Dynamics of Dissolved Carbon in Subalpine Forest Streams
Abstract
:1. Introduction
2. Materials and Methods
2.1. Site Description
2.2. Experimental Design
2.3. Sample Collection and Treatment
2.4. Analytical Methods and Calculations
3. Results
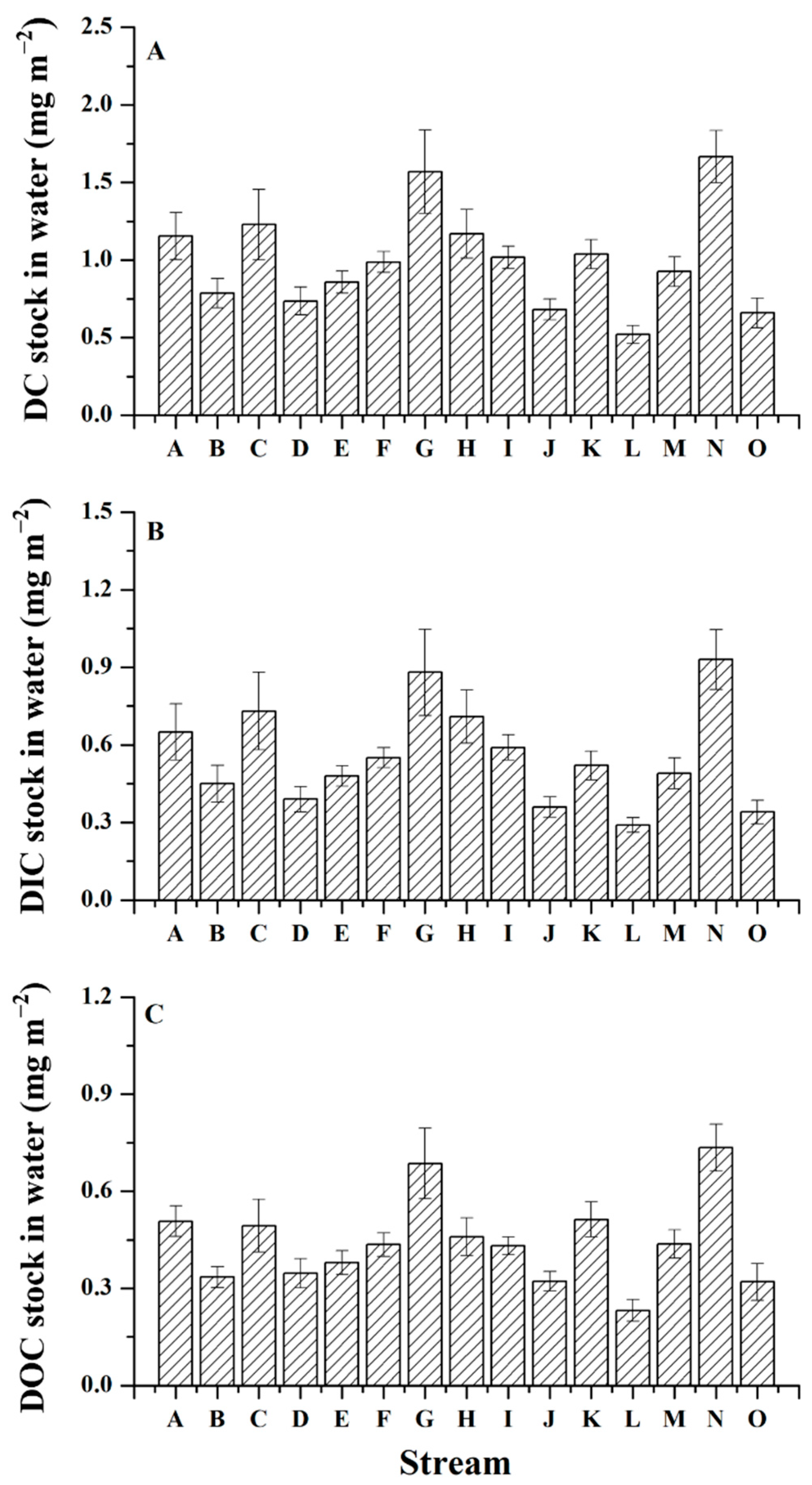
3.1. The Stock for Dissolved Carbon in Forest Streams
3.2. The Export of Dissolved Carbon in Forest Streams
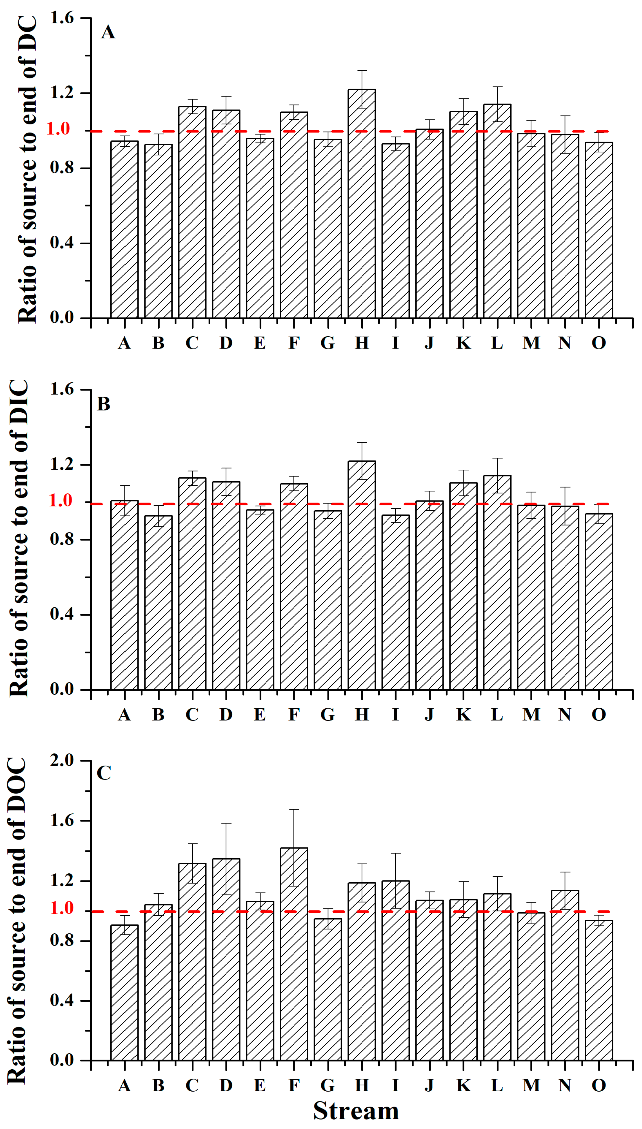
3.3. The Ratios of DC from Source Water to Export Water in Forest Streams
3.4. Relationships of the Indices for DC, DIC, and DOC with Relative Variables
4. Discussion
4.1. Dynamics of DC (DIC and DOC) Stock in Forest Streams
4.2. Dynamics of DC Export from Streams
4.3. Dynamics of the Ratios of DC in the Source Water to Export Water from Subalpine Forest Streams
5. Conclusions
Author Contributions
Funding
Institutional Review Board Statement
Informed Consent Statement
Data Availability Statement
Acknowledgments
Conflicts of Interest
References
- Öquist, M.G.; Wallin, M.; Seibert, J.; Bishop, K.; Laudon, H. Dissolved inorganic carbon export across the soil/stream interface and its fate in a boreal headwater stream. Environ. Sci. Technol. 2009, 43, 7364–7369. [Google Scholar] [CrossRef] [PubMed]
- Sutherland, A.B.; Meyer, J.L.; Gardiner, E.P. Effects of land cover on sediment regime and fish assemblage structure in four southern Appalachian streams. Freshw. Biol. 2002, 47, 1791–1805. [Google Scholar] [CrossRef]
- Bishop Seibert, K.J.; Kohler, S.; Laudon, H. Resolving the double paradox of rapidly mobilized old water with highly variable responses in runoff chemistry. Hydrol. Processes 2004, 18, 185–189. [Google Scholar] [CrossRef]
- Hinton, M.J.; Schiff, S.L.; English, M.C. Sources and flow-paths of dissolved organic carbon during storms in two forested watersheds of the Precambrian Shield. Biogeochemistry 1998, 41, 175–197. [Google Scholar] [CrossRef]
- Wallace, J.B.; Eggert, S.L.; Meyer, J.L.; Webster, J.R. Multiple trophic levels of a forest stream linked to terrestrial litter inputs. Science 1997, 277, 102–104. [Google Scholar] [CrossRef] [Green Version]
- Stanley, E.H.; Powers, S.M.; Lotting, N.R.; Buffam, I.; Crawford, J.T. Contemporary changes in dissolved organic carbon (DOC) in human-dominated rivers: Is there a role for DOC management? Freshw. Biol. 2012, 57, 26–42. [Google Scholar] [CrossRef]
