Effects of Different Native Plants on Soil Remediation and Microbial Diversity in Jiulong Iron Tailings Area, Jiangxi
Abstract
1. Introduction
2. Materials and Methods
2.1. Site Description
2.2. Soil Sampling
2.3. Analyses of Soil Properties
2.4. Experiments with Biolog™ EcoPlate and High-Throughput Sequencing
2.5. Statistical Analyses
3. Results
3.1. Chemical Characteristics of the Study Soils
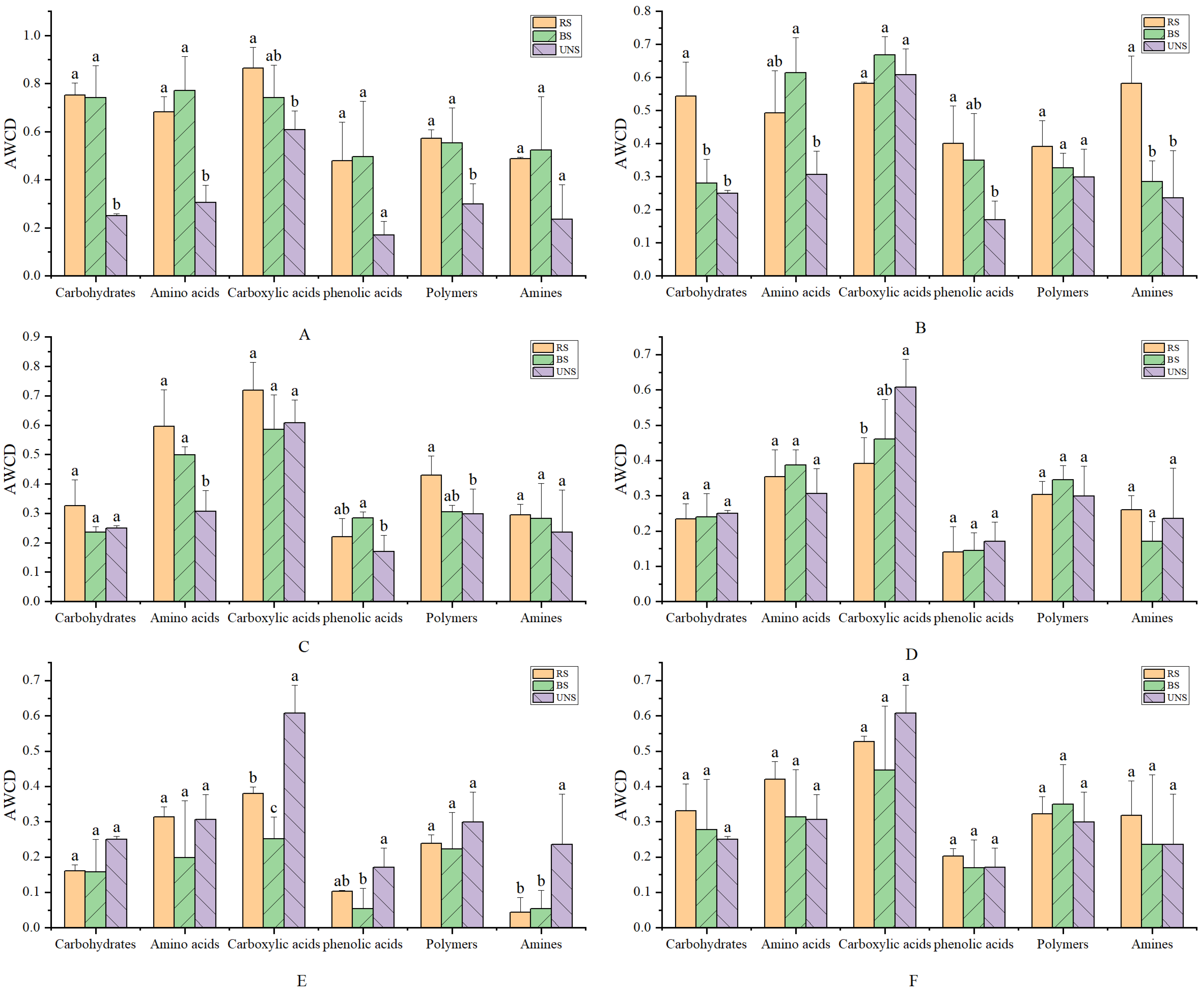
3.2. Average Well Color Development
3.3. Soil Microbial Functional Diversity
3.4. High-Throughput Sequencing Analysis
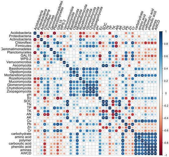
3.5. Correlation Analysis
4. Discussion
4.1. Effects of Native Plants on Soil Chemical Characteristics
4.2. The Relationship between Microbial Metabolic Diversity and Soil Remediation
4.3. The Relationship between Microbial Diversity and Soil Remediation
5. Conclusions
Author Contributions
Funding
Institutional Review Board Statement
Informed Consent Statement
Data Availability Statement
Conflicts of Interest
References
- Jiang, L.; Sun, H.; Peng, T.; Ding, W.; Liu, B.; Liu, Q. Comprehensive evaluation of environmental availability, pollution level and leaching heavy metals behavior in non-ferrous metal tailings. J. Environ. Manag. 2021, 290, 112639. [Google Scholar] [CrossRef] [PubMed]
- Sui, C.; Fatichi, S.; Burlando, P.; Weber, E.; Battista, G. Modeling distributed heavy metal pollution transport in a mine impacted catchment: Short and long-term effects. Sci. Total Environ. 2021, 812, 151473. [Google Scholar] [CrossRef] [PubMed]
- Jin, Z.; Deng, S.; Wen, Y.; Jin, Y.; Pan, L.; Zhang, Y.; Zhang, D. Application of Simplicillium chinense for Cd and Pb biosorption and enhancing heavy metal phytoremediation of soils. Sci. Total Environ. 2019, 697, 134148. [Google Scholar] [CrossRef] [PubMed]
- Li, X.; Wang, X.; Chen, Y.; Yang, X.; Cui, Z. Optimization of combined phytoremediation for heavy metal contaminated mine tailings by a field-scale orthogonal experiment. Ecotoxicol. Environ. Saf. 2019, 168, 1–8. [Google Scholar] [CrossRef] [PubMed]
- Khalid, M.; Ur-Rahman, S.; Hassani, D.; Hayat, K.; Zhou, P.; Hui, N. Advances in fungal-assisted phytoremediation of heavy metals: A review. Pedosphere 2021, 31, 475–495. [Google Scholar] [CrossRef]
- Kotrba, P.; Najmanova, J.; Macek, T.; Ruml, T.; Mackova, M. Genetically modified plants in phytoremediation of heavy metal and metalloid soil and sediment pollution. Biotechnol. Adv. 2009, 27, 799–810. [Google Scholar] [CrossRef]
- Oladoye, P.O.; Olowe, O.M.; Asemoloye, M.D. Phytoremediation technology and food security impacts of heavy metal contaminated soils: A review of literature. Chemosphere 2021, 288, 132555. [Google Scholar] [CrossRef]
