of Phusion High-Fidelity PCR Master Mix (New England Biolabs, Ipswich, MA USA) were used for the PCR reactions. The thermal-cycling program was as follows: after the components required for the PCR (Polymerase Chain Reaction) reaction were configured, the template DNA was fully denatured at 98 °C for 30 s on the PCR instrument, following which the amplification cycle was entered. In each cycle, the template was denatured by maintaining it at 98 °C for 15 s, following which the temperature was reduced to 50 °C for 30 s, allowing for the primer and template to be fully annealed. At 72 °C for 30 s, the primer was extended on the template to synthesize DNA, completing a cycle. This cycle was repeated 25 to 27 times, resulting in a large accumulation of amplified DNA fragments. Finally, the product was kept at 72 °C for 5 min to complete the extension and was stored at 4 °C. The amplification results were electrophoresed by 2% agarose gel. The target fragment was cut and then recovered with an Axygen gel recovery kit. The samples were sequenced using the Illumina NovaSeq platform for high-throughput sequencing by Shanghai Personalbio Technology (Shanghai, China).
2.5. Statistical Analyses
One-way analysis of variance was used to examine the effects of moso bamboo expansion on soil chemical properties, microbial-community compositions, diversity and species abundance, and litter chemical properties. Post hoc Student’s t-tests were used to examine significant differences among treatment in multiple comparisons. All analyses were performed by JMP 9.0 (SAS Institute, Cary, NC, USA).
3. Results
3.1. Results and Analysis
3.1.1. Changes in Soil and Litter Chemical Characteristics
Different stand types had different effects on the chemical properties of the soil. In terms of soil pH and NH4+-N, moso bamboo and mixed 2 were significantly higher than Japanese cedar and mixed 1 (Table 1). In terms of soil NO3−-N, there were significant differences among Japanese cedar, mixed, and moso bamboo, and the trend of mixed 1 > moso bamboo > mixed 2 > Japanese cedar indicated that soil NO3−-N in the expansion area tended to increase during moso bamboo expansion. In terms of soil organic carbon and nitrogen, Japanese cedar and mixed 1 were significantly higher than moso bamboo and mixed 2, indicating that the contents of soil TOC and TN tended to decrease during the expansion of moso bamboo. In terms of litter organic carbon and the litter carbon–nitrogen ratio, Japanese cedar was significantly higher than moso bamboo. There was no significant difference in litter nitrogen (Table 1).
Table 1.
Chemical properties (means ± se) of soil (Japanese cedar, mixed 1, mixed 2, and moso bamboo) and litter (Japanese cedar and moso bamboo). p values based on one-way ANOVA are shown. Means with the same letter indicate no significant difference in post hoc tests. Results with significant p values are shown in bold.
3.1.2. Changes in Fungal-Community Structure
The high-throughput sequencing results showed that there were significant differences in the number of soil fungi operational taxonomic units (OTUs) in the four vegetation types at the phylum, class, order, family, and genus levels (Table 2, Figure 1). At the phylum level, the numbers of OTUs in mixed 2 were significantly higher than in Japanese cedar. At the level of class and order, mixed 2 and moso bamboo were significantly higher than mixed 1 and Japanese cedar. At the family level, there were significant differences between Japanese cedar, mixed, and moso bamboo in the order of moso bamboo > mixed 2 > mixed 1 > Japanese cedar. At the genus level, mixed 1, mixed 2, and moso bamboo were significantly higher than Japanese cedar. This indicated that the number of OTUs in the soil fungal of moso bamboo exhibited an increasing trend.
Table 2.
Effect of moso bamboo expansion on the number of OTUs of soil microbial fungi and bacteria in ANOVAs. Results with significant p values are shown in bold.
Figure 1.
Effect of different vegetation types on the number of soil fungal and bacterial OTUs (means ± se): (a) number of soil fungal OTUs, (b) number of soil bacterial OTUs. Different letters above columns in the same color indicate significantly different.