- Dalmagro, H.J.; Lathuilliere, M.J.; Johnson, M.S. Streams with Riparian Forest Buffers versus Impoundments Differ in Discharge and DOM Characteristics for Pasture Catchments in Southern Amazonia. Water 2019, 11, 390. [Google Scholar] [CrossRef] [Green Version]
- Tipping, E.; Rey-Castro, C.; Bryan, S.E.; Hamilton-Taylor, J. Al (III) and Fe (III) binding by humic substances in freshwaters, and implications for trace metal speciation. Geochem. Et Cosmochim. Acta 2002, 66, 3211–3224. [Google Scholar] [CrossRef] [Green Version]
- Jansson, M.; Berggren, M.; Laudon, H.; Jonsson, A. Bioavailable phosphorus in humid headwater streams in boreal Sweden. Limnol. Oceanogr. 2012, 57, 1161–1170. [Google Scholar] [CrossRef]
- Hruška, J.; Köhler, S.; Laudon, H.; Bishop, K. Is a Universal Model of Organic Acidity Possible: Comparison of the Acid/Base Properties of Dissolved Organic Carbon in the Boreal land Temperate Zones. Environ. Sci. Technol. 2003, 37, 1726–1730. [Google Scholar] [CrossRef]
- Hou, J.F.; Li, F.; Wang, Z.H.; Li, X.Q.; Yang, W.Q. Budget of plant litter and litter carbon in the subalpine forest streams. Forests 2021, 12, 1764. [Google Scholar] [CrossRef]
- Yue, K.; Yang, W.; Peng, C. Foliar litter decomposition in an alpine forest meta-ecosystem on the eastern Tibetan Plateau. Sci. Total Environ. 2016, 566, 279–287. [Google Scholar] [CrossRef] [PubMed]
- Gomes, T.F.; Broek, M.V.; Govers, G.; Silva, R.W.C.; Moraes, J.M.; Camargo, P.B.; Mazzi, E.A.; Martinelli, L.A. Runoff, soil loss, and sources of particulate organic carbon delivered to streams by sugarcane and riparian areas: An isotopic approach. Catena 2019, 181, 1–9. [Google Scholar] [CrossRef]
- Ågren, A.; Buffam, I.; Jansson, M. Importance of seasonality and small streams for the landscape regulation of dissolved organic carbon export. J. Geophys. Res. Biogeosci. 2007, 112, 1–11. [Google Scholar] [CrossRef] [Green Version]
- Cleveland, C.C.; Reed, S.C.; Keller, A.B.; Nemergut, D.R.; O’Neill, S.P.; Ostertag, R.; Vitousek, P.M. Litter quality versus soil microbial community controls over decomposition: A quantitative analysis. Oecologia 2014, 174, 283–294. [Google Scholar] [CrossRef] [PubMed]
- Ågren, A.M.; Buffam, I.; Cooper, D.M.; Tiwari, T.; Evans, C.D.; Laudon, H. Can the heterogeneity in stream dissolved organic carbon be explained by contributing landscape elements? Biogeosciences 2014, 11, 1199–1213. [Google Scholar] [CrossRef] [Green Version]
- Winterdahl, M.; Erlandsson, M.; Futter, M.N.; Weyhenmeyer, G.A.; Bishop, K. Intra-annual variability of organic carbon concentrations in running waters: Drivers along a climatic gradient. Glob. Biogeochem. 2014, 28, 451–464. [Google Scholar] [CrossRef] [Green Version]