- Sharma, P. Efficiency of bacteria and bacterial assisted phytoremediation of heavy metals: An update. Bioresour. Technol. 2021, 328, 124835. [Google Scholar] [CrossRef]
- Romero, M.F.; Gallego, D.; Lechuga-Jiménez, A.; Martínez, J.F.; Barajas, H.R.; Hayano-Kanashiro, C.; Alcaraz, L.D. Metagenomics of mine tailing rhizospheric communities and its selection for plant establishment towards bioremediation. Microbiol. Res. 2021, 247, 126732. [Google Scholar] [CrossRef]
- Sharma, P.; Tripathi, S.; Chaturvedi, P.; Chaurasia, D.; Chandra, R. Newly isolated Bacillus sp. PS-6 assisted phytoremediation of heavy metals using Phragmites communis: Potential application in wastewater treatment. Bioresour. Technol. 2021, 320, 124353. [Google Scholar] [CrossRef]
- Mensah, A.K.; Marschner, B.; Antoniadis, V.; Stemn, E.; Shaheen, S.M.; Rinklebe, J. Human health risk via soil ingestion of potentially toxic elements and remediation potential of native plants near an abandoned mine spoil in Ghana. Sci. Total Environ. 2021, 798, 149272. [Google Scholar] [CrossRef] [PubMed]
- Stylianou, M.; Gavriel, I.; Vogiatzakis, I.N.; Zorpas, A.; Agapiou, A. Native plants for the remediation of abandoned sulphide mines in Cyprus: A preliminary assessment. J. Environ. Manag. 2020, 274, 110531. [Google Scholar] [CrossRef]
- Jadia, C.; Fulekar, M. Phytoremediation of Heavy Metals: Recent Techniques. Afr. J. Biotechnol. 2009, 8, 921–928. [Google Scholar] [CrossRef]
- Dzomba, P. Heavy Metal Content in Acacia saligna and Acacia polyacantha on Slime Dams: Implications for Phytoremediation. Am. J. Exp. Agric. 2013, 3, 871–883. [Google Scholar] [CrossRef][Green Version]
- Wang, X.; Wang, Y.; Wang, Y. Use of exotic species during ecological restoration can produce effects that resemble vegetation invasions and other unintended consequences. Ecol. Eng. 2013, 52, 247–251. [Google Scholar] [CrossRef]
- Zhong, A.-L.; Hsiung, W.-Y. Evaluation and diagnosis of tree nutritional status in Chinese-fir (Cunninghamia lanceolata (Lamb) Hook) plantations, Jiangxi, China. For. Ecol. Manag. 1993, 62, 245–270. [Google Scholar] [CrossRef]
- Wei, X.; Li, Q.; Liu, Y.; Liu, S.; Guo, X.; Zhang, L.; Zhang, W. Restoring ecosystem carbon sequestration through afforestation: A sub-tropic restoration case study. For. Ecol. Manag. 2013, 300, 60–67. [Google Scholar] [CrossRef]
- Yang, J.; Dai, G.; Ma, L.; Jia, L.; Wu, J.; Wang, X. Forest-based bioenergy in China: Status, opportunities, and challenges. Renew. Sustain. Energy Rev. 2013, 18, 478–485. [Google Scholar] [CrossRef]