The changes in the biodiversity of the soil fungal communities in the four vegetation types differed. There was no significant difference in the diversity index of the soil fungal community (goods coverage, Pielou’s evenness, and simple), but there were significant differences in the Chao1, observed species, and Shannon indexes. Additionally, in terms of the Chao1 and observed species diversity indexes, mixed 2 and moso bamboo were significantly higher than Japanese cedar. In terms of the α-diversity Shannon index, moso bamboo was higher than Japanese cedar (Table 3, Figure 2).
Table 3.
Effects of moso bamboo expansion on soil microbial fungi and bacteria α-diversity in ANOVAs. Results with significant p values are shown in bold.
Figure 2.
Effect of different vegetation types on soil fungal and bacterial α-diversity index (means ± se). (a) Fungal a diversity Chao1 and observed species index, (b) fungal a diversity Shannon index, (c) bacterial a diversity Simpson index. Different letters above columns in the same color indicate significantly different.
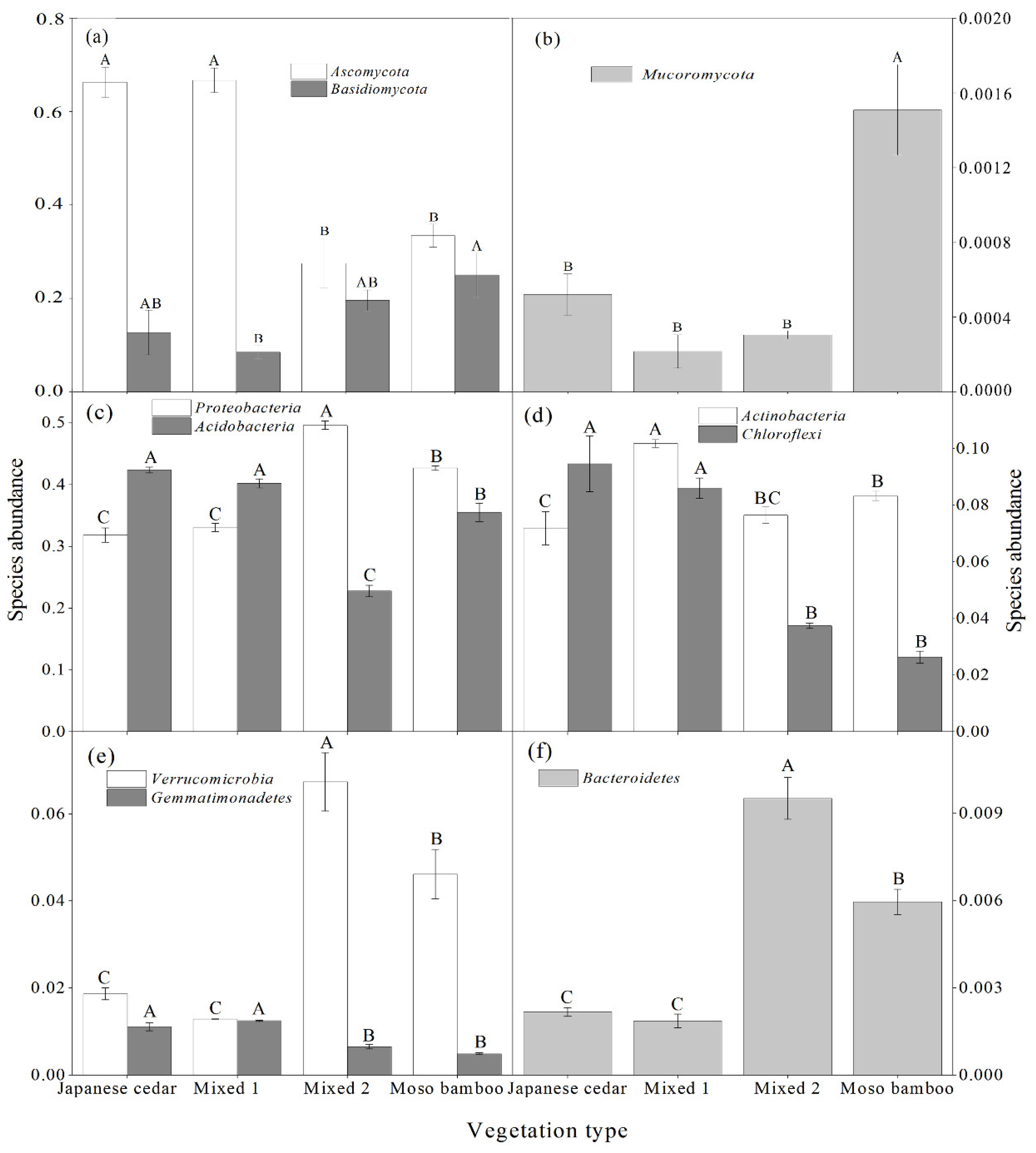
The relative abundances of the soil fungal species at the phylum level of the four vegetation types differed. Basidiomycota and Mucoromycota were significantly higher in moso bamboo than in Japanese cedar and mixed 1. However, among Ascomycota species, Japanese cedar and mixed 1 were significantly higher than mixed 2 and moso bamboo (Figure 3).
3.1.3. Changes in Bacterial Community Structure
