Effect of The Development Level of Facilities for Forest Tourism on Tourists’ Willingness to Visit Urban Forest Parks
Abstract
1. Introduction
2. Theoretical Framework and Hypothesis Formulation
3. Research Method and Data
3.1. Method
3.2. Participant Characteristics
3.3. Meaning and Characteristics of Variables
4. Results and Analysis
4.1. Exploratory Factor Analysis and Data Reliability Test
4.2. Confirmatory Factor Analysis and Data Validity Test
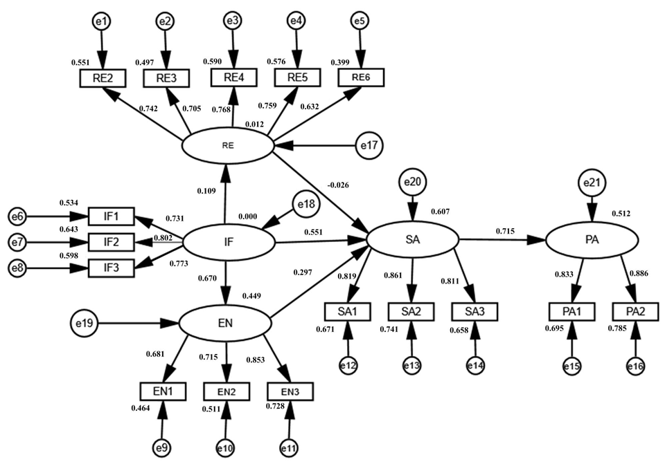
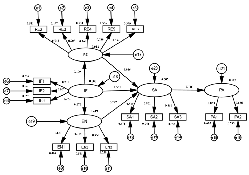
4.3. Model Fitting Results
4.4. Model Evaluation Results
5. Conclusions and Discussion
5.1. Conclusions
5.2. Discussion
Author Contributions
Funding
Conflicts of Interest
References
- Martin, G.H. The environment of mental health. J. Ment. Health 2019, 28, 109–111. [Google Scholar]
- Yeagerab, R.A.; Smithac, T.R.; Bhatnagarad, A. Green environments and cardiovascular health. Trends Cardiovasc. Med. 2020, 30, 241–246. [Google Scholar] [CrossRef] [PubMed]
- Attfield, R. Principlism, public health and the environment. J. Public Health 2021, 43, 427–428. [Google Scholar] [CrossRef] [PubMed]
- Carducci, A.L.; Agodi, A.; Ancona, C.; Angelini, P.; Bagordo, F.; Barbone, F.; Birbaum, L.; Carreri, V.; Casuccio, A.; Conti, A.; et al. Impact of the environment on the health: From theory to practice. Environ. Res. 2021, 194, 110517. [Google Scholar] [CrossRef]
- Diamantis, D. The concept of ecotourism: Evolution and trends. Curr. Issue Tour. 1999, 2, 93–122. [Google Scholar] [CrossRef]
- Ren, L.J.; Li, J.; Li, C.; Dang, P.Y. Can ecotourism contribute to ecosystem? Evidence from local residents’ ecological behaviors. Sci. Total Environ. 2021, 757, 143814. [Google Scholar] [CrossRef]
- Ruhanen, L. The prominence of eco in ecotourism experiences: An analysis of post purchase online reviews. J. Hosp. Tour. Manag. 2019, 39, 110–116. [Google Scholar] [CrossRef]
- Johannesen, A.B.; Skonhoft, A. Tourism, poaching and wildlife conservation: What can integrated conservation and development projects accomplish? Resour. Energy Econ. 2005, 27, 208–226. [Google Scholar] [CrossRef][Green Version]
- Naidoo, R.; Adamowicz, W.L. Biodiversity and nature-based tourism at forest reserves in Uganda. Environ. Dev. Econ. 2005, 10, 159–178. [Google Scholar] [CrossRef]
- Ma, B.; Yin, R.; Zheng, J.; Wen, Y.; Hou, Y. Estimating the social and ecological impact of community-based ecotourism in giant panda habitats. J. Environ. Manag. 2019, 250, 109506. [Google Scholar] [CrossRef]
- Coria, J.; Calfucura, E. Ecotourism and the development of indigenous communities: The good, the bad, and the ugly. Ecol. Econ. 2012, 73, 47–55. [Google Scholar] [CrossRef]
- Crǎciunescu, A.; Moatǎr, M.; Stanciu, S. The Romanian ecosystem forest—A recreation space in sylvotourism. Agric. Manag. Lucr. Stiintifice Ser. I Manag. Agric. 2014, 16, 89–93. [Google Scholar]
- Zhang, D.M.; Peng, S.Z.; Zhao, W.J.; Gao, M.Y.; Han, J.Q. Evaluation of ecological environment quality of typical forest parks. Agric. Biotechnol. 2019, 8, 112–116. [Google Scholar]
- Hong, S.; Kim, J.; Kim, S. Implications of potential green tourism development. Ann. Tour. Res. 2003, 30, 323–341. [Google Scholar] [CrossRef]
