Abstract
Soil surface is directly affected by heavy traffic of machinery during harvesting operations. Machine traffic often causes damage to forest soil which is visible on the surface (ruts) and invisible changes in, for example, bulk density, penetration resistance, etc. Close-range photogrammetry is the state-of-the-art method used for recording and evaluation of visible changes. This study aims to analyze soil surface changes caused by traffic of three types of wheeled skidders without a load on Cambisol soil in Central Slovakia. We use the Structure-from-Motion (SfM) close-range photogrammetry to record and evaluate depths of ruts and their volumes after 40 passes of individual skidders. We compared Root Mean Square Errors (RMSEs) of dense point clouds created from various numbers of images taken for individual plots. Rut volume changes calculated by the SfM method and from the manual measurements were compared for one skidder. The final values of RMSE did not exceed 10 mm except for the plot with the lowest number of photos. The final rut depths varied between 0.026 and 0.050 m, and their final volume fluctuated from 0.021 to 0.089 m3. The skidder type and the terrain slope had significant impacts on magnitudes of soil changes. The results of the manual and SfM methods assessing soil changes were correlated. Based on the presented results we can conclude that the SfM method can be applied to detect soil surface changes after traffic of forestry machinery.
1. Introduction
Movement of heavy logging machinery on the surface of forest soil causes structural changes [1], surface deformation, and erosion [2,3]. The exact modeling and quantification of the erosion extent requires precise surface topography data with sufficient resolution and accuracy to record even the smallest changes in the soil surface. There are a number of contact or contactless methods that can retrieve changes in surface topography with various effectivity and accuracy.
Classical contact methods can be considered as fast and easy to perform, relatively cheap, but not sufficiently precise if the changes in the surface are at a millimeter scale and occur at a low rate of points recorded per time unit. A typical approach is to use a steel tape or a measuring rod for measuring vertical distances [4,5,6] with 0.005 m accuracy of the vertical distance measurement. Another possibility is to use a laser rangefinder [7] with an accuracy of the vertical distance measurement equal to 0.003 m. However, these methods do not measure the whole surface of a sample plot, data are usually collected only for a relatively small number of transects and extrapolated to the whole surface. Hence, this task is well suited for the application of modern geospatial technologies [8].
The development and use of contactless, or remotely sensed (RS) data in forestry is motivated by efforts to increase cost efficiency, precision, and timeliness of forest information with an accuracy below 1 mm [9].
Differential Global Positioning Systems (dGPS) and Total Stations (TS) have enabled 3D positioning of observations with a millimeter-scale accuracy [10]. More recently, Air-borne Laser Scanning (ALS) and Terrestrial Laser Scanning (TLS) have increased the spatial coverage and density of available datasets through non-selective sampling of millions or even billions of survey points to produce 3D point clouds [11]. Yet, a more widespread usage of ALS and TLS is limited by the capital outlay and expertise required to acquire and operate these complex instruments. In the past few years, Structure from Motion (SfM) has been demonstrated to have the potential to democratize 3D topographic surveys by offering a rapid 3D point cloud acquisition for minimal expenses. Actually, the aerial SfM in forestry is aimed particularly at forest stand monitoring (forest inventory, forest health assessment) [12].
A broad comparison of SfM-MVS (Multi-View Stereo) with existing survey techniques is summarized by Smith et al. [13]. They consider hand-held ground-based solutions (close range photogrammetry) as the cheapest option (only a camera and a georeferencing method is needed). They can provide an excellent pixel resolution and image quality and are easy to implement. The key disadvantage of hand-held solutions is their limitation to the plot-scale of about 10 m2 [13]. The quantitative estimation of changes in terrain surfaces caused by water erosion from areas smaller than 1 m2 using SfM [14] can be considered as a typical case. However, in another study [15] this method was used for measuring the rut depth after forwarder passes at a sample plot with an area of about 210 m2. This method requires expert knowledge as well as special software and image analyses, taking up to 120 min, depending on the number of images processed per plot [9].
Since photogrammetry is a passive technique, its results are highly influenced by the input image data [16]. SfM photogrammetry, employing an automated process to identify and match features by computer vision, is fundamentally dependent on image quality. Sensors, settings, and acquisition designs should be considered with great care [12]. In every circumstance, camera settings need to be considered to ensure optimal image data is acquired given a set of constraints, namely (i) those from the environment (light conditions), (ii) the platform (UAV, pole, tripod, or handheld), and (iii) the camera and lens combination (the exposure triangle, focal length, sensor size) [12].
The aims of this manuscript are to (i) quantitatively estimate changes in terrain surfaces after passes of wheeled tractors using the SfM, (ii) compare RMSE values obtained for a different number of recorded images in comparison to the suggested minimum, (iii) compare changes in rut depths with regard to selected factors, (iv) compare changes in soil volume after individual passes of tractors with the initial state before passes, and (v) compare changes in soil volume detected by SfM and manual methods for one of the plots.
2. Materials and Methods
2.1. Study Area
The study was performed in the University Forest Enterprise (UFE) of the Technical University in Zvolen, in central Slovakia as a part of a wider study. The UFE is a specialized forest enterprise with the main goal of supporting the university’s educational process. The total area of the UFE is 9726 ha and the total annual cut was 29,961 m3 in 2021 (6051 m3 coniferous, 23,910 m3 broadleaved species). The mean annual precipitation is 950 mm, 70 mm in July, and 65 mm in January. Measurements were conducted in the forest stand No. 554 at a mean elevation of 700 m above sea level (48°38′35.5″ N 19°02′12.5″ E) (Table 1), in July and August 2020, and July 2021.
Table 1.
Basic data about the forest stand no. 544 extracted from the forest management plan and soil parameters [17].
2.2. Machines
Three tractors were used in our experiment. The first one was a forest skidder HSM 805 HD with a double drum winch and a hydraulic crane (HSM), the second was the LKT 81 ITL forest skidder (LKT), also equipped with a double drum winch and a hydraulic crane. The third one was a universal agricultural tractor (UAT) Zetor 7245 Horal system, which was not equipped with a winch or a crane. The basic parameters of the machinery are presented in Table 2.