The results of the high-throughput sequencing showed that there were significant differences in the number of soil bacterial OTUs in the four vegetation types at the order, family, and genus levels, but no significant differences at the phylum and class levels (Table 3, Figure 1). At the order level, Japanese cedar, mixed 1, and moso bamboo possessed significantly more OTUs than mixed 2. At the family level, moso bamboo and mixed 2 were significantly higher than Japanese cedar. At the genus level, Japanese cedar and mixed 1 were significantly higher than moso bamboo and mixed 2.
The diversity of soil bacteria in the four vegetation types differed. There was no significant difference in the soil bacterial-community diversity indexes (Chao1, goods coverage, observed species, Pielou’s evenness, Shannon). There was a highly significant difference in the simple diversity index, in the order of Japanese cedar and mixed 1 > moso bamboo > mixed 2 (Table 2, Figure 2), indicating a downward trend in the soil bacterial diversity with moso bamboo expansion.
The relative abundances of the soil bacteria of the four vegetation types at the phylum level differed greatly. The three species of Acidobacteria, Chloroflexi, and Gemmatimonadetes were significantly higher in Japanese cedar and mixed 1 than in moso bamboo. Among the three species of Proteobacteria, Verrucomicrobia, and Bacteroidetes, the four vegetation types differed significantly in the order of mixed 2 > moso bamboo > Japanese cedar (Figure 3).
Figure 3.
Effect of different vegetation types on species abundance of soil fungal and bacterial at the phylum level (means ± se). (a) Fungal species Ascomycota and Asidiomycota, (b) fungal species Mucoromycota, (c) bacterial species Proteobacteria and Acidobacteria, (d) bacterial species Actinobacteria and Chloroflexi, (e) bacterial species Verrucomicrobia and Gemmatimonadetes, (f) bacterial species Bacteroidetes. Different letters above columns in the same color indicate significantly different.
