Response of Soil Enzyme Activities to Natural Vegetation Restorations and Plantation Schemes in a Landslide-Prone Region
Abstract
1. Introduction
2. Materials and Methods
2.1. Study Area
2.2. Experimental Design and Soil Sampling
2.3. Laboratory Analyses
2.4. Statistical Analyses
3. Results
3.1. Differences in Soil Physicochemical Properties among Different Vegetation Covers
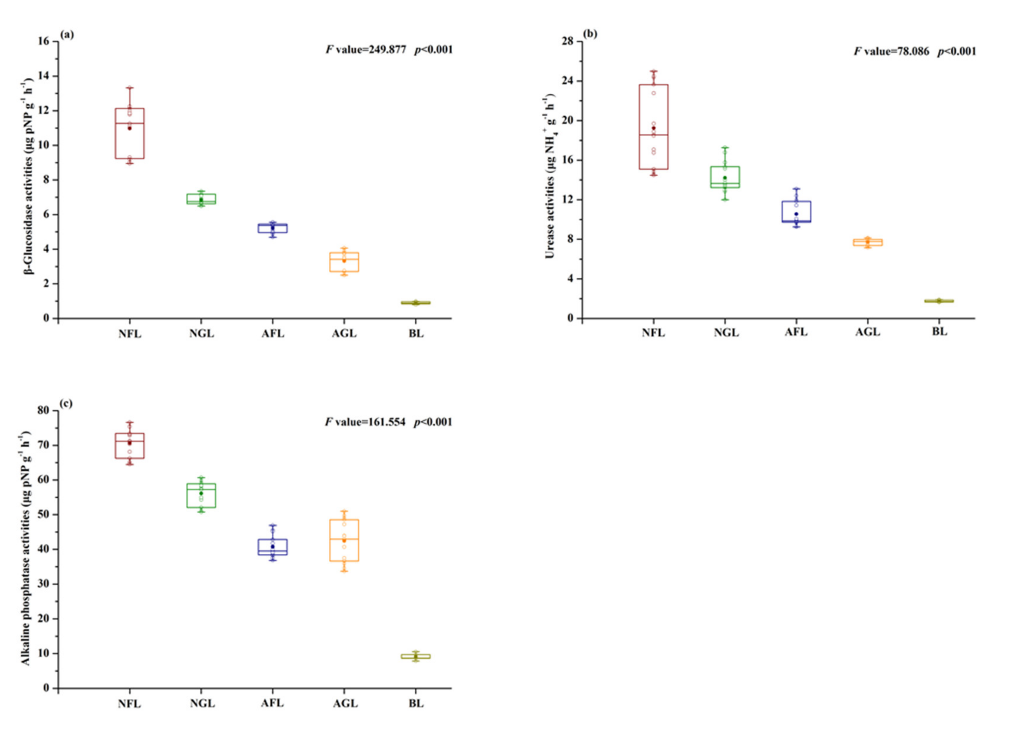
3.2. Differences in Soil Enzyme Activities under Different Vegetation Covers
3.3. Relationships between Soil Properties and Enzyme Activities
4. Discussion
4.1. Soil Physicochemical Properties
4.2. Soil Enzyme Activities
5. Conclusions
Author Contributions
Funding
Data Availability Statement
Conflicts of Interest
Abbreviations
| NVR | natural vegetation restoration |
| APR | artificial plantation reclamation |
| NFL | natural forestland |
| NGL | natural grassland |
| AFL | artificial forestland |
| AGL | artificial grassland |
| BD | bulk density |
| SWR | soil water retention |
| SOC | soil organic carbon |
| TN | total nitrogen |
| TP | total phosphorus |
| AN | available nitrogen |
| AP | available phosphorus |
| AK | available potassium |
| BG | β-glucosidase |
| URE | urease |
| ALP | alkaline phosphatase |
References
- Wang, B.; Xue, S.; Liu, G.B.; Zhang, G.H.; Li, G.; Ren, Z.P. Changes in soil nutrient and enzyme activities under different vegetations in the Loess Plateau area, Northwest China. CATENA 2012, 92, 186–195. [Google Scholar] [CrossRef]
- Rodríguez-Loinaz, G.; Onaindia, M.; Amezaga, I.; Mijangos, I.; Garbisu, C. Relationship between vegetation diversity and soil functional diversity in native mixed-oak forests. Soil Biol. Biochem. 2008, 40, 49–60. [Google Scholar] [CrossRef]
- Klimek, B.; Niklińska, M.; Jaźwa, M.; Tarasek, A.; Tekielak, I.; Musielok, Ł. Covariation of soil bacteria functional diversity and vegetation diversity along an altitudinal climatic gradient in the Western Carpathians. Pedobiologia 2015, 58, 105–112. [Google Scholar] [CrossRef]
- Neumann, D.; Heuer, A.; Hemkemeyer, M.; Martens, R.; Tebbe, C.C. Response of microbial communities to long-term fertilization depends on their microhabitat. FEMS Microbiol. Ecol. 2013, 86, 71–84. [Google Scholar] [CrossRef] [PubMed]
- Allison, S.D.; Jastrow, J.D. Activities of extracellular enzymes in physically isolated fractions of restored grassland soils. Soil Biol. Biochem. 2006, 38, 3245–3256. [Google Scholar] [CrossRef]
- Qi, R.; Li, J.; Lin, Z.; Li, Z.; Li, Y.; Yang, X.; Zhang, J.; Zhao, B. Temperature effects on soil organic carbon, soil labile organic carbon fractions, and soil enzyme activities under long-term fertilization regimes. Appl. Soil Ecol. 2016, 102, 36–45. [Google Scholar] [CrossRef]