Table 2.
Basic parameters of the used machines [17].
All the machines were capable of 4-wheeled driving, both the HSM and the LKT used it permanently, but the UAT passed the plot with only rear-wheel driving used. None of the machines used chains on the wheels.
2.3. Experimental Design
The study was conducted on three sample plots, each of them was passed by a single machine 40 times in total. Machines passed over the soil surface without loads to ensure their equal masses throughout the whole study and to avoid the damage of ground control points (GCP). Data were collected from each plot before the passes and after passes no. 1, 5, 10, 15, 20, 25, 30, 35, and 40. In addition, the passes no. 2, 3, and 4 were recorded for the UAT plot. Individual passes of the machines were performed in both directions, while the drive back and forth was considered as 2 individual passes. Odd passes were performed forward and uphill, and even passes were performed backward and downhill. The plots were placed on undisturbed forest soil to avoid the effect of previous traffic. The dimensions of plots were approximately 1.8 × 3 m (Figure 1a).
Figure 1.
Surface of one sample plot with marked ground control points (yellow arrows) before the machine passes (a) and after 40 passes with the position of marked measuring rods (b) for manual measurement of the rut depths.
The widths of the plots were adjusted to the widths of the measured machines with outer margins of approx. 30 cm on both sides of the plots. The length of each plot was approximately 2 m. Exact dimensions of the plots and their slopes (Table 3) were taken from digital elevation models (DEM) derived from the measurements. The width of the plot was not an important parameter, because machine passes changed the soil surface only in ruts, while the remaining part of the plot was unaffected. To allow the comparisons between the plots (machines), their lengths were set to 1.8 m. Data on soil moisture and bulk density at individual plots before the passes were collected using Eijkelkamp soil and water sampling cylinders with a 100 cm3 volume (length 53 mm, inner diameter 50 mm). In the laboratory, the samples were weighed with calibrated scales (accuracy 0.1 g). Subsequently, the samples were dried at 105 °C for 24 h to determine the bulk density. Moisture content (%) was determined by the gravimetric method.
Table 3.
Basic data about the sample plots.
Individual sample plots were stabilized in terrain with markers (wooden pegs of 3 × 3 × 30 cm). We used five markers per plot, out of which four were placed in the corners and one in the middle of the plot not to damage them or shift their positions during machine passages (Figure 1a). The markers were used also as GCPs for georeferencing of the point clouds generated during the SfM process. The X, Y, and Z coordinates for individual GCPs were measured in the local coordinate system with the Topcon GPT 3002 LN universal total station [18] after the 40th passage. Measurement was realized directly by the polar coordinates measured with the total station from 1 position and orientation. The coordinates for initial points were set as follows: x = 1000 m, y = 1000 m, and z = 100 m. A 3D reconstruction of soil surface on individual plots before and after individual passes of forest machinery was used to determine respective height and volume changes (bulges/ruts). All sample plots were measured using the SfM method and the UAT plot was also measured manually to compare the methods.
2.4. SfM Data Collection
The SfM process creates 3D models of the terrain from sets of images taken in the field from various points, which are then combined and georeferenced. A mirrorless full-frame camera Canon EOS RP (Canon INC. Tokyo, Japan) equipped with a 35.9 × 24 mm CMOS sensor and a Canon lens (f = 50 mm) was used for taking the images of the HSM plot. For the LKT and UAT plots, a compact ultrazoom Panasonic FZ 1000 (Matsushita Electric Industrial Co., Ltd., Osaka, Japan) camera was used. The camera was equipped with an MOS sensor of 13.8 × 8.8 mm and f = 9.1 mm focal length was used during photographing. Aperture and shutter values of both cameras were manually pre-set. The cameras were mounted on a 1-m-long rod, held in hands, and the sensor was kept parallel to the terrain. The natural way of handling the rod with the camera was at a height of 1.3 m above the terrain level. The image acquisition was performed using the self-timer mode with the pre-set number of images for individual plots and the shooting interval of 3 s. This setting allowed the operator to view and control the image quality and sufficient image overlap. The spatial distribution pattern of the images is presented in Figure 2.
Figure 2.
Placement pattern of the camera during photographic scanning of a single plot.
A set of sharp images which have a sufficient overlap is essential for obtaining accurate DEMs in the SfM process. Therefore, it is necessary to calculate the necessary minimum number of images for a recorded area. The developers of the software used for processing of image sets suggest 60% side and 80% forward overlap of the images [19]. The calculation of the smallest required number of images was based on the dimensions of the camera sensor, the focal length of the lenses, the height of the cameras above the terrain, and the overlap rate of the images [20]. The spacings between the neighboring images in both (x, y) directions were calculated according to the following formula:
where:
Δx—spacing (step) of images in x direction (cm);
ox—suggested overlap of images in x direction (%);
x—calculated field of view in x direction (cm).
The same calculation was used for y values. The necessary numbers of images for individual plots in both directions were calculated by dividing the plot dimensions with calculated steps. Plot dimensions were increased by 20 cm to cover a 10 cm “safety margin” around the plots. The total numbers of images necessary for individual plots were calculated by multiplying the calculated number of images in x direction with their number in y direction.
The numbers of recommended images and those taken during measurements are presented in Table 4. In the case of HSM, or Canon camera, only 69% of the recommended number were taken. In addition, fusion of images from the 35th pass and deriving the point cloud was not successful, therefore, the respective value is missing. These data were used to demonstrate the possibility to use a smaller number of images in the SfM process than the number recommended in the software manual. In the case of other plots, the number of taken images was twice (LKT) or two and a half times greater (UAT) than the number recommended in the manual (Table 4).
Table 4.
Numbers of images suggested by the Agisoft manual and taken per plot.