4. Discussion
4.1. Changes in Soil and Litter Chemical Characteristics
The transformation of vegetation-stand types has a certain impact on the physical and chemical properties of soil as well as litter and nutrient cycling [31]. Compared with Japanese cedar forests, the soil NH4+-N contents of mixed 2 and moso bamboo increased significantly, soil and litter organic matter carbon decreased significantly, and total nitrogen showed a trend of first increasing and then decreasing. The carbon–nitrogen ratio of Japanese cedar forest was significantly higher than that of moso bamboo, indicating that Japanese cedar forest has strong carbon-sequestration ability and strong carbon-assimilation ability. So, the expansion of moso bamboo in Japanese cedar forests has a certain impact on the soil carbon and nitrogen cycle. However, due to the characteristics of moso bamboo, the expansion of moso bamboo will lead to the death of other surrounding plants due to the failure of nutrient competition. Therefore, the underground biomass of plants will decrease, resulting in a decrease in soil organic carbon and total nitrogen content [10]. Conversely, the decreased soil organic carbon and total nitrogen may be related to the decomposition rate of the litter. The rate of decay of Japanese cedar litter is lower than that of moso bamboo litter. This may, therefore, accelerate the degradation of soil organic carbon and the total nitrogen absorption of moso bamboo forests [32,33]. The total nitrogen content of the soil under moso bamboo expansion decreased, indicating that the overall absorption of nitrogen during moso bamboo expansion was higher than that of Japanese cedar, which may be related to the increased available nitrogen in the plant. Moso bamboo expansion resulted in increased soil pH, which may have altered some ammonia-oxidizing bacteria and ammonia-oxidizing archaea or may also be due to changes in chemical properties such as cation exchange [34].
4.2. Changes in Fungal Community Structure
In this study, there were great differences in the soil fungal-community structure among the four stand structures. Changes in vegetation types will also alter soil fungal communities. The number of soil fungi OTUs of moso bamboo showed an increasing trend. The soil fungi diversity, as measured by the Chao1 and observed species indexes, indicated that Basidiomycota and Mucoromycota were significantly higher in mixed 2 and moso bamboo than in Japanese cedar. Therefore, the expansion of moso bamboo in Japanese cedar forests significantly increased soil fungal diversity, resulting in increased number of soil pathogens and symbiotic groups, altered soil fungal community structure and function, and enzyme activities [35]. The expansion of moso bamboo is also associated with differences in plant biomass inputs and outputs, thus affecting the composition of soil microbial communities [36,37].
4.3. Changes in Bacterial Community Structure
Soil bacteria are sensitive indicators of soil change. Increased plant diversity leads to increased soil microbial diversity. In this study, in terms of the simple index of bacterial diversity, Acidobacteria, Chloroflexi, and Gemmatimonadetes were significantly higher in Japanese cedar and mixed 1 than in moso bamboo. This is consistent with the findings of Lin et al. [24], whereby the expansion of moso bamboo reduced the plant diversity and the soil microbial bacterial-community structure and diversity. The allelopathy produced by the leaves of moso bamboo leads to a decrease in the diversity of the bacterial-community structure [13]. Additionally, plant diversity decreases with moso bamboo expansion, resulting in weakened competition between vegetation types, which, in turn, gradually increases the mutual benefit and encourages the frequent exchange of substances between the rhizosphere, and the resulting changes in rhizosphere exudates and decline in community productivity may lead to changes in the composition of the bacterial community [34].
4.4. Relationship between Soil Physical and Chemical Properties and Microbes of Moso Bamboo
The transformation of vegetation types plays a vital role in the structure of the soil microbial community [28]. This is mainly related to changes in the chemical composition of litter and root exudates and related soil carbon and nitrogen substrate concentrations, which alter the soil microbial activity and community structure [22,38]. Farmers picking bamboo shoots can cause disturbances to the soil. This process is similar to tillage and may reduce soil organic-matter content, which in turn alters bacterial communities [24]. Japanese cedar has high soil carbon and nitrogen content, has complex bacterial microbial diversity and community structure, and is associated with leaf density [26,39]. Understory plants and rhizosphere resources, such as root exudates and nutrient content, all affect the structure of the soil microbial community. Soil fungal communities are decomposers of soil organic matter [40]. Xiao et al. [41] found that soil organic carbon mineralization is directly affected by fungal diversity, and fungal diversity is also affected by pH. In this study, the expansion of soil organic carbon and total nitrogen in moso bamboo was significantly negatively correlated with fungal community diversity (Chao1 and observed species) and species abundance (Basidiomycota and Mucoromycota).