- Frost, P.C.; Benstead, J.P.; Cross, W.F.; Hillebrand, H.; Larson, J.H.; Xenopoulos, M.A.; Yoshida, T. Threshold elemental ratios of carbon and phosphorus in aquatic consumers. Ecol. Lett. 2006, 9, 774–779. [Google Scholar] [CrossRef]
- Laudon, H.; Köhler, S.; Buffam, I. Seasonal TOC export from seven boreal catchments in northern Sweden. Aquat. Sci. 2004, 66, 223–230. [Google Scholar] [CrossRef]
- Zhang, Y.; Yang, W.Q.; Tan, B.; Liang, Z.Y.; Wu, F.Z. Contents and output characteristics of dissolved carbon in the water body of alpine forest headwater streams in rainfall season. J. Univ. Chin. Acad. Sci. 2017, 34, 515–520. [Google Scholar]
- Raymond, P.; Saiers, J. Event controlled DOC export from forested watersheds. Biogeochemistry 2010, 100, 197–209. [Google Scholar] [CrossRef]
- Buffam, I.; Laudon, H.; Temnerud, J.; North, C.M.; Bishop, K. Landscape-scale variability of acidity and dissolved organic carbon during spring flood in a boreal stream network. Geophys. Res. 2007, 112, G01022. [Google Scholar] [CrossRef]
- Rüegg, J.; Eichmiller, J.J.; Mladenov, N. Dissolved organic carbon concentration and flux in a grassland stream: Spatial and temporal patterns and processes from long-term data. Biogeochemistry 2015, 125, 393–408. [Google Scholar] [CrossRef]
- Perdrial, J.N.; McIntosh, J.; Harpold, A.; Brooks, P.D.; Zapata-Rios, X.; Ray, J.; Meixner, T.; Kanduc, T.; Litvak, M.; Troch, P.A.; et al. Stream water carbon controls in seasonally snow-covered mountain catchments: Impact of inter-annual variability of water fluxes, catchment aspect and seasonal processes. Biogeochemistry 2014, 118, 273–290. [Google Scholar] [CrossRef]
- Anneli, M.; Ågren, M.H.; Peder, B. Soil frost enhances stream dissolved organic carbon concentrations during episodic spring snowmelt from boreal mires. Glob. Change Biol. 2012, 18, 1895–1903. [Google Scholar]
- Xie, M.J.; Mladenov, N.; Williams, M.W.; Neff, J.C.; Wasswa, J.; Hannigan, M.P. Water-soluble organic aerosols in the Colorado Rocky Mountains, USA: Composition, sources and optical properties. Sci. Rep. 2016, 6, 39339. [Google Scholar] [CrossRef]
- Broder, T.; Knorr, K.H.; Biester, H. Changes in dissolved organic matter quality in a peatland and forest headwater stream as a function of seasonality and hydrologic conditions. Hydrol. Earth Syst. Sci. 2017, 21, 2035–2051. [Google Scholar] [CrossRef] [Green Version]
