Next Article in Journal
Climatic Suitability and Distribution Overlap of Sawflies (Hymenoptera: Diprionidae) and Threatened Populations of Pinaceae
Next Article in Special Issue
Functional Diversity of Soil Microorganisms and Influencing Factors in Three Typical Water-Conservation Forests in Danjiangkou Reservoir Area
Previous Article in Journal
Biocontrol of Phytophthora xcambivora on Castanea sativa: Selection of Local Trichoderma spp. Isolates for the Management of Ink Disease
Previous Article in Special Issue
Changes in the Microbiological Properties of Soils along the Gradient of the Altitude Zone of Mount Kivaka in Eastern Fennoscandia, Russia
 
 
Font Type:
Arial Georgia Verdana
Font Size:
Aa Aa Aa
Line Spacing:
Column Width:
Background:
Article

The Prokaryotic Complex of Modern and Buried Soils on the Kamchatka Peninsula

by
Natalia A. Manucharova
1,*,
Timur D. Karimov
2,
Maria M. Pevzner
3,
Roman I. Nechushkin
3,
Lev A. Pozdnyakov
1,
Pavel Y. Stepanov
4 and
Alexey L. Stepanov
1
1
Faculty of Soil Science, Lomonosov Moscow State University, 1-12, GSP-1, Leninskie Gory, 119991 Moscow, Russia
2
D-REAMS Laboratory, Weizmann Institute of Science, 234 Herzl Street, Rehovot 7610001, Israel
3
Geological Institute of RAS, 7-1, Pyzhevsky Lane, 119017 Moscow, Russia
4
Geologycal Faculty, Lomonosov Moscow State University, 1-12, GSP-1, Leninskie Gory, 119991 Moscow, Russia
*
Author to whom correspondence should be addressed.
Forests 2022, 13(7), 1066; https://doi.org/10.3390/f13071066
Submission received: 29 May 2022 / Revised: 20 June 2022 / Accepted: 29 June 2022 / Published: 6 July 2022

Abstract

:
A prokaryotic heterotrophic mesophilic community was studied in volcanic soil samples from Kamchatka. A phylogenetic and physiological characterization of the prokaryotic complex of modern and buried soils of the Kamchatka Peninsula is given. Volcanic Paleolithic soils (2500 and 11,300 years old) and their modern equivalents were investigated. It was found that the biomass of metabolically active prokaryotes in modern volcanic and Paleolithic soils reached 50 and 40 µg/g, respectively. The proportion of archaea in the metabolically active prokaryotic complex varied from 20% to 30% and increased in variants with the application of the nitrogen-containing biopolymer chitin. The application of the additional resource to paleovolcanic soils led to an incremental increase in the proportion of metabolically active prokaryotes, which reached 50% of the total prokaryotic biomass detected, indicating the high metabolic potential of the considered soils. Phylogenetic structure characteristics of the prokaryotic metabolically active component of modern and buried volcanic soil were established by molecular biology methods (metagenomic analysis, FISH method). The phylum Proteobacteria (74%), Acidobacteria, and Actinobacteria (14% combined) were dominant in modern soils; phylum Acidobacteria (51.8%) was dominant in paleosoils, whereas Chloroflexi (21%) and Proteobacteria (9%) were subdominant. It was determined that the potential activity of the microbial hydrolytic community, as measured by the relative response to the added resource (chitin), was found to increase in a series from modern to paleovolcanic soil. It was demonstrated that several key genes of the nitrogen cycle responsible for the processes of molecular nitrogen fixation, nitrification, and denitrification (nifH, amoA, nirK) were present in both modern and buried horizons.

1. Introduction

In recent years, microbiological research on the Kamchatka Peninsula has focused on extreme habitats and the presence of extremophile microorganisms [1,2,3,4]. Extreme habitats and the prokaryotic communities that inhabit them are of greatest interest to researchers. There are numerous publications on the study and identification of thermophilic, acidophilic, or alkaliphilic microorganisms from geothermally active areas of Kamchatka [1,2,5,6,7,8]. Microbiological studies of associated thermal habitats such as fumaroles, hot springs, geysers, and solfataras [9] have shown that thermal habitat communities can exist autonomously and do not depend on the external environment [9]. Conditions for the preservation of microorganisms from thermal springs and fumaroles in the surrounding permafrost form in those regions where active volcanism and geothermal activity occur in the zone of permafrost spreading [10]. Some researchers have noted a greater productivity for soils formed on volcanic sediments in the tropical zone [11]. The greatest number of prokaryotic rRNA genes in such soils is concentrated in the upper, most organic-rich horizons. Volcanic soils in the tropics are mainly dominated by Proteobacteria and Acidobacteria phyla (groups Acidobacteriales, Solibacterales). Less attention is paid to soils and microorganisms inhabiting them far from active volcanic centers. Nevertheless, the soil cover of Kamchatka as a whole is a unique natural phenomenon [12]. Modern volcanic activity strongly influences the nature of the peninsula, and, because of the interaction of volcanism with other factors of soil formation, special habitats for soil microorganisms are formed. This paper focuses on the study of the microbiological component of several soils of different ages with varying distances from active volcanic centers in the Central Kamchatka Peninsula, partially removed from the general cycle of matter. Such buried soils, in our opinion, might be considered as natural depositories capable of preserving microorganisms with great biotechnological potential.
The aim of this work was to phylogenetically and physiologically characterize the prokaryotic complex of modern and buried soils of the Kamchatka Peninsula.