- Couic, E.; Grimaldi, M.; Alphonse, V.; Balland-Bolou-Bi, C.; Livet, A.; Giusti-Miller, S.; Sarrazin, M.; Bousserrhine, N. Mercury behaviour and C, N, and P biogeochemical cycles during ecological restoration processes of old mining sites in French Guiana. Environ. Sci. Processes Impacts 2018, 20, 657–672. [Google Scholar] [CrossRef]
- Brockett, B.F.T.; Prescott, C.E.; Grayston, S.J. Soil moisture is the major factor influencing microbial community structure and enzyme activities across seven biogeoclimatic zones in western Canada. Soil Biol. Biochem. 2012, 44, 9–20. [Google Scholar] [CrossRef]
- Pöyry, J.; Niemi, M.; Heiskanen, I.; Uotinen, V.; Nieminen, M.; Erkomaa, K.; Wallenius, K. Variability of soil enzyme activities and vegetation succession following boreal forest surface soil transfer to an artificial hill. Nat. Conserv.-Bulg. 2014, 8, 1. [Google Scholar] [CrossRef][Green Version]
- Yin, R.; Deng, H.; Wang, H.; Zhang, B. Vegetation type affects soil enzyme activities and microbial functional diversity following re-vegetation of a severely eroded red soil in sub-tropical China. CATENA 2014, 115, 96–103. [Google Scholar] [CrossRef]
- Zhang, C.; Liu, G.; Xue, S.; Song, Z. Rhizosphere soil microbial activity under different vegetation types on the Loess Plateau, China. Geoderma 2011, 161, 115–125. [Google Scholar] [CrossRef]
- Kotroczó, Z.; Veres, Z.; Fekete, I.; Krakomperger, Z.; Tóth, J.A.; Lajtha, K.; Tóthmérész, B. Soil enzyme activity in response to long-term organic matter manipulation. Soil Biol. Biochem. 2014, 70, 237–243. [Google Scholar] [CrossRef]
- Rao, M.A.; Scelza, R.; Acevedo, F.; Diez, M.C.; Gianfreda, L. Enzymes as useful tools for environmental purposes. Chemosphere 2014, 107, 145–162. [Google Scholar] [CrossRef] [PubMed]
- Adamczyk, B.; Kilpeläinen, P.; Kitunen, V.; Smolander, A. Potential activities of enzymes involved in N, C, P and S cycling in boreal forest soil under different tree species. Pedobiologia 2014, 57, 97–102. [Google Scholar] [CrossRef]
- Peng, X.; Wang, W. Stoichiometry of soil extracellular enzyme activity along a climatic transect in temperate grasslands of northern China. Soil Biol. Biochem. 2016, 98, 74–84. [Google Scholar] [CrossRef]
- Zhao, F.Z.; Ren, C.J.; Han, X.H.; Yang, G.H.; Wang, J.; Doughty, R. Changes of soil microbial and enzyme activities are linked to soil C, N and P stoichiometry in afforested ecosystems. For. Ecol. Manag. 2018, 427, 289–295. [Google Scholar] [CrossRef]