- Kong, X.; Wang, C.; Ji, M. Analysis of microbial metabolic characteristics in mesophilic and thermophilic biofilters using Biolog plate technique. Chem. Eng. J. 2013, 230, 415–421. [Google Scholar] [CrossRef]
- Liu, B.; Li, Y.; Zhang, X.; Wang, J.; Gao, M. Effects of chlortetracycline on soil microbial communities: Comparisons of enzyme activities to the functional diversity via Biolog EcoPlates™. Eur. J. Soil Biol. 2015, 68, 69–76. [Google Scholar] [CrossRef]
- Rutgers, M.; Wouterse, M.; Drost, S.M.; Breure, A.M.; Mulder, C.; Stone, D.; Bloem, J. Monitoring soil bacteria with community-level physiological profiles using Biolog™ ECO-plates in the Netherlands and Europe. Appl. Soil Ecol. 2016, 97, 23–35. [Google Scholar] [CrossRef]
- Weber, K.P.; Legge, R.L. Community-level physiological profiling. Methods Mol. Biol. 2010, 599, 263. [Google Scholar] [CrossRef] [PubMed]
- Garland, J.L.; Mills, A.L.; Young, J.S. Relative effectiveness of kinetic analysis vs single point readings for classifying environmental samples based on community-level physiological profiles (CLPP). Soil Biol. Biochem. 2001, 33, 1059–1066. [Google Scholar] [CrossRef]
- Preston-Mafham, J.; Boddy, L.; Randerson, P.F. Analysis of microbial community functional diversity using sole-carbon-source utilisation profiles–A critique. FEMS Microbiol. Ecol. 2002, 42, 1–14. [Google Scholar] [CrossRef]
- Lahlali, R.; Ibrahim, D.S.S.; Belabess, Z.; Kadir Roni, M.Z.; Radouane, N.; Vicente, C.S.L.; Peng, G. High-throughput molecular technologies for unraveling the mystery of soil microbial community: Challenges and future prospects. Heliyon 2021, 7, e08142. [Google Scholar] [CrossRef]
- Classen, A.T.; Boyle, S.I.; Haskins, K.E.; Overby, S.T.; Hart, S.C. Community-level physiological profiles of bacteria and fungi: Plate type and incubation temperature influences on contrasting soils. FEMS Microbiol. Ecol. 2003, 44, 319–328. [Google Scholar] [CrossRef]
- De Gens, B.P.; Schipper, L.A.; Sparling, G.P.; Vojvodic-Vukovic, M. Decreases in organic C reserves in soils can reduce the catabolic diversity of soil microbial communities. Soil Biol. Biochem. 2000, 32, 189–196. [Google Scholar] [CrossRef]
- Shannon, C.E. A mathematical theory of communication, 1948. Bell Syst. Tech. J. 1948, 27, 3–55. [Google Scholar] [CrossRef]
- Pielou, E.C. Mathematical Ecology. J. Anim. Ecol. 1977, 47, 1024. [Google Scholar] [CrossRef]
- Simpson, E.H. Measurement of Diversity. Nature 1949, 163, 688. [Google Scholar] [CrossRef]
- Yang, Y.; Yao, J.; Hua, X. Effect of pesticide pollution against functional microbial diversity in soil. Wei Sheng Wu Xue Za Zhi 2000, 20, 23–25. [Google Scholar]
- High-Throughput Gene Sequencing. Available online: http://www.biomarker.com.cn (accessed on 7 June 2021).