- Oppliger, J.; Lieberherr, E.; Hegetschweiler, K.T. Factors influencing teenagers’ recreational forest use in a densely-populated region in Switzerland. J. Outdoor Rec. Tour. 2019, 27, 100225. [Google Scholar] [CrossRef]
- Lee, C.F. The factor structure of tourist satisfaction in forest recreation tourism: The case of Taiwan. Tour Anal. 2016, 21, 251–266. [Google Scholar] [CrossRef]
- Cheng, N.Y. Study on the Development of Forest Leisure Tourism Industry Based on Resource Constraint. Ph.D. Thesis, Nanjing Forestry University, Nanjing, China, 2012. [Google Scholar]
- Han, N. Analysis of Forest Tourism Competitiveness in Heilongjiang Province. Master’s Thesis, Northeast Agricultural University, Harbin, China, 2017. [Google Scholar]
- Gandaseca, S.; Tetsuhiko, Y. Occupational safety, health and living conditions of forestry workers in indonesia. J. For. Res. 2001, 6, 281–285. [Google Scholar] [CrossRef]
- Zhang, L.Y.; Zhang, J.Y.; Zhang, L.X.; Wu, C.L.; Zhang, Y. Study on the Classification of Forestry Infrastructure from the Perspective of Supply Based on the Classical Quartering Method. Appl. Math. Nonlinear Sci. 2021, 6, 447–458. [Google Scholar] [CrossRef]
- Zeithaml, V.A. Consumer perceptions of price, quality, and value: A means-end model and synthesis of evidence. J. Mark. 1988, 52, 2–22. [Google Scholar] [CrossRef]
- Sun, S.H.; Li, H.; Xiao, L. The model of the exploratory factor analysis about residents’ will of rural land transfer. Int. J. Smart Home 2015, 9, 63–72. [Google Scholar]
- Oh, D.G. Analysis of the factors affecting volunteering, satisfaction, continuation will, and loyalty for public library volunteers: An integrated structural equation model. J. Libr. Inf. Sci. 2019, 51, 894–914. [Google Scholar] [CrossRef]
- Fino, E.; Iliceto, P. Do people have control over the decisions they make? Psychometric properties of the Italian version of the free will and scientific determinism questionnaire (FAD-plus-I). Curr. Psychol. 2021, 25, 1–19. [Google Scholar] [CrossRef]
- Sonali, S.; Singh, N.; Kalinić, Z.; Liébana, C. Assessing determinants influencing continued use of live streaming services: An extended perceived value theory of streaming addiction. Expert Syst. Appl. 2021, 168, 114241. [Google Scholar]
- Woodruff, R.B. Customer value: The next source for competitive advantage. J. Acad. Market. Sci. 1997, 25, 203–220. [Google Scholar] [CrossRef]
- Parasuraman, A.; Grewal, D. The impact of technology on the quality-value -loyalty chain: A research agenda. J. Acad. Mark. Sci. 2000, 28, 168–174. [Google Scholar] [CrossRef]
- Sweeney, J.C.; Soutar, G.N. Consumer perceived value: The development of a multiple item scale. J. Retail. 2001, 77, 203–220. [Google Scholar] [CrossRef]
- Liang, Y. Summary and comment on the customer’s satisfaction study. J. Beijing Technol. Bus. Univ. 2007, 22, 75–80. [Google Scholar]
- Yuan, R.J.; Yuan, Q.J. Perceived value theory and its application and prospect in information system research. J. Mod. Inf. 2021, 41, 150–158. [Google Scholar]
- Bai, C.H.; Liao, W. A study of customer’s satisfactions based on customer perceived value. Nankai J. 2001, 8, 14–20. [Google Scholar]