- Anna, P.; Koper, J. Soil β-glucosidase activities under winter wheat cultivated in crop rotation systems depleting and enriching the soil in organic matter. J. Elem. 2010, 15, 593–600. [Google Scholar]
- Liang, Y.; Yang, Y.; Yang, C.; Shen, Q.; Zhou, J.; Yang, L. Soil enzymatic activity and growth of rice and barley as influenced by organic manure in an anthropogenic soil. Geoderma 2003, 115, 149–160. [Google Scholar] [CrossRef]
- Liu, G.; Zhang, X.; Wang, X.; Shao, H.; Yang, J.; Wang, X. Soil enzymes as indicators of saline soil fertility under various soil amendments. Agric. Ecosyst. Environ. 2017, 237, 274–279. [Google Scholar]
- Zhang, T.; Kang, Y.; Liu, S.; Liu, S. Alkaline phosphatase activity and its relationship to soil properties in a saline-sodic soil reclaimed by cropping wolfberry (Lycium barbarum L.) with drip irrigation. Paddy Water Environ. 2013, 12, 309–317. [Google Scholar] [CrossRef]
- Błońska, E.; Lasota, J.; Zwydak, M.; Klamerus-Iwan, A.; Gołąb, J. Restoration of forest soil and vegetation 15 years after landslides in a lower zone of mountains in temperate climates. Ecol. Eng. 2016, 97, 503–515A. [Google Scholar] [CrossRef]
- Lu, R.K. Methods of Soil and Agricultural Chemistry Analyses; China Agricultural Scientech Press: Beijing, China, 2000. [Google Scholar]
- Giovannini, G.; Lucchesi, S.; Cervelli, S. Water-repellent substances and aggregate stability in hydrophobic soil. Soil Sci. 1983, 135, 110–113. [Google Scholar] [CrossRef]
- Sinsabaugh, R.L.; Klug, M.J.; Collins, H.P.; Yeager, P.E.; Petersen, S.O.; Robertson, G.P.; Coleman, D.C.; Bledsoe, C.S.; Sollins, P. Characterizing soil microbial communities. In Standard Soil Methods for Long-Term Ecological Research; Robertson, G.P., Coleman, D.C., Bledsoe, C.S., Sollins, P., Eds.; Oxford University Press: Oxford, UK, 1999; Volume 104, p. 183. [Google Scholar]
- Guan, S. Soil Enzyme and Research Method; Agriculture Press: Beijing, China, 1986. [Google Scholar]
- Xie, X.F.; Pu, L.J.; Wang, Q.Q.; Zhu, M.; Xu, Y.; Zhang, M. Response of soil physicochemical properties and enzyme activities to long-term reclamation of coastal saline soil, Eastern China. Sci. Total Environ. 2017, 607, 1419–1427. [Google Scholar] [CrossRef] [PubMed]
- Shen, H.; Wang, X.; Shi, W.; Cao, Z.; Yan, X. Isolation and Identification of Specific Root Exudates in Elephantgrass in Response to Mobilization of Iron- and Aluminum-Phosphates. J. Plant Nutr. 2001, 24, 1117–1130. [Google Scholar] [CrossRef]
- Ritter, E. Carbon, nitrogen and phosphorus in volcanic soils following afforestation with native birch (Betula pubescens) and introduced larch (Larix sibirica) in Iceland. Plant Soil 2007, 295, 239–251. [Google Scholar] [CrossRef]
