Abstract
While carbon loss from plant litter is well understood, the mechanisms by which this carbon is sequestered in the decomposing litter substrate remains unclear. Here we assessed humus accumulations in five foliar litters during four years of decomposition and their responses to reduced snow cover in an alpine forest. In contrast to the traditional understanding (i.e., the three-stage model), we found that fresh litter had a high humus content (8–13% across species), which consistently increased during litter decomposition and such an increase primarily depended on the accumulation of humic acid. Further, reduced snow cover decreased humus accumulation at early stages but increased it at late stages. These results suggested that humification simultaneously occurred with decomposition during early litter decay, but this process was more sensitive to the changing climate in seasonally snow-covered ecosystems, as previously expected.
1. Introduction
Decomposition and humification are two continual processes that determine the fate of plant litter [1] but remain largely uncoupled in current studies [2]. In recent decades, litter decomposition has become increasingly well understood [3,4]. However, the humified and not the decomposed components are more important for the formation and stabilization of soil organic matter [5], but the humification process is poorly understood [6]. A guiding paradigm suggests that litter decomposes to a “limit value” and recalcitrant residues that cannot be decomposed are polymerized into humus. Thus, humus is considered to accumulate at a very late stage of litter decomposition [4]. However, recent evidence challenges this traditional understanding [7] and shows that considerable litter carbon is input into mineral soil during early litter decay [8,9]. The humic acid (HA) and fulvic acid (FA) fractions from the alkali extraction method suggested by the International Humic Substances Society still provide historical comparative data and accurately represent natural organic matter across multiple environments, source materials and research objectives [10]. These isotope-labeling studies have greatly advanced our knowledge of carbon flux from plant litter to soils [11,12]; however, the mechanisms by which humus accumulates in the decomposing litter substrate remain unknown. Clearly, the potential mechanisms that govern the decomposition and humification of plant litter and control SOM formation must be determined [13], and the feedback of these fundamental processes must be incorporated into ongoing research on climate change.
Snow covers half of the land area in the Northern Hemisphere [14] and acts as a thermal insulator that modulates key ecological processes in many cold ecosystems, including Asian and American Arctic tundra ecosystems [15,16]. However, seasonal snow cover has decreased by 7% and is projected to decrease by 25% by the end of this century [17]. Such a decline in snow cover was demonstrated to slow the carbon flux from aboveground plants to soil via litter decomposition [18,19]. In fact, the carbon turnover in cold biomes covered by seasonal snow is inherently slow due to the limitations of low temperature [20,21]. Thus, reduced snow cover may exert a profound influence on litter humification, which sequesters carbon in the decomposing litter, rather than on litter decomposition, which allows litter to decay in cold forest ecosystems, as shown by our preliminary results [22]. Recent evidence has reinforced this hypothesis. For example, the release of labile components, which have been reported as major precursors for SOM formation [13], is decreased by reduced snow cover. This decreased energy supply from labile carbon [23] and increased soil freezing [24] induced by a reduction in snow cover may limit the contribution of soil microorganisms [25,26] to SOM formation and stabilization, as suggested by an increasing number of theories [9,11,27]. This effect of reduction in winter snow cover may impact long-term “recalcitrant” pools of soil carbon (e.g., SOM) in addition to short-term “labile” pools of soil carbon [28] (e.g., decomposing plant litter) in these cold biomes; however, our current understanding is unclear.
Here, we address two questions: (1) Is humus formed at a very late stage of litter decomposition? (2) Will reduced snow cover alter this carbon sequestration process in high-altitudinal ecosystems? Our overall objective was to explore how plant litter is decomposed and/or humified after leaf fall. As a preliminary test, we conducted an in situ litterbag experiment in an alpine forest on the eastern Tibetan Plateau in 2012 to explore the chemical changes [29], elemental dynamics [30], humus accumulation [31] and microbial community [32] during the decomposition and humification of six foliar litters and one twig litter, which were used to decrease the uncertainty among litter species and types. Seasonal snow cover and associated soil freezing and thawing modulate certain key biogeochemical cycles [33]; therefore, we also evaluated the effects of the reduction in snow cover. Winter litter decomposition is a significant ecological process in this alpine forest [34]; thus, samplings were scheduled at the end of snow formation, coverage and melt stages during winter and at the end of the growing season (Table 1), and the focus was on wintertime to explore the temporal effects of the reduction in snow cover [22]. In this paper, we present data on the humus content (alkali-extractable substances, including humic acid and fulvic acid) in three tree and two shrub foliar litters with different initial qualities (Table 2) over four years (from 2012 to 2016) and its response to the reduction in snow cover. Our results should provide a possible consequence of long-term SOM formation with reduced winter snow cover under a changing climate.
Table 1.
Sampling compared with the timings and lengths of winters during the four years of decomposition. Hourly temperature with a 50% probability (continual 12 h per day) of freezing (below 0 °C) is defined as the beginning and end of winter in this study (modified from Ladwig et al. [35]). This definition is not conservative because solar radiation is very strong in this alpine forest and increases in temperature were recorded using a data logger. Sampling dates were scheduled approximately in late April and October within one-week intervals referring to the timing of the 2012/2013 winter.
Table 2.
Initial chemical compounds in the five foliar litters used in our long-term decomposition experiment. Data from Ni et al. [31,36]. Values are means and standard deviations in parentheses (n = 3). Different superscript letters in the same column represent significant (p < 0.05) differences between litter species. C: carbon, N: nitrogen, P: phosphorus, WSS: water-soluble substances, OSS: organic-soluble substances, ASS: acid-soluble substances, AUR: acid-unhydrolyzable residues.
2. Materials and Methods
2.1. Experimental Site
This study was conducted at the Long-Term Research Station of Alpine Forest Ecosystems (31°14′ N, 102°53′ E, approximately 3600 m a.s.l.). Our experimental sites are located in an alpine forest on the eastern Tibetan Plateau [22]. The annual mean temperature and precipitation are 2.7 °C and 850 mm, respectively. Seasonal snow cover develops in late October and melts in the following April, with a maximum snow depth of approximately 50 cm and a soil freezing time of approximately 120 days [34]. This alpine forest is dominated by coniferous cypress (Sabina saltuaria (Rehder & E.H.Wilson) W.C.Cheng & W.T.Wang) and deciduous larch (Larix mastersiana Rehd. et Wils. ) and birch (Betula albosinensis Burkill). The main shrubs are dwarf willow (Salix paraplesia Schneid.) and azalea (Rhododendron lapponicum (L.) Wahl.) and there are also some sedge (Carex sp.) and moss at the site. Canopy opening induced by natural tree fall and other climatic extremes covers 13–23% of the landscape. Decomposition of plant detritus is limited by the low temperature; thus, soils are classified as dark brown soil. The depth of the forest floor (Oi + Oe + Oa) is 7 cm with a carbon stock of 1.6 t C ha−1. Carbon, nitrogen, phosphorus and humus contents (the sum of alkali extracted organic matter) in the organic horizon are 16, 0.58, 0.17 and 6.1%, respectively [36].