- Gallarza, M.G.; Saura, I.G. Value dimensions, perceived value, satisfaction and loyalty: An investigation of university students’ travel behavior. Tour. Manag. 2006, 27, 437–452. [Google Scholar] [CrossRef]
- Ajzen, I. Attitudes, traits, and actions: Dispositional prediction of behavior in personality and social psychology. Adv. Exp. Soc. Psychol. 1985, 20, 1–63. [Google Scholar]
- Ajzen, I. The theory of planned behavior. Organ. Behav. Hum. Dec. 1991, 50, 179–211. [Google Scholar] [CrossRef]
- Joo, D.; Woosnam, K.M.; Lee, S.; Lee, C.K. Destination loyalty as explained through self-congruity, emotional solidarity, and travel satisfaction. J. Hosp. Tour. Manag. 2020, 45, 21–42. [Google Scholar] [CrossRef]
- Berhanu, E.B.; Apar, S. Modeling domestic tourism: Motivations, satisfaction and tourist behavioral intentions. Heliyon 2020, 6, 04839. [Google Scholar]
- Cong, L.C. Perceived risk and destination knowledge in the satisfaction-loyalty intention relationship: An empirical study of European tourists in Vietnam. J. Outdoor Rec. Tour. 2021, 33, 100343. [Google Scholar] [CrossRef]
- Yang, Z.H.; Zhang, Y.; Long, Z.Y.; Yin, C.B.; Zhang, Y.Q.; Meng, Z. Can village rules and regulations effectively promote the willingness of villagers to invest in MSW disposal?—Based on the analysis of the mediating effect of villagers’ cognition and the moderating effect of environmental satisfaction. Chin. J. Agric. Resour. Reg. Plan. 2021, 42, 1–16. [Google Scholar]
- Zhang, Y. Study on Recreation Resources Evaluation of Beijing National Forest Park. Master’s Thesis, Beijing University of Agriculture, Beijing, China, 2020. [Google Scholar]
- Liu, J.; Zhu, Y.; Bo, Q. Reliability and validity of the Chinese version of the Medical Outcomes Study HIV Health Survey (MOS-HIV) in people living with HIV/AIDS (PLWHA) in China. PLoS ONE 2018, 13, 201177. [Google Scholar] [CrossRef]
- Takuroa, T.; Makotob, M. The impact of cognitive apprenticeship on the perceived growth of junior doctors. J. Workplace Learn. 2020, 32, 489–499. [Google Scholar]


| Numbers | Urban Forest Parks |
|---|---|
| 1 | Badaling National Forest Park |
| 2 | Dayang Mountain National Forest Park |
| 3 | West Mountain National Forest Park |
| 4 | Qifeng Mountain National Forest Park |
| 5 | Anaconda National Forest Park |
| Demographic Features | Possible Options | Responses | Percentage (%) |
|---|---|---|---|
| Gender | Male | 236 | 56.325 |
| Female | 183 | 43.675 | |
| Age | 18–35 | 164 | 39.141 |
| 35–50 | 137 | 32.697 | |
| 50–65 | 107 | 25.537 | |
| Above 65 | 11 | 2.625 | |
| Education | Illiterate | 17 | 4.057 |
| Primary | 23 | 5.489 | |
| High school | 12 | 2.864 | |
| College degree | 196 | 46.778 | |
| Graduate | 171 | 40.812 | |
| Monthly income | Less than 6000 | 179 | 42.721 |
| 6000–8000 | 72 | 17.184 | |
| 8000–10,000 | 25 | 5.967 | |
| 10,000–12,000 | 56 | 13.365 | |
| Above 12,000 | 87 | 20.764 | |
| Frequency of forest tourism | 1 time per week | 253 | 60.382 |
| 2–3 times per week | 132 | 31.504 | |
| More than 3 times per week | 34 | 8.115 |
| Variable | Items | Mean | SD | |
|---|---|---|---|---|
| IF | ||||
| IF1 | Variety of infrastructure | 1 = few, 2 = incomplete, 3 = moderate, 4 = almost complete, 5 = fully complete | 2.687 | 1.097 |