- Chen, L.F.; He, Z.B.; Zhu, X.; Du, J.; Yang, J.J.; Li, J. Impacts of afforestation on plant diversity, soil properties, and soil organic carbon storage in a semi-arid grassland of northwestern China. CATENA 2016, 147, 300–307. [Google Scholar] [CrossRef]
- Wang, Y.P.; Shao, M.A.; Zhang, X.C. Soil moisture ecological environment of artificial vegetation on steep slope of loess region in North Shaanxi Province, China. Acta Ecol. Sin. 2008, 28, 3769–3778. [Google Scholar]
- Dorji, T.; Odeh, I.; Field, D. Vertical distribution of soil organic carbon density in relation to land use/cover, altitude and slope aspect in the Eastern Himalayas. Land 2014, 3, 1232–1250. [Google Scholar] [CrossRef]
- Grigal, D.F.; Vance, E.D. Influence of soil organic matter on forest productivity. N. Z. J. For. Sci. 2000, 30, 169–205. [Google Scholar]
- Qin, S.; Hu, C.; He, X.; Dong, W.; Cui, J.; Wang, Y. Soil organic carbon, nutrients and relevant enzyme activities in particle-size fractions under conservational versus traditional agricultural management. Appl. Soil Ecol. 2010, 45, 152–159. [Google Scholar] [CrossRef]
- Negassa, W.C.; Guber, A.K.; Kravchenko, A.N.; Marsh, T.L.; Hildebrandt, B.; Rivers, M.L. Properties of soil pore space regulate pathways of plant residue decomposition and community structure of associated bacteria. PLoS ONE 2015, 10, e0123999. [Google Scholar] [CrossRef] [PubMed]
- Moradi, S. Impacts of organic carbon on consistency limits in different soil textures. Int. J. Agric. Crop Sci. 2013, 5, 1381–1388. [Google Scholar]
- Liu, Z.; Zhou, W.; Shen, J.; Li, S.; He, P.; Liang, G. Soil quality assessment of Albic soils with different productivities for eastern China. Soil Tillage Res. 2014, 140, 74–81. [Google Scholar] [CrossRef]
- Saha, S.; Rajwar, G.S.; Kumar, M. Soil properties along altitudinal gradient in Himalayan temperate forest of Garhwal region. Acta Ecol. Sin. 2018, 38, 1–8. [Google Scholar] [CrossRef]
- Liu, E.; Yan, C.; Mei, X.; He, W.; Bing, S.H.; Ding, L.; Liu, Q.; Liu, S.; Fan, T. Long-term effect of chemical fertilizer, straw, and manure on soil chemical and biological properties in northwest China. Geoderma 2010, 158, 173–180. [Google Scholar] [CrossRef]
- Lauber, C.L.; Hamady, M.; Knight, R.; Fierer, N. Pyrosequencing-based assessment of soil pH as a predictor of soil bacterial community structure at the continental scale. Appl. Environ. Microbiol. 2009, 75, 5111–5120. [Google Scholar] [CrossRef] [PubMed]