2.2. Snow Manipulation
Three long-term sites (as three replicates; 3579–3582 m a.s.l., 500–2000 m apart) were established in this alpine forest in 2009 with similar topographies and canopy covers so that similar snowfall and litter fall were received. Each site consisted of four plots: two plots located in an open canopy to simulate full snow cover (control) and two plots located in a closed canopy to simulate reduced snow cover [22] (n = 6). This experimental design was used to decrease the risk of needle litter (fir, cypress and larch) escaping from litterbags, which must have sufficiently large mesh sizes to permit soil fauna access [23]. Each plot had five subplots (3 m × 3 m in size and 3–4 m apart) for incubating the five dominant foliar litters with different initial qualities (Table 2). The snow depth was manually measured in triplicate in each control and reduced snow cover plot (n = 18) at each sampling date. The temperatures at the litter surface were recorded using data loggers (iButton DS1923-F5, Sunnyvale, CA, USA), which were placed in marked litterbags in each plot (n = 6). A freeze–thaw cycle was defined as a transition above or below 0 °C for at least 3 h and then a transition back according to hourly temperature data [37].
2.3. Litterbag Experiment
Five dominant foliar fresh plant litters in this alpine forest (cypress and larch needles and birch, willow and azalea leaves) were studied in our long-term decomposition experiment using an in situ litterbag technique [38]. In the fall of 2012, senesced foliage from each litter fall species was collected on tarpaulins from twenty or more trees or shrubs by shaking their limbs at the experimental sites. Green or partly decomposed needles (leaves), twigs and bark were removed, and only newly shed foliar litter was air dried at room temperature for two weeks. The litterfall samples (10 ± 0.05 g) were placed in nylon litterbags (20 cm × 25 cm in size, with mesh sizes of 1.0 mm on the top and 0.5 mm on the bottom), and a total of approximately 8600 litterbags (1720 samples per specie) were carefully transferred to the corresponding subplots on 15 and 16 November 2012, for long-term litter decomposition/humification monitoring in this alpine forest. Litterbags in the same subplots were strung together and placed 2–5 cm apart. After all the litterbags were established on the soil surface, five litterbags of each litter species were randomly collected and returned to the laboratory to determine the losses during establishment and the water content of the air-dried foliar litter.
Samplings were scheduled at the snow formation stage (15 November 2012, 30 October 2013, 29 October 2014, 2 November 2015 and 30 October 2016), snow cover stage (26 December 2012 and 23 December 2013) and snow melt stage (26 December 2012 and 23 December 2013) during winter, as well as during the growing season (24 April 2013, 24 April 2014, 23 April 2015 and 24 April 2016), during decomposition, with a focus on wintertime [34] based on experimental procedures in other cold biomes [19,32] and our temperature data in this alpine forest (Figure 1). The beginning and end of winter were defined as hourly temperatures with a 50% probability (continual over 12 h per day) of freezing [35] (below 0 °C; Table 1). Based on the snow dynamics and changes in temperature, winters were further divided into three stages: snow formation, coverage and melt stages (Figure 1b). In this study, we sampled at the end of snow formation, coverage and melt stages in winter and at the end of the growing season (beginning of snowfall) from 2012 to 2016 to explore the temporal effect of snow reduction on litter humification. We sampled only twice per year (at the end of the snow melt stage and growing season) beginning in winter 2014–2015. All sampling dates are presented in Figure 1. At each sampling date above, two litterbags per subplot were randomly collected carefully. The 120 litter bags of each species were carefully removed from snow, leaves and twigs on the surface of the bags then placed in separate plastic bags and transported to the laboratory.
Figure 1.
Temperatures and freeze–thaw cycles in the control and reduced snow cover plots. (a) Snow depths (±SE, n = 18) on each sampling date. Differences between control and reduced snow cover plots were significant (p < 0.05) on all sampling dates. (b) Daily temperatures (n = 6) at the litter surface during the four years of decomposition. Sampling dates were scheduled at approximately the ends of the snow formation, coverage and melt stages, and the growing season. Winter times, with the snow formation, coverage and melt stages, are shaded. The dashed line is drawn at a daily temperature of zero. (c) Mean temperatures (±SE, n = 6) at individual stages. Times between two adjacent sampling dates were defined as separate stages to better understand the effect of snow reduction at the snow formation, coverage and melt stages. SF: snow form stage, SC: snow cover stage, SM: snowmelt stage, GS: growing season. (d) Freeze–thaw cycles (±SE, n = 6) at the individual stages. Values were calculated using the quotients of the total number of freeze–thaw cycles and the days of certain stages. * p < 0.05, ** p < 0.01, *** p < 0.001.
2.4. Chemical Analysis
Once the samples of five species were transferred to the laboratory, all litter samples were carefully removed from the bags, in which visible roots, mosses and soils were completely removed from the litter samples. One cleaned subsample was oven dried at 105 °C (for more than 48 h) to measure the dry mass and water content. The remaining mass was evaluated based on the dry mass as presented elsewhere. Another subsample was used to determine the total humus, humic acid and fulvic acid contents in the foliar litter.
We used the alkali method to extract the humus in the foliar litter. Although this method was recently questioned [7], alkali extraction provides a quantitative measurement of the magnitude of humus accumulation in decomposing litter. Specifically, a 1.00 g air-dried subsample was placed in a 150 mL bottle and extracted with a 100 mL mixed solution of 0.1 M NaOH and Na4P2O7 at 80 °C for 1 h after shaking for 30 min. The dissolved solution was filtered and stored under anaerobic conditions as the total extractive humus.