Compared with soil fungi, the soil bacterial-community structure is more sensitive to soil physical disturbances and changes in chemical properties [42]. In this study, moso bamboo increased the soil organic matter carbon and total nitrogen, and the simple bacterial-diversity index indicated that Acidobacteria, Chloroflexi, and Gemmatimonadetes all exhibited a downward trend. The number of soil bacterial OTUs was significantly higher than the number of fungal OTUs. There were certain differences in the soil microbial-community structure among the four forest-stand structures, demonstrating that the differences among different vegetation types have shaped different soil bacterial communities. The differing chemical compositions of the root exudates produced by different forest-stand structures will have a certain impact on the soil bacterial community structure.
5. Conclusions
With the expansion of moso bamboo in Japanese cedar, soil NH4+-N and pH increased, while soil organic carbon, total nitrogen, and litter carbon decreased. Moso bamboo expansion significantly increased soil fungal diversity, caused an increase in the number of soil pathogens and symbiotic groups, and altered the structure and function of the soil fungal communities. Moso bamboo expansion may promote changes in soil microbial-community structure by changing the basic phychemical properties of soil. Overall, with the continuous expansion of moso bamboo, the structure and diversity of soil bacterial communities decreased, and the structure and diversity of soil fungi have increased significantly. Therefore, the expansion of moso bamboo will cause significant changes in soil microbial activities and community structure, which should be considered in the management of moso bamboo expansion.
Author Contributions
Conceptualization, N.W., L.Z. and H.F.; methodology, L.Z., Y.L. and H.F.; software, H.F. and A.L.; validation, L.Z., M.L. and H.F.; formal analysis, H.F.; investigation, T.B., H.F., Q.Z. and Y.F.; resources, L.Z., W.D., M.L. and Y.L.; data curation, H.F., J.B., A.L. and J.Z.; writing—original draft preparation, H.F.; visualization, N.W., L.Z. and H.F.; supervision, X.L. and L.Z.; project administration, L.Z. All authors have read and agreed to the published version of the manuscript.
Funding
Study supported by National Natural Science Foundation of China (31770749, 31560203); Research Project of Lushan National Forest Ecosystem Research Station (9022206523); Jiangxi “Double Thousand Plan” Science and Technology Innovation High-end Talent Project (jxsq2019201078).
Institutional Review Board Statement
Not applicable.
Data Availability Statement
Data are contained within the article.
Acknowledgments
The authors acknowledge other colleagues from the Lushan National Nature Reserve for their assistance in the field work.
Conflicts of Interest
The authors declare no conflict of interest.
References
- Ehrenfeld, J.G. Ecosystem Consequences of Biological Invasions. Annu. Rev. Ecol. Evol. Syst. 2010, 41, 59–80. [Google Scholar] [CrossRef] [Green Version]
- Bradley, B.A.; Blumenthal, D.M.; Wilcove, D.S.; Ziska, L. Predicting plant invasions in an era of global change. Trends Ecol. Evol. 2010, 25, 310–318. [Google Scholar] [CrossRef] [PubMed]