| IF2 | Layout of infrastructure | 1 = completely unreasonable, 2 = relatively unreasonable, 3 = moderate, 4 = relatively reasonable, 5 = completely reasonable | 2.952 | 1.149 |
| IF3 | Advancement of infrastructure | 1 = completely backward, 2 = relatively backward, 3 = moderate, 4 = relatively advanced, 5 = fully advanced | 3.072 | 1.226 |
| RE | ||||
| RE1 | Physiographic landscape | 1 = very poor, 2 = relatively poor, 3 = moderate, 4 = relatively good, 5 = very good | 2.957 | 1.159 |
| RE2 | Rare creature landscape | 1 = very poor, 2 = relatively poor, 3 = moderate, 4 = relatively good, 5 = very good | 2.313 | 1.055 |
| RE3 | Climatic landscape | 1 = very poor, 2 = relatively poor, 3 = moderate, 4 = relatively good, 5 = very good | 2.446 | 1.079 |
| RE4 | Waterscape | 1 = very poor, 2 = not beautiful, 3 = moderate, 4 = relatively beautiful, 5 = very beautiful | 2.270 | 1.004 |
| RE5 | Historical and cultural relics | 1 = very simple, 2 = relatively simple, 3 = moderate, 4 = relatively diverse, 5 = very diverse | 2.239 | 1.121 |
| RE6 | Entertainment and shopping infrastructure | 1 = very simple, 2 = relatively simple, 3 = moderate, 4 = relatively diverse, 5 = very diverse | 2.852 | 1.197 |
| RE7 | Folkloric landscape | 1 = very simple, 2 = relatively simple, 3 = moderate, 4 = relatively diverse, 5 = very diverse | 3.315 | 1.215 |
| EN | ||||
| EN1 | Air quality | 1 = very poor, 2 = relatively poor, 3 = moderate, 4 = relatively good, 5 = very good | 3.714 | 1.376 |
| EN2 | Soil pollution | 1 = very serious, 2 = relatively serious, 3 = moderate, 4 = almost no pollution, 5 = no pollution at all | 2.535 | 1.242 |
| EN3 | Vegetation cover | 1 = very thin, 2 = relatively thin, 3 = moderate, 4 = relatively thick, 5 = very thick | 3.277 | 1.292 |
| SA | ||||
| SA1 | Ecological environment satisfaction | 1 = very dissatisfied, 2 = relatively dissatisfied, 3 = moderate, 4 = relatively satisfied, 5 = very satisfied | 3.356 | 1.191 |
| SA2 | Infrastructure satisfaction | 1 = very dissatisfied, 2 = relatively dissatisfied, 3 = moderate, 4 = relatively satisfied, 5 = very satisfied | 3.196 | 1.195 |
| SA3 | Landscape resources satisfaction | 1 = very dissatisfied, 2 = relatively dissatisfied, 3 = moderate, 4 = relatively satisfied, 5 = very satisfied | 3.241 | 1.265 |
| PA | ||||
| PA1 | Willingness to revisit this place | 1 = very low, 2 = relatively low, 3 = moderate, 4 = relatively high, 5 = very high | 2.678 | 1.111 |
| PA2 | Willingness to recommend others | 1 = very low, 2 = relatively low, 3 = moderate, 4 = relatively high, 5 = very high | 2.795 | 1.138 |
| Latent Variables | Observed Variables | Factor Loading | KMO | Bartlett’s Test of Sphericity | Cronbach’s Alpha |
|---|---|---|---|---|---|
| IF | IF1 | 0.836 | 0.710 | 421.278 (p = 0.000) | 0.810 |
| IF2 | 0.872 | ||||
| IF3 | 0.848 | ||||
| RE | RE1 | 0.211 | 0.794 | 1029.489 (p = 0.000) | 0.795 |
| RE2 | 0.806 | ||||
| RE3 | 0.763 | ||||
| RE4 | 0.810 | ||||
| RE5 | 0.818 | ||||
| RE6 | 0.673 | ||||
| RE7 | 0.021 | ||||
| EN | EN1 | 0.806 | 0.670 | 386.465 (p = 0.000) | 0.786 |
| EN2 | 0.818 | ||||
| EN3 | 0.888 | ||||
| SA | SA1 | 0.887 | 0.737 | 635.763 (p = 0.000) | 0.873 |
| SA2 | 0.908 | ||||
| SA3 | 0.884 | ||||
| PA | PA1 | 0.932 | 0.500 | 328.450 (p = 0.000) | 0.850 |
| PA2 | 0.932 |