2.5. SfM Processing of Images
The images recorded for individual plots were processed in two basic steps: (i) import, aligning of the images, optimization of image alignment, georeferencing, creation of point clouds and their export; (ii) filtering the off-ground points, rasterization, creation, and export of a digital surface model (DSM). The first step was performed in the Agisoft Metashape Professional (Agisoft) software [19]. The work procedure of creating dense point clouds in Agisoft software and settings of individual steps in the process are thoroughly described by Yamafune [16] and basic settings of the processes are presented in Table 5. The images were aligned automatically (Align Photos module). The alignment of the photos was optimized using the markers (GCP). The markers on individual images were manually adjusted by moving them to their correct positions. The local coordinates obtained from terrain measurements with the Topcon total station were set for individual GCPs and aligned photos (sparse point clouds) were georeferenced. The Root Mean Square Errors (RMSEs) for individual plots and all machine passes were recorded and statistically analyzed. After georeferencing of sparse point clouds, dense point clouds were created (Build Dense Cloud module) and exported to the CloudCompare v. 2 open-source freeware [21]. The Cloth Simulation Filter (CSF) and rasterization module were used to extract ground points from individual point clouds. Finished rasters were exported to QGIS v 3.18 open source freeware [22].
Table 5.
Settings of the processes in the Agisoft software.
2.6. Data Processing and Sampling in QGIS
In the QGIS software, the rectangular shapefiles were created for individual plots, one shapefile for HSM, one for LKT and one for UAT. These were used in the software as a mask to clip all the rasters (machine passes) from the same plot to the same size (Figure 3). The lines (shapefiles) were placed through both tracks (upper and lower) and 20 random points were selected at each line (Figure 3). At each plot, the rut with a higher z coordinate value (height above sea level) was assigned as the upper one, and the rut with a lower z value was assessed as the lower one. The point sampling tool was used for collecting heights of selected points from the rasters created for individual passes. The depth of ruts after an individual machine pass was calculated according to the following formula:
where:
Δi—height difference, (depth of the rut) after i-th pass (m);
h0—height before the machine passes (m);
hi—height after i-th pass (m).
Obtained data were statistically analyzed and evaluated.
Figure 3.
Sampling process in the QGIS software. Red rectangle is the clipping mask; black line is the sample line (basis) for the selection of random points (white dots in the picture).
Figure 3.
Sampling process in the QGIS software. Red rectangle is the clipping mask; black line is the sample line (basis) for the selection of random points (white dots in the picture).

2.7. Calculation of Volume Change for Whole Plots
The volume changes after individual passes of the machinery were calculated from individual rasters in the QGIS environment using the raster surface volume tool. The volume for each raster layer (individual pass) was calculated using the determined elevation (100.23 m for HSM, 98.07 m for LKT, and 99.57 m for UAT) and raster surface, i.e., the volume between the determined elevation level and raster surface was calculated. The elevations for individual plots were estimated as the lowest z coordinates of the rasters–1 cm to avoid cutting off any part of the rasters. The volume change was calculated as a difference between the raster volume before passes (0 pass) and volumes after individual passes. Final values were statistically evaluated and compared.
2.8. Manual Measurements
Manual measurements of soil volume reduction caused by tractor passes were performed only for UAT. Measurements were performed with the measuring rod placed horizontally across ruts in the upper and bottom parts of the sample plots defined by corner pegs (Figure 1b). Vertical distances from the measuring rod to the soil surface (i.e., depths) were measured with a metal measuring tape every 20 cm along the rod (16 measurements) before the passes and after each pass. The area between the measuring rod and the soil surface was calculated as a sum of areas of individual trapesoids. The volumes were calculated using the mean section method introduced for the calculation of stream cross-sectional areas for hydrological measurements [23] with equal distances between depth measurements of 20 cm. At each plot, two profiles were measured, from which the average area was calculated. Individual cross-sectional areas were multiplied with the plot length (1.8 m) to obtain the volume below the measuring plane. Volumes of soil loss after individual passes were obtained as a difference between the volume after the pass and before passes. Final volume differences derived from manual measurements were compared with the values obtained with the SfM method and statistically evaluated. All statistical analyses (Shapiro Wilk test for normality of data distribution, ANOVA, Tukey HSD test, regression and correlation analysis, t-test) were performed in the Statistica software [24] and all pictures were processed in the Gimp 2.10.30 The Free and Open Source Image Editor [25].
3. Results
3.1. Number of Images Taken vs. RMSE Level
At the plots photographed by the Panasonic camera (UAT and LKT) we observed smaller RMSE than at the plot photographed by the Canon camera (HSM), due to the lower number of the images taken with the latter one than the recommended amount. The calculated RMSEs (Figure 4) were comparable (below 10 mm) for both plots where the Panasonic was used except for the y error at the LKT plot. The errors at the HSM plot were substantially greater along all axes. The greatest error at the HSM plot was recorded along the Y axis. The lowest error was found for vertical values (Z axis). The difference between the double and 2.5-times greater number of images than the required number was significant only in the case of the error along the y axis (UAT vs. LKT). ANOVA analysis confirmed a significant impact of axes and tractor types (plots) on the final value of RMSE. Only the following differences did not differ significantly:
- xUAT vs. yUAT.
- xUAT vs. xLKT.
- zUAT vs. yUAT.
- zUAT vs. zLKT.
Figure 4.
The RMSE values for x, y, and z axes and for individual plots, % represents recorded images percentage from recommended number of images, x symbol represents the mean, horizontal line median, vertical lines depict 1st and 4th quartiles, and boxes contain 2nd and 3rd quantiles divided by median lines.
Figure 4.
The RMSE values for x, y, and z axes and for individual plots, % represents recorded images percentage from recommended number of images, x symbol represents the mean, horizontal line median, vertical lines depict 1st and 4th quartiles, and boxes contain 2nd and 3rd quantiles divided by median lines.