- Magoč, T.; Salzberg, S.L. FLASH: Fast length adjustment of short reads to improve genome assemblies. Bioinformatics 2011, 27, 2957–2963. [Google Scholar] [CrossRef] [PubMed]
- Caporaso, J.G.; Bittinger, K.; Bushman, F.D.; DeSantis, T.Z.; Andersen, G.L.; Knight, R. PyNAST: A flexible tool for aligning sequences to a template alignment. Bioinformatics 2010, 26, 266–267. [Google Scholar] [CrossRef] [PubMed]
- Bokulich, N.A.; Subramanian, S.; Faith, J.J.; Gevers, D.; Gordon, J.I.; Knight, R.; Mills, D.A.; Caporaso, J.G. Quality-filtering vastly improves diversity estimates from Illumina amplicon sequencing. (1548-7105 (Electronic)). Nat. Methods 2013, 10, 57–59. [Google Scholar] [CrossRef]
- Edgar, R.C. UPARSE: Highly accurate OTU sequences from microbial amplicon reads. (1548-7105 (Electronic)). Nat. Methods 2013, 10, 996–998. [Google Scholar] [CrossRef]
- Qin, F.; Ji, H.; Li, Q.; Guo, X.; Tang, L.; Feng, J. Evaluation of trace elements and identification of pollution sources in particle size fractions of soil from iron ore areas along the Chao River. J. Geochem. Explor. 2014, 138, 33–49. [Google Scholar] [CrossRef]
- Sarathchandra, S.S.; Rengel, Z.; Solaiman, Z.M. Remediation of heavy metal-contaminated iron ore tailings by applying compost and growing perennial ryegrass (Lolium perenne L.). Chemosphere 2022, 288, 132573. [Google Scholar] [CrossRef]
- Illian, J.B.; Prosser, J.I.; Baker, K.L.; Rangel-Castro, J.I. Functional principal component data analysis: A new method for analysing microbial community fingerprints. J. Microbiol. Methods 2009, 79, 89–95. [Google Scholar] [CrossRef]
- Lindström, E.S.; Kamst-van Agterveld, M.P.; Zwart, G.D. Distribution of Typical Freshwater Bacterial Groups Is Associated with pH, Temperature, and Lake Water Retention Time. Appl. Environ. Microbiol. 2005, 71, 8201–8206. [Google Scholar] [CrossRef]
- Kodešová, R.; Chroňáková, A.; Grabicová, K.; Kočárek, M.; Schmidtová, Z.; Frková, Z.; Grabic, R. How microbial community composition, sorption and simultaneous application of six pharmaceuticals affect their dissipation in soils. Sci. Total Environ. 2020, 746, 141134. [Google Scholar] [CrossRef]
- Singhal, A.; Goel, S.; Sengupta, D. Physicochemical and elemental analyses of sandstone quarrying wastes to assess their impact on soil properties. J. Environ. Manag. 2020, 271, 111011. [Google Scholar] [CrossRef] [PubMed]
- Zhang, Y.; Wang, J.; Feng, Y. The effects of biochar addition on soil physicochemical properties: A review. CATENA 2021, 202, 105284. [Google Scholar] [CrossRef]
- Zhang, Z.; Wu, X.; Tu, C.; Huang, X.; Zhang, J.; Fang, H.; Lin, C. Relationships between soil properties and the accumulation of heavy metals in different Brassica campestris L. growth stages in a Karst mountainous area. Ecotoxicol. Environ. Saf. 2020, 206, 111150. [Google Scholar] [CrossRef]
- Kirkham, M.B. Cadmium in plants on polluted soils: Effects of soil factors, hyperaccumulation, and amendments. Geoderma 2006, 137, 19–32. [Google Scholar] [CrossRef]