- Xu, Z.; Yu, G.; Zhang, X.; He, N.; Wang, Q.; Wang, S.; Wang, R.; Zhao, N.; Jia, Y.; Wang, C. Soil enzyme activity and stoichiometry in forest ecosystems along the North–South Transect in eastern China (NSTEC). Soil Biol. Biochem. 2017, 104, 152–163. [Google Scholar] [CrossRef]
- Stursova, M.; Sinsabaugh, R.L. Stabilization of oxidative enzymes in desert soil may limit organic matter accumulation. Soil Biol. Biochem. 2008, 40, 550–553. [Google Scholar] [CrossRef]
- Banerjee, S.; Bora, S.; Thrall, P.H.; Richardson, A.E. Soil C and N as causal factors of spatial variation in extracellular enzyme activity across grassland-woodland ecotones. Appl. Soil Ecol. 2016, 105, 1–8. [Google Scholar] [CrossRef]
- Dicka, W.A.; Cheng, L.; Wang, P. Soil acid and alkaline phosphatase activity as pH adjustment indicators. Soil Biol. Biochem. 2000, 32, 1915–1919. [Google Scholar] [CrossRef]
- Geng, Y.; Wang, D.; Yang, W. Effects of different inundation periods on soil enzyme activity in riparian zones in Lijiang. CATENA 2017, 149, 19–27. [Google Scholar] [CrossRef]
- Dorodnikov, M.; Blagodatskaya, E.; Blagodatsky, S.; Marhan, S.; Fangmeier, A.; Kuzyakov, Y. Stimulation of microbial extracellular enzyme activities by elevated CO2 depends on soil aggregate size. Glob. Chang. Biol. 2009, 15, 1603–1614. [Google Scholar] [CrossRef]
- Parsapour, M.K.; Kooch, Y.; Hosseini, S.M.; Alavi, S.J. Litter and topsoil in Alnus subcordata plantation on former degraded natural forest land: A synthesis of age-sequence. Soil Tillage Res. 2018, 179, 1–10. [Google Scholar] [CrossRef]
- Allison, V.J.; Condron, L.M.; Peltzer, D.A.; Richardson, S.J.; Turner, B.L. Changes in enzyme activities and soil microbial community composition along carbon and nutrient gradients at the Franz Josef chronosequence, New Zealand. Soil Biol. Biochem. 2007, 39, 1770–1781. [Google Scholar] [CrossRef]
- Paul, E.A. The nature and dynamics of soil organic matter: Plant inputs, microbial transformations, and organic matter stabilization. Soil Biol. Biochem. 2016, 98, 109–126. [Google Scholar] [CrossRef]
- Gelaw, A.M.; Singh, B.R.; Lal, R. Soil organic carbon and total nitrogen stocks under different land uses in a semi-arid watershed in Tigray, Northern Ethiopia. Agric. Ecosyst. Environ. 2014, 188, 256–263. [Google Scholar] [CrossRef]
- Wallenius, K.; Rita, H.; Mikkonen, A.; Lappi, K.; Lindström, K.; Hartikainen, H.; Raateland, A.; Niemi, R.M. Effects of land use on the level, variation and spatial structure of soil enzyme activities and bacterial communities. Soil Biol. Biochem. 2011, 43, 1464–1473. [Google Scholar] [CrossRef]


| Land Use | Dominant Vegetation | Location | Altitude (m) | Slope (o) | Above-Ground Biomass (t ha−1) |