3.2. Rut Depths
Shallow though visible ruts were created after passes of tractors at all three plots, while no substantial bulges were observed. Average rut depths calculated from 40 random values (upper and lower ruts together) from individual plots (tractors) increased with the increasing number of passes, hence ruts deepened (Figure 5). The deepest ruts were observed at the LKT plot, where the rut depth continuously increased with no substantial fluctuations. The second deepest ruts were recorded at the HSM plot, where the greatest change in rut depth was observed after the 10th pass. The shallowest ruts were observed at the UAT plot. Interestingly, after the 1st pass, we recorded a negative rut depth probably resulting from disrupting and loosening the surface layer of litter by tire treads during the uphill passes and packing it during the downhill passes. A similar negative change (decreased rut depth) was observed after 15th, 25th, and 35th passes at this plot. In all four cases mentioned, the tractor was moving forward up the hill. However, only differences between 15 vs. 20 passes and 25 vs. 30 passes were confirmed as statistically significant. At HSM and LKT plots, the deepest ruts were observed after the last machine pass, while in the case of the UAT plot it was after the 30th pass. However, this value was not significantly different from the rut depth after the last pass.
Figure 5.
Average depths of the ruts after subsequent passes at individual plots, squares represent mean, whiskers show the mean ± 0.95 confidence interval.
We used the average depths of the upper and lower ruts after the last 40th pass (Table 6) to assess whether there were significant differences between them and between individual plots.
Table 6.
Average depths of ruts measured at individual plots after the 40th pass.
Final rut depths after all passes fluctuated between 2 and 7 cm (Figure 6), while the differences were not large but statistically significant. The exception was the lower rut at the LKT plot, which was substantially deeper than the others. The statistical significance of the impact of the plot and the rut type on the final rut depth was tested with ANOVA (Table 7).
Figure 6.
Depths of upper vs. lower ruts after the 40th pass at individual plots, where: x—mean; horizontal line—median; vertical lines depict 1st and 4th quartiles; boxes contain 2nd and 3rd quantiles divided by median lines.
Table 7.
ANOVA analysis of the rut depth (m), plot, and the rut type (upper vs. lower). Bold indicates statistical significance.
The statistical significance of the differences between individual groups was confirmed with Tukey’s HSD test (Table 8).
Table 8.
Tukey’s test of rut depths for machines (HSM, LKT, UAT) and rut types (upper, lower). Bold indicates statistical significance.
The largest and significant difference in rut depths (Figure 6) was recorded for LKT, for which the depth of the lower rut was 218% of the upper one in the case of 10% transversal slope (Table 3). In the case of UAT, the average depth of the lower rut was 67% of the upper one, i.e., the upper rut was paradoxically deeper than the lower one at the highest transversal slope from all plots. This difference was also significant. At the HSM plot, the lower rut depth was 83% of the upper one (Figure 6), but the difference between them was not significant.
3.3. Soil Volume Changes
Absolute values of volume between the determined height level and the surface of the plots after individual passes (Table 9) had a decreasing trend.
Table 9.
Calculated volumes (m3) for individual plots and various passes of machines.
Absolute values of volume can be used only for monitoring of changes in volumes after individual passes. Plots cannot be compared because they differed in size and the volumes were calculated using different height levels. Due to this, we calculated volume changes between individual passes of machines. Under the assumption that only the soil surface affected by the machine chassis changed, while the other part of the plot remained unchanged, we can compare the volume changes between the plots.
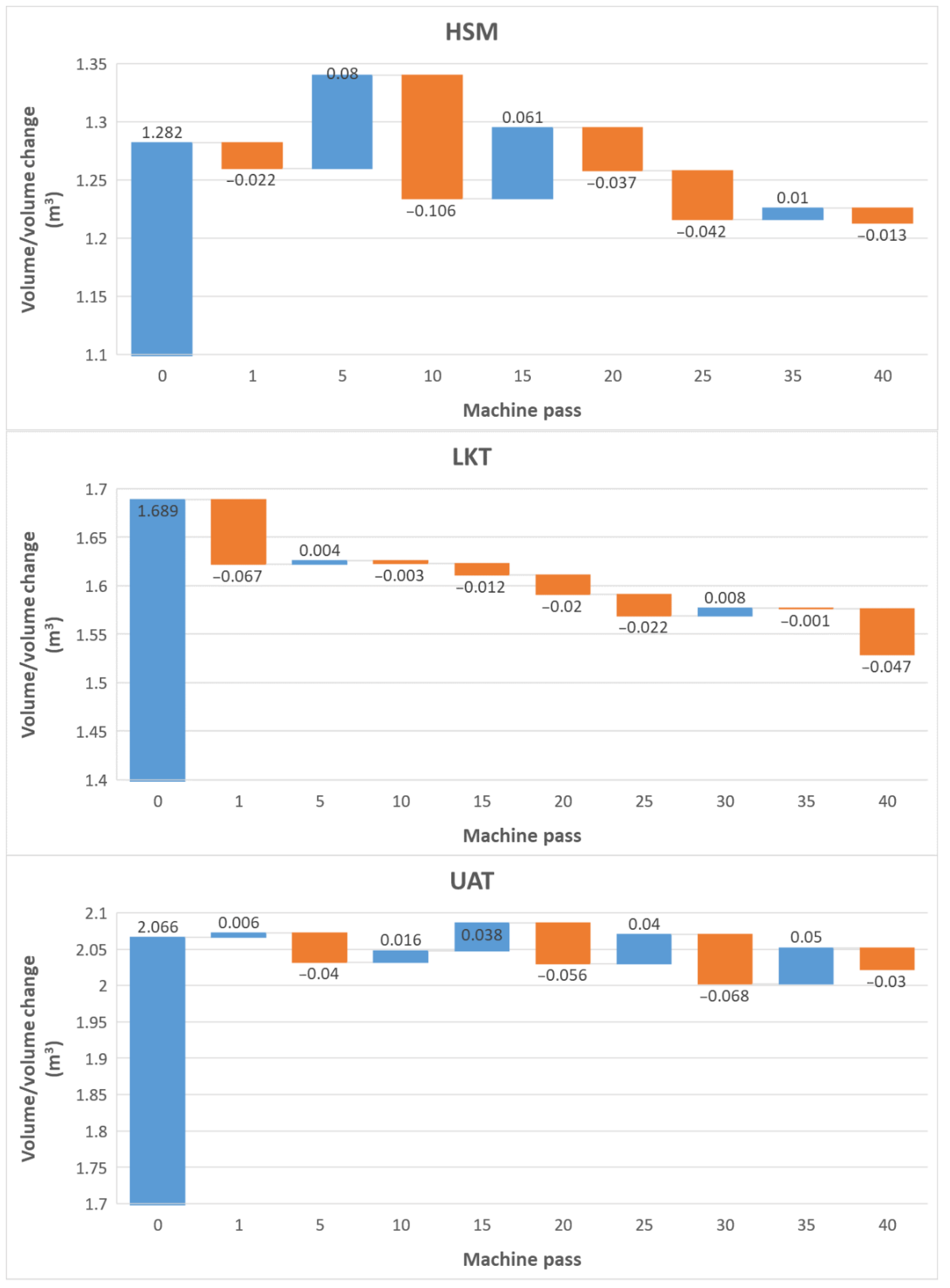
The final observed volume change, caused by the machine after 40 passes was 0.089 m3 for LKT, 0.038 m3 for HSM, and 0.021 m3 for UAT per 1 m of a track. The visualization of surface changes at individual plots after 40 passes of individual tractors derived as a difference between the rasters after the 40th pass and before passes for individual plots in the Raster Calculator module of the QGIS program is shown in Figure 7.
