Abstract
Inherent water-use efficiency (IWUE) is a vital parameter connecting the carbon and water cycles. However, the factors influencing the IWUE in different forest ecosystems are still a subject of debate. In this work, FLUXNET platform measurements of 67 forest sites were used to detect trends of the IWUE of four forest ecosystems, namely deciduous broadleaf forests (DBF), evergreen broadleaf forests (EBF), needle-leaf forests (ENF), and mixed forests (MF). The IWUE differed significantly among different forest ecosystems and positively correlated with temperature and solar radiation. The IWUE of EBF was the highest at 32.02 g·C·Kg·H2O−1. The values of DBF and MF were similar and higher than that of ENF. With increasing latitude, the IWUE increased first and then decreased, with a maximum of 35° N. The IWUE of EBF was negatively correlated with precipitation and leaf area index. Temperature and solar radiation were the main factors controlling the IWUE of forest ecosystems, whereas precipitation was the major factor controlling the inter-annual variation in the ΔIWUE of forest ecosystems. Our results provide a scientific basis for the study of forest carbon sinks, forest eco-hydrological processes, and forest ecosystem responses to global climatic changes.
1. Introduction
Forests are important components of terrestrial ecosystems. Plants absorb CO2 from the atmosphere by photosynthesis and lose water by transpiration, driving energy, and water cycling [1,2,3]. In this context, water-use efficiency (WUE) is a key parameter in connecting carbon fixation and evapotranspiration (ET) [4], defined as the ratio of gross primary productivity (GPP) to the ET of an ecosystem. The WUE indicates the water-use strategy among different species or at different life stages of plants at the stand scale [5]. At the ecosystem level, WUE can be used to quantify the coupling between carbon and water cycles. Water loss and C gain are highly complex at the ecosystem level. Various factors, including temperature (T), precipitation (P), vapor pressure deficit (VPD), leaf area index (LAI), and solar radiation (Rg), affect WUE by affecting ET and carbon exchange [6,7,8]. However, one factor affecting WUE may be masked or enhanced by the effects of other factors, resulting in considerable controversy in the research results [9]. For example, during droughts, WUE can first increase and then decrease [10]. Based on previous studies, the WUE does not significantly correlate with latitude because of the similar changes in GPP and ET with variations in latitude [10]. However, in other studies, the WUE of forest ecosystems increased or decreased with increasing latitude [11,12,13,14]. Such controversy has also been observed regarding the relationships between WUE and the precipitation, temperature, VPD, LAI, and Rg [15,16,17,18].
Forest ecosystems occupy approximately 25% of the terrestrial surface, two to three times the total agricultural land area. The spatial patterns, magnitude, and factors affecting the carbon and water cycles of forest ecosystems are, however, not fully understood, mostly because of the lack of long-term flux data. The FLUXNET and the eddy covariance (EC) technique provide a platform and a method for determining carbon and water fluxes at the ecosystem level [19]. The FLUXNET is a reliable platform providing global ecosystem data, collected and processed in a unified manner [20]. Via FLUXNET, gross primary production (GPP) and evapotranspiration (ET) can be estimated at various time scales, allowing obtaining the WUE values for forest ecosystems. Recent studies have defined intrinsic water use efficiency (IWUE), which mainly considers the important impact of saturated water vapor pressure difference (VPD) on the carbon water coupling process on daily and hourly scales [21,22,23]. Beer et al. [5] put GPP × The ratio of VPD to ET is called IWUE, which is tested by using the data of 43 flux stations in different ecosystems around the world. It is confirmed that IWUE is more suitable than WUE for analyzing the carbon water coupling mechanism of the ecosystem on a daily scale.
In this study, we selected flux observations from 67 EC flux sites encompassing a range of forest ecosystems worldwide to compare the WUEs of different forest ecosystems from longer time series and larger spatial scales. In the context of climate change, comparing the WUE of these forest ecosystems will help elucidate the ecosystem response and adaptation to climate change. The overall objective of this study was to examine the spatial patterns, magnitude, and climate rules of the inherent water-use efficiency (IWUE) of forest ecosystems. The following questions were answered: (1) what is the specific trend of the IWUE of forest ecosystems? (2) How does the IWUE response mechanism to environmental factors differ across forest ecosystems? The outcomes of this study provide a scientific basis for regional ecological construction and water and carbon management.