2. Materials and Methods

The studies were conducted in the northern part of the Kamchatka Peninsula (Figure 1a). Two sections were plotted: at the foot of volcano Shiveluch (Figure 1b), one of the largest and most active volcanoes of the peninsula [13], and at approximately 100 km from active volcanoes, in the middle ridge of Kamchatka on the southwestern foot of the extinct volcanoes Alnei–Chashakonda massif (Figure 1c). In both cases, the soil profile is a fractional interstratification of buried soil horizons and volcanic ash and is identified as a soil-pyroclastic cover (SPC).
The first section is located at the northern foot of the Shiveluch volcano, 20 km from its peak (56°49′42″ N 161°19′28″ E). The SPC is formed on deposits of a large clastic avalanche dated 11.3 ka BP in a stone-birch forest [14]. Figure 2a,b demonstrates clearly that, near the active volcano, where the maximum frequency of ashfalls is observed, the soil profile is saturated with volcanic material of different dimensions, from fine sand to gravel and lapilli pumice. A large amount of pyroclastic material also leads to an increase in the thickness of the entire section, with the soil interlayers occupying a subordinate position. Two horizons (modern and buried) of Aluandic Andosols Dystric stratified ochre volcanic soil (IUSS Working Group, 2015) were sampled to characterize the prokaryotic complex. The characteristics of the samples (Shiveluch) are presented in Table 1.
The second section was plotted in the valley of the Tigil River, whose headwaters are located in the massif of extinct volcanoes of Alnay–Chashakonja (56°29′52″ N 159°31′03″ E). The SPC is formed on lava deposits of Quaternary period in the mountain tundra zone. Figure 2c,d shows that the amount of volcanic ash in the section decreases considerably at a significant distance from active volcanoes. They noticeably decrease in thickness and are represented only by thin sands. The total thickness of the soil profile also decreases. At the same time, the thickness of organogenic soil horizons in the section increases considerably. The soil is characterized as poorly developed volcanic humus-ochric, Aluandic Andosols Dystric [16]. Two soil samples (“Tigil”) were collected from the modern and buried horizons (Table 1).
Description of the section of volcanic stratified ochre soil (Shiveluch).
A depth of 15 cm—turf and loose semi-decomposed forest litter; 10 cm—dirty-white, loose, coarse-grained sand with a single gravel (SH1854); 17 cm—dark brown soil horizon, loamy, almost structureless with light layers of unidentified ash; 12 cm—the horizon of marking volcanic ash, stratified, in the upper part light fawn fine-grained to siltstone, in the lower part dark fawn of coarser granulation (SH2); 25 cm—the soil horizon is brownish-gray, with a large number of organic residues of varying degrees of decomposition, lumpy structure, loose, intertwined with a dense network of roots. There is a marking layer of ash of light fawn color, fine-grained (SH3); up to 6 cm—marking layer of ash, ochreous siltstone (KS1); 60 cm—interlayer of ash horizons and buried soil (grayish-ochre and grayish-brown) lightly loamy, desalinated; 1–1.5 cm—bright bluish-gray fine-grained sand, hardened along the lower border.
Description of the section of volcanic humus-ochre soil (Tigil).
A depth of 3 cm—turf, 1 cm from the roof light gray siltstone with an admixture of fine-grained sand (unidentified ash); 9 cm—humus horizon, dark gray to brown, slightly structured, powdery, loose with stratified layers of black fine-grained sands of basalt composition; 0.2–1.2 cm—pinkish-light gray siltstone with an admixture of fine-grained sand (SH1); 2 cm—humus horizon, dark gray to brown, slightly structured, powdery, loose, with stones not rolled in diameter up to 0.5 cm; 0.5 cm—bright creamy white siltstone with biotite (OP); 6 cm—dark coffee, with an unclear structure, with stones and volcanic sand of different composition; 1–2 cm—fawn siltstone (KHG); 2 cm—dark coffee, with an unclear structure; up to 2 cm—pale gray fine-grained sand of the “salt and pepper” type with rusty fine grains (SH8300); 54 cm—grayish-ochreous, loamy, fragile lumpy–powdery structure. Decayed, with fragments up to 15 cm in diameter throughout the power. At a depth of approximately 50 cm, a dark coffee to black high-humus horizon.
Radiocarbon dating of buried soils was carried out at the Geological Institute of the Russian Academy of Sciences (Moscow) according to the standard soil methodology, which is discussed in detail in Pevzner, 2015 [17]. Measurements were carried out on radiometric installations with a counting efficiency of approximately 50% in non-replaceable calibrated cuvettes with working volumes from 1.5 to 22.03 mL. E-5 and background samples were used as standards. The measurement of the age of one counting drug was carried out at least twice (one measurement lasts approximately a day), with an interval between them of 5–10 days on average. With a satisfactory score (the values of different measurements converge within the error), the average radiocarbon age of the sample was taken. The radiocarbon dates were calibrated to calendar age using Oxford University calibration software OxCalv4.4.2IntCal 20 [18,19]. The studied soil horizon of the volcanic stratified ochre soil at the foot of Shiveluch volcano was formed approximately 2.5 thousand years ago (calBP). The age of the volcanic hummocky-ochre soil in the Tigil River valley was estimated based on the stratigraphy of marker ashes. The age of the Sopok Plosky eruption, resulting in the deposition of marker ash PL, is estimated at 11,650 years calBP [15]. Since the soil is deposited directly beneath the PL ash (Figure 2c), its age is approximately 12 thousand years calBP. Soil microbial succession was initiated by humidification (soil water pressure was −3.2 kPa) and application of 0.6% biopolymer chitin suspension (0.3 g/5 g soil), as well as crude oil in an amount largely exceeding the MAC of 10% (1 mL/5 g soil). The soil weight was 5 g. Purified chitin was obtained from Sigma-Aldrich. Oil was obtained from the Azov–Kuban oil-and-gas-bearing basin (OGB, Kubanskaya area field, Well C-1, Table 2 and Table 3).
The use of two substrates (oil and chitin) is methodologically justified by different carbon-to-nitrogen ratios (C:N). This should lead to different degrees and speeds of substrate utilization and allows for assessment of the metabolic potential of the soil microbial community.
The following parameters were used as indicators of microbial decomposition of chitin and oil in soils: dynamics of bacterial numbers and biomass, assessment of metabolically active prokaryotic cells, presence or absence of functional genes characterizing the main metabolic reactions associated with N and C cycles in the system.
Epifluorescence microscopy using different fluorochromes—acridine orange, Sy3—was used to determine the total number and the number of metabolically active cells in the studied samples [20]. The total number of prokaryotes was determined using acridine orange dye, which reacts with cell DNA. Soil samples were pre-treated with Bandel in Sonopuls HD 2070 (Germany) for 2 min and 50% power for better cell desorption. Assessment of diversity and abundance of the metabolically active representatives of individual phylogenetic groups of microorganisms in the soils was carried out by in situ hybridization with rRNA-specific fluorescent-labeled oligonucleotide probes (fluorescent in situ hybridization, FISH) [21,22,23,24]. In this study, we used an array of probes specific for representatives of Archaea and Bacteria domains, as well as representatives of several phylogenetic groups (Acidobacteria, Actinobacteria, Bacteroidetes, Firmicutes, α-Proteobacteria, β-Proteobacteria, γ-Proteobacteria, δ-Proteobacteria, Planctomyces, Verrucomicrobia, Euryarchaeota, Crenoarchaeota, and Thaumarchaeota). This allowed for analysis of the bacterial and archaeal community of the soils under study. Hybridization temperature regime and hybridization and washing buffers were optimized for each bacterial phylogenetic group [25]. Prepared samples were observed using PrimoStar microscope (Zeiss, Germany) with a light filter (AmScope, Irvine, CA, USA). Prokaryotic biomass (B) was calculated according to Formula (1):
B = N × 2 × 10−14,
where N is the number of prokaryotic cells in 1 g of soil sample of bacteria in 1 g of sample, and the biomass of dry matter for 1 bacterial cell with volume of 0.1 µm3 is 2 × 10–14 g [20]. The specific gravity of microorganisms was taken as 1 g/cm3; the water content of the cells was 80%.
Total DNA extraction followed by sequencing was performed for all soil sample types (buried and modern). Metagenomic DNA was extracted from a 0.5 g soil sample using a specialized DNeasy Power Lyzer Power Soil Kit (MoBioLaboratories, Inc., Carlsbad, CA, USA) according to the manufacturer’s protocol. The nucleotide sequences of V3-V4 region of variable sections of 16S rRNA gene from metagenomic DNA samples were determined by high-throughput sequencing [26]. Sequencing was performed on Illumina Miseq sequencer by Evrogen Research Company (Moscow, Russia) with 39 h read time and 8 mln pair-end reads. Then, a file with forward and reverse reads from both ends of DNA (301 cycles from each end of the fragments) was generated, which was a textual description of the primary structure of linear macromolecules in the form of a monomer sequence. Sequencing data processing (FASTQ files) was performed using the DADA2 package functions for the programming language R.
The software tools were used to perform the following: check sequencing quality and create a library of sequences; generate OTUs (de novo OTU picking) with 97% similarity threshold; remove singletons (“singletons” are OTUs containing only one sequence) and sequences belonging to plant chloroplasts; remove chimeras.
In addition, random samples were created from each table: 2500 from initial coverage, 100,000 from final coverage, 2500 step, with the number of replicates—5. For each sample, Sørensen–Dyce and Bray–Curtis pairwise distance matrices were calculated. We calculated Shannon, Simpson, Pielu, and Chao alpha diversity scores using functions from the scikit-bio package for the Python programming language for each sample. Values for the same depth grouped by indicator and sample were averaged.
Sequences were visualized using Krona [27].
The abundance of ribosomal genes in bacteria and archaea was estimated by real-time polymerase chain reaction (RT-PCR) [28]. The reaction was performed in a DTLite4 DNA-Technology amplifier. The reaction mixture was prepared from Super Mix Eva Green (Carlsbad, CA, USA). The instrument was calibrated using the dependence of fluorescence intensity on the logarithm of DNA concentrations of standard solutions. Solutions of cloned fragments of ribosomal operon from Escherichia coli strain K12 were used as standards for 16S rRNA gene concentration for bacteria, and those of Halobacterium salinarum strain FG-07 were used for archaea. For each experimental variant (sample), the reactions were performed in three replicates and with negative control (sample without DNA matrix). Data processing was performed using the Real time_PCR software package. All DNA-specific primers used in the work, as well as reaction protocols (amplification temperature profile), are described in Table 4.
To better characterize the nitrogen cycle in the studied microbial communities, the genes responsible for the nitrification (ammonium oxidation) process were also amplified: amoA (AOB) for bacteria [29] and amoA (AOA) for archaea [30]. The reactions used a series of dilutions of a known number of copies of linearized plasmid (PCR4-TOPO, Aberdeen, Scotland) containing the amoA gene Nitrosospira multiformis ATCC25196. The following reaction protocol was used to amplify ammonium oxidizing bacteria: 95 °C 10 min; 94 °C 45 s, 58 °C 45 s, 72 °C 45 s—39 cycles; 95 °C 15 s, 60° C 30 s, 95 °C 15 s. The protocol for amplification of ammonium oxidizing archaea was: 94 °C 45 s, 55 °C 45 s, 72 °C 45 s—39 cycles; 95 °C 15 s, 60 °C 30 s, 95 °C 15 s.
Amplification of the genes responsible for the denitrification process of nirK [31] (Table 4) was carried out according to the following scheme: 95 °C 15 min; 95 °C 15 s, 60 °C 30 s, 72 °C 30 s, 80 °C 15 s—40 cycles; 95 °C 15 s, 72 °C 30 s. The nifH gene was amplified to determine the presence of the gene responsible for the ability to supply available nitrogen to the community (nitrogenase activity) [32]; the amplification temperature profile is shown in Table 4. DNA solutions extracted from cultures of Bacillus cereus and Azotobacter chroococcum were used as gene concentration standards for nirK gene and nifH gene copies, respectively.
The primer system described in Smith et al., 2013 [33] was used to identify functional genes indicative of n-alkane degradation processes. Streptomyces violaceus (sec. Roseus: ser. Roseoviolaceus) culture capable of using hydrocarbons as a single food source (toluene) was used as a standard for detection of alkB gene copies. The following protocol for the amplification was used: 1 cycle: 94.0 °C—5 min; 30 cycles: 94.0 °C—1 min; 60 °C—1 min; 72 °C—1 min; 1 cycle: 72 °C—3 min; 1 cycle—4 °C—cooling [34] (Table 4).