Figure 7.
The rasters calculated as differences between the 40th pass surface and surface before passes (m) for individual plots.
The greatest volume change was recorded in the case of LKT, which was 421% of the change under UAT. This was followed by HSM, under which the volume change was 182% of UAT. Volume changes between individual passes were usually negative, i.e., absolute values of volumes decreased after individual passes (Figure 8). At the HSM plot, volume changes were large and least balanced with irregular alternations of positive and negative values. This course resulted from the insufficient number of images and interpolation of gaps when creating rasters using the SfM process. At the LKT plot, the volume continually decreased after individual passes, and the changes were low and balanced, while the volume changes were positive only in two cases, after the 5th and 30th passes. At the UAT plot, the volume changes were low, and positive and negative values alternated. Negative changes were observed under even passes that were performed backwards down the hill. On the contrary, positive changes indicating the increase in volume were recorded after uneven passes performed forward and uphill. The only exception was the 5th pass. The volume changes corresponded with rut depths.
Figure 8.
Volume changes after individual passes of the tractors. Blue color indicates an increase in volume, while orange color indicates a decrease in volume. The first column represents the volume before passes.
3.4. Comparison of SfM and Manual Methods
Average values of volume changes after individual passes in comparison to the condition before passes and their ranges for SfM and manual methods are shown in Figure 9a. Manually measured values were larger and had a greater range than those obtained by SfM.
Figure 9.
Average volume changes (m3) calculated by SfM method and from manual measurements (a) and the regression and correlation analysis between volume changes (m3) after individual passes (blue circles) calculated from SfM vs. manual method (b). The dashed lines in the right picture represent 95% confidence interval.
The regression and correlation analysis of volume changes (Δ) between the SfM and manual methods confirmed their significant relationship (Figure 9b). Subsequently, the differences between Δ changes derived using the two methods were calculated. The average difference between the volumes derived using manual and SfM methods was 0.0653 m3, which was significantly different from 0 (Table 10).
Table 10.
t-test of the average difference between the SfM and manual methods against 0. Bold indicates statistical significance.
In the case of the size of the measured plot equal to 5.4 m2, the average difference between the rut depths derived using the two methods was 1.2 cm, while the manual method provided higher values.
4. Discussion
4.1. RMSE
The values of RMSE for the SfM method fluctuate from 0.516 to 0.803 cm if the scanned area is 0.51 m2 [14], or are below 10 mm if the plot is 9 m2 large [26]. Our experiment revealed that most RMSE were smaller than 10 mm, which corresponds with the above-mentioned values considering the average size of the scanned plot equal to 5.3 m2. The exceptions were the RMSE determined for the LKT plot (y axis) and for the HSM plot in all directions due to the insufficient number of taken images. When creating the point clouds, missing terrain values had to be interpolated, which increased the error mainly along the z axis. Based on our results we can state that increasing the number of taken images from the double to 2.5 times greater number than the recommended number did not substantially increase the precision of georeferencing of GCP in the Agisoft software.
4.2. Ruts
The average depths of ruts observed after the 40th pass fluctuated between 0.026 (UAT) and 0.050 m (LKT). Such shallow ruts occurred due to the high amount of coarse rock fragments in soil and low soil moisture. Another reason is the movement of empty skidders without a load. The depth of ruts can be used as an indicator of soil compaction [27]. Ruts with a depth of up to 10 cm reduce soil porosity by 7%. A methodology for evaluation of soil damage caused during timber skidding [28] considers ruts with a depth less than 7 cm as non-significant soil damage, and their occurrence is unlimited.