2. Materials and Methods
2.1. Data Sources and Processing
The net exchange of CO2 and water vapor between forest ecosystems and the atmosphere was measured every 30 min. Using the eddy covariance technique from FLUXNET, the IWUE can be calculated at the ecosystem level (Beer et al., 2009). For this study, data from 67 research sites were collected from FLUXNET (http://fluxnet.fluxdata.org, accessed on 1 May 2021) and published studies. These sites were divided into four forest ecosystem types, namely 18 deciduous broadleaf forests (DBF), 10 evergreen broadleaf forests (EBF), 34 evergreen needle-leaf forests (ENF), and 6 mixed forests (MF). The study sites were distributed in Asia, Europe, North America, and Oceania (Figure 1 and Supplementary Materials). All measurements were taken from 9:00 a.m. to 05:00 p.m. Annual-scale temperature, solar radiation, photosynthetic photon flux density, and vapor pressure deficit were calculated based on the daily average values, whereas precipitation was calculated based on the daily sum. The GPP and ET on the annual scale were calculated by accumulating the values for each day. The annual IWUE was calculated by dividing the annual GPP by the annual ET and multiplying it by the annual VPD. The LAI data were collected from the website http://www.glass.umd.edu/LAI/AVHRR/, accessed on 1 May 2021.
Figure 1.
Distribution of the study sites (http://data.ess.tsinghua.edu.cn/, accessed on 1 May 2021).
Missing data can be supplemented by the gap-filling method. Here, gap-filling of the eddy covariance and meteorological data was performed under three conditions: (1) when data of direct interest were missing, but all meteorological data were available, the missing value was replaced by the mean value under similar meteorological conditions with a look-up table (LUT), within a certain time window [11]; (2) When the temperature or VPD was missing but radiation was available, the missing value was replaced using the same LUT approach, though similar meteorological data can only be defined via Rg within a time window of 7 days; (3) In the case of a loss of Rg data, the missing value was replaced by the mean value at the same time of the day (1 h), using the mean diurnal course (MDC). If the value could not be filled after these steps, the procedure was repeated with an increased window size until the value could be filled [24].
2.2. The IWUE of Forest Ecosystems
The value obtained by multiplying the WUE by the vapor pressure deficit (VPD) is termed “inherent water-use efficiency” (IWUE) and is calculated as follows [24]:
where T is the air temperature (°C), λ is the coefficient of water vaporization heat (KJ·Kg−1), LE is the latent heat flux (wm−2), ET is evapotranspiration (kg·H2O·m2·d−1), GPP is the gross primary production (gCm2·yr−1), and IWUE is the inherent water-use efficiency (g·C·hpa·kg·H2O−1).
To measure drought resistance, we compared IWUE to IWUEa under different forest ecosystems, using the following equation [25]:
where Δinherent water-use efficiency is the difference between IWUE and the average (IWUEa) over years (g·C·hpa·kg·H2O−1).
ΔIWUE = IWUE − IWUEa
2.3. Statistical Analysis
The relationships between GPP, ET, and climatic variables were fitted with linear, polynomial, and exponential growth equations. All analyses were conducted using the SAS package. Statistically significant differences were assumed at p < 0.05 unless otherwise stated.
Precipitation, solar radiation, and temperature were calculated based on the annual average values of the sites. One-way ANOVA with LSD-t test was performed to test the differences in WUEs of different forest ecosystems. Pearson’s correlation coefficients (via the functions cor, cor.test, and corrplot in base R and the package corrplot) described linear correlations between the IWUE of forest ecosystems and environmental factors. In addition, the standard deviations of IWUE and ΔIWUE were determined for more than 30 research sites, based on data over 5 years. All statistical analyses were performed with SPSS 16.0, the “REddyProc” package in R Studio 3.6.1 (RStudio, Boston, U.S.A), and Plot in R Studio 3.6.1 (Table 1).
Table 1.
Basic information for various algorithms for calculating water use efficiency.