3. Results

The biomass of prokaryotic communities in the modern and buried horizons of the studied soils was determined by the direct accounting method. A greater prokaryotic biomass in the modern horizons than in the buried ones was observed for the studied samples (Figure 3). The addition of chitin leads to an increase in biomass in both buried and modern soil samples. However, the relative response of the microbial community of the buried soils to substrate application is significantly higher than that of modern soils. Similar patterns were noted by the authors earlier for the microbial hydrolytic community of buried paleochannels compared to modern chestnut soils [20]. When polysaccharide was applied to chestnut paleosoils, the proportion of metabolically active prokaryotic cells reached 50% of the total detectable prokaryotic community, and the response to the substrate application was more intense compared to modern soils. Similar results were obtained for the structure of the prokaryotic complex of Antarctic permafrost [35].
By the tenth day of the succession, the biomass of metabolically active representatives of the prokaryotic component of the sample collected from the buried horizon of volcanic stratified ochre soil moistened with water was 40 µg/g.p. (of which, 35 µg/g.p. was the bacterial component). An increase in biomass was observed in the microcosm following the addition of chitin compared to the control sample; the biomass value was 60 µg/g.p. (of which, 44 µg/g.p. was the bacterial component) (Figure 4).
By the thirtieth day of the succession, the metabolically active biomass of the sample of the buried horizon of volcanic stratified ochre soil moistened with water was 57 µg/g.p. (of which, 48 µg/g.p. was the bacterial component). The prokaryotic community biomass was 32 µg/g.p. (of which, 29 µg/g.p. was the bacterial component) in the variant with chitin by the thirtieth day of the succession. Thus, our results confirm the data obtained earlier for samples of chestnut modern and paleo-soil soils. The proportion of metabolically active prokaryotic components in the buried soil horizons reached 50% of all of the detected biomass when the microbial community was reactivated by the resource.
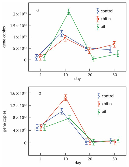
The number of copies of bacterial rRNA genes in the studied soils was determined using a real-time polymerase chain reaction. The gene copy number in the soils was measured dynamically during the succession. The variants with oil and chitin addition, as well as the control, were considered. The values of bacterial genes in the buried horizon were comparable to those of modern soils, reaching n × 1013 genes (Figure 5). The greatest response to the application of the resource was noted in the variants with chitin in the buried sample. This coincides with the results of total and metabolically active prokaryotic biomass in the buried soil samples with biopolymers, indicating a possible high metabolic potential of the studied soils.
The phylogenetic structure of the prokaryotic communities of two studied soils—volcanic stratified ochre and volcanic humus-ochre—was determined by the FISH method and metagenomic analysis. Significant differences in the structure of the bacterial complex of modern and buried soils were revealed.
The microbial community structure of the studied samples was determined using Krona software (Figure 6). For the modern horizon, it was determined that phylum Proteobacteria was dominant (74%); representatives of phyla Actinobacteria and Acidobacteria (14% together) were included in the moderate abundance groups, and the minor group included Gemmatimonadetes, Chloroflexi, and Verrucomicrobia (8% together) in this community (Figure 6B). Representatives of the other domain groups are only marginally represented, totaling less than 1%.
The biomass of metabolically active Proteobacteria phylum was 17 µg/g of the sample. Among Proteobacteria, representatives of class Alfaproteobacteria and orders (families) Ellin329, Rhodospirillales (Rhodospirillaceae, Acetobacteraceae), Rhizobiales (Hyphomicrobiaceae, Bradyrhizobiaceae), Caulobacterales (Caulobacteraceae), Rhodospirillales (Acetobacteraceae), and Sphingomonadales (Erythrobacteraceae) dominated. The classes Betaproteobacteria and Gammaproteobacteria are less represented.
Saccharibacteria (candidate phylum TM7) were detected in significant numbers.
For the Acidobacteria division (biomass of metabolically active representatives was 10 µg/g of the sample), the most characteristic orders were Acidobacteriales (Acidobacteriaceae, Koribacteraceae) and Solibacterales.
The Actinobacteria group having a biomass of metabolically active representatives in the amount of 8 µg/g of the sample was mainly represented by the class Thermoleophilia and its orders (Solirubrobacterales—family Patulibacteraceae, Gaiellales—family Gaiellaceae). The Acidimicrobiales (EB1017) and Actinomycetales (Nocardioidaceae) orders were also identified among Actinobacteria representatives.
Among the Chloroflexi, the classes Ellin6529 and Anaerolineae (GCA004) were identified.
Members of the family Chitinophagaceae of the order Bacteroidetes were detected in significant numbers.
Clostridiales (Clostridiaceae) was the most common among Firmicutes, and N1423WL among Gemmatimonadetes. The phylum Nitrospirae was represented by the class Nitrospira (order Nitrospirales, family Nitrospiraceae).
The archaeal community complex of the modern volcanic stratified ochre soil horizon was dominated by Crenarchaeota (NRJP) whereas Cenarchaeales was only minor. Among the Euryarchaeota, representatives of the class Thermoplasmata (order E2, family Methanomassilii coccaceae) were identified.
For the buried horizon (Figure 6A), the phylum Acidobacteria was dominant (51.8%), with subdominants being Chloroflexi (21%), Proteobacteria (9%), and Verrucomicrobia (7%). Representatives of Actinobacteria and Gemmatimonadetes phyla held minor positions in the structure of the studied community (4% together). The conditions for the existence of microorganisms change greatly during the transition from modern soils to their buried analogues. First of all, this affects the content of the resource available to microbes. Paleosols are characterized by a lower content of organic matter, which entails a change in the structure of the microbial community of soils. Thus, earlier, the authors found that, in the microbial complex of buried chestnut soils, in comparison with their modern counterparts, the number of spore-forming actinobacteria increases noticeably. In addition, with the introduction of chitin, this pattern was significantly enhanced [20].
The biomass of metabolically active Acidobacteria representatives in paleochannels reached 20 µg/g of the sample. Acidobacteria were represented by classes DA052 (order Ellin6513), Chloracidobacteria, Chloracidobacteria (o__RB41), orders Acidobacteriales (Acidobacteriaceae, Koribacteraceae), and Solibacteres (Solibacterales).
The following representatives were found in large numbers: Dormibacteraeota (formerly known as AD3) from the phylum Chloroflexi typical for deep soil horizons with a reduced organic carbon content; also active hydrolytes from division Verrucomicrobia (class Spartobacteria, order Chthoniobacterales, family Chthoniobacteraceae); and, finally, class Methylacidiphilae (S-BQ2-57) from Verrucomicrobia.
Proteobacteria with a biomass of metabolically active representatives in the amount of 8 µg/g of the sample, mainly Alphaproteobacteria (order Ellin329), as well as orders (Rhodospirillales, family Rhodospirillaceae) and Rhizobiales (Hyphomicrobiaceae), were detected. Among Betaproteobacteria, the order Ellin 6067 was detected.
Actinobacteria were represented by the classes Acidimicrobia (Acidimicrobiales, family EB1017) and Thermoleophilia (order Gaiellales, family Gaiellaceae).
Gemmatimonadetes (Gemmatimonadetes, order N1423WL, family c__Gemm-1), Nitrospirae (Nitrospira, order Nitrospirales, family 0319-6A21), and Bacteroidetes (Sphingobacteriia order Sphingobacteriales) were identified.
The archaeal community complex of the buried volcanic stratified ochre soil horizon was dominated by Euryarchaeota, mainly Methanomicrobia (Methanocellale). The representatives of pGrfC26 were typical for Crenarchaeota in the buried horizon. Thaumarchaeota were represented by the order Cenarchaeales (SAGMA-X).
Biodiversity indices (i.e., alpha-diversity) were calculated for each sample using the Python scikit-bio software package. For the modern horizon, the following indices were calculated: the Chao1 index was 669.5, Pielu index (“alignment” of the community) = 0.6, Shannon index = 5.65, Simpson index = 0.95. For the buried horizon, the Chao index was 448.3, Pielu index = 0.59, Shannon index = 5.26, Simpson index = 0.91.
The addition of chitin to the studied samples leads to a change in the structure of the metabolically active prokaryotic component of the microbial community. The number and biomass of actinobacteria increase, whereas the number of proteobacteria decreases (Figure 7). More evidence of the ability of prokaryotes to synthesize a variety of instances of depolymerization was obtained [36,37]. A high chitinolytic activity of Actinobacteria is known from the literature [38]. Actinomycete complexes have a high chitinolytic activity in various soils [39,40] The intensity of prokaryotes-destroyers, as well as that of all microorganisms, strongly depends on environmental factors, including temperature, moisture, redox conditions, etc.
In parallel, the functional activity of the prokaryotic community was assessed in the studied soil samples by detecting the presence of nitrogen cycle genes in the system: nifH—nitrogenase activity, amoA (AOB)—ammonium oxidizing bacteria monooxygenase activity, amoA (AOA)—ammonium oxidizing archaea monooxygenase activity, and nirK—nitrate reductase activity.
As expected, the highest values for the functional gene nifH in the studied soils were observed in the control variant without the addition of nitrogen-containing polymers. Moreover, the maximum values were observed for the modern horizon and reached 1.54 × 107 gene copies/g.p. by the 30th day of succession. For the buried horizon, despite an overall increase in gene concentration by the 30th day, its maximum values were observed at the beginning of succession (2.5 × 105 gene copies/g.p.). The values of the gene content in the modern horizon were two orders of magnitude higher than in the buried. For all soils, there was a tendency in the lower content of the nifH gene when introducing substrates into the soil. This feature can be explained by the presence of nitrogen forms available to microorganisms in the soil with polymers (especially chitin), which leads to an intensification of mineralization processes and a decrease in nitrogenase activity. It is important to note the presence, albeit insignificant, of the nitrogenase gene in the deeper layers of the soil, which indicates the possible potential of microbial communities living there.
An amplification of the key nitrification gene was also carried out. For volcanic soils (both modern and buried), the presence of ammonium oxidizing bacterial and archaeal genes was detected (Figure 8 and Figure 9).
An increase in the gene concentration in the buried samples after 30 days of succession in the control variants and the variant with oil was noted, indicating a reactivation of nitrifiers by the end of succession (Figure 9a). The dynamics of the amoA gene in the modern horizon of the volcanic humus-ochre soil shows its increased concentration in the bacterial complex in the variants with oil (2.3 × 107 DNA copies/g.p.) by the 10th day of succession, whereas a low content of the gene is noted in the control. In the archaeal complex, there is an increase in the gene concentration in the control variant after 30 days (2.5 × 106 DNA copies/g.p.), whereas the indicators remain very low in the variant with oil.
Based on the data obtained, it can be concluded that archaea play a leading role in the nitrification process in soils without oil (undisturbed community). The bacterial complex is capable of nitrification with a high oil contamination of the soil, and its role also increases in the lower layers of the soil profile. The contribution of archaea to the nitrification process decreases with the introduction of oil, and also decreases with depth.
Copies of the nir K gene, a molecular marker of denitrification, were detected in volcanic humus-ochre soil samples in all variants of the experiment (control, oil) during succession. The absolute values were the highest in the modern horizon (1.25 × 107 DNA copies/g p), whereas, in the buried horizon, they were two orders of magnitude lower (1.2 × 105 DNA copies/g p).
In all horizons, there was a reduced content of the gene in the variant with the introduction of oil. The greatest negative impact of oil was noted in the buried horizon.
The presence of alkB, a gene responsible for the activity of the n-alkanoxygenase enzyme, was assessed for the volcanic humus-ochre soil system. The alkB gene was detected in all variants; its absolute concentration was maximal in the modern horizon for a variant with oil on the 10th day of succession (2.5 × 104 DNA copies/g.p.). Thereafter, it decreased in the oil and control variants, and, after 30 days of succession, was 5 × 105 DNA copies/g.p. and 1.3 × 106 DNA copies/g.p., respectively.
There is a notable trend toward an increasing gene concentration during succession for all variants in the buried horizon. Absolute values of the gene content in buried soil by 30 days are 4.8 × 104 DNA/g.p for the control variant and 1.8 × 104 DNA copies/g.p for a variant with oil. Similar dependencies were found when considering the activity of hydrolytic (chitinolytic) microbial complexes of modern and buried soils.