- Lynch, D.; Voroney, P.; Warman, P. Soil Physical Properties and Organic Matter Fractions Under Forages Receiving Composts, Manure or Fertilizer. Compost. Sci. Util. 2013, 13, 252–261. [Google Scholar] [CrossRef]
- Qin, L.; Wang, M.; Zhao, S.; Li, S.; Lei, X.; Wang, L.; Chen, S. Effect of soil leaching on the toxicity thresholds (ECx) of Zn in soils with different properties. Ecotoxicol. Environ. Saf. 2021, 228, 112999. [Google Scholar] [CrossRef] [PubMed]
- Santos-Francés, F.; Martínez-Graña, A.; Ávila-Zarza, C.; Criado, M.; Sánchez, Y. Comparison of methods for evaluating soil quality of semiarid ecosystem and evaluation of the effects of physico-chemical properties and factor soil erodibility (Northern Plateau, Spain). Geoderma 2019, 354, 113872. [Google Scholar] [CrossRef]
- Wu, H.; Xiang, W.; Ouyang, S.; Xiao, W.; Li, S.; Chen, L.; Peng, C. Tree growth rate and soil nutrient status determine the shift in nutrient-use strategy of Chinese fir plantations along a chronosequence. For. Ecol. Manag. 2020, 460, 117896. [Google Scholar] [CrossRef]
- Li, J.; Zhou, L.; Lin, W. Calla lily intercropping in rubber tree plantations changes the nutrient content, microbial abundance, and enzyme activity of both rhizosphere and non-rhizosphere soil and calla lily growth. Ind. Crops Prod. 2019, 132, 344–351. [Google Scholar] [CrossRef]
- Zhang, X.; Zhu, B.; Yu, F.; Cheng, W. Plant inputs mediate the linkage between soil carbon and net nitrogen mineralization. Sci. Total Environ. 2021, 790, 148208. [Google Scholar] [CrossRef]
- Ashraf, S.; Ali, Q.; Zahir, Z.A.; Ashraf, S.; Asghar, H.N. Phytoremediation: Environmentally sustainable way for reclamation of heavy metal polluted soils. Ecotoxicol. Environ. Saf. 2019, 174, 714–727. [Google Scholar] [CrossRef] [PubMed]
- Gong, X.; Huang, D.; Liu, Y.; Zeng, G.; Chen, S.; Wang, R.; Xue, W. Biochar facilitated the phytoremediation of cadmium contaminated sediments: Metal behavior, plant toxicity, and microbial activity. Sci. Total Environ. 2019, 666, 1126–1133. [Google Scholar] [CrossRef] [PubMed]
- Shen, X.; Dai, M.; Yang, J.; Sun, L.; Tan, X.; Peng, C.; Naz, I. A critical review on the phytoremediation of heavy metals from environment: Performance and challenges. Chemosphere 2021, 291, 132979. [Google Scholar] [CrossRef] [PubMed]
- Manoj, S.R.; Karthik, C.; Kadirvelu, K.; Arulselvi, P.I.; Shanmugasundaram, T.; Bruno, B.; Rajkumar, M. Understanding the molecular mechanisms for the enhanced phytoremediation of heavy metals through plant growth promoting rhizobacteria: A review. J. Environ. Manag. 2020, 254, 109779. [Google Scholar] [CrossRef]
- Sharma, P.; Pandey, A.K.; Udayan, A.; Kumar, S. Role of microbial community and metal-binding proteins in phytoremediation of heavy metals from industrial wastewater. Bioresour. Technol. 2021, 326, 124750. [Google Scholar] [CrossRef]
- Huang, R.; Cui, X.; Luo, X.; Mao, P.; Zhuang, P.; Li, Y.; Li, Y.; Li, Z. Effects of plant growth regulator and chelating agent on the phytoextraction of heavy metals by Pfaffia glomerata and on the soil microbial community. Environ. Pollut. 2021, 283, 117159. [Google Scholar] [CrossRef]
