Abstract
Chilgoza pine is an economically and ecologically important evergreen coniferous tree species of the dry and rocky temperate zone, and a native of south Asia. This species is rated as near threatened (NT) by the International Union for Conservation of Nature (IUCN). This study hypothesized that climatic, soil and topographic variations strongly influence the distribution pattern and potential habitat suitability prediction of Chilgoza pine. Accordingly, this study was aimed to document the potential habitat suitability variations of Chilgoza pine under varying environmental scenarios by using 37 different environmental variables. The maximum entropy (MaxEnt) algorithm in MaxEnt software was used to forecast the potential habitat suitability under current and future (i.e., 2050s and 2070s) climate change scenarios (i.e., Shared Socio-economic Pathways (SSPs): 245 and 585). A total of 238 species occurrence records were collected from Afghanistan, Pakistan and India, and employed to build the predictive distribution model. The results showed that normalized difference vegetation index, mean temperature of coldest quarter, isothermality, precipitation of driest month and volumetric fraction of the coarse soil fragments (>2 mm) were the leading predictors of species presence prediction. High accuracy values (>0.9) of predicted distribution models were recorded, and remarkable shrinkage of potentially suitable habitat of Chilgoza pine was followed by Afghanistan, India and China. The estimated extent of occurrence (EOO) of the species was about 84,938 km2, and the area of occupancy (AOO) was about 888 km2, with 54 major sub-populations. This study concluded that, as the total predicted suitable habitat under current climate scenario (138,782 km2) is reasonably higher than the existing EOO, this might represent a case of continuous range contraction. Hence, the outcomes of this research can be used to build the future conservation and management plans accordingly for this economically valuable species in the region.
1. Introduction
Species distribution modelling (SDM) is one of numerous modeling approaches used by modern ecologists, conservationists and forest managers to infer environmental variables influencing past, current and/or future species distribution patterns. These methods have a wide range of applications, especially in the identification of core geographical areas where a targeted species is more likely to exist. Such studies effectively help in biological field work to find and study a target taxon in any area based on probability of presence, making field operations more cost-effective [1]. Similarly, researchers can predict the invasion patterns of invasive species, carry out effective gap analysis, perform species risk assessments, assess the impacts of climate change, and detect regions of high habitat suitability for protecting and appropriately stocking any species [2,3,4,5,6].
Species distribution models (SDMs) require geo-referenced observations of species occurrence data and a variety of predictors, and by using predictive statistical algorithms and machine learning methods, desired results can be achieved [7]. These SDM tools are frequently used to investigate the quality and quantity of biota microhabitats which help in the detection and delimitation of core geographical areas for species conservation and management [8]. All of these efforts also effectively help to avoid local extinction by using species restocking activities within any area when required, whereas threatened species can be conserved promptly [9]. Spatial predictive mapping of suitable habitats for species help in valuable species conservation and effective management in its native geographical areas [10], or suggest potential geographical areas for species restocking [9]. Predictive species ecological niche models (ENMs) can detect biotas environmental requirements [11]; however, the use of appropriate predictors based on local environmental constraints is very important, especially for narrow ranged endemic species in any region [12].
In SDMs, various environmental restrictions are assessed in space and time [13] by implementing different statistical approaches and algorithms. The Maximum Entropy (MaxEnt) algorithm is the most widely used, and is an important statistical technique for species predictive distribution modelling. MaxEnt can be effectively used to predict and delimit the existing core geographical areas for the considered species, whereas future projection based on predicted environmental changes can help in assessing the impacts of proposed changes and possible niche shifts (a very important phenomenon to build the future plans linked to survival of valuable species) [14]. Species presence probabilities obtained by using SDMs can be defined as “how much choice is involved in the selection of an event” [15,16]. In SDM, the MaxEnt algorithm has some notable advantages including a user-friendly interface in MaxEnt software, and robust and intuitive predictions even with a low number of species occurrence records [13,17]. Accordingly, MaxEnt is preferred over several other modelling tools as it only requires species occurrences and predictors data [18,19] to evaluate the relations among different variables including both categorical and/or continuous data [20,21,22].
The MaxEnt algorithm can limit the worth of every variable corresponding to its factual average [20,23]. MaxEnt combines environmental variables with geographical coordinates of the species and eventually generates an ecological niche map displaying the probable dispersal and dissemination of species with diverse regions signifying distinct or analogous suitability levels for any considered species [24,25]. SDMs can forecast no and or low to high presence probability values at certain pixel cells, and accordingly represent the probability of finding the modelled species and environmental requirements in a geographical space [26,27].
Predictive distribution modelling of various valuable tree species have been performed by the various workers in different parts of the world [28,29,30,31,32,33,34], and communicated the impacts of future possible climatic variations on biodiversity. Chilgoza pine (Pinus gerardiana Wall. ex D.Don), also referred to as “Chilgoza pine and/or Neoza pine”, inhabits South Asia [35,36], and is famous for its edible pine-seeds or pine-nuts. These are rich in carbohydrates, proteins, oils and important minerals and considered as a valuable food [37,38,39,40,41,42,43,44,45,46,47,48,49]. The seeds of the species serve as an important cash crop, especially for the native communities residing in the remote rural mountainous areas [50]. Chilgoza pine cones are primarily collected from the natural wild forests by the native communities to extract pine-nuts, and rarely from the privately owned land that supports Chilgoza populations. Hence, the over-exploitation of Chilgoza seeds, deforestation, poverty and corruption, and poor forest management for sustainable use are the major hurdles towards appropriate regeneration of the species in the area [43,44,50]. Human influences may be contributing to the decline in Chilgoza seed production. Therefore, understanding the factors that are required to mitigate for these reductions and to develop strategies to improve forest management are critical for forest conservation. For this, SDMs of Chilgoza pine is a prerequisite to understand the role of climate, topography and soil towards its potential habitat suitability prediction under current and future climate change scenarios.