Humic acid and fulvic acid were isolated using 0.05 M HCl to pH 2.0 and kept at 80 °C for 30 min. Humic acid (not soluble in acid but soluble in alkali) was separated out as floccules and filtered and re-dissolved with 0.05 M NaOH. The isolated humic acid and total extractive humus were filtered through 0.45 μm meshes, and 200 μL solutions were determined using a TOC analyzer (multi N/C 2100, Analytik Jena, Thüringen, Germany).
The humus content (including humic acid and fulvic acid) was defined as alkali-extractable substances and calculated as a percentage of the litter mass. The fulvic acid content (FA, % of litter mass) represented the difference between the total extractive humus and humic acid.
where Hu and HA are the contents of the total extractive humus and humic acid, respectively.
FA (%) = Hu − HA
A 0.5 g air-dried subsample was oven dried at 105 °C for 48 h to determine the litter moisture, which was used to adjust the final value of the humus content.
2.5. Data Analysis
We first examined the effect of snow reduction and its variation over time among the litter species using a three-way analysis of variance (ANOVA). Differences between the control and reduced snow cover plots were assessed via paired t-tests or Wilcoxon signed-rank tests in MATLAB R2012a (MathWorks Inc., Natick, MA, USA) if the sample sizes were unequal. Then, we compared the relationships between the remaining litter mass and the contents of the total humus, humic acid and fulvic acid. We also monitored certain approximate chemical compounds and mineral elements in this long-term experiment and used a partial least squares analysis [39] in SIMCA 14.0 (MKS, Umeå, Sweden) to distinguish the importance of the factors that may impact the humus content. The relative influence of each independent explanatory variable (chemical compounds and mineral elements) were estimated using the variable importance of projection (VIP) and values greater than 1 were considered relevant and significant for explaining the humus content [40].
3. Results
3.1. Humus
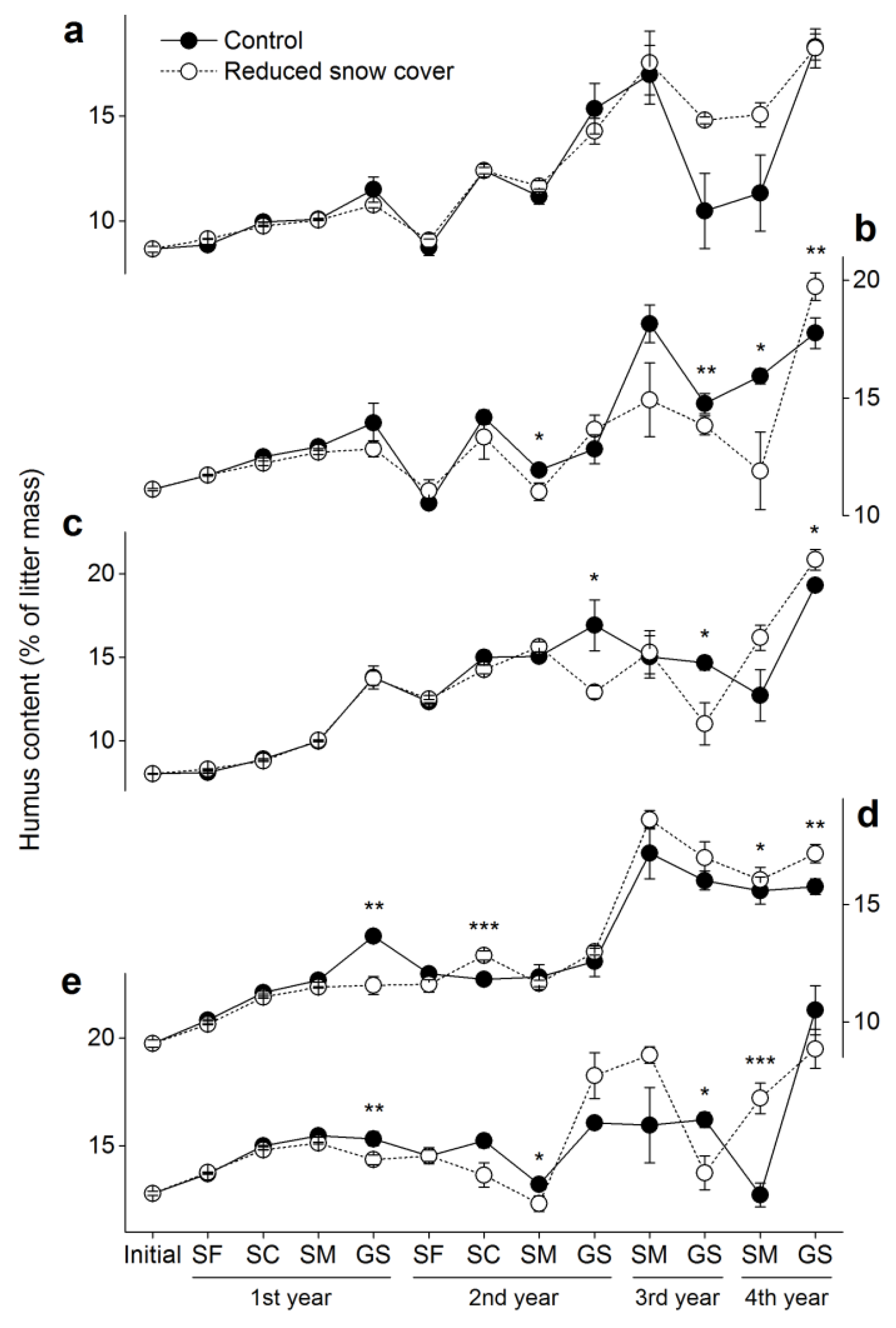
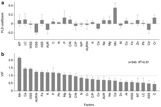
The initial humus content (alkali-extractable substances) was 8–13% in the foliar litters and increased to 16–21% across all species in the control plots after four years of humification (Figure 2). The humus content was stable but greatly increased beginning in the second growing season. Snow manipulation did not significantly impact the humus content (F = 0.02, p = 0.90; Table 3), although its interactions with both sampling time (F = 2.2, p = 0.015) and litter species (F = 2.9, p = 0.022) were significant. During the first three years of humification, lower humus contents (p < 0.05) were observed in the reduced snow cover plots for larch, birch, willow and azalea litters, except at the second snow cover stage for willow litter (Figure 2d). In the fourth year, higher humus contents (p < 0.05) were observed in the reduced snow cover plots, except at the fourth snowmelt stage for larch litter (Figure 2b). At the end of this experiment, higher values (p < 0.05) were observed in the reduced snow cover plots for larch, birch and willow litter (Figure 2b–d). When all litter species were combined, the humus content significantly increased (R2 = 0.40, p < 0.001; Figure 3a) with decreases in the remaining litter mass. Manganese (Mn) was the most significant factor that impacted the humus content, and the effect of acid-unhydrolyzable residue (AUR) was greater than that of labile carbon, although neither was significant and presented VIP values below 1 (Figure 4).