4. Discussion

The work complements the previously obtained data from studies of relict microbial communities, and also reveals previously unknown features of such microbial complexes. Previously, studies of ancient communities were limited due to the imperfection of the methodological base. The applied complex of methods of classical microbiology and new molecular biological methods allows for the most complete characterization of the metabolically active prokaryotic community of buried soils. Buried soils, apparently, for the first time, became the object of a study on metagenomics. The analysis of the data of the high-performance sequencing of the 16S rRNA gene and the subsequent restoration of the functional genetic complex allowed us to identify the main dominants of the hydrolytic community of ancient soils. Presumably, the dominants of ancient hydrolytic communities may have higher activity compared to their collectible counterparts. The revealed increase in the potential activity of communities as the degree of “conservation” of the community increases opens up opportunities for the biotechnological use of strains isolated from being buried. The conducted research, apparently, is one of the most comprehensive and complete works devoted to the ancient microbial complex.
To summarize, the prokaryotic heterotrophic mesophilic community has been successfully studied in volcanic soil samples from Central Kamchatka. Paleolithic soils of different ages and their modern analogues were investigated. The age of the buried horizon of volcanic stratified ochre soil was 2500 years old and the horizon of volcanic humus-ochre soil was approximately 11,300 years old. It was found that the biomass of metabolically active prokaryotes of volcanic layered-ochre soil reached 54 µg/g in the control sample and 69 µg/g of the sample in the variant with the addition of chitin, which is approximately 40% of all detected prokaryote biomass. In paleovolcanic soil, the biomass indices of metabolically active prokaryotes were 40 µg/g and 60 µg/g, respectively. The addition of the chitin biopolymer to the paleovolcanic soil caused the indicators of the metabolically active prokaryotes share to reach 50% of the detected prokaryote biomass. Similar patterns were noted by the authors earlier for the microbial hydrolytic community of buried paleochannels compared to modern chestnut soils [20]. When polysaccharide was applied to chestnut paleosoils, the proportion of metabolically active prokaryotic cells reached 50% of the total detectable prokaryotic community, and the response to substrate application was more intense compared to modern soils.
The proportion of archaea in the metabolically active prokaryotic complex ranged from 20% to 30% and increased in variants with resource addition, which is consistent with the results of other researchers [4].
The features and differences in the phylogenetic structure of the prokaryotic metabolically active component of modern and buried volcanic stratified ochre soil were established by molecular biological methods (metagenomic analysis, FISH method). Proteobacteria (74%), Acidobacteria, and Actinobacteria (14% combined) were dominant in modern soil phylum; Acidobacteria was dominant (51.8%), and Chloroflexi (21%) and Proteobacteria (9%) were among subdominants in buried soil phylum. Obviously, such a feature of the structure of the complex is associated with a change in the resources present in the environment and used by microorganisms. The total diversity of the studied microbiomes (alpha diversity) differs slightly in buried and modern soils. The Shannon index does not differ significantly in buried and modern soils. At the same time, the amount of OTE (species richness) in modern soils is higher than in buried ones.
The introduction of an additional substrate (chitin) into the studied soil samples caused a change in the structure of the metabolically active prokaryotic component of the microbial community. This was especially noticeable for samples of buried soils. The number and biomass of Actinobacteria doubled in the bacterial hydrolytic complex of stratified ochre paleosoils compared to its modern counterpart. The development of actinobacteria on such an inaccessible polysaccharide, nitrogen-containing biopolymer as chitin has been repeatedly noted by the authors [7,20]. The functional role of mycelial actinobacteria in the metabolism of chitin consists, on the one hand, of the active decomposition of this biopolymer, and, on the other hand, of the regulation of microbial hydrolytic complex activity through the production of biologically active regulatory metabolites, which occurs in a wide range of environmental parameters (moisture, temperature, organic matter, successional time).
The introduction of the substrate into both buried and modern soil reduced the content of nifH genes. This feature can be explained by the presence of nitrogen forms available to microorganisms in the soil with polymers (especially chitin), which leads to an intensification of mineralization processes and a decrease in nitrogenase activity. It is important to note the presence, albeit insignificant, of the nifH gene in the deeper layers of the soil, which indicates the possible potential of microbial communities living there.
An interesting feature is noted when considering the functional genes responsible for the nitrification process. For uncontaminated territories, the archaeal component of the prokaryotic community of soils plays a significant role in the process of ammonium oxidation. Similar results were obtained in the works of other authors, which provide evidence that archaea play a leading role in the oxidation of ammonium in soils [41,42,43]. In soils without oil, archaea play a leading role in the nitrification process. The bacterial complex is capable of nitrification with a high oil contamination of the soil, and its role also increases in the lower layers of the soil profile. The contribution of archaea to the nitrification process decreases with the introduction of oil, and also decreases with depth.
The identified patterns indicate a possible high metabolic potential of the studied soils.

5. Conclusions

The prokaryotic heterotrophic mesophilic community has been successfully studied in volcanic soil samples from Central Kamchatka. Paleolithic soils of different ages and their modern analogues were investigated. The age of the buried horizon of volcanic stratified ochre soil was 2500 years old and the horizon of volcanic humus-ochre soil was approximately 11,300 years old. It was found that the biomass of metabolically active prokaryotes of volcanic layered-ochre soil reached 54 µg/g in the control sample and 69 µg/g of the sample in the variant with the addition of chitin, which is approximately 40% of all detected prokaryote biomass. In paleovolcanic soil, the biomass indices of metabolically active prokaryotes were 40 µg/g and 60 µg/g, respectively. The addition of the chitin biopolymer to the paleovolcanic soil caused the indicators of the metabolically active prokaryotes share to reach 50% of the detected prokaryote biomass.
The features and differences in the phylogenetic structure of the prokaryotic metabolically active component of modern and buried volcanic stratified ochre soil were established by molecular biological methods (metagenomic analysis, FISH method). Proteobacteria (74%), Acidobacteria, and Actinobacteria (14% combined) were dominant in modern soil phylum; Acidobacteria was dominant (51.8%), and Chloroflexi (21%) and Proteobacteria (9%) were among subdominants in buried soil phylum. The introduction of an additional substrate (chitin) into the studied soil samples caused a change in the structure of the metabolically active prokaryotic component of the microbial community. This was especially noticeable for samples of buried soils. The number and biomass of Actinobacteria doubled in the bacterial hydrolytic complex of stratified ochre paleosoils compared to its modern counterpart.
Some features of the functional prokaryotic complex of the studied soils were revealed. It was found that the potential activity of the microbial hydrolytic community as measured by the relative response to substrate application increases in the series from modern to paleovolcanic soils. The presence of a number of key genes of the nitrogen cycle (nifH, amoA, nirK), as well as the presence of genes responsible for the utilization of n-alkanes, was shown in both modern and buried horizons of the studied soils.
In modern soils, the presence of genes responsible for the possibility of fixing molecular nitrogen from the air was higher compared to those buried. However, the response of the microbial community to the introduction of the resource was higher in buried soils compared to modern ones.

Author Contributions

Conceptualization, N.A.M., M.M.P., L.A.P., P.Y.S. and A.L.S.; data curation, T.D.K. and R.I.N.; formal analysis, T.D.K., R.I.N. and M.M.P.; investigation, N.A.M. and M.M.P.; methodology, N.A.M., T.D.K. and L.A.P.; supervision, N.A.M. and A.L.S.; visualization, T.D.K. and N.A.M.; writing—original draft preparation, N.A.M. and P.Y.S.; writing—review and editing, N.A.M., P.Y.S. and A.L.S. All authors have read and agreed to the published version of the manuscript.

Funding

The APC was funded by Russian Science Foundation (RSF), grant number 21-14-00076 and by Russian Foundation for Basic Research (RFBR), grant number 19-29-05197. The fieldwork and radiocarbon dating were conducted in accordance with the State Assignment for project No. 0135-2019-0059 of the State Research Institute of the Russian Academy of Sciences.

Institutional Review Board Statement

Not applicable.

Informed Consent Statement

Not applicable.

Data Availability Statement

Data are contained within the article.

Acknowledgments

This research was performed according to the Development Program of the Interdisciplinary Scientific and Educational School of M.V. Lomonosov Moscow State University titled “Future Planet and Global Environmental Change”. We thank colleagues from Landviser, LLC for help with translation and proofreading of the manuscript.

Conflicts of Interest

The authors declare that they have no conflict of interest.