Accordingly, this study is aimed at developing a potential habitat suitability model that depicts current and future distribution patterns of the Chilgoza pine in south Asia. The findings of this study might help in identification and delimitation of core habitat suitability areas at local and regional (south Asia) levels. Similarly, the results might be helpful in developing habitat conservation and restoration plans where required. The outcomes of this study might further help in afforestation and/or reforestation of this near threatened pine species at potential sites. All of these will ensure sustainable livelihood earning by the dependent local communities. The detailed study objectives include;
- Predictive distribution modelling of Pinus gerardiana under current climatic/environmental conditions.
- Forecasting of potential distribution variations under proposed future climate change scenarios;
- The identification of the most influential environmental factors, and;
- The identification of the possible impacts of future ditributional variations of the species on the associated local communities.
2. Materials and Methods
2.1. Chilgoza Pine and Study Area
Pinus gerardiana is a dynamic ecological and economical tree species. The forests of this tree species favorably inhabit dry temperate areas, and prefer rocky microhabitats [35,36]. The individuals of this pine species are usually found clustered into small groups. The species is primarily found between 31°–36° north latitude and 69°–80° east longitude in south Asia [37]. Chilgoza pine, as a native tree species, is primarily found in the Hindu Kush and western Himalayan mountainous areas. It is commonly reported in the northern parts including Gilgit-Baltistan and northwestern parts of Khyber Pakhtunkhwa, Pakistan. Similarly, it is frequently reported in the southeastern parts of Afghanistan and the northwestern areas of Jammu and Kashmir, Kinnaur and Himachal Pradesh, India, and rarely from the Xizhang and Tibet areas of China [38,39,40,41,42,43]. The elevation range of this tree species varies from 1800–3350 m above sea level (m a.s.l.) [43]. Pakistan is the leading host of this tree species, which mainly inhabits dry rocky slopes. These slopes are directed to a variety of solar aspects (i.e., north, south, east and west facing) especially in the northern and northwestern Baluchistan, Khyber Pakhtunkhwa, Gilgit-Baltistan and the western Himalayan parts of Pakistan [44,45,46]. The important microhabitats within the country include the Kurram valley, Koh-e-Sulaiman mountain range, Zhob, Ziarat, Swat, Chitral, Dir, Chilas, Daimer, Ghorabad, and north and south Waziristan [42,47,48,49,50], where Chilgoza pine occurs primarily in a mixed coniferous forest and rarely in single species stands. Natural and pure stands of the species are mainly found in the Koh-e-Sulaiman mountain range, Pakistan. According to Urooj and Jabeen [50] and Saeed and Thanos [51], the total geographical area of these natural pure strands of Chilgoza pine forests spread over approximately 200–260 km2 of geographic area.
Afghanistan and Pakistan are the leading hosts of the Chilgoza pine [52,53], and few photographs of the species captured during the field surveys are presented (Figure 1). The tree species is mainly distributed in the dry temperate regions of Pakistan that spur towards the west into eastern parts of Afghanistan and towards the east into the western edge of Indian administered Jammu and Kashmir. The collected occurrence data of the tree species vary from 69–80 East longitude, and 31–36 North latitude, covering parts of Hindu Kush-western Himalaya-Karakoram mountainous ranges in South Asia. A geographic area with extent (viz. 67, 82, 29, 38 (xmin, xmax, ymin, ymax)) by using ±2 degree was selected accordingly to perform SDM.
Figure 1.
An assortment of images taken of dry temperate microhabitats supporting Pinus gerardiana populations in Koh-e-Sulaiman and Koh-e-Hindu Kush mountain ranges in Pakistan.
2.2. Species Occurrence Data
The species occurrence records were collected two ways; (1) field surveys were conducted from 2018–2020 in the study area (i.e., the Hindu Kush-western Himalaya-Karakoram mountain ranges), and (2) Global Biodiversity Information Facility (GBIF) data. A total of 332 presence locations of Chilgoza pine were recorded during the field surveys, whereas 47 occurrence records were downloaded from the GBIF database. Four GBIF records were omitted because they do not represent individual trees occurring within the native area. It was followed by the removal of 15 duplicate records, and then spatial filtering of the remaining 360 presence records was performed by using buffer analysis in ArcGIS ver. 10.3. The resolution of the predictor data is about 1 km2 employed in this study, and accordingly, a 1 km2 radius was selected to create a circular buffer zone around each presence point. Spatial thinning of presence points was done by removing all of the overlapping buffer zones. Therefore, the minimum ground distance between any two closely lying presence points was approximately 2 km2. This filtering process finally resulted in 238 presence points which belong to Afghanistan, India, Pakistan and China. These 238 filtered presence points were finally used in predictive modelling of Chilgoza pine.
2.3. Predictors Data
Environmental data was selected based on plant growth and survival, and include climatic, topographic, and edaphic predictor variables. A total of 37 independent predictor variables were employed in this study. These include 19 bioclimatic variables (Source: https://worldclim.org/data/worldclim21.html; accessed on 18 October 2020) belonging to near current climate (1970–2000), 10 edaphic variables (Source: https://soilgrids.org/; accessed on 29 March 2022), seven topographic variables (Source: Earth Engine Data Catalog), and one remote sensing variable (i.e., Normalized Difference Vegetation Index (NDVI); mean value of the growing season (April–August) from 2001 to 2020). The soil data of different soil depth is available on SoilGrids. The raster data of each of 10 soil variables for three different soil depth (viz. 0–5 cm; 5–15 cm; 15–30 cm) were targeted, and mean (0–30 cm) raster were created. The details of these environmental variables is provided in Table 1. Bioclimatic and elevation variables were directly obtained from the WorldClim, whereas remainder variables were accessed and clipped to study area extent by using the Google Earth Engine. The solar aspect variable was cos-transformed (Northness; 0–1). Coarse predictor layers were resampled to bioclimatic variables (~1 km2). For future projection under predicted climate change scenarios, a total of four predicted future (2050s = 2041–2060 and 2070s = 2061–2080) climate change scenarios (SSPs 245 and 585) of Coupled Model Intercomparison Project, Phase 6 (CMIP6) and Global Climate Model of BCC-CSM2-MR (resolution: 2.5 arc min) were downloaded and resampled accordingly [54,55].