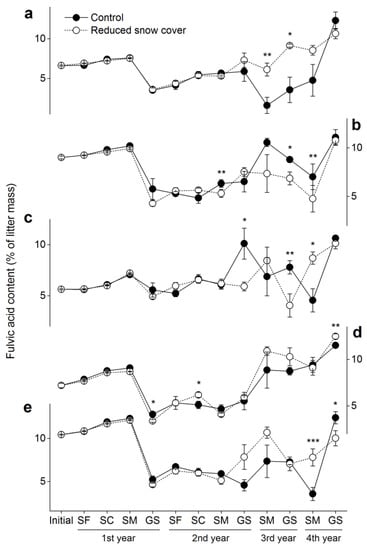
Figure 2.
Humus contents (±SE, n = 6) in the five foliar litters. (a) Cypress, (b) larch, (c) birch, (d) willow and (e) azalea. SF: snow formation stage, SC: snow cover stage, SM: snowmelt stage, GS: growing season. * p < 0.05, ** p < 0.01, *** p < 0.001.
Table 3.
Results of three-way ANOVA testing for the effects of time, litter species and snow manipulation. Bold values are significant (p < 0.05).
Figure 3.
Relationships between the remaining mass and humus contents (a), humuc acid contents (b) and fulvic acid contents (c). Shaded areas are 95% confidence intervals. Adjusted R2 and p-values from linear or exponential regressions are shown in each panel (all n = 78).
Figure 4.
Partial least squares (PLS) analysis results for testing factors that impacted the humus content. (a) PLS coefficient. (b) Variable importance of projection (VIP). Error bars represent standard errors. VIP values greater than 1 (above the dashed line) were significant. MT: mean temperature, LC: labile carbon, WSS: water-soluble substances, OSS: organic-soluble substances, ASS: acid-soluble substances, AUR: acid-unhydrolyzable residue, C: carbon: N: nitrogen, P: phosphorus, K: potassium, Ca: calcium, Na: sodium, Mg: magnesium, Mn: manganese, Al: aluminum, Cu: copper, Fe: iron, Zn: zinc, Pb: lead, Cd: cadmium, Cr: chromium. All these factors were monitored in our long-term experiment.
3.2. Humic Acid
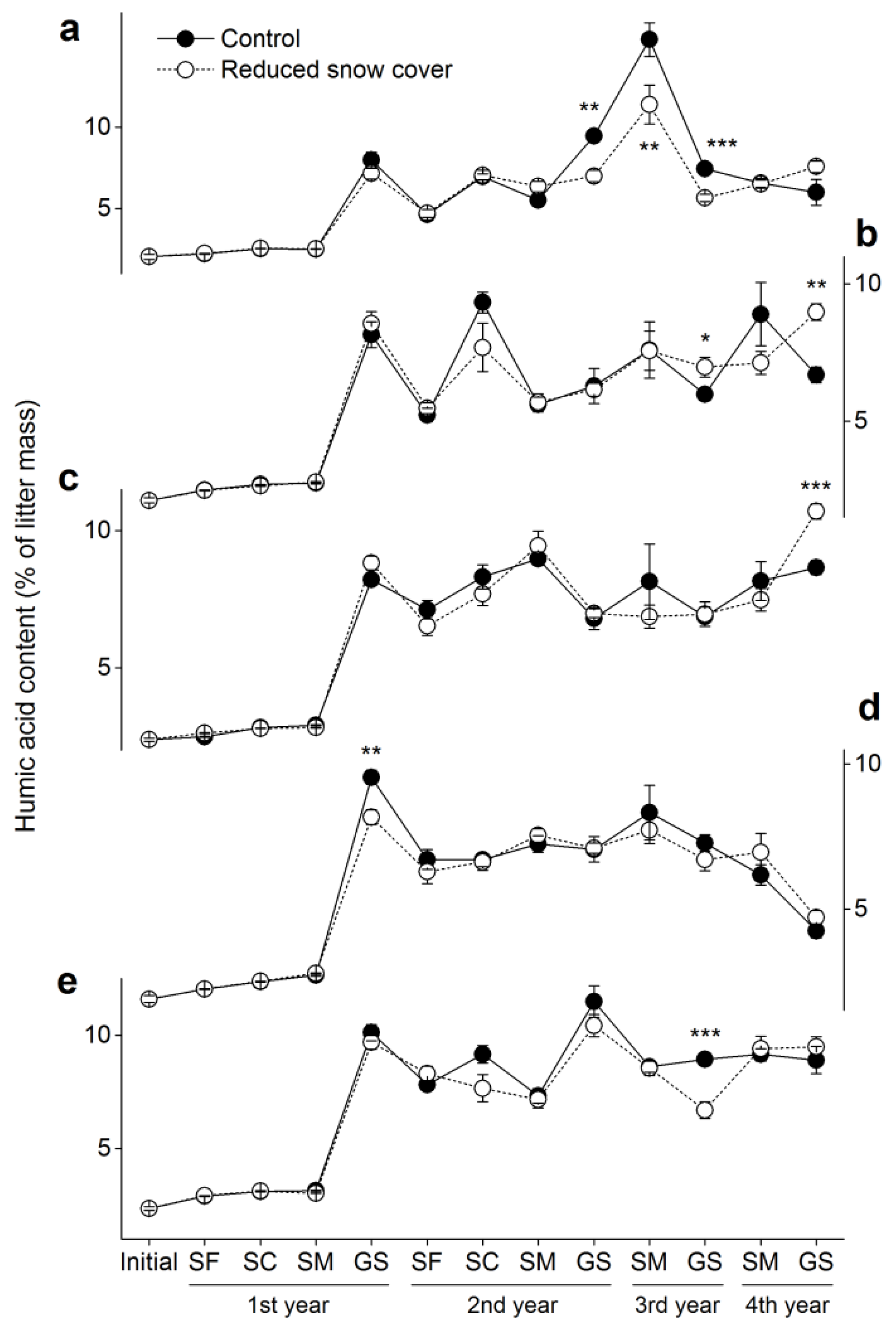
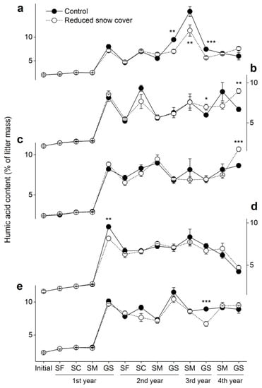
The initial humus content (alkali-extractable substances) was 1.9–2.4% in the foliar litter and increased to 4.3–8.9% across all species in the control plots after four years of humification (Figure 5). The humic acid content was stable but greatly increased in the first growing season. Snow manipulation significantly (F = 6.0, p = 0.015; Table 3) impacted the humic acid content. During four years of humification, lower humic acid contents (p < 0.05) were observed in the reduced snow cover plots for cypress (Figure 5a), willow (Figure 5d) and azalea (Figure 5e) litter, as well as in the control plots for larch (Figure 5b) and birch (Figure 5c) litter. At the end of this experiment, higher humic acid content was observed in the reduced snow cover plots for both larch and birch litters (both p < 0.01). When all litter species were combined, the humic acid content greatly increased as the remaining mass decreased until it reached 50–60% (R2 = 0.65, p < 0.001; Figure 3b).