From the point of temporal development of rut depths after individual passes, we found that the rut depth after the first 5 passes represented 10% (UAT) to 49% (LKT) of the value after the 40th pass and did not stop increasing until the last measured pass. The values correspond with the changes in rut depths determined by [29] and with the changes in soil bulk density measured at the same plots [17], as well as with the values presented by [30]. Several authors [31,32] report the greatest damage after approximately the first 3–5 passes. In our case, the damage of soil surface (depth of the ruts) did not reach its maximum after 5 passes, and further changes occurred after each pass until the 40th one. Under the maximum soil compaction, or penetration resistance, soil cannot be pressed more, but ruts can be deepened with every single pass. The UAT plot was the exception, where the course of rut depths was uneven and the maximum rut depth was recorded after the 30th pass. Nevertheless, the overall trend was increasing. Different authors [33,34,35] explain various impacts of up- or downhill rides of skidders or forwarders on soil (change in soil bulk density, penetration resistance, rut depth) with different front and rear axle loads at each ride. In our experiment, skidders were moving backwards downhill, hence the weight was evenly distributed on the front and rear axles in both uphill and downhill passages. In addition, the differences between the uphill and downhill movements were manifested only for UAT. This can be explained by the fact that only rear wheels of UAT were driven. The tread of the rear wheels loosened the litter when driving backwards (downhill) and subsequently the front wheels, which were not driven, partially suppressed (rolled) it. During the uphill ride, the front wheels passed first followed by the rear ones. The differences between the impacts of driven and undriven wheels on soil and the phenomenon of rut recovery in the case of driven wheels are discussed by Wong and Damme et al. [36,37].
We expected greater depths of lower ruts due to the weight distribution of the skidders on the transversal slope. This expectation was confirmed at the LKT plot. We consider this was caused by a combination of transversal slope, by narrower tires of LKT compared with the HSM, and probably also by local soil conditions.
The opposite result at the UAT plot can be explained by a low weight of the tractor or other unknown factors, as well as by the local soil conditions in the upper rut (coarse rock fragments, moisture, etc.). In the case of HSM, the machine moved at a plain, and the difference in the depth between the ruts was below the calculated RMSE.
4.3. Volume
Volume changes due to the skidder passes were linked to changes in rut depths. Hence, as the rut depth increased, the terrain surface decreased and absolute values of volume calculated at individual plots had a decreasing tendency. Marra et al. [33] report the volume of soil erosion equal to 0.074 m3 per 1 m of a skidding track after 42 passes in the case of a skidder transporting wood, and 0.017 m3 per 1 m of a skidding track for a forwarder. We revealed similar values of soil volume reduction in spite of the fact that the rides were performed without a load. This can be explained by the fact that in our case we observed soil compaction without bulges, while the cited authors showed high volume of bulges. A similar result of 0.063 m3 per 1 m of track after 6 passes of a skidder with a load is presented by [8]. On the contrary, Pierzchala et al. [15] recorded soil erosion between 0.404 and 0.437 m3 per 1 m of track on the moraine terrain in Norway after the traffic of a forwarder with load.
4.4. Comparison of SfM and Manual Methods
The manual method is the simplest approach of rut depth measurements. It is cheap, it is not time-demanding, does not require any special knowledge and experience to work with a special software. In addition, the method is not sensitive to measurement conditions, and data processing and analysis can be performed quickly. In our experiment, data measurements after one pass (two measured profiles) lasted approximately 5 min, and data processing from all passes at one plot took around 2 h. The disadvantage of the method is a small amount of data recorded per time unit, lower spatial resolution because data are measured at a small number of vertical profiles and subsequently extrapolated to the whole plot. This approach may distort the results because the method does not capture surface changes outside the measured profiles. In addition, there is a limited possibility of further analyses and a graphical presentation of such data.
Considering the plot size of approximately 6 m2, the SfM method under the simplest configuration does not require any special equipment for field measurements. It is sufficient to have a common digital camera, a device for its transmission (a rod, or a tripod), and a measuring tape for preliminary measurements of GCP. The advantage of this method is that it collects the data from the whole plot and captures the changes in the entire surface, while its resolution is selectable and depends on the resolution of the camera sensor, the shooting height above the ground, the number of images per plot + the overlapping rate. In our experiment, it took about 4–5 min to scan the entire area with a 3-s-long shooting interval, depending on the number of images. Laboratory processing can be performed with commercial or freely available programs [15], but the programs require some knowledge, and data processing, and creation of point clouds requires more time. Image alignment, georeferencing, and creation of a dense point cloud from one set of images in the Agisoft program lasted approximately 2 h. This time can be reduced using GCP for automatic alignment of images together with their manual positioning in the field [33]. The higher time required to create a dense point cloud can be considered the biggest disadvantage of this method. A great advantage is the possibility of using the created point clouds for various subsequent analyses and for the creation of graphical outputs in different software programs, which were also used in this work. A limiting factor of this method is its sensitivity to the lack of light, due to which images may be blurred or errors may occur because of water or vegetation cover in terrain depressions. In such cases, the SfM method assumes the water level or vegetation surface is the terrain surface, which distorts measurement results [15].
Our results revealed a correlation between the outputs from the two methods. We assume that the height difference between the methods was caused by the applied approaches. The SfM method scans and measures the terrain surface contactlessly, while during manual measurements a slight compaction of the upper litter layer occurs. Hence, rut depths measured manually were significantly greater than those derived using the SfM method.
5. Conclusions
The close-range SfM photogrammetry is a very suitable method for the assessment of terrain surface changes after skidder passes at plots of around 6 m2. Dense point clouds can be created also if the number of images is lower than the recommended amount. If the number of images decreases and reaches values below the suggested number, there is a risk that the software will not be able to align images and the RMSE values of georeferencing will increase. A higher number of images creates safety reserves for multiple coverage of the experimental plot with images and allows a less accurate tracking of camera positions. If some spots are accidentally missed, the information can be obtained from overlaps of other images, which will enable the creation of the point cloud and subsequently of the 3D surface model. Increasing the number of taken images above the recommended values will not substantially increase the accuracy of georeferencing of point clouds and will increase the time required for its creation.
The ruts created by forest machine passages can be considered as indicators of forest stand damage after timber felling and skidding even without the measuring equipment. Based on their depths and dimensions, expected erosion and compaction rates can be determined, damage levels of various stands can be compared, and the impact of different technologies on forest soil can be quantified.
Within our experiment, we found relatively shallow ruts and small soil volume loss after 40 passes. These results support the usage of wider tires and performing harvesting operations in drier seasons (or frozen soil) under similar site conditions. Another significant factor reducing the damage of soil surface is its bearing capacity affected by its structure and proportion of coarse rock fragments.