Table 1.
The details of environmental predictors employed in MaxEnt SDM of P. gerardiana in the study area.
2.4. Variables Selection
To perform a SDM of Chilgoza pine, the maximum entropy algorithm was used with the open software package MaxEnt ver. 3.4.4 (American Museum of Natural History, New York, NY, USA; Available at: https://biodiversityinformatics.amnh.org/open_source/maxent/; (accessed on 22 March 2022)). The detailed flow chart of methodology used in this study is presented in Figure 2. In the first step of SDM, a full model with all variables and default MaxEnt settings was run to screen most influential variables. A threshold of >4% variable importance was used. This process excluded 27 variables. The geographic coordinates of the tree species were then used to extract the values of the remaining 10 predictor variables for further pairwise Pearson’s correlation analysis by using “reshape2” and “ggplot2” packages in R-statistical software. A threshold value of Pearson’s correlation coefficient (r = ±0.8) was used to select the final variables. If any two variables were found correlated above the threshold, the one having the least contribution in the model was omitted. This sequential processing finally resulted in the selection of five predictor variables (Figure 3) to be used in SDMs. This criteria was chosen to avoid the inclusion of redundant information that might lead to model over-fitting [56,57]. The final five variables included in Chilgoza pine SDMs were comprised of Bio3 (Isothermality), Bio11 (mean temperature of coldest quarter), Bio14 (precipitation of driest month), CFVO (Volumetric fraction of coarse soil fragments), and NDVI.
Figure 2.
Flow chart of methodology used in MaxEnt entropy modelling of Chilgoza Pine.
Figure 3.
Heat map depicting the pairwise correlation of considered environmental variables (Pearson’s correlation coefficient threshold; r = ±0.8) used in predictive distribution modelling of Pinus gerardiana.
2.5. Model Optimization, Calibration, Validation and Prediction Reclassification
The selection of the optimal MaxEnt model was made by using the 10th percentile presence probability of the tree species, and the 10-fold cross-validation method to generate binary maps. For this, a total of 48 different models were evaluated by using multiple combinations of six feature classes (i.e., L, LQ, H, LQH, LQHP and LQHPT where L = Linear, Q = Quadratic, H = Hinge, P = Product, T = Threshold) and eight regularization multiplier (RM) values (i.e., 0.5–4, 0.5) by using “dismo” “SDMtune” and “raster” packages in R statistical software. Additionally, the “ENMeval” package was used to develop the bias file to be used in all MaxEnt models. The finalized predictor layers (five variables) were stacked and used to rasterize species occurrence data to estimate two-dimensional kernel density. The inclusion of this bias file in the MaxEnt model effectively manipulated the background by using environmental data, and introducing the same spatial bias like that which exists in the presence data [58,59]. In MaxEnt settings, the other run options include: complementary log-log (clog-log) output format, 15,000 background points, 10 replicate runs, and 500 iterations (with randomly varying model training and testing points). Response curves of the predictor variables were developed, and Jackknife importance was tested in the final optimal model [21].
Evaluation of predictive models by using different accuracy measures is a prime topic in ENM/SDM. Multiple pros and cons of different widely used accuracy measures including area under curve (AUC) of the receiver-operator characteristic (ROC) curve values, Kappa, and True Skill Statistics (TSS) are communicated by the Gao et al. and Allouche et al. [59,60], hence, alternative measures like use of partial area under ROC curve (p-ROC-AUC) to estimate AUC ratios are conveyed [59,60,61]. Li et al. [61] suggested using more than one accuracy measure to seek the reliability of SDMs predictions. Accordingly, all of the considered SDMs accuracies were evaluated by using AUC-ROC values, p-AUC-ROC, AUC ratios, Kappa statistics and TSS [59,60] in this study. p-AUC-ROC curve values were estimated by using 95% confidence intervals. Large (>0.9; more close to 1) accuracy values indicate excellent predictive performance of the models [62,63], whereas a value >0.8 is regarded as good [64,65,66]. Similarly, an accuracy value close to 2 (or >1.8) for AUC ratios is considered as excellent model fit [59]. Following these communications, five different accuracy measures including AUC, pROC, AUC ratios, Kappa statistics and TSS were calculated in this study by using “SDMTune”, “pROC”, and “spm” packages in R statistical software.
The averaged prediction maps of the final uncorrelated models for five considered climate scenarios were further analyzed. These raster files depict presence probability (as environmental values are translated into the ecological niche in the form of geographic space) of the species with continuous values ranging from 0–1. This presence probability was classified into five equal-sized categorical classes. Many SDMs studies used a prediction probability value of 0–0.2 threshold to recognize unsuitable area for the considered species, and these authors also believe that the use of equal-sized (0.2) five probability classes are more intuitive and meaningful, as conveyed by [61], especially while comparing pairwise inter-conversions of different habitat suitability classes among varying climate scenarios by using maps. Such classification also helps in the extraction of more fine details of the species predictions in a geographical context. Accordingly, this study developed five equal-sized classes, and these include; HSC-5 = very high habitat suitability (p > 0.8); HSC-4 = high (0.6 > p ≤ 0.8); HSC-3 = moderate (0.4 > p ≤ 0.6); HSC-2 = least suitability (0.2 > p ≤ 0.4); and HSC-1 = no suitability (p < 0.2).