|---|---|---|---|---|---|
| Natural forestland | Robinia pseudoacacia, Populus | N 34°36′50″ E 105°42′52″ | 1380 | 24 | 32.41 |
| Natural grassland | Potentilla chinensis, Conyza Canadensis | N 34°35′42″ E 105°43′38″ | 1342 | 14 | 17.42 |
| Artificial forestland | Pinus tabulaeformis, Platycladus orientalis | N 33°23′40″ E 104°49′08″ | 1172 | 22 | 28.34 |
| Artificial grassland | Digitaria sanguinalis, Cynodon dactylon | N 33°24′33″ E 104°48′47″ | 1024 | 16 | 15.24 |
| Bare land | — | N 33°22′54″ E 104°48′49″ | 1368 | 18 | — |
| NVR | APR | Bare Land | F | p | |||
|---|---|---|---|---|---|---|---|
| Forestland | Grassland | Forestland | Grassland | ||||
| pH | 7.26 ± 0.09 e | 7.55 ± 0.09 c | 7.35 ± 0.05 d | 7.92 ± 0.05 b | 8.11 ± 0.03 a | 266.708 | <0.001 |
| BD (g cm−3) | 1.14 ± 0.05 d | 1.21 ± 0.02 c | 1.19 ± 0.01 c | 1.26 ± 0.04 b | 1.35 ± 0.02 a | 54.229 | <0.001 |
| SWR (%) | 26.15 ± 2.64 a | 21.14 ± 2.21 b | 11.06 ± 0.97 c | 9.87 ± 1.60 c | 3.65 ± 0.10 d | 253.543 | <0.001 |
| SOC (g kg−1) | 33.70 ± 3.14 a | 19.56 ± 1.19 b | 15.07 ± 1.14 c | 9.98 ± 1.96 d | 2.27 ± 0.10 e | 395.046 | <0.001 |
| TN (g kg−1) | 3.29 ± 0.30 a | 1.99 ± 0.15 b | 1.51 ± 0.05 c | 1.19 ± 0.10 d | 0.51 ± 0.04 e | 419.200 | <0.001 |
| TP (g kg−1) | 0.70 ± 0.04 a | 0.64 ± 0.02 a | 0.66 ± 0.02 a | 0.62 ± 0.04 a | 0.46 ± 0.01 a | 66.475 | <0.001 |
| AN (mg kg−1) | 97. 96 ± 9.61 a | 82.22 ± 3.29 b | 62.63 ± 5.11 c | 54.66 ± 7.04 d | 16.40 ± 0.96 e | 195.493 | <0.001 |
| AP (mg kg−1) | 70.88 ± 6.12 a | 64.42 ± 2.42 b | 49.97 ± 3.94 c | 51.09 ± 9.39 c | 10.95 ± 0.33 d | 112.281 | <0.001 |
| AK (mg kg−1) | 109.23 ± 10.98 b | 117.07 ± 6.06 a | 106.67 ± 7.13 b | 85.82 ± 8.41 c | 38.94 ± 2.46 d | 106.795 | <0.001 |
| Axes Ⅰ | Axes Ⅱ | Axes Ⅲ | Axes Ⅳ | |
|---|---|---|---|---|
| pH | −0.9592 | −0.1492 | 0.0232 | 0.0000 |
| BD | −0.6389 | −0.3193 | 0.1353 | 0.0000 |
| SWR | 0.6019 | 0.5094 | −0.1926 | 0.0000 |
| SOC | 0.9531 | −0.0290 | 0.1582 | 0.0000 |
| TN | 0.9388 | −0.0356 | 0.2839 | 0.0000 |
| TP | 0.7919 | −0.0549 | 0.3445 | 0.0000 |
| AN | 0.8777 | −0.3293 | 0.2627 | 0.0000 |
| AP | 0.7236 | −0.3510 | 0.3897 | 0.0000 |
| AK | −0.1368 | −0.8335 | 0.0674 | 0.000 |
| Eigen values | 0.922 | 0.035 | 0.003 | 0.025 |
| Explained variation (%) | 92.2 | 95.7 | 96.0 | 98.6 |
| Axes Ⅰ | Axes Ⅱ | Axes Ⅲ | Axes Ⅳ | |
|---|---|---|---|---|
| pH | 0.1449 | −0.9461 | −0.2561 | 0.0000 |
| BD | −0.4284 | −0.7651 | −0.3813 | 0.0000 |
| SWR | 0.6097 | 0.4462 | 0.2054 | 0.0000 |
| SOC | 0.2266 | 0.8453 | 0.4617 | 0.0000 |
| TN | 0.2148 | 0.9245 | 0.2502 | 0.0000 |