Figure 5.
Humic acid contents (±SE, n = 6) in the five foliar litters. (a) Cypress, (b) larch, (c) birch, (d) willow and (e) azalea. SF: snow formation stage, SC: snow cover stage, SM: snowmelt stage, GS: growing season. * p < 0.05, ** p < 0.01, *** p < 0.001.
3.3. Fulvic Acid
The initial fulvic acid contents were 5.6–10.4% in the foliar litter and increased to 10.6–12.4% across all species in the control plots after four years of humification (Figure 6). The fulvic acid content was stable during the first winter but greatly decreased during the first growing season and then increased in the third year. Snow manipulation did not significantly impact the fulvic acid content (F = 2.1, p = 0.14; Table 3), although its interactions with both sampling time (F = 3.1, p < 0.001) and litter species (F = 5.3, p < 0.001) were significant. At the end of this experiment, higher fulvic acid contents were observed in the reduced snow cover plot for willow litter (p < 0.01; Figure 6d), whereas lower values were observed in the reduced snow cover plot for azalea litter (p < 0.05; Figure 6e). When all litter species were combined, the fulvic acid content decreased when the remaining litter mass was approximately >70% but then greatly increased (R2 = 0.19, p < 0.001; Figure 3c).
Figure 6.
Fulvic acid contents (±SE, n = 6) in the five foliar litters. (a) Cypress, (b) larch, (c) birch, (d) willow and (e) azalea. SF: snow formation stage, SC: snow cover stage, SM: snowmelt stage, GS: growing season. * p < 0.05, ** p < 0.01, *** p < 0.001.
4. Discussion
SOM sequesters twice as much carbon as the total carbon contained in the atmosphere and terrestrial plants [41], and forecasting its feedback to climate change requires a clear understanding, not only of SOM decomposition [12] but also of SOM formation. Recent studies have changed our traditional understanding of the mechanisms underlying SOM formation [7,13]. A considerable amount of carbon is known to be transferred from plant litter to mineral soils at the early stages of litter decomposition [8]. However, the mechanisms underlying the accumulation of humus in the decomposing litter substrate remain unclear.
4.1. Is Humus Really Formed at a Very Late Stage of Litter Decomposition?
The conventional view suggests that plant litter decomposes to a “limit value”, beyond which, litter cannot be decomposed and recalcitrant residues are humified and retained in stable SOM; therefore, humus is considered to form at a very late stage of litter decay [1]. In this study, we found that the initial humus content accounted for 8–13% of the litter mass (Figure 2), suggesting a high degree of humification in freshly senesced foliage. Furthermore, the humus content consistently increased as decomposition proceeded (R2 = 0.40, p < 0.001; Figure 3a) and eventually reached 16–21% after four years of humification. Our results demonstrated that considerable humus accumulation occurred, and it sequestered carbon in the remaining litter substrate and did not allow for the net release of carbon from litter during the early stages of decomposition (four years) in this high-altitude forest.
Increasing evidence suggests that recalcitrant compounds (e.g., AUR) are not selectively preserved during litter decomposition [42]. In contrast, labile components increase microbial substrate use efficiency and promote SOM formation and persistence [9,13]. In this experiment, we monitored certain chemical compounds and mineral elements during litter decomposition and performed a partial least squares analysis to distinguish the importance of these factors that may impact the humus content. We found that the effect of AUR was greater than that of labile carbon, although neither was significant (Figure 4b). However, this result from our litterbag experiment was insufficient to support the microbial efficiency-matrix stabilization theory [13]. Our findings indicated that the litter Mn concentration was the dominant factor (VIP = 2.2) and positively related to the humus content (the coefficient was 0.35; Figure 4a), which suggested that Mn not only stimulated litter decomposition [43] but also promoted humus accumulation, thus supporting the hypothesis proposed by Berg et al. [44]. Our results also implied that bonding between humus and mineral elements (e.g., calcium and iron) may be more important than the approximate chemical compounds (e.g., water-soluble substances and AUR) in maintaining the organo-mineral stabilization of newly formed humus during the early stages of litter decomposition.
Fulvic acid (5.6–10.4%; Figure 6) formed earlier than humic acid (1.9–2.4%; Figure 5) in the decomposing foliar litter. However, the newly formed fulvic acid was not stable and degraded at earlier stages of humification (remaining mass >70%; Figure 3c), whereas humic acid greatly increased before the remaining mass reached 50–60%. It is not surprising that FA and HA were most present in the alkali-extractable substances since individual, lower molecular weight organic substances are extracted from fresh plant sediment. A study by Qualls et al. [45] also found that humic acid increased from 2.1% to 15.1% and that fulvic acid decreased from 7.5% to 6.1% in 3-year-old pine (Pinus strobus L.) litter compared with the fresh sample. These results show that humus accumulation during early litter decay was primarily dependent on the increase in humic acid. Our findings emphasized that more long-term ecological research should be performed to address how carbon is sequestered in soils instead of how carbon is lost from plant litter in a changing climate.