The area under each of the classified categories was then calculated using map algebra through a two-step procedure [67,68,69,70] in ArcGIS ver. 10.3., whereby the reference area set at the equator was equal to 0.694 km2 (predictor variables pixel resolution: 0.833 × 0.833 km) and the areas of the pixels at other latitudes to be equal to the square root of their cosine. The rate of change in potential habitat suitability prediction is calculated as conveyed by [30]. The mapping is performed by using ArcGIS 10.3. Presence points were used to calculate the area of occupancy (AOO) and extent of occurrence (EOO) polygon of the tree species. The alpha hull method was employed to create EOO polygon by using “ConR” package in R statistical software. The statistically significant difference among the group (five considered models: the current and four future climate change scenarios) means of predicted probabilities at the presence locations was performed by using univariate analysis of variance (ANOVA) with a post-hoc Tukey’s test to seek statistical differences in potential habitat suitability predictions of Chilgoza pine.
3. Results
3.1. Model Performance and Variables Importance
The maximum entropy modelling (MaxEnt) algorithm in MaxEnt software is used to forecast the probable niche range and variations and the distribution pattern of the Pinus gerardiana under current and predicted future (i.e., 2050s and 2070s) climate change scenarios (i.e., SSPs 245 and 585). The results of preliminary MaxEnt models evaluation depicted that the selection of LQHPT feature classes along with an RM value of 2 produced the optimal performing model. The same MaxEnt settings were used in the subsequent five SDMs to assess the current and four predicted future climate scenarios.
The averaged test omission rate and predicted area of P. gerardiana indicated that the model performed significantly better than the random when tested for omission. The accuracy values of AUC-ROC for the test data represent “fit of the model”, and present the prediction reliability of the model. This study obtained the AUC-ROC values of 0.957 and 0.948 for both the training and test data of the current climate model, respectively. However, as some inherent flaws are linked with AUC-ROC, some other measures were calculated whose pros and cons are also communicated from time to time. This study recorded the model training values of 1.68, 0.939, 0.951 and 0.84 for AUC ratios, TSS, Kappa statistics, and p-AUC-ROC, respectively, and suggested a good predictive performance of the SDMs under current the climate scenario. All of the five types of accuracy values of the four future predictions depicted good prediction reliability as well (Table 2).
Table 2.
Different accuracy measures and their averaged values over 10 replicate runs for considered predictive maximum entropy models of P. gerardiana in the study area.
The results of percent contribution and permutational importance of predictor variables (leading five most influential) based on Jackknife testing are presented in Table 3 and Figure 4, respectively. Based on percent contribution, all five variables in order include: NDVI (40.2%); Bio11 (mean temperature of coldest quarter: 37.5%); Bio3 (Isothermality: 11.7%); Bio14 (precipitation of driest month: 6.3%); and CFVO (Volumetric fraction of the coarse soil fragments: 4.3%) (Table 3). These results depicted that NDVI, temperature, precipitation, and soil texture were the principal influential variables in predicting potential habitat suitability of Chilgoza pine (Table 3).
Table 3.
Contribution (%) of the leading five environmental variables in species distribution modelling of Pinus gerardiana in the study area.
Figure 4.
Jackknife test of regularized training gain contribution of the considered environmental variables and their importance for habitat suitability prediction of Pinus gerardiana. (For codes detail, please see Table 3).
The Jackknife testing represents the permutation-based importance of explanatory variables, and revealed the variables' importance in order as: Bio11 (mean temperature of coldest quarter), NDVI, Bio3 (Isothermality), CFVO (Volumetric fraction of the coarse soil fragments), and Bio14 (precipitation of driest month) (Figure 4). These results showed that each variable contributed towards the model gain. Hence, all of the included explanatory variables contributed to the enhancement of the predictive probability with better reliability. These results also depicted that the environmental variable with the highest gain when used in isolation was the mean temperature of the coldest quarter (Bio11), which means that it had the most useful information by itself. In other words, it decreases the gain the most when it is omitted, which means that it has the most information that isn’t present in the other variables (Figure 4).
3.2. Variables Response Curves
The MaxEnt model response curves of the leading five variables are presented in Figure 5. The marginal response curves illustrate how the variations in the variable influence the occurrence probability of a species while setting all the remainder considered variables to their mean values across all occurrence localities of the species under study. Hence, in case of strong variable multicollinearity, marginal response curves might produce highly uncertain results. To avoid this, additional set of MaxEnt model response curves can also be generated. The optimal environmental conditions that better represent the occurrence probability of P. gerardiana concerning five leading variables (MaxEnt model response curves) in the study area are presented in Figure 5. The optimal detected environment included Bio3 or Isothermality (30–38%); Bio11 or mean temperature of coldest quarter (−5–5 °C); Bio14 or precipitation of driest month (10–20 mm), CFVO or volumetric fraction of the coarse soil fragments (200–300 cm3/dm3), and NDVI in the range of 0.3–0.5 during the growing season (April-August) in the study area.
Figure 5.
MaxEnt model response curves of the six bioclimatic and topographic variables used in the predictive species distribution modeling of P. gerardiana in south Asia.
3.3. Present Distribution and Extent of Occurrence
The MaxEnt species occurrence probability output raster for Chilgoza pine were classified, mapped, and evaluated for land area calculation for each considered HSC and time period. The total potential suitable habitat (p > 0.2) for the considered species under the current climate is estimated at about 138,782 km2, out of which the prediction about the very high suitability (p > 0.8) of the land area was comprised of about 26,387 km2. Accordingly, the high suitability (0.6 < p ≤ 0.8) land area was 26,154 km2, moderate suitability (0.4 < p ≤ 0.6) as 36,037 km2, and least suitability (0.2 < p ≤ 0.4) as 50,204 km2 in south Asia. The country-wise proportion of prediction about the very high suitability land area results showed that Pakistan is the leading (11,344 km2) host, followed by Afghanistan (8472 km2), and India (6564 km2) (Figure 6 and Table 4).