- Zhang, H.; Yang, W.; Wang, M. Carbon, nitrogen and phosphorus storage of woody debris in headwater streams in an alpine forest in upper reaches of the Minjiang River. Acta Ecol. Sonica 2016, 36, 1967–1974. [Google Scholar]
- Yin, X.M.; Liu, X.G.; Liu, X.T.; Xue, Z.S. Influence of land use change on dissolved organic carbon export in Naoli River watershed. Northeast China. J. Appl. Ecol. 2015, 26, 3788–3794. [Google Scholar]
- Kane, E.S.; Turetsky, M.R.; Harden, J.W. Seasonal ice and hydrologic controls on dissolved organic carbon and nitrogen concentrations in a boreal rich fen. J. Geophys. Res. Biogeosci. 2010, 115, 1–15. [Google Scholar] [CrossRef] [Green Version]
- Cole, J.J.; Prairie, Y.T.; Caraco, N.F.; McDowell, W.H.; Tranvik Striegl, R.G.; Duarte, C.M.; Kortelainen, P.; Downing, J.A.; Middelburg, J.J.; Melack, J. Plumbing the global carbon cycle: Integrating inland waters into the terrestrial carbon budget. Ecosystems 2007, 10, 172–185. [Google Scholar] [CrossRef] [Green Version]
- Wei, X.Y.; Hayes, D.J.; Fernandez, I.; Fraver, S.; Zhao, J.H.; Weiskittel, A. Climate and atmospheric deposition drive the inter-annual variability and long-term trend of dissolved organic carbon flux in the conterminous United States. Sci. Total Environ. 2021, 771, 145448. [Google Scholar] [CrossRef] [PubMed]
- Wei, X.Y.; Hayes, D.J.; Fernandez, I.; Zhao, J.H.; Fraver Shawn Chan, C.; Diao, J.J. Identifying key environmental factors explaining temporal patterns of DOC export from watersheds in the conterminous United States. J. Geophys. Res. Biogeosci. 2021, 126, e2020JG005813. [Google Scholar] [CrossRef]
- Graeber, D.; Gelbrech, J.; Pusch, M.T.; Anlanger, C.; von Schiller, D. Agriculture has changed the amount and composition of dissolved organic matter in Central European headwater streams. Sci. Total Environ. 2012, 438, 435–446. [Google Scholar] [CrossRef]
- Dillon, P.J.; Molot, L.A. Effect of landscape form on the export of dissolved organic carbon, iron, and phosphorus from forested stream catchments. Water Resour. Res. 1997, 33, 2591–2600. [Google Scholar] [CrossRef]
- Liu, J.K.; Han, G.L.; Yang, K.H.; Liu, M. Temporal and spatial variation of dissolved carbon. in Jiulong River basin. Resour. Environ. Yangtze Basin 2018, 27, 2578–2587. [Google Scholar]
- Wallin, M.B.; Grabs, T.; Buffam, I. Evasion of CO2 from streams–The dominant component of the carbon export through the aquatic conduit in a boreal landscape. Glob. Change Biol. 2013, 19, 785–797. [Google Scholar] [CrossRef]