- Deng, B.L.; Liu, X.S.; Zheng, L.Y.; Liu, Q.; Guo, X.M.; Zhang, L. Effects of nitrogen deposition and UV-B radiation on seedling performance of Chinese tallow tree (Triadica sebifera): A photosynthesis perspective. For. Ecol. Manag. 2019, 433, 453–458. [Google Scholar] [CrossRef]
- Xiao, S.; Callaway, R.M.; Graebner, R.; Hierro, J.; Montesinos, D. Modeling the relative importance of ecological factors in exotic invasion: The origin of competitors matters, but disturbance in the non-native range tips the balance. Ecol. Model. 2016, 335, 39–47. [Google Scholar] [CrossRef] [Green Version]
- De Marco, A.; Arena, C.; Giordano, M.; Virzo De Santo, A. Impact of the invasive tree black locust on soil properties of Mediterranean stone pine-holm oak forests. Plant Soil 2013, 372, 473–486. [Google Scholar] [CrossRef]
- Zou, J.W.; Rogers, W.E.; Siemann, E. Differences in Morphological and physiological traits between native and invasive populations of Sapium sebiferum. Funct. Ecol. 2007, 21, 721–730. [Google Scholar] [CrossRef]
- De Marco, A.; Panico, S.C.; Memoli, V.; Santorufo, L.; Zarrelli, A.; Barile, R.; Maisto, G. Differences in soil carbon and nitrogen pools between afforested pine forests and natural shrublands in a Mediterranean area. Appl. Soil Ecol. 2022, 170, 104262. [Google Scholar] [CrossRef]
- Wang, H.; Tian, G.; Chiu, C. Invasion of moso bamboo into a Japanese cedar plantation affects the chemical composition and humification of soil organic matter. Sci. Rep. 2016, 6, 32211. [Google Scholar] [CrossRef]
- Liu, X.S.; Siemann, E.; Cui, C.; Liu, Y.Q.; Guo, X.M.; Zhang, L. Moso bamboo (Phyllostachys edulis) invasion effects on litter, soil and microbial PLFA characteristics depend on sites and invaded forests. Plant Soil 2019, 438, 85–99. [Google Scholar] [CrossRef]
- Song, Q.N.; Ouyang, M.; Yang, Q.P.; Lu, H.; Yang, G.Y.; Chen, F.S.; Shi, J.M. Degradation of litter quality and decline of soil nitrogen mineralization after moso bamboo (Phyllostachys pubscens) expansion to neighboring broadleaved forest in subtropical China. Plant Soil 2016, 404, 113–124. [Google Scholar] [CrossRef]
- Wu, J.; Jiang, P.; Chang, S.X. Dissolved soil organic carbon and nitrogen were affected by conversion of native forests to plantations in subtropical China. Can. J. Soil Sci. 2010, 9, 27–36. [Google Scholar] [CrossRef]
- Li, Z.Z.; Zhang, L.; Deng, B.L.; Liu, Y.Q.; Kong, F.Q.; Huang, G.X.; Zou, Q.; Guo, X.M.; Fu, Y.Q.; Niu, D.K. Effects of moso bamboo (Phyllostachys edulis) invasions on soil nitrogen cycles depend on invasion stage and warming. Environ. Sci. Pollut. Res. 2017, 24, 24989–24999. [Google Scholar] [CrossRef]
- Larpkern, P.; Moe, S.R.; Totland, Ø. Bamboo dominance reduces tree regeneration in a disturbed tropical forest. Oecologia 2011, 165, 161–168. [Google Scholar] [CrossRef]
- Chang, E.; Chiu, C. Changes in soil microbial community structure and activity in a cedar plantation invaded by moso bamboo. Appl. Soil Ecol. 2015, 91, 1–7. [Google Scholar] [CrossRef]
- Pan, J.; Liu, Y.Q.; Yuan, X.Y.; Xie, J.Y.; Niu, J.H.; Fang, H.F.; Wang, B.H.; Liu, W.; Deng, W.P.; Kong, F.Q.; et al. Root litter mixing with that of Japanese cedar altered CO2 emissions from moso bamboo forest soil. Forests 2020, 11, 356. [Google Scholar] [CrossRef] [Green Version]
- Song, X.Z.; Peng, C.H.; Ciais, P.; Li, Q.; Xiang, W.H.; Xiao, W.F.; Zhou, G.M.; Deng, L. Nitrogen addition increased CO2 uptake more than non-CO2 greenhouse gases emissions in a moso bamboo forest. Sci. Adv. 2020, 6, w5790. [Google Scholar] [CrossRef] [Green Version]