Figure 6.
Predicted habitat suitability classification of Pinus gerardiana under current (1970–2000) climate scenario (Colour coding: No colour = No suitability; Turquoise = Least suitability; Green = Moderate suitability; Yellow = High suitability; Red = Very high suitability) Extent of occurrence (light purple) polygon is also added.
Table 4.
Habitat suitability classification (HSC) by using predicted probability of species occurrence values (five equal-sized intervals) and potential spatial distribution (area in km2) of Pinus gerardiana under current and future climate change scenarios (HSC-1 = No suitability; HSC-2 = Least suitability; HSC-3 = Moderate suitability; HSC-4 = High suitability; HSC-5 = Very high suitability).
Accordingly, prediction about the high suitability (0.6 < p ≤ 0.8) land area depicted about 26,154 km2, and was divided among countries in order, as follows: Afghanistan (9125 km2), Pakistan (8696 km2), India (8060 km2), and China (273 km2) (Figure 6, Table 4). The most important very high suitability potential locations include northern areas of Giligit Baltistan and Upper Dir, Chitral, Swat, Waziristan, Sheringal of Khyber Pakhtunkhwa and Zhob, Baluchistan (Takht e Sulaiman range), Darazinda, and the Sheerani areas in Pakistan. Similarly, northeastern areas like nearby areas of the Panjshir valley, Paktia, Paktika, Parum and Mandool valleys and some areas of Khost in Afghanistan are important potential microhabitats. As far as India is concerned, northwestern parts comprising Padder, Kishtwar in Jammu and Kashmir, Kalpa, Ropa, Pooh, Akpa, Ribba, Moorang, Telangi, Pangi, Boktu and Purbani in Kinnaur, and Dharwas and Luj in Chamba, Himachal Pradesh are important potential microhabitats (Figure 6).
This study detected an extent of occurrence (EOO) of the considered tree species equal to 84,938 km2 based on the method delineated by IUCN. The area of occupancy (AOO) was estimated as 888 km2 with 54 major sub-populations. These results depicted that predicted suitable geographic habitat under the current climate scenario (138,782 km2), which is reasonably higher than the existing EOO of the species.
3.4. Future Predicted Distributions
This study used a total of four projected climate change conditions (viz. SSPs: 245 and 585) for the 2050s and 2070s to predict the potential distribution variation of P. gerardiana. This study found that total potential habitat suitability (p > 0.2) in south Asia might shrink to 120,433 km2 (−14% = rate of change compared to current distribution range) under SSPs 245 of 2050s; 123,516 km2 (−12%) under SSPs 585 of 2050s; 93,779 km2 (−39%) under SSPs 245 of 2070s; and 93,869 km2 (−39%) under SSPs 585 of 2070s (Figure 7 and Table 4).
Figure 7.
Predicted habitat suitability variations of Pinus gerardiana under projected future climate change scenarios (Colour coding is same as in Figure 6; (A) = SSPs 245; (B) = SSPs 585 of 2050s and (C) = SSPs 245; (D) = SSPs 585 of 2070s).
In the 2050s, based on SSPs 245, a very high suitability habitat is predicted to decrease from 26,387 to 18,021 km2 (−38%) compared to the current climate (Figure 7 and Table 4). Accordingly, within HSC-5, the potential suitable land area is predicted to decrease to 18,881 km2 (−33%), 11,377 km2 (−84%) and 10,274 km2 (−94%) under SSPs 585 of 2050s, SSPs 245 of 2070s, and SSPs 585 of 2070s, respectively. Similarly, country-wise, HSC-5 prediction results showed that the potential suitable land area is predicted to contract (from 11,344 to 4120 km2) in Pakistan; Afghanistan (from 8472 to 7167 km2); and India (from 6564 to 6170 km2) under SSPs 245 of 2050s. However, an opposite gaining trend would likely appear in China where the predicted suitable area under HSC-5 might expand from the existing 7 to 564 km2 under SSPs 245 by the 2050s. Similar results for HSC-5 were detected for each country under the remaining three climate change scenarios as well. All of the remainder potential habitat suitability classes (HSC2-4) are predicted to show a remarkable shrinkage under all the considered future climate change scenarios overall but not in China. Hence, the results suggested that all of the considered habitat suitability classes, and overall potential suitable area for Chilgoza pine is predicted to decrease remarkably in the study area under all considered climate change scenarios, and the same impact (habitat loss) is further predicted to increase in the case of SSPs 245 and 585 of the 2070s than in the corresponding scenarios of the 2050s. Based on four considered future climate change scenarios, Pakistan, Afghanistan and India are predicted to face the maximum habitat loss (Table 4 and Figure 7). All of the predicted pairwise inter-conversions of habitat suitability classes for each of the four considered future climate change scenarios are mapped and presented in Figure 8.
Figure 8.
Maps showing pairwise inter-conversions of considered habitat suitability classes (HSC) of Chilgoza pine under four different climate change scenarios (HSC-1 = No suitability; HSC-2 = Least suitability; HSC-3 = Moderate suitability; HSC-4 = High suitability; HSC-5 = Very high suitability); (A) = SSPs 245; (B) = SSPs 585 of 2050s and (C) = SSPs 245; (D) = SSPs 585 of 2070s.