- Patra, D.K.; Pradhan, C.; Patra, H.K. Toxic metal decontamination by phytoremediation approach: Concept, challenges, opportunities and future perspectives. Environ. Technol. Innov. 2020, 18, 100672. [Google Scholar] [CrossRef]
- Raklami, A.; Tahiri, A.-I.; Bechtaoui, N.; Abdelhay, E.G.; Pajuelo, E.; Baslam, M.; Oufdou, K. Restoring the plant productivity of heavy metal-contaminated soil using phosphate sludge, marble waste, and beneficial microorganisms. J. Environ. Sci. 2021, 99, 210–221. [Google Scholar] [CrossRef]
- Rajkumar, M.; Sandhya, S.; Prasad, M.N.V.; Freitas, H. Perspectives of plant-associated microbes in heavy metal phytoremediation. Biotechnol. Adv. 2012, 30, 1562–1574. [Google Scholar] [CrossRef]
- Thakare, M.; Sarma, H.; Datar, S.; Roy, A.; Pawar, P.; Gupta, K.; Prasad, R. Understanding the holistic approach to plant-microbe remediation technologies for removing heavy metals and radionuclides from soil. Curr. Res. Biotechnol. 2021, 3, 84–98. [Google Scholar] [CrossRef]
- Adeyemi, N.O.; Atayese, M.O.; Sakariyawo, O.S.; Azeez, J.O.; Abayomi Sobowale, S.P.; Olubode, A.; Adeoye, S. Alleviation of heavy metal stress by arbuscular mycorrhizal symbiosis in Glycine max (L.) grown in copper, lead and zinc contaminated soils. Rhizosphere 2021, 18, 100325. [Google Scholar] [CrossRef]
- Yang, C.; Ho, Y.-N.; Inoue, C.; Chien, M.-F. Long-term effectiveness of microbe-assisted arsenic phytoremediation by Pteris vittata in field trials. Sci. Total Environ. 2020, 740, 140137. [Google Scholar] [CrossRef]
- Liu, C.; Lin, H.; Li, B.; Dong, Y.; Yin, T. Responses of microbial communities and metabolic activities in the rhizosphere during phytoremediation of Cd-contaminated soil. Ecotoxicol. Environ. Saf. 2020, 202, 110958. [Google Scholar] [CrossRef] [PubMed]
- Chodak, M.; Gołębiewski, M.; Morawska-Płoskonka, J.; Kuduk, K.; Niklińska, M. Diversity of microorganisms from forest soils differently polluted with heavy metals. Appl. Soil Ecol. 2013, 64, 7–14. [Google Scholar] [CrossRef]
- Niklińska, M.; Chodak, M.; Laskowski, R. Characterization of the forest humus microbial community in a heavy metal polluted area. Soil Biol. Biochem. 2005, 37, 2185–2194. [Google Scholar] [CrossRef]
- Ranjard, L.; Lignier, L.; Chaussod, R. Cumulative effects of short-term polymetal contamination on soil bacterial community structure. Appl. Environ. Microbiol. 2006, 72, 1684–1687. [Google Scholar] [CrossRef]
- Singh, B.K.; Quince, C.; Macdonald, C.A.; Khachane, A.; Thomas, N.; Al-Soud, W.A.; Sørensen, S.J.; He, Z.; White, D.; Sinclair, A.; et al. Loss of microbial diversity in soils is coincident with reductions in some specialized functions. Env. Microbiol. 2014, 16, 2408–2420. [Google Scholar] [CrossRef]