- Zhang, C.; Jamieson, R.C.; Meng, F.R.; Gordon, R.J.; Bourque, C.P.A. Simulation of monthly dissolved organic carbon concentrations in small, forested watersheds. Ecol. Model. 2013, 250, 205–213. [Google Scholar] [CrossRef]
- Qiao, Y.; Yin, G.; Luo, Y.; Liu, Y. Dynamics of total organic carbon (TOC) in hydrological processes and its contributions to soil organic carbon pools of three successional forest ecosystems in southern China. Ecol. Environ. Sci. 2009, 18, 2300–2307. [Google Scholar]
- Temnerud, J.; Bishop, K. Spatial variation of stream water chemistry in two Swedish boreal catchments: Implications for environmental assessment. Environ. Sci. Technol. 2005, 39, 1463–1469. [Google Scholar] [CrossRef]
- Hornberger, G.M.; Bencala, K.E.; Mcknight, D.M. Hydrological controls on dissolved organic carbon during snowmelt in the Snake River near Montezuma, Colorado. Biogeochemistry 1994, 25, 147–165. [Google Scholar] [CrossRef]
- Mattsson Finer, T.L.; Kortelainen, P.; Sallantaus, T. Brook water quality and background leaching from unmanaged forested catchments in Finland. Water Air Soil Pollut. 2003, 147, 275–297. [Google Scholar] [CrossRef]
- Clark, M.J.; Cresser, M.S.; Smart, R.; Chapman, P.J.; Edwards, A.C. The influence of catchment characteristics on the seasonality of carbon and nitrogen species concentrations in upland rivers of northern Scotland. Biogeochemistry 2004, 68, 1–19. [Google Scholar] [CrossRef]
- Dawson, J.J.C.; Billett, M.F.; Hope, D.; Palmer, S.M.; Deacon, C.M. Sources and sinks of aquatic carbon in a peatland stream continuum. Biogeochemistry 2004, 70, 71–92. [Google Scholar] [CrossRef]
- Mulholland, P.J.; Hill, W.R. Seasonal patterns in stream water nutrient and dissolved organic carbon concentrations: Separating catchment flow path and in-stream effects. Water Resour. Res. 1997, 33, 1297–1306. [Google Scholar] [CrossRef]
- Hope, D.; Palmer, S.M.; Billett, M.F.; Dawson, J.J.C. Variations in dissolved CO2 and CH4 in a first-order stream and catchment: An investigation of soil–stream linkages. Hydrol. Processes 2004, 18, 3255–3275. [Google Scholar] [CrossRef]
- Duan, L.; Zheng, W.; Li, M. Geologic hazards on the western Sichuan plateau and their controls. Sediment. Geol. Tethyan Geol. 2005, 25, 95–99. [Google Scholar]
- Zhang, C.; Yang, W.; Zhang, H. Standing biomass and carbon-storage of non-woody debris and their distribution in the alpine forest streams of Western Sichuan in the Upper Reaches of Minjiang River. Ecol. Environ. Sci. 2014, 23, 1509–1514. [Google Scholar]