3. Results
3.1. Differences in the IWUE of Forest Ecosystems
The IWUE differed significantly among forest ecosystems (p < 0.05) (Figure 2). The mean IWUE of the four forest types was 19.78 g·C·hpa·Kg·H2O−1, ranging from 17.70 to 32.02 g·C·hpa·Kg·H2O−1. The IWUE of EBF of 32.02 g·C·hpa·Kg·H2O−1 was significantly higher than the other forest types. The IWUE of ENF of 17.70 g·C·hpa·Kg·H2O−1 was 12.82 and 3.05% lower than DBF (19.97 g·C·hpa·Kg·H2O−1) and MF (18.24 g·C·hpa·Kg·H2O−1), respectively.
Figure 2.
Spatial distribution of inherent water-use efficiency (IWUE) of forest ecosystems. DBF, EBF, ENF, and MF are deciduous broadleaf forests, evergreen broadleaf forests, evergreen needle-leaved forests, and mixed forests, respectively. The letters above each forest ecosystem indicate significant differences among forest ecosystems based on a one-way analysis of variance (α = 0.05). Bars indicate error bars.
The four forest ecosystem types represented the major forest ecozones of the Northern Hemisphere, with latitudes from 20° N to 70° N (Figure 3). The ENF were widely distributed at latitudes of 20° N to 70° N, whereas DBF were mainly distributed at 30° N to 55° N. The EBF were mainly distributed at latitudes from 20° N to 40° N, whereas the MF was mainly distributed at latitudes from 40° N to 50° N, which is the transition zone of needle-leaved and broad-leaved forests. The IWUE values were significantly impacted by latitude; the annual average IWUE first increased and then decreased with latitude, with a peak at approximately 35° N.
Figure 3.
Latitude effect on IWUE of forest ecosystems. DBF, EBF, ENF, and MF are deciduous broadleaf forests, evergreen broadleaf forests, evergreen needle-leaved forests, and mixed forests, respectively. The blue line is the relation curve between WUE and latitude.
3.2. Effects of Environmental Factors on the IWUE of Different Ecosystems
The responses of the IWUE of forest ecosystems to environmental factors were different (Figure 4). The IWUE values of forest ecosystems were significantly positively correlated with temperature (p < 0.01) and solar radiation (p < 0.05), whereas the EBF was significantly correlated with precipitation. The IWUE values of DBF, ENF, and MF increased with increasing precipitation (p < 0.05), whereas those of EBF decreased with increasing precipitation (p > 0.05). The IWUE values of DBF and EBF were significantly negatively correlated with LAI (p < 0.05), whereas the IWUE of ENF and MF showed no significant changes with LAI (p > 0.05). Overall, the IWUE was strongly correlated with temperature and weakly related to precipitation, Rg, and LAI (Figure 4). In DBF, EBF, ENF, and MF, temperature explained 22%, 25%, 57%, and 46%, respectively, of the yearly variation in IWUE.
Figure 4.
Relationships between IWUE and (a) precipitation (mm), (b) temperature (°C), (c) leaf area index (LAI), and (d) solar radiation (Rg, W·m−2). DBF, EBF, ENF, and MF are deciduous broadleaf forests, evergreen broadleaf forests, evergreen needle-leaved forests, and mixed forests, respectively.
3.3. Influence Weight of Environmental Factors on the IWUE
The results of the correlation analysis indicated that IWUE was positively correlated with temperature and GPP (p < 0.05) and negatively with elevation and LAI (p < 0.05), without significant changes with precipitation (p > 0.05) (Figure 5). Temperature and Rg explained 57.3% and 25.0% of the variation in IWUE among all forest types, respectively (Figure 6). The weight value of temperature to IWUE was 2.3 times that of the Rg, whereas the weight values of LAI and precipitation were 8.8%, which was significantly lower than the weight values of temperature and Rg. This indicates that temperature and Rg were the main factors affecting the IWUE of forest ecosystems.
Figure 5.
Correlation analysis between inherent water-use efficiency and environmental factors in forest ecosystems (× means not significant (p > 0.5); colors indicate the level of correlation). IWUE, Tair, Rg, LAI, Precip, GPP, and ET are inherent water-use efficiency, air temperature, solar radiation, leaf area index, precipitation, gross primary production, and evapotranspiration, respectively.
Figure 6.
Influence weights of environmental factors on IWUE. Tair, Rg, Precip, and LAI are air temperature, solar radiation, precipitation, and leaf area index, respectively.