- Fernandez Nuñez, N.; Maggia, L.; Stenger, P.-L.; Lelievre, M.; Letellier, K.; Gigante, S.; Carriconde, F. Potential of high-throughput eDNA sequencing of soil fungi and bacteria for monitoring ecological restoration in ultramafic substrates: The case study of the New Caledonian biodiversity hotspot. Ecol. Eng. 2021, 173, 106416. [Google Scholar] [CrossRef]
- Guo, H.; Nasir, M.; Lv, J.; Dai, Y.; Gao, J. Understanding the variation of microbial community in heavy metals contaminated soil using high throughput sequencing. Ecotoxicol. Environ. Saf. 2017, 144, 300–306. [Google Scholar] [CrossRef]






| Scheme | pH † Mean ± SD | Ec μs/cm Mean ± SD | SOC g/kg Mean ± SD | TN g/kg Mean ± SD | TP g/kg Mean ± SD | TK g/kg Mean ± SD | AN mg/kg Mean ± SD | AK mg/kg Mean ± SD | Cu mg/kg Mean ± SD | Pb mg/kg Mean ± SD | Zn mg/kg Mean ± SD | 
|---|---|---|---|---|---|---|---|---|---|---|---|
| CRS ‡ | 5.58 ± 0.03c § | 134.97 ± 0.15a | 7.63 ± 0.25b | 0.82 ± 0.01b | 0.41 ± 0.01c | 20.41 ± 0.95bc | 327.2 ± 47.90b | 19.55 ± 4.52b | 82.47 ± 2.45bc | 50.36 ± 3.69b | 238.34 ± 4.38b | 
| CBS | 4.93 ± 0.02hi | 87.43 ± 0.23c | 3.47 ± 0.02d | 0.42 ± 0.01h | 0.37 ± 0.01c | 22.98 ± 0.57ab | 156.51 ± 3.71d | 10.72 ± 0.66c | 79.62 ± 1.74c | 45.94 ± 1.71b | 246.06 ± 2.38ab | 
| ZRS | 4.95 ± 0.03hi | 66.93 ± 0.15g | 3.38 ± 0.18d | 0.48 ± 0.00fg | 0.66 ± 0.01a | 20.97 ± 0.45bc | 72.04 ± 1.33f | 14.46 ± 0.72c | 94.87 ± 1.43a | 73.30 ± 1.71a | 269.54 ± 18.32ab | 
| ZBS | 5.20 ± 0.02f | 70.57 ± 0.40f | 4.93 ± 0.04cd | 0.51 ± 0.02f | 0.44 ± 0.02bc | 20.04 ± 0.97bc | 112.88 ± 6.13e | 12.91 ± 0.82c | 85.48 ± 2.51b | 68.66 ± 15.74a | 60.52 ± 3.43d | 
| TRS | 5.49 ± 0.01d | 85.37 ± 0.35d | 6.24 ± 0.26bc | 0.81 ± 0.02b | 0.48 ± 0.02bc | 20.69 ± 0.39bc | 382.08 ± 1.01a | 14.54 ± 1.26c | 73.04 ± 0.63d | 61.20 ± 1.58ab | 100.82 ± 5.25d | 
| TBS | 4.88 ± 0.03i | 46.7 ± 0.35k | 5.01 ± 0.18cd | 0.63 ± 0.01d | 0.54 ± 0.01b | 23.61 ± 0.68a | 67.96 ± 1.82f | 13.71 ± 0.21c | 60.44 ± 0.58e | 73.42 ± 3.34a | 290.16 ± 4.36ab | 
| CMRS | 5.36 ± 0.03e | 90.97 ± 0.15b | 4.68 ± 0.20cd | 0.62 ± 0.01d | 0.32 ± 0.01c | 18.43 ± 0.19c | 372.26 ± 6.57a | 23.45 ± 2.46ab | 23.25 ± 0.32h | 61.09 ± 0.96ab | 268.76 ± 12.25ab | 
| CMBS | 5.31 ± 0.02e | 75.3 ± 0.00e | 3.55 ± 0.15d | 0.58 ± 0.01e | 0.33 ± 0.01c | 19.05 ± 0.51c | 232.85 ± 0.00c | 22.11 ± 0.70ab | 28.45 ± 1.18g | 64.10 ± 1.63a | 297.14 ± 32.62a | 
| PRS | 5.00 ± 0.03h | 39.1 ± 0.44l | 2.75 ± 0.39d | 0.47 ± 0.02g | 0.43 ± 0.00bc | 24.33 ± 0.59a | 56.00 ± 0.00f | 13.04 ± 0.79c | 25.82 ± 0.13gh | 63.15 ± 2.88ab | 282.68 ± 6.01ab | 
| PBS | 5.08 ± 0.02g | 63.37 ± 0.71h | 4.61 ± 0.04cd | 0.63 ± 0.03d | 0.51 ± 0.16bc | 21.3 ± 1.55b | 162.75 ± 7.63d | 13.42 ± 0.22c | 26.12 ± 0.98gh | 60.00 ± 1.60ab | 270.24 ± 8.68ab | 
| ARS | 6.26 ± 0.06a | 62.73 ± 0.35hi | 5.99 ± 0.29c | 0.70 ± 0.03c | 0.60 ± 0.01ab | 22.92 ± 1.22ab | 78.46 ± 3.54f | 17.66 ± 0.57bc | 60.00 ± 2.04e | 65.53 ± 3.35a | 170.83 ± 41.78c | 
| ABS | 5.95 ± 0.07b | 52.13 ± 0.31j | 4.25 ± 0.08cd | 0.69 ± 0.01c | 0.60 ± 0.01ab | 23.49 ± 0.20a | 119.00 ± 4.63e | 16.43 ± 0.21bc | 63.44 ± 0.96e | 71.84 ± 2.74a | 164.96 ± 36.37c | 