- Tian, X.K.; Wang, M.Y.; Meng, P.; Zhang, J.S.; Zhou, B.Z.; Ge, X.G.; Yu, F.H.; Li, M.H. Native bamboo invasions into subtropical forests alter microbial communities in litter and soil. Forests 2020, 11, 314. [Google Scholar] [CrossRef] [Green Version]
- De Marco, A.; Fioretto, A.; Giordano, M.; Innangi, M.; Menta, C.; Papa, S.; Virzo De Santo, A. C stocks in forest floor and mineral soil of two mediterranean Beech forests. Forests 2016, 7, 181. [Google Scholar] [CrossRef] [Green Version]
- Ventorino, V.; De Marco, A.; Pepe, O.; Virzo De Santo, A.; Moschetti, G. Impact of innovative agricultural practices of carbon sequestration on soil microbial community. In Carbon Sequestration in Agricultural Soils. A Multidisciplinary Approach to Innovative Methods; Piccolo, A., Ed.; Springer: Berlin/Heidelberg, Germany, 2012; pp. 145–177. [Google Scholar]
- Douterelo, I.; Goulder, R.; Lillie, M. Soil microbial community response to land-management and depth, related to the degradation of organic matter in English wetlands: Implications for the in situ preservation of archaeological remains. Appl. Soil Ecol. 2010, 44, 219–227. [Google Scholar] [CrossRef]
- Fox, C.A.; Macdonald, K.B. Challenges related to soil biodiversity research in agroecosystems—Issues within the context of scale of observation. Can. J. Soil Sci. 2003, 83, 231–244. [Google Scholar] [CrossRef]
- Rousk, J.; Brookes, P.C.; Bååth, E. Contrasting soil pH effects on fungal and bacterial growth suggest functional redundancy in carbon mineralization. Appl. Environ. Microbiol. 2009, 75, 1589–1596. [Google Scholar] [CrossRef] [Green Version]
- Burton, J.; Chen, C.; Xu, Z.; Ghadiri, H. Soil microbial biomass, activity and community composition in adjacent native and plantation forests of subtropical Australia. J. Soils Sediments 2010, 10, 1267–1277. [Google Scholar] [CrossRef]
- Lin, Y.T.; Tang, S.L.; Pai, C.W.; Whitman, W.B.; Coleman, D.C.; Chiu, C.Y. Changes in the Soil bacterial communities in a Cedar plantation invaded by moso bamboo. Microb. Ecol. 2014, 67, 421–429. [Google Scholar] [CrossRef]
- Li, Z.; Siemann, E.; Deng, B.L.; Wang, S.L.; Gao, Y.; Liu, X.J.; Zhang, X.L.; Guo, X.M.; Zhang, L. Soil microbial community responses to soil chemistry modifications in alpine meadows following human trampling. Catena 2020, 194, 104717. [Google Scholar] [CrossRef]
- Fang, H.F.; Gao, Y.; Zhang, Q.; Ma, L.L.; Wang, B.H.; Shad, N.; Deng, W.P.; Liu, X.J.; Liu, Y.Q.; Zhang, L. Moso bamboo and Japanese cedar seedlings differently affected soil N2O emissions. J. Plant Ecol. 2021, 15, 277–285. [Google Scholar] [CrossRef]
- Okutomi, K.; Shinoda, S.; Fukuda, H. Causal Analysis of the invasion of broad-leaved forest by bamboo in Japan. J. Veg. Sci. 1996, 7, 723–728. [Google Scholar] [CrossRef]
- Grayston, S.J.; Campbell, C.D. Functional biodiversity of microbial communities in the rhizospheres of hybrid larch (Larix eurolepis) and Sitka spruce (Picea sitchensis). Tree Physiol. 1996, 16, 1031–1038. [Google Scholar] [CrossRef] [Green Version]
- Merilä, P.; Malmivaara-Lämsä, M.; Spetz, P.; Stark, S.; Vierikko, K.; Derome, J.; Fritze, H. Soil organic matter quality as a link between microbial community structure and vegetation composition along a successional gradient in a boreal forest. Appl. Soil Ecol. 2010, 46, 259–267. [Google Scholar] [CrossRef]