References

  1. Merkel, A.Y.; Pimenov, N.V.; Rusanov, I.I.; Slobodkin, A.I.; Slobodkina, G.B.; Tarnovetckii, I.Y.; Frolov, E.N.; Dubin, A.V.; Perevalova, A.A.; Bonch-Osmolovskaya, E.A. Microbial diversity and autotrophic activity in Kamchatka hot springs. Extremophiles 2017, 21, 307–317. [Google Scholar] [CrossRef] [PubMed]
  2. Korzhenkov, A.A.; Toshchakov, S.V.; Bargiela, R.; Gibbard, H.; Ferrer, M.; Teplyuk, A.V.; Jones, D.L.; Kublanov, I.V.; Golyshin, P.N.; Golyshina, O.V. Archaea dominate the microbial community in an ecosystem with low-to-moderate temperature and extreme acidity. Microbiome 2019, 7, 11. [Google Scholar] [CrossRef] [PubMed] [Green Version]
  3. Wilkins, L.G.E.; Ettinger, C.L.; Jospin, G.; Eisen, J.A. Metagenome-assembled genomes provide new insight into the microbial diversity of two thermal pools in Kamchatka, Russia. Sci. Rep. 2020, 10, 3454. [Google Scholar] [CrossRef] [PubMed] [Green Version]
  4. Perevalova, A.A.; Bidzhieva, S.K.; Kublanov, I.V.; Hinrichs, K.U.; Liu, X.L.; Mardanov, A.V.; Lebedinsky, A.V.; Bonch-Osmolovskaya, E.A. Fervidicoccus fontis gen. nov., sp. nov., an anaerobic, thermophilic crenarchaeote from terrestrial hot springs, and proposal of Fervidicoccaceae fam. nov. and Fervidicoccales ord. nov. Int. J. Syst. Evol. Microbiol. 2010, 60, 2082–2088. [Google Scholar] [CrossRef] [Green Version]
  5. Elcheninov, A.G.; Podosokorskaya, O.A.; Kovaleva, O.L.; Novikov, A.A.; Toshchakov, S.V.; Bonch-Osmolovskaya, E.A.; Kublanov, I.V. Thermogemmata fonticola gen. nov., sp. nov., the first thermophilic planctomycete of the order Gemmatales from a Kamchatka hot spring. Syst. Appl. Microbiol. 2021, 44, 126157. [Google Scholar] [CrossRef]
  6. Dvoryanchikova, E.N.; Kizilova, A.K.; Kravchenko, I.K.; Galchenko, V.F. Analysis of microbial communities of thermal springs of Fumarolny Lake area of Uzon volcano caldera, Kamchatka. Izv. Samara Sci. Cent. Russ. Acad. Sci. 2011, 13, 1418–1424. [Google Scholar] [CrossRef]
  7. Zenova, G.M.; Kurapova, A.I.; Zvyagintsev, D.G.; Lysenko, A.M. The structural-functional organization of thermotolerant complexes of actinomycetes in desert and volcanic soils. Eurasian Soil Sci. 2009, 42, 531–535. [Google Scholar] [CrossRef]
  8. Hogendoorn, C.; Picone, N.; van Hout, F.; Vijverberg, S.; Poghosyan, L.; van Alen, T.; Frank, J.; Pol, A.; Gagliano, A.; Jetten, M.; et al. Draft genome of a novel methanotrophic Methylobacter sp. from the volcanic soils of Pantelleria Island. Antonie Van Leeuwenhoek 2021, 114, 313–324. [Google Scholar] [CrossRef]
  9. Bonch-Osmolovskaya, E.A.; Perevalova, A.A.; Kolganova, T.V.; Rusanov, I.I.; Jeanthon, C.; Pimenov, N.V. Activity and distribution of thermophilic prokaryotes in hydrothermal fluid, sulfidic structures, and sheaths of alvinellids (East Pacific Rise, 13°N). Appl. Environ. Microbiol. 2011, 77, 2803–2806. [Google Scholar] [CrossRef] [Green Version]
  10. Mironov, V.A.; Rivkina, E.M.; Gilichinsky, D.A.; Shcherbakova, A. Thermophilic bacteria of the genus Geobacillus from permafrost volcanic sedimentary rocks. Microbiology 2014, 82, 372–377. [Google Scholar] [CrossRef]
  11. Chernov, T.I.; Zhelezova, A.D.; Tkhakakhova, A.K.; Bgazhba, N.A.; Zverev, A.O. Microbiomes of virgin soils of southern vietnam tropical forests. Microbiology 2019, 88, 489–498. [Google Scholar] [CrossRef]
  12. Karpachevsky, L.O.; Alyabina, I.O.; Zakharikhina, L.V.; Makeev, A.O.; Marechek, M.S.; Radyukin, A.Y.; Shoba, S.A.; Targulyan, V.O. Soils of Kamchatka; GEOS: Moscow, Russia, 2009; 224p. [Google Scholar]
  13. Ponomareva, V.; Portnyagin, M.; Pevzner, M.; Blaauw, M.; Kyle, P.; Derkache, A. Tephra from andesitic Shiveluch volcano, Kamchatka, NW Pacific: Chronology of explosive eruptions and geochemical fingerprinting of volcanic glass. Int. J. Earth Sci. 2015, 104, 1459–1482. [Google Scholar] [CrossRef]
  14. Pevzner, M.M.; Tolstykh, M.L.; Babanskii, A.D. The Shiveluch Volcanic Massif, Kamchatka: Stages in the Evolution of a Magmatic System: Results of Geochronological and Thermobarogeochemical Studies. J. Volcanol. Seismol. 2018, 412, 242–251. [Google Scholar] [CrossRef]
  15. Ponomareva, V.; Portnyagin, M.; Derkachev, A.; Pendea, I.F.; Bourgeois, J.; Reimer, P.J.; Garbe-Schonberg, D.; Krasheninnikov, S.; Nurnberg, D. Early Holocene M~ 6 explosive eruption from Plosky volcanic massif (Kamchatka) and its tephra as a link between terrestrial and marine paleoenvironmental records. Int. J. Earth Sci. 2013, 102, 1673–1699. [Google Scholar] [CrossRef]
  16. IUSS Working Group WRB. World Reference Base for Soil Resources 2015: International Soil Classification System for Naming Soils and Creating Legends for Soil Maps; World Soil Resources Reports; FAO: Rome, Italy, 2015; p. 106. [Google Scholar]
  17. Pevzner, M.M. Holocene Volcanism of the Middle Kamchatka Ridge; GEOS: Moscow, Russia, 2015; 252p. [Google Scholar]
  18. Bronk, R.C. Dealing with outliers and offsets in radiocarbon dating. Radiocarbon 2009, 51, 1023–1045. [Google Scholar] [CrossRef] [Green Version]
  19. Reimer, P.; Austin, W.; Bard, E.; Bayliss, A.; Blackwell, P.; Bronk, R.C.; Talamo, S. The IntCal20 Northern Hemisphere Radiocarbon Age Calibration Curve (0–55 cal kBP). Radiocarbon 2020, 62, 725–757. [Google Scholar] [CrossRef]
  20. Manucharova, N.A.; Kol’tsova, E.M.; Stepanov, A.L.; Demkina, E.V.; Demkin, V.A.; El’-Registan, G.I. Comparative analysis of the functional activity and composition of hydrolytic microbial complexes from the lower volga barrow and modern chestnut soils. Microbiology 2014, 83, 674–683. [Google Scholar] [CrossRef]
  21. Amann, R.I.; Ludwig, W.; Schleifer, K.H. Phylogenetic identification and in situ detection of individual microbial cells without cultivation. Microbiol. Rev. 1995, 59, 143–169. [Google Scholar] [CrossRef]
  22. Neef, A.; Amann, R.; Schlesner, H.; Schleifer, K.H. Monitoring a widespread bacterial group: In situ detection of planctomycetes with 16S rRNA-targeted probes. Microbiology 1998, 144, 3257–3266. [Google Scholar] [CrossRef] [Green Version]
  23. Wagner, M.; Horn, M. The Planctomycetes, Verrucomicrobia, Chlamydiae and sister phyla comprise a superphylum with biotechnological and medical relevance. Curr. Opin. Biotechnol. 2006, 17, 241–249. [Google Scholar] [CrossRef]