3.4. Factors Influencing IWUE Interannual Changes
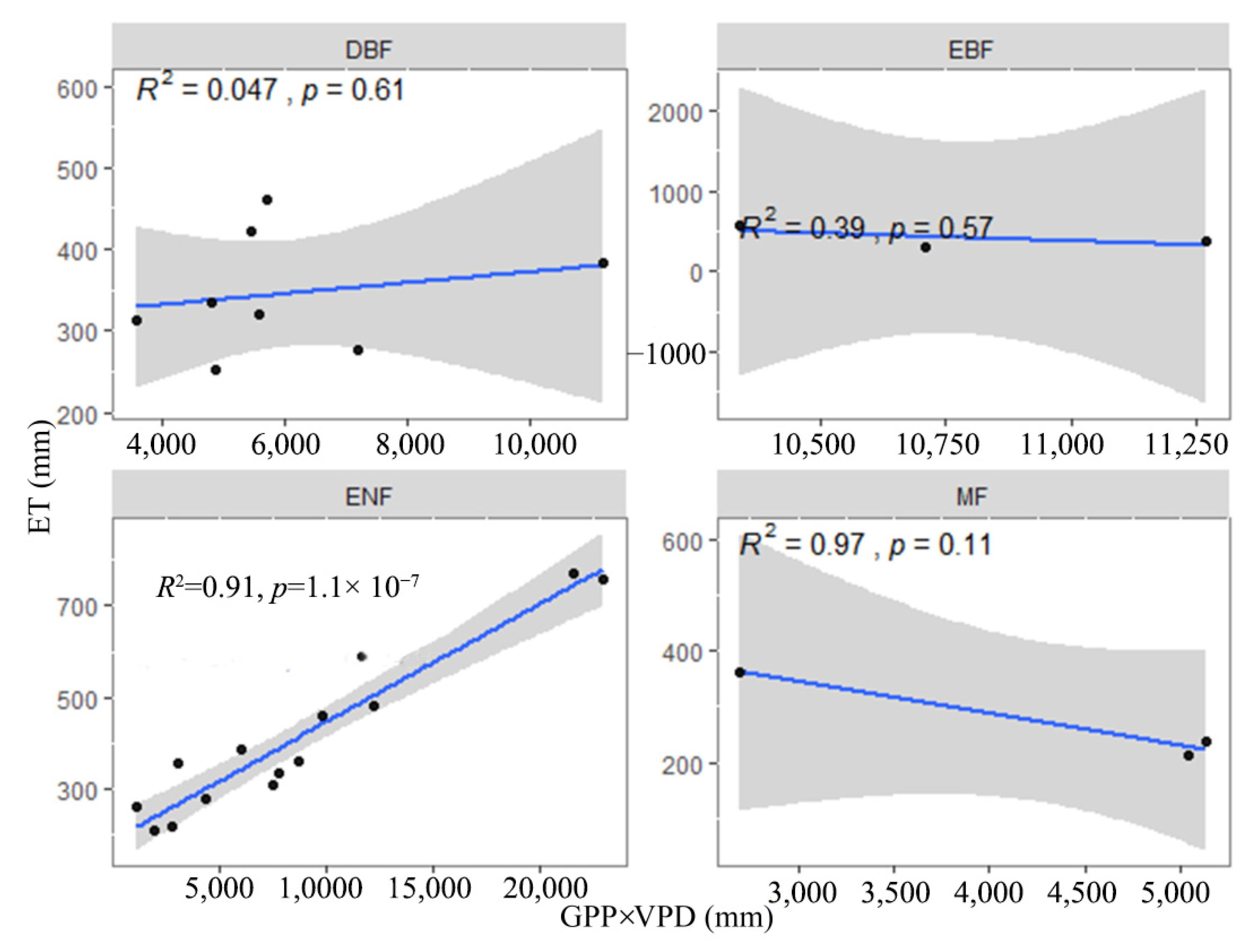
The ΔIWUE of forest ecosystems was significantly positively correlated with precipitation (R2 = 0.37, p < 0.05) but not with temperature (R2 = 0.034, p > 0.05) (Figure 7), indicating that precipitation controls the inter-annual variation of ΔIWUE. There was a significant relationship between annual average evapotranspiration and annual average carbon sequestration only in ENF (R2 = 0.91, p < 0.01) (Figure 7 and Figure 8), but no significant difference was recorded in other forest ecosystems (p < 0.01).