| TP | 0.4994 | 0.5287 | 0.4696 | 0.0000 |
| AN | 0.6367 | 0.6518 | 0.0279 | 0.0000 |
| AP | 0.9080 | 0.0302 | 0.1139 | 0.0000 |
| AK | 0.2838 | 0.8351 | 0.1351 | 0.0000 |
| Eigen values | 0.778 | 0.138 | 0.006 | 0.071 |
| Explained variation (%) | 77.8 | 91.6 | 92.1 | 99.2 |
| Importance Ranking | Soil Physicochemical Properties | Explanation of Environmental Factor/% | F | p |
|---|---|---|---|---|
| 1 | pH | 84.9 | 158.0 | 0.002 |
| 2 | SOC | 83.8 | 145.0 | 0.002 |
| 3 | TN | 81.3 | 122.0 | 0.002 |
| 4 | AN | 71.5 | 70.1 | 0.002 |
| 5 | TP | 57.9 | 38.5 | 0.002 |
| 6 | AP | 48.8 | 26.7 | 0.002 |
| 7 | BD | 38.0 | 17.2 | 0.004 |
| 8 | SWR | 34.3 | 14.6 | 0.002 |
| 9 | AK | 4.1 | 1.2 | 0.288 |
| Importance Ranking | Soil Physicochemical Properties | Explanation of Environmental Factor/% | F | p |
|---|---|---|---|---|
| 1 | AP | 64.2 | 50.1 | 0.002 |
| 2 | AN | 37.4 | 16.7 | 0.002 |
| 3 | SWR | 31.7 | 13.0 | 0.002 |
| 4 | TP | 23.4 | 8.5 | 0.004 |
| 5 | BD | 22.4 | 8.1 | 0.006 |
| 6 | AK | 15.9 | 5.3 | 0.020 |
| 7 | TN | 15.4 | 5.1 | 0.034 |
| 8 | pH | 14.0 | 4.6 | 0.036 |
| 9 | SOC | 13.9 | 4.5 | 0.030 |
Publisher’s Note: MDPI stays neutral with regard to jurisdictional claims in published maps and institutional affiliations. |
© 2022 by the authors. Licensee MDPI, Basel, Switzerland. This article is an open access article distributed under the terms and conditions of the Creative Commons Attribution (CC BY) license (https://creativecommons.org/licenses/by/4.0/).
Share and Cite
Guo, D.; Ou, Y.; Zhou, X.; Wang, X.; Zhao, Y.; Li, J.; Xiao, J.; Hao, Z.; Wang, K. Response of Soil Enzyme Activities to Natural Vegetation Restorations and Plantation Schemes in a Landslide-Prone Region. Forests 2022, 13, 880. https://doi.org/10.3390/f13060880
Guo D, Ou Y, Zhou X, Wang X, Zhao Y, Li J, Xiao J, Hao Z, Wang K. Response of Soil Enzyme Activities to Natural Vegetation Restorations and Plantation Schemes in a Landslide-Prone Region. Forests. 2022; 13(6):880. https://doi.org/10.3390/f13060880
Chicago/Turabian StyleGuo, Donglei, Yansheng Ou, Xiaohe Zhou, Xia Wang, Yunfei Zhao, Jia Li, Jinjin Xiao, Zhiguo Hao, and Kaichang Wang. 2022. "Response of Soil Enzyme Activities to Natural Vegetation Restorations and Plantation Schemes in a Landslide-Prone Region" Forests 13, no. 6: 880. https://doi.org/10.3390/f13060880
APA StyleGuo, D., Ou, Y., Zhou, X., Wang, X., Zhao, Y., Li, J., Xiao, J., Hao, Z., & Wang, K. (2022). Response of Soil Enzyme Activities to Natural Vegetation Restorations and Plantation Schemes in a Landslide-Prone Region. Forests, 13(6), 880. https://doi.org/10.3390/f13060880