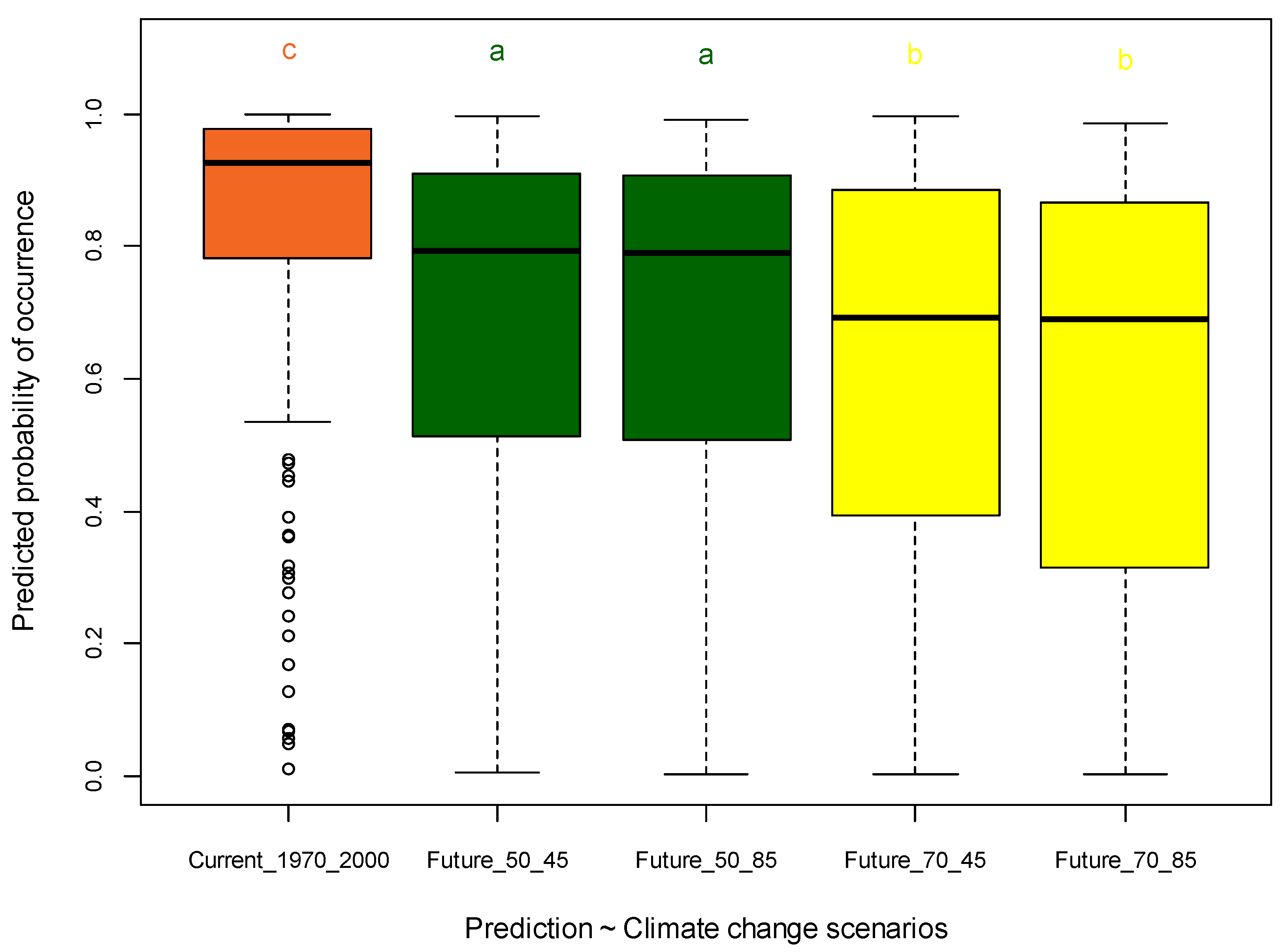
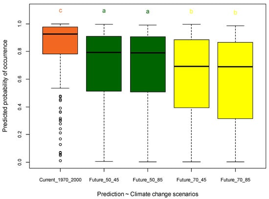
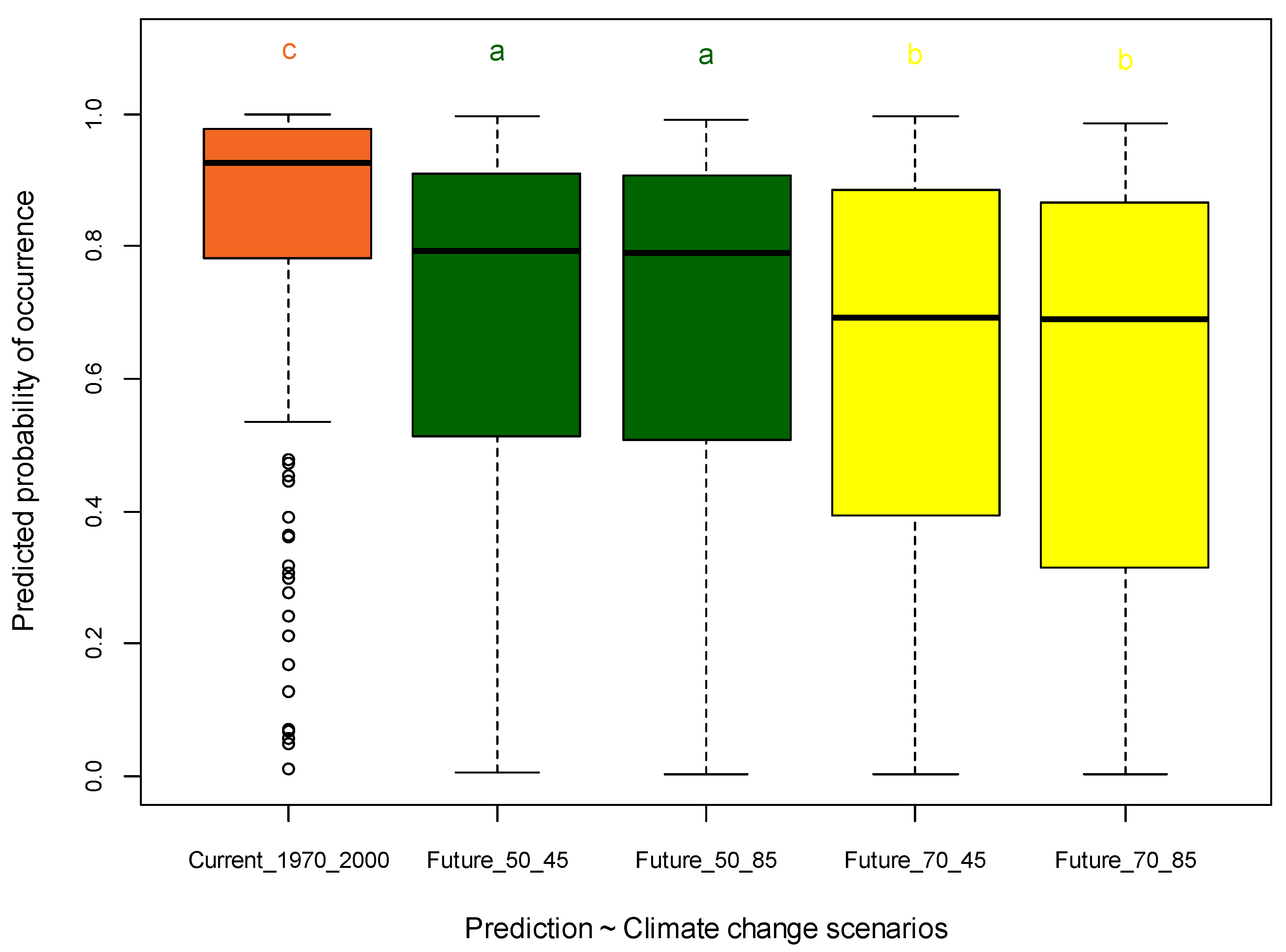
3.5. Significance Testing of MaxEnt Predictions
The predicted probability values of the study locations (i.e., 238 occurrences of Chilgoza pine) for all the five models were extracted, and included 1190 observations (i.e., species occurrences × models = 238 × 5), and were distributed in five categorical groups (or considered climate scenarios) to perform ANOVA. The results showed that there was a statistically significant mean difference (F = 22.07; p < 0.001) among the five considered climate scenarios. The post-hoc results depicted that probability of occurrence of the considered species at study locations might significantly decrease under SSPs 245 and 585 of future climate (2050s and 2070s) (Figure 9). Therefore, potential geographic habitat suitability of the considered species is predicted to decrease significantly under both the 2050s and 2070s climate change scenarios at the present species occurrence sites. This loss of habitat suitability might further led to shrinkage of the distribution range. These results suggested that local communities depending on Chilgoza pine to earn their livelihood might face serious socio-economic issues in future due to predicted climate change.
Figure 9.
Tukey’s post-hoc test results depicting the significant difference in the predicted probabilities of occurrences of Pinus gerardiana under considered climate change scenarios at the observed species locations.
4. Discussion
Chilgoza pine is a very important tree species, both economically as well as ecologically. This species has a highly fragmented distribution within an enormous geographic range within south Asia [43,71,72]. The considered species is found in dry temperate rocky forests in the Hindu Kush-western Himalaya-Karakoram mountain ranges in south Asia, and faces severe anthropogenic and climate change pressure in term of over-exploitation of its cones from the natural habitat/range to extract edible Chilgoza nuts [43,46,73], and increasing temperature and abnormal precipitation patterns in the study area. Additionally, it provides a wider range of socio-ecological services such as delicious and nutritive seeds that are eaten as raw snacks and as a constituent of multiple traditional