4.2. Will Reduced Snow Cover Alter This Carbon Sequestration Process in High-Altitudinal Ecosystems?
Winter snow cover has decreased in cold biomes [17], and numerous studies assessed its influence on the decomposition of plant litter; however, the results indicated high uncertainty. For example, experiments found that reduced snow cover decreases the litter decomposition rates by 5–47% in forests [18,46] and tundra [47], and a surprising threefold lower decomposition rate was reported under reduced snow cover in a subalpine meadow [19]. However, other experiments suggested that reduced snow cover has only a minor [28,48] or even null effect [49,50] on litter decomposition in subarctic and alpine ecosystems. Indeed, in our mid-latitudinal alpine forest, we also found that reduced snow cover decreased the loss of litter mass but only during the first two years and not during the subsequent periods.
In fact, the humified and not the decomposed components in the decomposing litter are more important for SOM formation and stabilization. Sequestering more carbon into the SOM with a longer mean resistance time [51] rather than allowing it to decompose is more effective under a changing climate [5]. Unfortunately, the mechanisms involved in SOM formation and its feedback on climate change are largely unknown. In this study, we found that reduced snow cover decreased the humus content in decomposing litter during the first three years but increased it in the fourth year (Figure 2). This result suggested that short-term assessments may erroneously estimate the real influence of the reduction in winter snow cover, which has a more complex effect on soil carbon sequestration, as indicated by previous snow manipulation studies. Thus, long-term ecological studies should be performed to decrease the uncertainty and accurately evaluate the SOM–climate feedback.
5. Conclusions
Our in situ litterbag experiment quantified 16–21% of the remaining plant litter sequestered as stable humic substances in the substrate material after four years of humification. Although this proportion was small compared with the decomposed amount (57–76%), carbon was retained to a degree in decomposing litter during its early decay periods, when an organo-mineral association formed via the interactions of mineral elements with newly accumulated humus. Clearly, the early carbon sequestration process from plant litter will be limited under a reduction in winter snow cover, although the effect is more complex than previously expected, and more long-term assessments should address how carbon is sequestrated and not decomposed from plant litter under a changing climate in seasonal snow-covered ecosystems.
Author Contributions
D.W. and W.D. designed the experiments; X.N. collected and exampled the samples; H.G. analyzed the data and drew the figures; D.W. drafted the manuscript; W.D. revised the manuscript. All authors have read and agreed to the published version of the manuscript.
Funding
This research was funded by the National Natural Science Foundation of China, grant numbers 32001965 and 41971261.
Institutional Review Board Statement
Not applicable.
Informed Consent Statement
Not applicable.
Data Availability Statement
The data are included in the manuscript submitted for peer review and will be archived online as supplementary materials of the manuscript is accepted for publication.
Conflicts of Interest
The authors declare no conflict of interest.
References
- Berg, B.; McClaugherty, C. Plant Litter: Decomposition, Humus Formation, Carbon Sequestration, 4th ed.; Springer: New York, NY, USA, 2020; pp. 13–37. [Google Scholar]
- Bailey, V.L.; Pries, C.H.; Lajtha, K. What do we know about soil carbon destabilization? Environ. Res. Lett. 2019, 14, 083004. [Google Scholar] [CrossRef]
- Tie, L.; Hu, J.; Penuelas, J.; Sardans, J.; Wei, S.; Liu, X.; Zhou, S.; Huang, C. The amounts and ratio of nitrogen and phosphorus addition drive the rate of litter decomposition in a subtropical forest. Sci. Total Environ. 2022, 833, 155163. [Google Scholar] [CrossRef]
- Moore, C.J.; Mihaylov, D.P.; Lasenby, A.; Gilmore, G. Astrometric search method for individually resolvable gravitational wave sources with Gaia. Phys. Rev. Lett. 2017, 119, 261102. [Google Scholar] [CrossRef]
- Prescott, C.E. Litter decomposition: What controls it and how can we alter it to sequester more carbon in forest soils? Biogeochemistry 2010, 101, 133–149. [Google Scholar] [CrossRef]
- Schmidt, M.W.I.; Torn, M.S.; Abiven, S.; Dittmar, T.; Guggenberger, G.; Janssens, I.A.; Kleber, M.; Kogel-Knabner, I.; Lehmann, J.; Manning, D.A.C.; et al. Persistence of soil organic matter as an ecosystem property. Nature 2011, 478, 49–56. [Google Scholar] [CrossRef]
- Lehmann, J.; Kleber, M. The contentious nature of soil organic matter. Nature 2015, 528, 60–68. [Google Scholar] [CrossRef]
- Rubino, M.; Dungait, J.A.J.; Evershed, R.P.; Bertolini, T.; De Angelis, P.; D’Onofrio, A.; Lagomarsino, A.; Lubritto, C.; Merola, A.; Terrasi, F.; et al. Carbon input belowground is the major C flux contributing to leaf litter mass loss: Evidences from a C-13 labelled-leaf litter experiment. Soil Biol. Biochem. 2010, 42, 1009–1016. [Google Scholar] [CrossRef]
- Haddix, M.L.; Paul, E.A.; Cotrufo, M.F. Dual, differential isotope labeling shows the preferential movement of labile plant constituents into mineral-bonded soil organic matter. Glob. Chang. Biol. 2016, 22, 2301–2312. [Google Scholar] [CrossRef]