Figure 7.
Relationships between Δ inherent water-use efficiency (ΔIWUE) and precipitation (mm) and temperature (°C), respectively.
Figure 8.
Carbon-water coupling for the different forest ecosystems. Tair, Rg, Precip, and LAI are air temperature, precipitation, and leaf area index, respectively.
4. Discussion
4.1. Spatial Distribution of the IWUE of Forest Ecosystems
The IWUE of forest ecosystems exhibited an obvious latitudinal effect, with an initial increase followed by a decrease with increasing latitude. This can be explained by the decrease in solar radiation with increasing latitude, resulting in decreased evapotranspiration and, thus, an improved IWUE. However, when the latitude increased to 35° N, the carbon sequestration ability of the forest ecosystems decreased due to low temperatures, leading to a gradual decline in WUE. This indicates that temperature is the main factor affecting the IWUE with changes in latitude. Similarly, Xiao et al. demonstrated that the annual net carbon flux varies linearly with latitude, most likely because latitude mainly affects temperature and radiation [26]. Yu et al. also found that temperature and solar radiation were the main factors controlling the annual WUE of forest ecosystems [27]. This also confirms that the lower IWUE of ENF since half of ENF was distributed in high latitudes with lower annual temperatures. At the same latitude, the IWUE significantly differed among forest ecosystems; in particular, the IWUE of EBF was the highest. This may be because EBF were mainly distributed at low latitudes, and plants have a greater carbon sequestration potential at appropriate temperatures. In addition, the high canopy density formed by EBF results in higher humidity, inhibiting evapotranspiration and, therefore, maintaining a higher IWUE. Besides, the thicker litter layer in EBF limits the evaporation of soil moisture [28]. Beer et al. have reported similar results [24], whereas Gilbert observed that the WUE of needle-leaved tree species was higher than that of broadleaved tree species since needle-leaved trees have a higher carbon sequestration capacity [29]. This discrepancy may be due to the difference in research scales; whereas Gilbert used the stand scale, in the present study, the ecosystem scale was used. The IWUE of DBF was significantly lower than that of other ecosystems, most likely because of the short growing season of DBF, with about 6 months for carbon fixation and all 12 months for evapotranspiration, resulting in a low IWUE. Ji et al. also showed that although broadleaf forests usually store more water than needle-leaved forests, the WUE of needle-leaved forests is lower because of excessive transpiration [30].
4.2. Effects of Environmental Factors on the IWUE in Different Ecosystems
There was a significant correlation between temperature/Rg and IWUE across all forest ecosystems, consistent with the study in a tropical monsoon forest in western Thailand [31,32,33]. However, we found no significant relationship between IWUE and annual precipitation, except in EBF. One explanation is that the evapotranspiration of forest ecosystems was not limited by precipitation. The WUE of forests has a certain threshold effect on precipitation in areas with water scarcity [34], which might explain the poor relationship between precipitation and IWUE. Heilman et al. found that the IWUE of young trees was more sensitive to precipitation than old ones, indicating that the EBF stands were younger than the other forests [35]. In a previous study, the sensitivity of broad-leaved forests to environmental changes was higher than that of needle-leaved forests [8]. This can also explain that only the IWUE of EBF had a significant impact on precipitation. Although temperature and solar radiation explained 57.3% and 25.0% of the changes in IWUE, respectively, the correlation between ΔIWUE and meteorological factors showed that precipitation controls the interannual variation of the IWUE forest ecosystems. This leads us to infer that precipitation was the main factor limiting carbon fixation and plant growth in forest ecosystems. The adjustment of photosynthesis and transpiration may also be an adaptive strategy to changes in precipitation.
The factors affecting the WUE of forest ecosystems are highly complex and not only affected by external environmental conditions but also by the plants themselves [18]. For example, the LAI values were significantly negatively correlated with the IWUE values of broad-leaved forests but not with those of needle-leaved forests. Possibly, the increase in transpiration was higher than that in carbon acquisition since radiation was blocked by overlapping leaves of broad-leaved forests. Needle-leaved tree species were not affected by LAI because of the elongated leaves and the large specific surface area, increasing the amount of radiation received [26]. In addition, several factors also affected the IWUE, such as CO2 concentration, nitrogen deposition, stomatal conductance, genotype, and age, indirectly affecting the WUE. Further studies on the above factors are therefore needed to obtain a deeper insight into these issues.