  24. Dedysh, S.N.; Pankratov, T.A.; Belova, S.E.; Kulichevskaya, I.S.; Liesack, W. Phylogenetic analysis and in situ identification of bacteria community composition in an acidic Sphagnum peat bog. Appl. Environ. Microbiol. 2006, 72, 211–217. [Google Scholar] [CrossRef] [PubMed] [Green Version]
  25. Manucharova, N.; Ksenofontova, N.; Belov, A.; Kamenskiy, N.; Arzamazova, A.; Zenova, G.; Kinzhaev, R.; Trofimov, S.; Stepanov, A. Prokaryotic component of oil-contaminated oligotrophic peat soil under different levels of mineral nutrition: Biomass, diversity, and activity. Eurasian Soil Sci. 2021, 54, 89–97. [Google Scholar] [CrossRef]
  26. Will, C.; Thürmer, A.; Wollherr, A.; Nacke, H.; Herold, N.; Schrumpf, M.; Gutknecht, J.; Wubet, T.; Buscot, F. Horizon-specific bacterial community composition of German grassland soils, as revealed by pyrosequencingbased analysis of 16S rRNA genes. Appl. Environ. Microbiol. 2010, 20, 6751–6759. [Google Scholar] [CrossRef] [PubMed] [Green Version]
  27. Ondov, B.; Bergman, N.; Phillippy, A. Interactive metagenomic visualization in a Web browser. BMC Bioinform. 2011, 12, 385. [Google Scholar] [CrossRef] [PubMed] [Green Version]
  28. Fierer, N.; Jackson, J.A.; Vilgalys, R.; Jackson, R.B. Assessment of soil microbial community structure by use of taxon-specific quantitative PCR assays. Appl. Environ. Microbiol. 2005, 71, 4117–4120. [Google Scholar] [CrossRef] [Green Version]
  29. Rotthauwe, J.; Witzel, K. The ammonia monooxygenase structural gene amoA as a functional marker: Molecular fine-scale analysis of natural ammonia-oxidizing populations. Appl. Environ. Microbiol. 1997, 63, 4704–4712. [Google Scholar] [CrossRef] [Green Version]
  30. Hallin, S.; Jones, C.M.; Schloter, M.; Philippot, L. Relationship between n-cycling communities and ecosystem functioning in a 50-year-old fertilization experiment. ISME J. 2009, 53, 597–605. [Google Scholar] [CrossRef]
  31. Henry, S.; Baudouin, E.; López-Gutiérrez, J.; Martin-Laurent, F.; Brauman, A.; Philippot, L. Quantification of denitrifying bacteria in soils by nirK gene targeted real-time PCR. J. Microbiol. Methods. 2004, 59, 327–335. [Google Scholar] [CrossRef]
  32. Gaby, J.; Buckley, D. A comprehensive aligned nifH gene database: A multipurpose tool for studies of nitrogen-fixing bacteria. Database 2014, 2014, bau001. [Google Scholar] [CrossRef] [Green Version]
  33. Smith, C.; Tolar, B.; Hollibaugh, J.; Hollibaugh, J.; King, G. Alkane hydroxylase gene (alkB) phylotype composition and diversity in northern Gulf of Mexico bacterioplankton. Front. Microbiol. 2013, 4, 370. [Google Scholar] [CrossRef]
  34. Chen, Y. Application of Hydrocarbon Degrading Microorganism Enumeration and Catabolic Genes Detection for Soil Assessment. Master’s Thesis, University of Helsinki, Helsinki, Finland, September 2013. [Google Scholar]
  35. Manucharova, N.A.; Trosheva, E.V.; Kol’tsova, E.M.; Demkina, E.V.; Karaevskaya, E.V.; Rivkina, E.M.; Mardanov, A.V.; El’-Registan, G.I. Characterization of the structure of the prokaryotic complex of antarctic permafrost by molecular genetic techniques. Microbiology 2016, 85, 102–108. [Google Scholar] [CrossRef]
  36. De Boer, W.; Klein Gunnewiek, P.J.; Kowalchuk, G.A.; Van Veen, J.A. Growth of chitinolytic dune soil B-subclass Proteobacteria in response to invading fungal hyphae. Appl. Environ. Microbiol 2004, 67, 3358–3362. [Google Scholar] [CrossRef] [PubMed] [Green Version]
  37. Manucharova, N.A. The Microbial Destruction of Chitin, Pectin, and Cellulose in Soils. Eurasian Soil Sci. 2009, 42, 1526–1532. [Google Scholar] [CrossRef]
  38. Gomes, R.M.; Rojas Avelizapa, L.I.; Rojas Avelizapa, N.G.; Cruz Camarillo, R. Colloidal chitin stained with Remazol Brilliant Blue R, a useful substrate to select chitinolytic microorganisms and to evaluate chitinases. J. Microbiol. Method 2004, 56, 213–219. [Google Scholar] [CrossRef]
  39. Gohel, V.; Singh, A.; Vimal, M.; Ashwini, P.; Chhatpar, H.S. Bioprospecting and antifungal potential of chitinolytic microorganisms. Afr. J. Biotechnol. 2006, 5, 54–72. Available online: https://www.ajol.info/index.php/ajb/article/view/137726 (accessed on 30 May 2022).
  40. Williamson, N.; Brian, P.; Wellington, E.M. Molecular detection of bacterial and streptomycete chitinase in the environment. Antonie Van Leeuwenhoek 2000, 78, 315–321. [Google Scholar] [CrossRef]
  41. Leininger, S.; Urich, T.; Schloter, M.; Schwark, L.; Qi, J.; Nicol, G.W.; Prosser, J.I.; Schuster, S.C.; Schleper, C. Archaea predominate among ammoniaoxidizing prokaryotes in soils. Ibid 2006, 442, 806–809. [Google Scholar] [CrossRef]
  42. Stopnisek, N.; Gubry Rangin, C.; Hofferle, S. Thaumarchaeal ammonia oxidation in an acidic forest peat soil is not influenced by ammonium amendment. Appl. Environ. Microbiol. 2010, 76, 7626–7634. [Google Scholar] [CrossRef] [Green Version]
  43. Spang, A.; Hatzenpichler, R.; Brochier Armanet, C. Distinct gene set in two different lineages of ammonia-oxidizing archaea supports the phylum Thaumarchaeota. Trends Microbiol. 2010, 18, 331–340. [Google Scholar] [CrossRef]
Figure 1. Geographic location of the soil sections: (a)—map of the Kamchatka Peninsula; (b)—Shiveluch volcano area; (c)—Alney–Chashakonja massif. Caltopo DEM topographic base (a), Google Earth (b,c). The position of the sections under study is shown with yellow marks.
Figure 1. Geographic location of the soil sections: (a)—map of the Kamchatka Peninsula; (b)—Shiveluch volcano area; (c)—Alney–Chashakonja massif. Caltopo DEM topographic base (a), Google Earth (b,c). The position of the sections under study is shown with yellow marks.
Forests 13 01066 g001
Figure 2. Structure of the studied soil profiles: (a,b)—volcanic stratified ochre soil (Shiveluch), (c,d)—volcanic humus-ochre soil (Tigil). 1—sod; 2—soil horizon; 3—highly humus buried soil horizon; 4–6—volcanic ashes: 4—volcanic sand, 5—gravel and lapilli of volcanic pumice, 6—marking indices of ash interlayers according to [13,15]; 7—radiocarbon age and laboratory sample number; 8—sampling sites. Ashes from volcanoes: Shiveluch (SH), Mutton Amphitheater on Opala Volcano (OP), Hangar (KHG), Xudach (KS), Ploskaya (PL). Photo by M.M. Pevzner (b), T.D. Karimov (d).