foods, fuelwood, torchwood, timber and bird food [37,38,43,44,50,51]. The leading concern affecting Chilgoza pine in its spatial range is over-harvesting (sometimes even 100% in some parts of Pakistan) of its cones leading poor or even no regeneration [74], causing rapid decline of species populations and its associated socio-economic and ecological role, and it has been declared as "near threatened" based on the red list criterion of the IUCN [34,75]. Climate change is another important factor, and more drastic results might appear for Chilgoza pine [30,76,77,78]. The protection, regular monitoring and better management of such micro-habitats supporting highly valuable species is necessary for constant provisioning and regulating ecosystem services. Thus, detailed ecological work was required to forecast the potential effects of climate change. Accordingly, this is the first ever study that is targeted to predict potential habitat suitability variations of Chilgoza pine under different future climate change scenarios in south Asia. Many other researchers have adopted the same procedures to record the influence of the changing climate on valuable species and as a prerequisite for conservation e.g., [79] to find out the distribution modelling of Olea ferruginea, [80] on Stipa purpurea, [81] on Rosa arabica, [82,83,84] on Taxus wallichiana, [85] on Juglans regia, and [86] on western Tragopan, (Tragopan melanocephalus). By using SDMs tools, many workers reported the shrinkage of the distribution range of different valuable species under predicted climate change [77,87]; similarly, based on immense eco-economic value, Pinus gerardiana is being contracted in south Asia.
Different software tools/programs have been introduced to perform predictive modelling [65,88,89,90,91,92]; however, maximum entropy modelling by using MaxEnt is detected as very robust, requiring presence only and with a user friendly interface. It also maintains higher fidelity in predictive accuracy under different limitations [93,94]. It works best to avoid model over-fitting, has a small degree of biased sampling, and handles small-sized sampling adequately [19,20,21,95,96], therefore, we selected the maximum entropy algorithm in MaxEnt for predictive modelling of the valuable and ever-decreasing Chilgoza pine like many others [81,97,98,99].