5. Conclusions
Based on FLUXNET measurements, we filtered and built a dataset containing annual total GPP, ET, and VPD data from 67 forest sites and analyzed the spatial variation and the influencing factors of the IWUE. Among the forest ecosystems, the IWUE values differed significantly, with the highest values for the EBF. The values for the DBF and the MF were similar and higher than that of the ENF. The IWUE of forest ecosystems increased first and reached the maximum at a latitude of 35° N, with a subsequent decrease. Across all forest ecosystems, the IWUE was significantly positively correlated with temperature and solar radiation. In addition, the IWUE of EBF was negatively correlated with precipitation and LAI. Temperature and solar radiation were the main factors influencing the IWUE of forest ecosystems, whereas precipitation was the main factor controlling inter-annual variations in the ΔIWUE of forest ecosystems. Based on this, precipitation is the main factor limiting carbon fixation and plant growth in forest ecosystems.
Supplementary Materials
The following supporting information can be downloaded at: https://www.mdpi.com/article/10.3390/f13050775/s1.
Author Contributions
Z.L. wrote the paper; X.J. conceived and designed the experiments; L.Y. and J.J. analyzed the data; X.J. performed the experiments and collected the data. All authors have read and agreed to the published version of the manuscript.
Funding
This research was funded by the Baishanzu National Park scientific research project, grant number 2021ZDLY01; National Natural Science Foundation of China, grant number 42007182.
Institutional Review Board Statement
Not applicable.
Informed Consent Statement
Not applicable.
Data Availability Statement
The data that support the findings of this study are available from the authors upon reasonable request.
Conflicts of Interest
The authors declare no conflict of interest.
References
- Vye, R. Cultivation of plants in space: Their contribution to stabilizing atmospheric composition in closed ecological systems. Adv. Space Res. 1996, 18, 165–176. [Google Scholar]
- Hu, Z.; Yu, G.; Fu, Y.; Sun, X.; Li, Y.; Shi, P.; Zheng, Z. Effects of vegetation control on ecosystem water use efficiency within and among four grassland ecosystems in China. Glob. Change Biol. 2008, 14, 1609–1619. [Google Scholar] [CrossRef]
- Belén, A.M.; Valladares, F.; Irene, M.F. Both mature patches and expanding areas of Juniperus thurifera forests are vulnerable to climate change but for different reasons. Forests 2020, 11, 960. [Google Scholar]
- Giampiero, T.; Riccardo, V. Severe drought effects on ecosystem CO2 and H2O fluxes at three Mediterranean evergreen sites: Revision of current hypotheses. Glob. Change Biol. 2010, 8, 999–1017. [Google Scholar]
- Beer, C.; Ciais, P.; Reichstein, M.; Baldocchi, D.; Law, B.E.; Papale, D.; Wohlfahrt, G. Temporal and among-site variability of inherent water use efficiency at the ecosystem level. Glob. Biogeochem. Cycles 2009, 23, 1–13. [Google Scholar] [CrossRef]
- Yu, G.R.; Song, X.; Wang, Q.F.; Liu, Y.F.; Guan, D.X.; Yan, J.H.; Sun, X.M.; Zhang, L.M.; Wen, X.F. Water-use efficiency of forest ecosystems in eastern China and its relations to climatic variables. New Phytol. 2010, 177, 927–937. [Google Scholar] [CrossRef]
- Liu, Z.Q.; Liu, Q.Q.; Wei, Z.J.; Yu, X.X.; Jia, G.D.; Jiang, J. Partitioning tree water usage into storage and transpiration in a mixed forest. For. Ecosyst. 2021, 8, 13. [Google Scholar] [CrossRef]