The comparison of the SfM photogrammetry with the manual method confirmed the comparability of the obtained output. The photogrammetry allows the collection of a much larger amount of data per time unit, captures the terrain surface in detail and provides much wider possibilities for data analysis and a graphical presentation of results. Its disadvantages include higher time demands for data processing, knowledge requirements for working with the relevant software, and physical limitations resulting from the very nature of the method (insufficient light conditions, water in terrain depressions).
Author Contributions
Conceptualization, M.F., Z.D. and M.K.; methodology, M.F., M.K. and M.S.; software, M.F., M.K. and M.S.; validation, J.M., K.M. and Z.D.; formal analysis, K.M. and J.M.; investigation, M.F., Z.D. and M.K.; resources, J.M.; data curation, J.M.; writing—original draft preparation, M.F.; writing—review and editing, K.M.; visualization, Z.D. and M.F.; supervision, J.M.; project administration, J.M.; funding acquisition, J.M. All authors have read and agreed to the published version of the manuscript.
Funding
This research was funded by the Slovak Research and Development Agency (APVV), (grant number 15-0714), Mitigation of climate change risk by optimization of forest harvesting scheduling and by grant number 18-0305, Utilization of progressive methods for evaluation of forest logging impacts on forest ecosystems and road network, and by the Scientific Grant Agency VEGA (grant number: 1/0241/20) and the grant “EVA4.0”, no. CZ.02.1.01/0.0/0.0/16_019/0000803 (5%), financed by OP RDE.
Institutional Review Board Statement
Not applicable.
Informed Consent Statement
Not applicable.
Data Availability Statement
Data are available upon request from authors.
Conflicts of Interest
The authors declare no conflict of interest.
References
- Greacen, E.L.; Sands, R. Compaction of Forest Soils. A Review. Soil Res. 1980, 18, 163–189. [Google Scholar] [CrossRef]
- Allman, M.; Jankovský, M.; Allmanová, Z.; Ferenčík, M.; Messingerová, V. Negatívne Dopady Ťažbovo-Dopravných Technológií Na Lesnú Pôdu a Možnosti Prevencie v Lesoch Slovenska; TU Zvolen: Zvolen, Slovakia, 2017; ISBN 978-80-228-2925-0. [Google Scholar]
- Cambi, M.; Certini, G.; Neri, F.; Marchi, E. The Impact of Heavy Traffic on Forest Soils: A Review. For. Ecol. Manag. 2015, 338, 124–138. [Google Scholar] [CrossRef]
- Kulak, D.; Stańczykiewicz, A.; Szewczyk, G. Influence of the Logging Season on the Condition of Topsoil Layers. For. Lett. 2020, 113, 1–7. [Google Scholar]
- Poltorak, B.J.; Labelle, E.R.; Jaeger, D. Soil Displacement during Ground-Based Mechanized Forest Operations Using Mixed-Wood Brush Mats. Soil Tillage Res. 2018, 179, 96–104. [Google Scholar] [CrossRef]
- Cambi, M.; Certini, G.; Fabiano, F.; Foderi, C.; Laschi, A.; Picchio, R. Impact of Wheeled and Tracked Tractors on Soil Physical Properties in a Mixed Conifer Stand. iForest—Biogeosci. For. 2015, 9, 89. [Google Scholar] [CrossRef] [Green Version]
- Kormanek, M.; Gołąb, J. Analysis of Surface Deformation and Physical and Mechanical Parameters of Soils on Selected Skid Trails in the Gorce National Park. Forests 2021, 12, 797. [Google Scholar] [CrossRef]
- Koren, M.; Slančík, M.; Suchomel, J.; Dubina, J. Use of Terrestrial Laser Scanning to Evaluate the Spatial Distribution of Soil Disturbance by Skidding Operations. iForest—Biogeosci. For. 2015, 8, 386. [Google Scholar] [CrossRef] [Green Version]
- Jester, W.; Klik, A. Soil Surface Roughness Measurement—Methods, Applicability, and Surface Representation. CATENA 2005, 64, 174–192. [Google Scholar] [CrossRef]
- Chekole, S.D. Surveying with GPS, Total Station and Terresterial Laser Scaner: A Comparative Study. Available online: https://www.diva-portal.org/smash/get/diva2:715829/fulltext01.pdf (accessed on 25 January 2022).
- Tarolli, P. High-Resolution Topography for Understanding Earth Surface Processes: Opportunities and Challenges. Geomorphology 2014, 216, 295–312. [Google Scholar] [CrossRef]
- Iglhaut, J.; Cabo, C.; Puliti, S.; Piermattei, L.; O’Connor, J.; Rosette, J. Structure from Motion Photogrammetry in Forestry: A Review. Curr. For. Rep. 2019, 5, 155–168. [Google Scholar] [CrossRef] [Green Version]
- Smith, M.W.; Carrivick, J.L.; Quincey, D.J. Structure from Motion Photogrammetry in Physical Geography. Prog. Phys. Geogr. 2016, 40, 247–275. [Google Scholar] [CrossRef] [Green Version]
- Balaguer-Puig, M.; Marqués-Mateu, Á.; Lerma, J.L.; Ibáñez-Asensio, S. Estimation of Small-Scale Soil Erosion in Laboratory Experiments with Structure from Motion Photogrammetry. Geomorphology 2017, 295, 285–296. [Google Scholar] [CrossRef]
- Pierzchała, M.; Talbot, B.; Astrup, R. Measuring Wheel Ruts with Close-Range Photogrammetry. For. Int. J. For. Res. 2016, 89, 383–391. [Google Scholar] [CrossRef] [Green Version]
- Yamafune, K. Using Computer Vision Photogrammetry (Agisoft PhotoScan) to Record and Analyze Underwater Shipwreck Sites; Texas A & M University: Canyon, TX, USA, 2016. [Google Scholar]
- Allman, M.; Dudáková, Z.; Jankovský, M.; Vlčková, M.; Juško, V.; Tomčík, D. Soil Compaction after Increasing the Number of Wheeled Tractors Passes on Forest Soils in West Carpathians. Forests 2022, 13, 109. [Google Scholar] [CrossRef]
- TOPCON GPT-3000LN. Available online: http://www.topcon.com.sg/survey/gpt3000ln.html (accessed on 25 January 2022).