- Xie, J.Y.; Fang, H.F.; Zhang, Q.; Chen, M.Y.; Xu, X.T.; Pan, J.; Gao, Y.; Fang, X.M.; Guo, X.M.; Zhang, L. Understory plant functional types alter stoichiometry correlations between litter and soil in Chinese fir plantations with N and P addition. Forests 2019, 10, 742. [Google Scholar] [CrossRef] [Green Version]
- Jiang, Y.M.; Chen, C.R.; Liu, Y.Q.; Xu, Z. Soil soluble organic carbon and nitrogen pools under mono- and mixed species forest ecosystems in subtropical China. J. Soils Sediments 2010, 10, 1071–1081. [Google Scholar] [CrossRef]
- Chang, E.; Chen, T.; Tian, G.; Chiu, C. The effect of altitudinal gradient on soil microbial community activity and structure in moso bamboo plantations. Appl. Soil Ecol. 2016, 98, 213–220. [Google Scholar] [CrossRef]
- Nakane, K. Soil carbon cycling in a Japanese cedar (Cryptomeria japonica) plantation. For. Ecol. Manag. 1995, 72, 185–197. [Google Scholar] [CrossRef]
- Nicol, G.W.; Leininger, S.; Schleper, C.; Ranjard, L. The influence of soil pH on the diversity, abundance and transcriptional activity of ammonia oxidizing archaea and bacteria. Environ. Microbiol. 2008, 10, 2966–2978. [Google Scholar] [CrossRef] [PubMed]
- Lejon, D.P.H.; Chaussod, R.; Ranger, J.; Ranjard, L. Microbial community structure and density under different tree species in an acid forest soil (Morvan, France). Microb. Ecol. 2005, 50, 614–625. [Google Scholar] [CrossRef] [PubMed]
- Lal, R. Restoring Soil Quality to Mitigate Soil Degradation. Sustainability 2015, 7, 5875–5895. [Google Scholar] [CrossRef] [Green Version]
- De Marco, A.; Esposito, F.; Berg, B.; Zarrelli, A.; Virzo De Santo, A. Litter Inhibitory Effects on Soil Microbial Biomass, Activity, and Catabolic Diversity in Two Paired Stands of Robinia pseudoacacia L. and Pinus nigra Arn. Forests 2018, 9, 766. [Google Scholar] [CrossRef] [Green Version]
- Singh, B.K.; Millard, P.; Whiteley, A.S.; Murrell, J. Unravelling rhizosphere–microbial interactions: Opportunities and limitations. Trends Microbiol. 2004, 12, 386–393. [Google Scholar] [CrossRef]
- Hortal, S.; Bastida, F.; Armas, C.; Lozano, Y.; Moreno, J.; García, C.; Pugnaire, F. Soil microbial community under a nurse-plant species changes in composition, biomass and activity as the nurse grows. Soil Biol. Biochem. 2013, 64, 139–146. [Google Scholar] [CrossRef]
- Cantrell, S.A.; Molina, M.; Jean, L.; Rivera-Figueroa, F.; Ortiz-Hernández, M.; Marchetti, A.; Cyterski, M.; Perez-Jimenea, J. Effects of a simulated hurricane disturbance on forest floor microbial communities. For. Ecol. Manag. 2014, 332, 22–31. [Google Scholar] [CrossRef]
- Xiao, D.; Huang, Y.; Feng, S.; Ge, Y.; Zhang, W.; He, X. Soil organic carbon mineralization with fresh organic substrate and inorganic carbon additions in a red soil is controlled by fungal diversity along a pH gradient. Geoderma 2018, 321, 79–89. [Google Scholar] [CrossRef]
- Miya, R.K.; Firestone, M.K. Phenanthrene-degrader community dynamics in rhizosphere soil from a common annual grass. J. Environ. Qual. 2000, 29, 584–592. [Google Scholar] [CrossRef] [Green Version]
Publisher’s Note: MDPI stays neutral with regard to jurisdictional claims in published maps and institutional affiliations. |
© 2022 by the authors. Licensee MDPI, Basel, Switzerland. This article is an open access article distributed under the terms and conditions of the Creative Commons Attribution (CC BY) license (https://creativecommons.org/licenses/by/4.0/).