- Olk, D.C.; Bloom, P.R.; Perdue, E.M.; McKnight, D.M.; Chen, Y.; Farenhorst, A.; Senesi, N.; Chin, Y.-P.; Schmitt-Kopplin, P.; Hertkorn, N.; et al. Environmental and agricultural relevance of humic fractions extracted by alkali from soils and natural waters. J. Environ. Qual. 2019, 48, 217–232. [Google Scholar] [CrossRef]
- Cotrufo, M.F.; Soong, J.L.; Horton, A.J.; Campbell, E.E.; Haddix, M.L.; Wall, D.H.; Parton, A.J. Formation of soil organic matter via biochemical and physical pathways of litter mass loss. Nat. Geosci. 2015, 8, 776. [Google Scholar] [CrossRef]
- Pries, C.E.H.; Bird, J.A.; Castanha, C.; Hatton, P.J.; Torn, M.S. Long term decomposition: The influence of litter type and soil horizon on retention of plant carbon and nitrogen in soils. Biogeochemistry 2017, 134, 5–16. [Google Scholar] [CrossRef]
- Cotrufo, M.F.; Wallenstein, M.D.; Boot, C.M.; Denef, K.; Paul, E. The Microbial Efficiency-Matrix Stabilization (MEMS) framework integrates plant litter decomposition with soil organic matter stabilization: Do labile plant inputs form stable soil organic matter? Glob. Chang. Biol. 2013, 19, 988–995. [Google Scholar] [CrossRef] [PubMed]
- Luojus, K.; Cohen, J.; Ikonen, J.; Pulliainen, J.; Takala, M.; Veijola, K.; Lemmetyinen, J.; Nagler, T.; Derksen, C.; Brown, R.; et al. Assessment of seasonal snow cover mass in northern hemisohere during the satellite-era. In Proceedings of the 38th IEEE International Geoscience and Remote Sensing Symposium (IGARSS), Valencia, Spain, 22–27 July 2018. [Google Scholar]
- Li, Z.; Yang, W.; Yue, K.; Justine, M.F.; He, R.; Yang, K.; Zhuang, L.; Wu, F.; Tan, B.; Zhang, L.; et al. Effects of snow absence on winter soil nitrogen dynamics in a subalpine spruce forest of southwestern China. Geoderma 2017, 307, 107–113. [Google Scholar] [CrossRef]
- Cooper, E.J. Warmer Shorter Winters Disrupt Arctic Terrestrial Ecosystems. In Annual Review of Ecology, Evolution, and Systematics; Futuyma, D.J., Ed.; Annual Reviews: Palo Alto, CA, USA, 2014; Volume 45, p. 271. [Google Scholar]
- Marco-Barba, J.; Holmes, J.A.; Mesquita-Joanes, F.; Miracle, M.R. The influence of climate and sea-level change on the Holocene evolution of a Mediterranean coastal lagoon: Evidence from ostracod palaeoecology and geochemistry. Geobios 2013, 46, 409–421. [Google Scholar] [CrossRef]
- Kreyling, J.; Haei, M.; Laudon, H. Erratum to: Absence of snow cover reduces understory plant cover and alters plant community composition in boreal forests. Oecologia 2013, 173, 1157. [Google Scholar] [CrossRef][Green Version]
- Saccone, P.; Morin, S.; Baptist, F.; Bonneville, J.M.; Colace, M.P.; Domine, F.; Faure, M.; Geremia, R.; Lochet, J.; Poly, F.; et al. The effects of snowpack properties and plant strategies on litter decomposition during winter in subalpine meadows. Plant Soil 2013, 363, 215–229. [Google Scholar] [CrossRef]
- Bastida, F.; Eldridge, D.J.; Garcia, C.; Kenny Png, G.; Bardgett, R.D.; Delgado-Baquerizo, M. Soil microbial diversity-biomass relationships are driven by soil carbon content across global biomes. Isme J. 2021, 15, 2081–2091. [Google Scholar] [CrossRef]
- Gavazov, K.S. Dynamics of alpine plant litter decomposition in a changing climate. Plant Soil 2010, 337, 19–32. [Google Scholar] [CrossRef]
- Ni, X.Y.; Yang, W.Q.; Li, H.; Xu, L.Y.; He, J.; Tan, B.; Wu, F.Z. The responses of early foliar litter humification to reduced snow cover during winter in an alpine forest. Can. J. Soil Sci. 2014, 94, 453–461. [Google Scholar] [CrossRef]
- Bradford, M.A.; Keiser, A.D.; Davies, C.A.; Mersmann, C.A.; Strickland, M.S. Empirical evidence that soil carbon formation from plant inputs is positively related to microbial growth. Biogeochemistry 2013, 113, 271–281. [Google Scholar] [CrossRef]
- Xiang, B.; Liu, E.; Yang, L. Influences of freezing-thawing actions on mechanical properties of soils and stress and deformation of soil slope in cold regions. Sci. Rep. 2022, 12, 5387. [Google Scholar] [CrossRef] [PubMed]
- Aanderud, Z.T.; Jones, S.E.; Schoolmaster, D.R., Jr.; Fierer, N.; Lennon, J.T. Sensitivity of soil respiration and microbial communities to altered snowfall. Soil Biol. Biochem. 2013, 57, 217–227. [Google Scholar] [CrossRef]
- Hui, R.; Liu, L.; Xie, M.; Yang, H. Variation in snow cover drives differences in soil properties and microbial biomass of BSCs in the Gurbantunggut Desert-3 years of snow manipulations. Ecohydrology 2019, 12, e2118. [Google Scholar] [CrossRef]
- Castellano, M.J.; Mueller, K.E.; Olk, D.C.; Sawyer, J.E.; Six, J. Integrating plant litter quality, soil organic matter stabilization, and the carbon saturation concept. Glob. Chang. Biol. 2015, 21, 3200–3209. [Google Scholar] [CrossRef]
- Aerts, R.; Callaghan, T.V.; Dorrepaal, E.; van Logtestijn, R.S.P.; Cornelissen, J.H.C. Seasonal climate manipulations have only minor effects on litter decomposition rates and N dynamics but strong effects on litter P dynamics of sub-arctic bog species. Oecologia 2012, 170, 809–819. [Google Scholar] [CrossRef]
- Li, H.; Wu, F.Z.; Yang, W.Q.; Xu, L.Y.; Ni, X.Y.; He, J.; Tan, B.; Hu, Y. Effects of forest gaps on litter lignin and cellulose dynamics vary seasonally in an alpine forest. Forests 2016, 7, 27. [Google Scholar] [CrossRef]
- He, J.; Yang, W.Q.; Xu, L.Y.; Ni, X.Y.; Li, H.; Wu, F.Z. Copper and zinc dynamics in foliar litter during decomposition from gap center to closed canopy in an alpine forest. Scand. J. Forest Res. 2016, 31, 355–367. [Google Scholar] [CrossRef]