- Zhu, J.X.; Yang, W.Q.; He, X.H. Temporal dynamics of abiotic and biotic factors on leaf litter of three plant species in relation to decomposition rate along a subalpine elevation gradient. PLoS ONE 2013, 8, e62073. [Google Scholar] [CrossRef] [Green Version]
- Yang, W.Q.; Wu, F.Z. Ecosystem Processes and Management of Subalpine Coniferous Forest in the Upper Reaches of the Yangtze River; Science Press: Beijing, China, 2021. [Google Scholar]
- Bates, D.; Maechler, M.; Bolker, B.; Walker, S. Fitting linear mixed-effects models using lme4. arXiv 2014, arXiv:1406.5823. [Google Scholar]
- Li, S.L.; Liu, C.Q.; Li, J. Geochemistry of dissolved inorganic carbon and carbonate. weathering in a small typical karstic catchment of Southwest China: Isotopic and chemical constraints. Chem. Geol. 2010, 277, 301–309. [Google Scholar] [CrossRef]
- Butman, D.; Stackpoole, S.; Stets, E.; McDonald, C.P.; Clow, D.W.; Striegl, R.G. Aquatic carbon cycling in the conterminous United States and implications for terrestrial carbon accounting. Proc. Natl. Acad. Sci. USA 2016, 113, 58–63. [Google Scholar] [CrossRef] [PubMed] [Green Version]
- Suchet, P.A.; Probst, J.L. A global model for present-day atmospheric/soil CO2 consumption by chemical erosion of continental rocks (GEM-CO2). Tellus Ser. B-Chem. Phys. Meteorol. 1995, 47, 273–280. [Google Scholar] [CrossRef]
- Zhou, W.J.; Zhang, Y.P.; Schaefer, D.A. The role of stream water carbon dynamics and export in the carbon balance of a tropical seasonal rainforest, Southwest China. PLoS ONE 2013, 8, e56646. [Google Scholar] [CrossRef]
- Yu, X.Z.; Yuan, F.H.; Wang, A.Z.; Wu, J.B.; Guan, D.X. Effects of snow cover on soil temperature in a broad-leaved Korean pine forest in Changbai Mountain. Chin. J. Appl. Ecol. 2010, 21, 3015–3020. [Google Scholar]
- Chi, G.L.; Tong, X.L. Leaching process of leaf litter in running water and lentic water in subtropical China. Ecol. Sci. 2010, 29, 50–55. [Google Scholar]
- Aucour, A.M.; Sheppard, S.M.F.; Guyomar, O.; Wattelet, J. Use of C-13 to trace origin and cycling of inorganic carbon in the Rhone River system. Chem. Geol. 1999, 159, 87–105. [Google Scholar] [CrossRef]
- Wu, F.Z.; Peng, C.H.; Zhu, J.; Zhang, J.; Tan, B.; Yang, W.Q. Impact of freezing and thawing dynamics on foliar litter carbon release in alpine/subalpine forests along an altitudinal gradient in the eastern Tibetan Plateau. Biogeosciences 2014, 11, 6471–6481. [Google Scholar]