- Yang, S.; Zhang, J.; Han, J. Evaluating global ecosystem water use efficiency response to drought based on multi-model analysis. Sci. Total Environ. 2021, 778, 146356. [Google Scholar] [CrossRef]
- Mk, A.; Nr, A.; Tl, A. Carbon sequestration and water yield tradeoffs following restoration of abandoned agricultural lands in Mediterranean mountains. Environ. Res. 2021, 207, 112203. [Google Scholar]
- Tong, X.; Wu, P.; Liu, X. A global meta-analysis of fruit tree yield and water use efficiency under deficit irrigation. Agric. Water Manag. 2022, 260, 107321. [Google Scholar] [CrossRef]
- Hutley, L.B.; Beringer, J.; Fatichi, S. Gross primary productivity and water use efficiency are increasing in a high rainfall tropical savanna. Glob. Change Biol. 2022, 28, 2360–2380. [Google Scholar] [CrossRef]
- Baldocchi, D.; Chu, H.; Reichstein, M. Inter-annual variability of net and gross ecosystem carbon fluxes: A review. Agric. For. Meteorol. 2018, 249, 520–533. [Google Scholar] [CrossRef] [Green Version]
- Ponton, S.; Flanagan, L.B.; Alstad, K.P.; Johnson, B.G.; Morgenstern, K.A.I.; Kljun, N.; Barr, A.G. Comparison of ecosystem water-use efficiency among Douglas-fir forest, aspen forest and grassland using eddy covariance and carbon isotope techniques. Glob. Change Biol. 2006, 12, 294–310. [Google Scholar] [CrossRef]
- Saurer, M.; Spahni, R.; Frank, D.C.; Joos, F.; Leuenberger, M.; Loader, N.J.; Young, G.H. Spatial variability and temporal trends in water-use efficiency of European forests. Glob. Change Biol. 2014, 20, 3700–3712. [Google Scholar] [CrossRef]
- Huxman, T.E.; Smith, M.D.; Fay, P.A.; Knapp, A.K.; Shaw, M.R.; Loik, M.E.; Smith, S.D. Convergence across biomes to a common rain-use efficienc. Nature 2004, 429, 649–651. [Google Scholar] [CrossRef]
- Huang, M.; Piao, S.; Sun, Y.; Ciais, P.; Cheng, L.; Mao, J.; Wang, Y. Change in terrestrial ecosystem water-use efficiency over the last three decades. Glob. Change Biol. 2015, 21, 2366–2378. [Google Scholar] [CrossRef]
- Lu, K.; Chen, N.; Zhang, X.; Wang, J.; Wang, M.; Khan, S.; Zhao, C. Increased drought and atmospheric CO2 positively impact intrinsic water use efficiency but do not promote tree growth in semi-arid areas of northwestern China. Trees 2019, 33, 669–679. [Google Scholar] [CrossRef]
- Topbjerg, H.B.; Kaminski, K.P.; Markussen, B.; Kørup, K.; Nielsen, K.L.; Kirk, H.G.; Liu, F. Physiological factors affecting intrinsic water use efficiency of potato clones within a dihaploid mapping population under well-watered and drought-stressed conditions. Sci. Hortic. 2014, 178, 61–69. [Google Scholar] [CrossRef]
- Frank, D.C.; Poulter, B.; Saurer, M.; Esper, J.; Huntingford, C.; Helle, G.; Weigl, M. Water-use efficiency and transpiration across European forests during the Anthropocene. Nat. Clim. Change 2015, 5, 579–583. [Google Scholar] [CrossRef] [Green Version]
- Kwon, H.; Law, B.E.; Thomas, C.K.; Johnson, B.G. The influence of hydrological variability on inherent water use efficiency in forests of contrasting composition, age, and precipitation regimes in the Pacific Northwest. Agric. For. Meteorol. 2017, 249, 488–500. [Google Scholar] [CrossRef]
- Jiang, S.Z.; Zhao, L.; Liang, C.; Hu, X.T.; Wang, Y.S.; Gong, D.Z.; Zheng, S.S.; Huang, Y.W.; He, Q.Y.; Cui, N.B. Leaf-and ecosystem-scale water use efficiency and their controlling factors of a kiwifruit orchard in the humid region of Southwest China. Agric. Water Manag. 2022, 260, 107329. [Google Scholar] [CrossRef]
- Zhao, T.T.; Zhang, Y.J.; Zhang, T.; Xu, M.J.; Zhu, J.T.; He, Y.T.; Yu, G.R. Drought occurrence and time dominated variations in water use efficiency in an alpine meadow on the Tibetan Plateau. Ecohydrology 2022, 5, 2360. [Google Scholar] [CrossRef]