- Ni, X.Y.; Yang, W.Q.; Tan, B.; He, J.; Xu, L.Y.; Li, H.; Wu, F.Z. Accelerated foliar litter humification in forest gaps: Dual feedbacks of carbon sequestration during winter and the growing season in an alpine forest. Geoderma 2015, 241, 136–144. [Google Scholar] [CrossRef]
- Zhao, Y.; Wu, F.; Yang, W.; He, W.; Tan, B.; Xu, Z. Bacterial community changes during fir needle litter decomposition in an alpine forest in eastern Tibetan Plateau. Russ. J. Ecol. 2016, 47, 145–157. [Google Scholar] [CrossRef]
- Wu, F.; Peng, C.; Zhu, J.; Zhang, J.; Tan, B.; Yang, W. Impacts of freezing and thawing dynamics on foliar litter carbon release in alpine/subalpine forests along an altitudinal gradient in the eastern Tibetan Plateau. Biogeosciences 2014, 11, 6871. [Google Scholar] [CrossRef]
- Wu, F.Z.; Yang, W.Q.; Zhang, J.; Deng, R.J. Litter decomposition in two subalpine forests during the freeze-thaw season. Acta Oecol. 2010, 36, 135–140. [Google Scholar] [CrossRef]
- Ladwig, L.M.; Ratajczak, Z.R.; Ocheltree, T.W.; Hafich, K.A.; Churchill, A.C.; Frey, S.J.K.; Fuss, C.B.; Kazanski, C.E.; Munoz, J.D.; Petrie, M.D.; et al. Beyond arctic and alpine: The influence of winter climate on temperate ecosystems. Ecology 2016, 97, 372–382. [Google Scholar] [CrossRef] [PubMed]
- Ni, X.Y.; Yang, W.Q.; Tan, B.; Li, H.; He, J.; Xu, L.Y.; Wu, F.Z. Forest gaps slow the sequestration of soil organic matter: A humification experiment with six foliar litters in an alpine forest. Sci. Rep. 2016, 6, 19744. [Google Scholar] [CrossRef] [PubMed]
- Konestabo, H.S.; Michelsen, A.; Holmstrup, M. Responses of springtail and mite populations to prolonged periods of soil freeze-thaw cycles in a sub-arctic ecosystem. Appl. Soil Ecol. 2007, 36, 136–146. [Google Scholar] [CrossRef]
- Lan, L.Y.; Yang, W.Q.; Wu, F.Z.; Liu, Y.W.; Yang, F.; Guo, C.H.; Chen, Y.; Tan, B. Effects of soil fauna on microbial community during litter decomposition of Populus simonii and Fargesia spathacea in the subalpine forest of western Sichuan, China. J. Appl. Ecol. 2019, 30, 2983–2991. [Google Scholar]
- Mehmood, T.; Liland, K.H.; Snipen, L.; Saebo, S. A review of variable selection methods in Partial Least Squares Regression. Chemometr. Intell. Lab. 2012, 118, 62–69. [Google Scholar] [CrossRef]
- Trap, J.; Akpa-Vinceslas, M.; Margerie, P.; Boudsocq, S.; Richard, F.; Decaens, T.; Aubert, M. Slow decomposition of leaf litter from mature Fagus sylvatica trees promotes offspring nitrogen acquisition by interacting with ectomycorrhizal fungi. J. Ecol. 2017, 105, 528–539. [Google Scholar] [CrossRef]
- Oldfield, E.E.; Crowther, T.W.; Bradford, M.A. Substrate identity and amount overwhelm temperature effects on soil carbon formation. Soil Biol. Biochem. 2018, 124, 218–226. [Google Scholar] [CrossRef]
- Hall, S.J.; Huang, W.; Timokhin, V.I.; Hammel, K.E. Lignin lags, leads, or limits the decomposition of litter and soil organic carbon. Ecology 2020, 101, e03113. [Google Scholar] [CrossRef]
- Berg, B.; Sun, T.; Johansson, M.B.; Sanborn, P.; Ni, X.Y.; Akerblom, S.; Lonn, M. Magnesium dynamics in decomposing foliar litter-A synthesis. Geoderma 2021, 382, 114756. [Google Scholar] [CrossRef]
- Berg, B.; Erhagen, B.; Johansson, M.B.; Nilsson, M.; Stendahl, J.; Trum, F.; Vesterdal, L. Manganese in the litter fall-forest floor continuum of boreal and temperate pine and spruce forest ecosystems-A review. Forest Ecol. Manag. 2015, 358, 248–260. [Google Scholar] [CrossRef]
- Qualls, R.G.; Takiyama, A.; Wershaw, R.L. Formation and loss of humic substances during decomposition in a pine forest floor. Soil Sci. Soc. Am. J. 2003, 67, 899–909. [Google Scholar] [CrossRef]
- Christenson, L.M.; Mitchell, M.J.; Groffman, P.M.; Lovett, G.M. Winter climate change implications for decomposition in northeastern forests: Comparisons of sugar maple litter with herbivore fecal inputs. Glob. Chang. Biol. 2010, 16, 2589–2601. [Google Scholar] [CrossRef]
- Blok, D.; Elberling, B.; Michelsen, A. Initial stages of tundra shrub litter decomposition may be accelerated by deeper winter snow but slowed down by spring warming. Ecosystems 2016, 19, 155–169. [Google Scholar] [CrossRef]
- Baptist, F.; Yoccoz, N.G.; Choler, P. Direct and indirect control by snow cover over decomposition in alpine tundra along a snowmelt gradient. Plant Soil 2010, 328, 397–410. [Google Scholar] [CrossRef]
- Bokhorst, S.; Bjerke, J.W.; Melillo, J.; Callaghan, T.V.; Phoenix, G.K. Impacts of extreme winter warming events on litter decomposition in a sub-Arctic heathland. Soil Biol. Biochem. 2010, 42, 611–617. [Google Scholar] [CrossRef]
- Bokhorst, S.; Metcalfe, D.B.; Wardle, D.A. Reduction in snow depth negatively affects decomposers but impact on decomposition rates is substrate dependent. Soil Biol. Biochem. 2013, 62, 157–164. [Google Scholar] [CrossRef]
- Dungait, J.A.J.; Hopkins, D.W.; Gregory, A.S.; Whitmore, A.P. Soil organic matter turnover is governed by accessibility not recalcitrance. Glob. Chang. Biol. 2012, 18, 1781–1796. [Google Scholar] [CrossRef]
Publisher’s Note: MDPI stays neutral with regard to jurisdictional claims in published maps and institutional affiliations. |
© 2022 by the authors. Licensee MDPI, Basel, Switzerland. This article is an open access article distributed under the terms and conditions of the Creative Commons Attribution (CC BY) license (https://creativecommons.org/licenses/by/4.0/).