- Wu, F.Z.; Yang, W.Q.; Zhang, J.; Deng, R. Litter decomposition in two subalpine forests during the freeze-thaw season. Acta Oenological 2010, 36, 135–140. [Google Scholar] [CrossRef]
- Schiff, S.L.; Aravena, R.; Trumbore, S.E.; Hinton, M.J.; Elgood, R.; Dillon, P.J. Export of DOC from forested catchments on the Precambrian Shield of Central Ontario: Clues from 13C and 14C. Biogeochemistry 1997, 36, 43–65. [Google Scholar] [CrossRef]
- Martínez, A.; Larranaga, A.; Pérez, J. Temperature affects leaf litter decomposition in low-order forest streams: Field and microcosm approaches. FEMS Microbiol. Ecol. 2014, 87, 257–267. [Google Scholar] [CrossRef] [PubMed] [Green Version]
- Hobbie, J.E.; Likens, G.E. Output of phosphorus dissolved organic carbon, and fine particulate carbon from Hubbard Brook watersheds. Limnol. Oceanogr. 1973, 18, 734–742. [Google Scholar] [CrossRef]
- Drewitt, G.B.; Black, T.A.; Nesic, Z. Measuring Forest floor CO2 fluxes in a Douglas-fir forest. Agric. For. Meteorol. 2002, 110, 299–317. [Google Scholar] [CrossRef]







| MAP (mm) | MAT (°C) | C (g kg−1) | N (g kg−1) | P (g kg−1) | Main Plant |
|---|---|---|---|---|---|
| 850.00 | 3.00 | 126.00 | 5.80 | 1.20 | Minjiang fir (Abies faxoniana Rehder & E.H.Wilson), Larch (Larix mastersiana Rehder & E.H.Wilson), Cypress (Sabina saltuaria Rehder & E.H.Wilson), Shrubs of azaleas (Rhododendron spp.), Willow (Salix spp.), Barberry (Berberis argentina C.K.Schneid), Ferns (Cystopteris montana (Lam.) Bernh. ex Desv) |
| Factors | d.f. | p | r2 | Correlation | |
|---|---|---|---|---|---|
| DC | Precipitation | 73 | <0.01 ** | 0.36 | + |
| Temperature | 73 | 0.08 | 0.02 | − | |
| Sediment depth | 73 | 0.23 | 0.01 | − | |
| Discharge rate | 73 | 0.04 * | 0.07 | + | |
| Litter carbon input | 73 | 0.10 | 0.01 | − | |
| DIC | Precipitation | 73 | <0.01 ** | 0.46 | + |
| Temperature | 73 | 0.02 * | 0.03 | − | |
| Sediment depth | 73 | 0.10 | 0.01 | − | |
| Discharge rate | 73 | 0.04 * | 0.05 | + | |
| Litter carbon input | 73 | 0.46 | 0.02 | − | |
| DOC | Precipitation | 73 | 0.01 ** | 0.47 | + |
| Temperature | 73 | 0.47 | 0.01 | − | |
| Sediment depth | 73 | 0.32 | 0.01 | − | |
| Discharge rate | 73 | 0.02 * | 0.08 | + | |
| Litter carbon input | 73 | 0.97 | 0.01 | − |
| Factors | d.f. | p | r2 | Correlation | |
|---|---|---|---|---|---|
| DC | Precipitation | 73 | 0.06 | 0.06 | + |
| Temperature | 73 | <0.01 ** | 0.12 | − | |