- Agisoft Metashape Version 1.5 Agisoft Metashape User Manual. Agisoft Metashape. 2019. Available online: https://www.agisoft.com/pdf/metashape-pro_1_5_en.pdf (accessed on 25 January 2022).
- Yamafune, K.; Torres, R.; Castro, F. Multi-Image Photogrammetry to Record and Reconstruct Underwater Shipwreck Sites. J. Archaeol. Method Theory 2017, 24, 703–725. [Google Scholar] [CrossRef]
- CloudCompare—Open Source Project. Available online: https://www.danielgm.net/cc/ (accessed on 1 February 2022).
- QGIS. Available online: https://www.qgis.org/en/site/index.html (accessed on 1 February 2022).
- Discharge Measurement. Available online: https://kacv.net/brad/nws/lesson5.html (accessed on 20 June 2022).
- Stručný Manuál k Ovládání—Data Mining—Prediktivní Modelování—Credit Scoring—Fraud Detection—SPC. Available online: http://www.statsoft.cz/podpora/strucny-manual-k-ovladani/ (accessed on 20 June 2022).
- GIMP. Available online: https://www.gimp.org/ (accessed on 20 June 2022).
- Cambi, M.; Giannetti, F.; Bottalico, F.; Travaglini, D.; Nordfjell, T.; Chirici, G.; Marchi, E. Estimating Machine Impact on Strip Roads via Close-Range Photogrammetry and Soil Parameters: A Case Study in Central Italy. iForest—Biogeosci. For. 2018, 11, 148. [Google Scholar] [CrossRef] [Green Version]
- Sakai, H.; Nordfjell, T.; Suadicani, K.; Talbot, B.; Bøllehuus, E. Soil Compaction on Forest Soils from Different Kinds of Tires and Tracks and Possibility of Accurate Estimate. Croat. J. For. Eng. J. Theory Appl. For. Eng. 2008, 29, 15–27. [Google Scholar]
- Ulrich, R.; Neruda, J.; Valenta, J.; Chyba, M.; Ingerlová, J. Kontrolní Metody Po Probírkách Provedených Harvesterovou Technologií, Které Jsou Vhodné pro Lesnickou Praxi. In Vyjádření škod na půdě a porostu [Contro1 Methods after Pre-Commercial Thinning Made by the Logging and Hauling Systems]; MZLU Brno: Brno, Czech Republic, 2001. [Google Scholar]
- Neri, F.; Spinelli, R.; Lyons, J. Ground Pressure Forwarder Trials: Assess Benefits in Reducing Wheel Rutting. Ground Press. Forw. Trials Assess Benefits Reducing Wheel. Rutting 2007, 5, 1–10. [Google Scholar]
- Naghdi, R.; Bagheri, I.; Akef, M.; Mahdavi, A. Soil Compaction Caused by 450C Timber Jack Wheeled Skidder (Shefarood Forest, Northern Iran). J. For. Sci. 2007, 53, 314–319. [Google Scholar] [CrossRef] [Green Version]
- Williamson, J.R.; Neilsen, W.A. The Influence of Forest Site on Rate and Extent of Soil Compaction and Profile Disturbance of Skid Trails during Ground-Based Harvesting. Can. J. For. Res. 2000, 30, 1196–1205. [Google Scholar] [CrossRef]
- Ampoorter, E.; Goris, R.; Cornelis, W.M.; Verheyen, K. Impact of Mechanized Logging on Compaction Status of Sandy Forest Soils. For. Ecol. Manag. 2007, 241, 162–174. [Google Scholar] [CrossRef]
- Marra, E.; Laschi, A.; Fabiano, F.; Foderi, C.; Neri, F.; Mastrolonardo, G.; Nordfjell, T.; Marchi, E. Impacts of Wood Extraction on Soil: Assessing Rutting and Soil Compaction Caused by Skidding and Forwarding by Means of Traditional and Innovative Methods. Eur. J. For. Res. 2022, 141, 71–86. [Google Scholar] [CrossRef]
- Majnounian, B.; Jourgholami, M. Effects of Rubber-Tired Cable Skidder on Soil Compaction in Hyrcanian Forest. Croat. J. For. Eng. J. Theory Appl. For. Eng. 2013, 34, 123–135. [Google Scholar]
- Jourgholami, M.; Soltanpour, S.; Etehadi Abari, M.; Zenner, E.K. Influence of Slope on Physical Soil Disturbance Due to Farm Tractor Forwarding in a Hyrcanian Forest of Northern Iran. iForest—Biogeosci. For. 2014, 7, 342. [Google Scholar] [CrossRef] [Green Version]
- Wong, J.-Y. Behaviour of Soil beneath Rigid Wheels. J. Agric. Eng. Res. 1967, 12, 257–269. [Google Scholar] [CrossRef]
- ten Damme, L.; Schjønning, P.; Munkholm, L.J.; Green, O.; Nielsen, S.K.; Lamandé, M. Traction and Repeated Wheeling—Effects on Contact Area Characteristics and Stresses in the Upper Subsoil. Soil Tillage Res. 2021, 211, 105020. [Google Scholar] [CrossRef]
Publisher’s Note: MDPI stays neutral with regard to jurisdictional claims in published maps and institutional affiliations. |
© 2022 by the authors. Licensee MDPI, Basel, Switzerland. This article is an open access article distributed under the terms and conditions of the Creative Commons Attribution (CC BY) license (https://creativecommons.org/licenses/by/4.0/).