- Zhang, Q.F.; Lv, X.Z.; Yu, X.X.; Ni, Y.X.; Ma, L.; Liu, Z.Q. Species and spatial differences of vegetation rainfall interception capacity a synthesis and meta-analysis in China. CATENA 2022, 213, 106223. [Google Scholar] [CrossRef]
- Liu, Z.Q.; Zhuang, H.; Jia, G.D.; Yu, X.X.; Jiang, J. Evidence of foliar water uptake in a conifer species. Agric. Water Manag. 2021, 255, 106993. [Google Scholar] [CrossRef]
- Medlyn, B.E.; Duursma, R.A.; Eamus, D.; Ellsworth, D.S.; Prentice, I.C.; Barton, C.V.M.; Crous, K.Y.; De Angelis, P.; Freeman, M.; Wingate, L. Reconciling the opticaland empirical approaches to modelling stomatal conductance. Glob. Change Biol. 2017, 2134–2144. [Google Scholar]
- Xiao, J.; Sun, G.; Chen, J.; Chen, H.; Chen, S.; Dong, G.; Zhou, J. Carbon fluxes, evapotranspiration, and water use efficiency of terrestrial ecosystems in China. Agric. For. Meteorol. 2013, 182–183, 76–90. [Google Scholar] [CrossRef]
- Liu, Z.Q.; Jia, G.D.; Yu, X.X. Variation of water uptake in degradation agroforestry shelterbelts on the North China Plain. Ag-Riculture Ecosyst. Environ. 2020, 287, 106697. [Google Scholar] [CrossRef]
- Gao, Y.; Markkanen, T.; Aurela, M. Response of water use efficiency to summer drought in a boreal Scots pine forest in Finland. Biogeosciences 2017, 14, 4409–4422. [Google Scholar] [CrossRef] [Green Version]
- Gilbert, M.E.; Zwieniecki, M.A.; Holbrook, N.M. Independent variation in photosynthetic capacity and stomatal conductance leads to differences in intrinsic water use efficiency in 11 soybean genotypes before and during mild drought. J. Exp. Bot. 2011, 62, 2875–2887. [Google Scholar] [CrossRef]
- Ji, Y.D.; Li, Y.; Yao, N.; Biswas, A.; Zou, Y.F.; Meng, Q.T.; Liu, F.G. The lagged effect and impact of soil moisture drought on terrestrial ecosystem water use efficiency. Ecol. Indic. 2021, 133, 108349. [Google Scholar] [CrossRef]
- Haynes, A.F. Presence of n fixing neighbors increases 1eaf n and d13c in casti11eja app1egatei a root hemiparasite. Plant Ecol. 2021, 223, 213–228. [Google Scholar] [CrossRef]
- Jassal, R.S.; Black, T.A.; Spittlehouse, D.L.; Brümmer, C.; Nesic, Z. Evapotranspiration and water use efficiency in different-aged Pacific Northwest Douglas-fir stands. Agric. For. Meteorol. 2009, 149, 1168–1178. [Google Scholar] [CrossRef]
- Krishnan, P.; Black, T.A.; Grant, N.J. Impact of changing soil moisture distribution on net ecosystem productivity of a boreal aspen forest during and following drought. Agric. For. Meteorol. 2006, 139, 208–223. [Google Scholar] [CrossRef]
- Nie, C.; Huang, Y.F.; Zhang, S.; Yang, Y.T.; Zhou, S.; Lin, C.J.; Wang, G.Q. Effects of soil water content on forest ecosystem water use efficiency through changes in transpiration/evapotranspiration ratio. Agric. For. Meteorol. 2021, 308, 108605. [Google Scholar] [CrossRef]
- Heilman, K.A.; Trouet, V.M.; Belmecheri, S. Increased water use efficiency leads to decreased precipitation sensitivity of tree growth, but is offset by high temperatures. Oecologia 2021, 197, 1095–1110. [Google Scholar] [CrossRef] [PubMed]
Publisher’s Note: MDPI stays neutral with regard to jurisdictional claims in published maps and institutional affiliations. |
© 2022 by the authors. Licensee MDPI, Basel, Switzerland. This article is an open access article distributed under the terms and conditions of the Creative Commons Attribution (CC BY) license (https://creativecommons.org/licenses/by/4.0/).