| Sediment depth | 73 | 0.01 * | 0.10 | − | |
| DC stock | 73 | <0.01 ** | 0.23 | + | |
| DIC | Precipitation | 73 | 0.32 | 0.02 | + |
| Temperature | 73 | 0.03 * | 0.10 | − | |
| Sediment depth | 73 | <0.01 ** | 0.17 | − | |
| DIC stock | 73 | <0.01 ** | 0.24 | + | |
| DOC | Precipitation | 73 | 0.12 | 0.04 | + |
| Temperature | 73 | 0.01 ** | 0.12 | − | |
| Sediment depth | 73 | 0.01 ** | 0.12 | − | |
| DOC stock | 73 | <0.01 ** | 0.26 | + |
| Stream | Stream Length (m) | DC (mg s−1) | DIC (mg s−1) | DOC (mg s−1) |
|---|---|---|---|---|
| A | 37.6 | 1.44 ± 0.20 | 0.97 ± 0.16 | 0.72 ± 0.08 |
| B | 20.8 | 1.24 ± 0.16 | 0.85 ± 0.09 | 0.49 ± 0.06 |
| C | 62.3 | 0.64 ± 0.10 | 0.36 ± 0.06 | 0.27 ± 0.03 |
| D | 225.6 | 0.87 ± 0.07 | 0.52 ± 0.10 | 0.35 ± 0.04 |
| E | 108.0 | 0.13 ± 0.02 | 0.06 ± 0.08 | 0.05 ± 0.06 |
| F | 186.0 | 1.04 ± 0.14 | 1.55 ± 0.14 | 0.92 ± 0.10 |
| G | 92.4 | 1.09 ± 0.14 | 0.64 ± 0.08 | 0.46 ± 0.06 |
| H | 132. | 0.81 ± 0.07 | 0.52 ± 0.06 | 0.28 ± 0.03 |
| I | 66.0 | 1.29 ± 0.14 | 1.00 ± 0.12 | 0.73 ± 0.08 |
| J | 18.0 | 1.39 ± 0.15 | 0.77 ± 0.09 | 0.62 ± 0.07 |
| K | 36.0 | 1.78 ± 0.19 | 0.99 ± 0.11 | 0.80 ± 0.09 |
| L | 11.3 | 0.95 ± 0.08 | 0.61 ± 0.07 | 0.37 ± 0.05 |
| M | 27.6 | 0.35 ± 0.04 | 0.21 ± 0.03 | 0.16 ± 0.02 |
| N | 32.0 | 1.52 ± 0.25 | 1.15 ± 0.13 | 0.74 ± 0.08 |
| O | 86.0 | 0.51 ± 0.05 | 0.30 ± 0.05 | 0.21 ± 0.03 |
Publisher’s Note: MDPI stays neutral with regard to jurisdictional claims in published maps and institutional affiliations. |
© 2022 by the authors. Licensee MDPI, Basel, Switzerland. This article is an open access article distributed under the terms and conditions of the Creative Commons Attribution (CC BY) license (https://creativecommons.org/licenses/by/4.0/).
Share and Cite
Hou, J.; Li, F.; Wang, Z.; Li, X.; Cao, R.; Yang, W. Dynamics of Dissolved Carbon in Subalpine Forest Streams. Forests 2022, 13, 795. https://doi.org/10.3390/f13050795
Hou J, Li F, Wang Z, Li X, Cao R, Yang W. Dynamics of Dissolved Carbon in Subalpine Forest Streams. Forests. 2022; 13(5):795. https://doi.org/10.3390/f13050795
Chicago/Turabian StyleHou, Jianfeng, Fei Li, Zhihui Wang, Xuqing Li, Rui Cao, and Wanqin Yang. 2022. "Dynamics of Dissolved Carbon in Subalpine Forest Streams" Forests 13, no. 5: 795. https://doi.org/10.3390/f13050795
APA StyleHou, J., Li, F., Wang, Z., Li, X., Cao, R., & Yang, W. (2022). Dynamics of Dissolved Carbon in Subalpine Forest Streams. Forests, 13(5), 795. https://doi.org/10.3390/f13050795