Figure 2. Structure of the studied soil profiles: (a,b)—volcanic stratified ochre soil (Shiveluch), (c,d)—volcanic humus-ochre soil (Tigil). 1—sod; 2—soil horizon; 3—highly humus buried soil horizon; 4–6—volcanic ashes: 4—volcanic sand, 5—gravel and lapilli of volcanic pumice, 6—marking indices of ash interlayers according to [13,15]; 7—radiocarbon age and laboratory sample number; 8—sampling sites. Ashes from volcanoes: Shiveluch (SH), Mutton Amphitheater on Opala Volcano (OP), Hangar (KHG), Xudach (KS), Ploskaya (PL). Photo by M.M. Pevzner (b), T.D. Karimov (d).
Forests 13 01066 g002
Figure 3. Total biomass of prokaryotes in the studied samples of volcanic stratified ochre soil on the 10th day of succession initiated by addition of substrate and without it: k—control; x—chitin.
Figure 3. Total biomass of prokaryotes in the studied samples of volcanic stratified ochre soil on the 10th day of succession initiated by addition of substrate and without it: k—control; x—chitin.
Forests 13 01066 g003
Figure 4. Biomass of metabolically active prokaryotes from the total biomass in the studied soils on the 10th day of the succession, initiated by adding substrate and without it: blue—cells unhybridized by probes; red—metabolic activity cells.
Figure 4. Biomass of metabolically active prokaryotes from the total biomass in the studied soils on the 10th day of the succession, initiated by adding substrate and without it: blue—cells unhybridized by probes; red—metabolic activity cells.
Forests 13 01066 g004
Figure 5. Dynamics of 16S RNA bacterial gene copy number with and without substrate addition: k—control; x—chitin; n—oil in different horizons of volcanic stratified ochre soil: (a) in the modern horizon (LS means. Current effect: F(6, 12) = 48.215; p = 0.00000. Decomposition of III types. Vertical bars denote 0.95 confidence intervals); (b) in the buried horizon (LS means. Current effect: F(6, 12) = 15.926; p = 0.00004. Decomposition of III types. Vertical bars denote 0.95 confidence intervals).
Figure 5. Dynamics of 16S RNA bacterial gene copy number with and without substrate addition: k—control; x—chitin; n—oil in different horizons of volcanic stratified ochre soil: (a) in the modern horizon (LS means. Current effect: F(6, 12) = 48.215; p = 0.00000. Decomposition of III types. Vertical bars denote 0.95 confidence intervals); (b) in the buried horizon (LS means. Current effect: F(6, 12) = 15.926; p = 0.00004. Decomposition of III types. Vertical bars denote 0.95 confidence intervals).
Forests 13 01066 g005
Figure 6. Phylogenetic map of the structure of the bacterial component (%) of the buried (A) and modern (B) horizons of volcanic stratified ochre soil.
Figure 6. Phylogenetic map of the structure of the bacterial component (%) of the buried (A) and modern (B) horizons of volcanic stratified ochre soil.
Forests 13 01066 g006
Figure 7. Structure of the metabolically active bacterial complex of the buried horizon of stratified ochre soil on the 10th day of succession with the addition of substrates: (A)—control; (B)—chitin.
Figure 7. Structure of the metabolically active bacterial complex of the buried horizon of stratified ochre soil on the 10th day of succession with the addition of substrates: (A)—control; (B)—chitin.
Forests 13 01066 g007
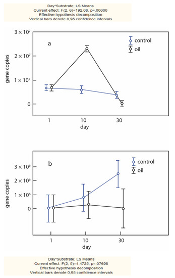
Figure 8. Dynamics of functional amoA genes in volcanic soils (modern horizon): (a)—bacteria; (b)—archaea.
Figure 8. Dynamics of functional amoA genes in volcanic soils (modern horizon): (a)—bacteria; (b)—archaea.
Forests 13 01066 g008
Figure 9. Dynamics of functional amoA genes in volcanic soils (buried horizon): (a)—bacteria; (b)—archaea.
Figure 9. Dynamics of functional amoA genes in volcanic soils (buried horizon): (a)—bacteria; (b)—archaea.
Forests 13 01066 g009
Table 1. Characteristics of the tested samples.
Table 1. Characteristics of the tested samples.
Name of SoilExplored HorizonSampling Depth, cmCtotalpHH2OAge (Yrs.)
Volcanic stratified ochreModern10–1521.05.8modern
Buried11025.56.22500
Volcanic humus-ochreModern5–10195.5modern
Buried35–40145.711,300
Table 2. Physico-chemical characteristics of the oil in this study.
Table 2. Physico-chemical characteristics of the oil in this study.
Indicator NameValue
Sampling depth, m2800–2832
Kinematic viscosity at 200 C, mm2/s1.5 (4.9)
Flash point, 0 C61
Mass fraction of sulfur, %0.5
Water contenttraces
The contents of mechanical impurities, %None
Water-soluble acids and alkali contentNone
Density at 150 C, g/cm30.835
Iodine content0.4
Cetane number51
Colorbrown
Table 3. Chemical composition of the oil used in this study.
Table 3. Chemical composition of the oil used in this study.
Compound classCompoundFormulaMolecular Weight
Paraffinsn-HexanesC6H1487.186
2-methylpentaneC6H1487.186
n-heptaneC7H16100.205
NaphthenesCyclohexaneC6H1284.162
MethylcyclohexaneC7H1498.189
Aromatic compoundsBenzeneC6H678.114
TolueneC7H892.141
Table 4. qPCR primers and temperature conditions used to determine the presence of genes in the studied samples.
Table 4. qPCR primers and temperature conditions used to determine the presence of genes in the studied samples.
PrimerSequence (5′–3′)Temperature Profile
Eub:
Eub338f
ACTCCTACGGGAGGCAGCAG95 °C 3 min; 95 °C 10 s, 50 °C 10 s, 72 °C 20 s—49 cycles;
Eub518rATTACCGCGGCTGCTGG72°C 20 s
Arch:
arc915f
AGGAATTGGCGGGGGAGCAC95 °C 3 min; 95 °C 10 s, 50 °C 10 s, 72 °C 20 s—49 cycles;
arc1059rGCCATGCACCWCCTCT72 °C 20 s
NifH:
Forward
GGTTGTGACCCGAAAGCTGA94 °C 1 min; 94 °C 30 s, 50 °C 1 min, 72 °C 30 s—40 cycles;
ReverseGCGTACATGGCCATCATCTC72 °C 10 min
amoA(AOB):
amoA-1F
GGG GTT TCT ACT GGT GGT95°C 10 min;
94°C 45 s, 58°C 45 s, 72°C 45 s—39 cycles;
amoA-2RCCC CTC KGS AAA GCC TTC TTC95 °C 15 s, 60 °C 30 s, 95 °C 15 s
amoA(AOA):
23F
ATG GTC TGG CTW AGA CG94°C 45 s, 55°C 45 s, 72°C 45 s—39 cycles;
CrenamoA616GCC ATC CAB CKR TAN GTC CA95 °C 15 s, 60 °C 30 s, 95 °C 15 s
nirK:
nirK876
ATY GGC GGV CAY GGC GA95°C 15 min;
95°C 15 s, 60°C 30 s, 72°C 30 s, 80°C 15 s—40 cycles;
nirK1040GCC TCG ATC AGR TTR TGG TT95 °C 15 s, 72 °C 30 s
AlkB:
alkB-1f
AAYACNGCNCAYGARCTNGGNCAYAA94 °C 3 min,
94 °C 1 min, 61 °C 1 min, 68 °C 45 s—26 cycles;
alkB-1rGCRTGRTGRTCNGARTGNCGYTG68 °C 10 min
Publisher’s Note: MDPI stays neutral with regard to jurisdictional claims in published maps and institutional affiliations.