| Latent Variables | Observed Variable | Parametric Significance | Standard Loadings | Reliability of Items | Composite Reliability | Average Variance Extracted | |||
|---|---|---|---|---|---|---|---|---|---|
| Unstd | SE | t-Value | p | Std | SMC | CR | AVE | ||
| IF | IF1 | 1.000 | 0.731 | 0.534 | 0.813 | 0.592 | |||
| IF2 | 1.150 | 0.078 | 14.702 | *** | 0.802 | 0.643 | |||
| IF3 | 1.182 | 0.083 | 14.300 | *** | 0.773 | 0.598 | |||
| RE | RE2 | 1.000 | 0.742 | 0.551 | 0.845 | 0.523 | |||
| RE3 | 0.971 | 0.073 | 13.330 | *** | 0.705 | 0.497 | |||
| RE4 | 0.985 | 0.068 | 14.421 | *** | 0.768 | 0.590 | |||
| RE5 | 1.086 | 0.076 | 14.275 | *** | 0.759 | 0.576 | |||
| RE6 | 0.966 | 0.081 | 11.972 | *** | 0.632 | 0.399 | |||
| EN | EN1 | 1.000 | 0.681 | 0.464 | 0.796 | 0.568 | |||
| EN2 | 0.947 | 0.076 | 12.435 | *** | 0.715 | 0.511 | |||
| EN3 | 1.176 | 0.086 | 13.614 | *** | 0.853 | 0.728 | |||
| SA | SA1 | 1.000 | 0.819 | 0.671 | 0.870 | 0.690 | |||
| SA2 | 1.054 | 0.053 | 19.873 | *** | 0.861 | 0.741 | |||
| SA3 | 1.053 | 0.057 | 18.497 | *** | 0.811 | 0.658 | |||
| PA | PA1 | 1.000 | 0.833 | 0.694 | 0.660 | 0.493 | |||
| PA2 | 1.089 | 0.067 | 16.320 | *** | 0.886 | 0.785 | |||
| IF | EN | RE | SA | PA | |
|---|---|---|---|---|---|
| IF | [0.769] | ||||
| EN | 0.670 | [0.754] | |||
| RE | 0.109 | 0.073 | [0.723] | ||
| SA | 0.747 | 0.664 | 0.056 | [0.831] | |
| PA | 0.534 | 0.475 | 0.040 | 0.715 | [0.702] |
| Hypothesized Path | Standardized Coefficients | p | Accept/Reject | ||
|---|---|---|---|---|---|
| IF | ---> | RE | 0.109 * | 0.057 | Accept |
| IF | ---> | EN | 0.670 *** | 0.082 | Accept |
| IF | ---> | SA | 0.551 *** | 0.089 | Accept |
| RE | ---> | SA | −0.026 | 0.052 | Reject |
| EN | ---> | SA | 0.297 *** | 0.071 | Accept |
| SA | ---> | PA | 0.715 *** | 0.054 | Accept |
| Indicators | RMSEA | GFI | CFI | CMIN/DF |
|---|---|---|---|---|
| Recommended values | <0.080 | >0.900 | >0.900 | <5 |
| Actual value | 0.071 | 0.912 | 0.938 | 3.126 |
Publisher’s Note: MDPI stays neutral with regard to jurisdictional claims in published maps and institutional affiliations. |
© 2022 by the authors. Licensee MDPI, Basel, Switzerland. This article is an open access article distributed under the terms and conditions of the Creative Commons Attribution (CC BY) license (https://creativecommons.org/licenses/by/4.0/).
Share and Cite
Zhang, L.; Wu, C.; Hao, Y. Effect of The Development Level of Facilities for Forest Tourism on Tourists’ Willingness to Visit Urban Forest Parks. Forests 2022, 13, 1005. https://doi.org/10.3390/f13071005
Zhang L, Wu C, Hao Y. Effect of The Development Level of Facilities for Forest Tourism on Tourists’ Willingness to Visit Urban Forest Parks. Forests. 2022; 13(7):1005. https://doi.org/10.3390/f13071005
Chicago/Turabian StyleZhang, Liying, Chengliang Wu, and Yan Hao. 2022. "Effect of The Development Level of Facilities for Forest Tourism on Tourists’ Willingness to Visit Urban Forest Parks" Forests 13, no. 7: 1005. https://doi.org/10.3390/f13071005
APA StyleZhang, L., Wu, C., & Hao, Y. (2022). Effect of The Development Level of Facilities for Forest Tourism on Tourists’ Willingness to Visit Urban Forest Parks. Forests, 13(7), 1005. https://doi.org/10.3390/f13071005