| UNS | 4.63 ± 0.02j | 62.3 ± 0.40i | 25.49 ± 2.22a | 1.65 ± 0.01a | 0.44 ± 0.01bc | 14.81 ± 0.71d | 168.47 ± 6.78d | 23.95 ± 1.18a | 34.92 ± 0.49f | 65.50 ± 2.65a | 148.24 ± 12.42c | 
| Risk screening value of heavy metal (GB15618-2018) | pH ≤ 5.5 | 50 | 70 | 200 | |||||||
| 5.5 < pH ≤ 6.5 | 90 | ||||||||||
| Samples | Shannon–Wiener Diversity Index | Pielou Evenness Index | Simpson Dominance Index | McIntosh Diversity Index | McIntosh Evenness Index | 
|---|---|---|---|---|---|
| CRS † | 3.19 ± 0.02a ‡ | 0.93 ± 0.01a | 0.95 ± 0ab | 3.64 ± 0.17b | 0.96 ± 0a | 
| CBS | 3.20 ± 0.02a | 0.94 ± 0a | 0.95 ± 0a | 4.17 ± 0.24a | 0.96 ± 0a | 
| ZRS | 3.06 ± 0.09ab | 0.91 ± 0.01b | 0.95 ± 0ab | 2.58 ± 0.31cd | 0.95 ± 0ab | 
| ZBS | 2.88 ± 0.04bc | 0.85 ± 0.01d | 0.93 ± 0b | 2.61 ± 0.1c | 0.91 ± 0bc | 
| TRS | 2.96 ± 0.08b | 0.88 ± 0.02cd | 0.94 ± 0.01ab | 2.41 ± 0.1cd | 0.93 ± 0.02bc | 
| TBS | 2.84 ± 0.05bc | 0.88 ± 0.01cd | 0.93 ± 0b | 2.08 ± 0.24d | 0.93 ± 0.01b | 
| CMRS | 2.88 ± 0.07bc | 0.86 ± 0.01cd | 0.93 ± 0b | 1.57 ± 0.08e | 0.92 ± 0.01bc | 
| CMBS | 2.97 ± 0.05b | 0.88 ± 0.01cd | 0.94 ± 0ab | 1.78 ± 0.2de | 0.92 ± 0.01bc | 
| PRS | 2.76 ± 0.05bc | 0.84 ± 0.01d | 0.93 ± 0b | 1.42 ± 0.02e | 0.90 ± 0.01c | 
| PBS | 2.73 ± 0.21c | 0.90 ± 0.03bc | 0.92 ± 0.03b | 1.40 ± 0.27e | 0.92 ± 0.04bc | 
| ARS | 3.00 ± 0.04ab | 0.88 ± 0.01c | 0.94 ± 0ab | 2.12 ± 0.3d | 0.93 ± 0.01bc | 
| ABS | 2.77 ± 0.39bc | 0.88 ± 0.01c | 0.92 ± 0.03b | 1.72 ± 0.79de | 0.92 ± 0.02bc | 
| UNS | 2.89 ± 0.03bc | 0.86 ± 0.01cd | 0.93 ± 0b | 2.00 ± 0.08de | 0.91 ± 0.01bc | 
| Publisher’s Note: MDPI stays neutral with regard to jurisdictional claims in published maps and institutional affiliations. | 
© 2022 by the authors. Licensee MDPI, Basel, Switzerland. This article is an open access article distributed under the terms and conditions of the Creative Commons Attribution (CC BY) license (https://creativecommons.org/licenses/by/4.0/).
Share and Cite
Wang, Q.; Sun, Q.; Wang, W.; Liu, X.; Song, L.; Hou, L. Effects of Different Native Plants on Soil Remediation and Microbial Diversity in Jiulong Iron Tailings Area, Jiangxi. Forests 2022, 13, 1106. https://doi.org/10.3390/f13071106
Wang Q, Sun Q, Wang W, Liu X, Song L, Hou L. Effects of Different Native Plants on Soil Remediation and Microbial Diversity in Jiulong Iron Tailings Area, Jiangxi. Forests. 2022; 13(7):1106. https://doi.org/10.3390/f13071106
Chicago/Turabian StyleWang, Qian, Qiwu Sun, Wenzheng Wang, Xiangrong Liu, Liguo Song, and Lingyu Hou. 2022. "Effects of Different Native Plants on Soil Remediation and Microbial Diversity in Jiulong Iron Tailings Area, Jiangxi" Forests 13, no. 7: 1106. https://doi.org/10.3390/f13071106
APA StyleWang, Q., Sun, Q., Wang, W., Liu, X., Song, L., & Hou, L. (2022). Effects of Different Native Plants on Soil Remediation and Microbial Diversity in Jiulong Iron Tailings Area, Jiangxi. Forests, 13(7), 1106. https://doi.org/10.3390/f13071106
 
         
                                                

 
       