Share and Cite

MDPI and ACS Style

Manucharova, N.A.; Karimov, T.D.; Pevzner, M.M.; Nechushkin, R.I.; Pozdnyakov, L.A.; Stepanov, P.Y.; Stepanov, A.L. The Prokaryotic Complex of Modern and Buried Soils on the Kamchatka Peninsula. Forests 2022, 13, 1066. https://doi.org/10.3390/f13071066

AMA Style

Manucharova NA, Karimov TD, Pevzner MM, Nechushkin RI, Pozdnyakov LA, Stepanov PY, Stepanov AL. The Prokaryotic Complex of Modern and Buried Soils on the Kamchatka Peninsula. Forests. 2022; 13(7):1066. https://doi.org/10.3390/f13071066

Chicago/Turabian Style

Manucharova, Natalia A., Timur D. Karimov, Maria M. Pevzner, Roman I. Nechushkin, Lev A. Pozdnyakov, Pavel Y. Stepanov, and Alexey L. Stepanov. 2022. "The Prokaryotic Complex of Modern and Buried Soils on the Kamchatka Peninsula" Forests 13, no. 7: 1066. https://doi.org/10.3390/f13071066

APA Style

Manucharova, N. A., Karimov, T. D., Pevzner, M. M., Nechushkin, R. I., Pozdnyakov, L. A., Stepanov, P. Y., & Stepanov, A. L. (2022). The Prokaryotic Complex of Modern and Buried Soils on the Kamchatka Peninsula. Forests, 13(7), 1066. https://doi.org/10.3390/f13071066

Note that from the first issue of 2016, this journal uses article numbers instead of page numbers. See further details here.

Article Metrics

Back to TopTop