Many workers [29,30,31,32,56,57,100] reported the important role of temperature, precipitation, topography, and soil which influence the distribution pattern of tree species, especially in the mountainous parts of south Asia. Accordingly, a total of 19 bioclimatic, 10 edaphic, seven topographic and one remote sensing variable were utilized in the distribution modelling of the considered species. The total precipitation during different seasons in a year and its seasonal variation pattern, temperature variations and its seasonality, and topography and soil were recognized as important variables for SDMs [34,101,102,103,104,105], and the same were detected as the most influential in this study as well.
This study recorded a high precision, and the reliability for all of the predictions as the models accuracy values were most close to 1 (>0.9), whereas AUC ratios were found more close to 2 (>1.6), as also conveyed by [59,60,61,106]. Accordingly, high model accuracy values for all considered measures represented excellent model performance. This study also recognized that the use of better contributing and least correlated (r = ±0.8), least possible number of predictor variables in SDMs is very important [82,85,107]. The use of superfluous and highly correlated variables might lead to model over-fitting and consequently result in high erroneous accuracy values. Hence, the joint criterion of more than 4% contribution and ±0.8 threshold value for Pearson’s correlation coefficient amongst the predictor variables for selection of predictors to be used in the final model is an adequate strategy, as used in this study, for more robust and reliable predictions.
This study detected the contribution of the five leading predictor variables used in Chilgoza pine predictive modelling. This depicted that NDVI and the mean temperature of the coldest quarter in the study area are the most important for Chilgoza pine in its distribution range [107,108,109]. This depicted that the tree species prefer relatively thick vegetation areas where the mean temperature of the coldest quarter remain around the freezing point of water. The relative contribution of predictor variable is tested by using Jackknife tests (Figure 4). All these significance testing of predictors suggested that the precipitation of the driest month should be around 15 mm along with a CFVO of 200–300 cm3/dm3, and as mentioned earlier it prefers dry rocky habitats [60,61]. The isothermal variation (day and night temperature oscillation compared to summer and winter temperature oscillation) is another important factor. These results also suggested that any drastic change in these five influential variables in the study area might significantly influence potential Chilgoza pine distribution, as conveyed in many studies [79,82,110,111,112] for different species and regions. Climate, topography and soil always play a central role in vegetation composition and distribution [56,57]. Species distribution patterns and responses are remarkably dependent on precipitation quantity, timing and seasonality, temperature extremes and seasonality, and global warming [30,32,61,87], etc. All of these influential predictors decreased water availability, and temperature extremes might remarkably alter Chilgoza responses such as seed germination and regeneration, plant height and cover, leaf area, phenology, pollination, reproduction, dispersal of propagules, and physiological processes like photosynthesis, as reported by [61].
The analytical findings of this study suggested that the most important very high suitability (p > 0.8) locations for Chilgoza pine included the Giligit Baltistan, Upper Dir, Chitral, Swat, Waziristan, Sheringal, Zhob (extension of Takht e Sulaiman range), Darazinda, and Sheerani districts in Pakistan, and the Panjshir valley, Paktia, Paktika, Parum and Mandool valleys and Khost in Afghanistan, and the Kishtwar, Kinnaur, and Chamba areas in India (Figure 6). All of the analyzed future climate change scenarios predicted a remarkable decline in potential habitat suitability as suggested by many other workers for different species [113,114]; hence, suggesting conservation and regular monitoring for habitat protection [79,115,116] to save the valuable species. Potential habitat suitability shifts along the elevation gradient might be another factor. We also predicted that Pakistan and India might face the majority of decline in potential microhabitats of Chilgoza pine under SSPs 245 and 585 of the 2050s and 2070s. The local communities in these remote mountainous areas are strongly associated with the local biodiversity to earn their livelihood [111], and thousands of families are involved in the collection and trade/export of Chilgoza pine, especially in Pakistan, Afghanistan and India [37,38,43,44,50,74,75], and the future possible decline in potential distribution due to climate change might significantly influence the socio-economic status of associated communities.
To safeguard Chilgoza pine for future generations, habitat conservation and management, regular monitoring and sustainable use of existing resources in the study area is required. The core areas of the species needs special attention. Additionally, according to local communities, a mutualistic bird species (Nucifraga multipunctata: the Asian Nut Cracker) is strongly linked with Chilgoza pine regeneration, as the bird collects and hides pine nuts underground to be used as food. Therefore, the bird and the Chilgoza pine are strongly dependent on each other for survival, as the loss of one will influence the other, and the immediate response of policy makers and conservationists is needed. Different projects like the Billion Tree Tsunami (BTT) in Pakistan can be used to reintroduce the species and afforestation of the Chilgoza pine in predicted high to very high potential suitability zones as detected in this study. We further recommend some future studies focusing on the documentation of spatially varying intensities of anthropogenic disturbances and the associated socio-economic activities linked to P. gerardiana in the study area to protect species hotspots.
5. Conclusions
Chilgoza pine is a native evergreen coniferous tree species of the dry temperate zones of Hindu Kush-Karakoram-Western Himalaya, mainly in south Asia. The Maximum Entropy algorithm in MaxEnt software was used to predict the potential habitat suitability variations under varied climate change scenarios. We concluded that besides the reported poor regeneration, the predicted future climate change (SSPs 245 and 585 of 2050s and 2070s) might remarkably decrease its overall potential habitat suitability in its native range. The environmental niche of the species was predicted with a slight shift to the northwest (China), hence, the present potential habitat supporting the species in South Asia (especially western Himalaya) might be negatively influenced the most, followed by Pakistan (western Himalaya followed by Karakoram ranges). We also concluded that isothermality, mean temperature of the coldest quarter, precipitation of the driest month, NDVI, and volumetric fraction of the soul coarse fragment (rocky loose dry soil) are influential factors for species growth and survival. Local communities linked to the gathering, marketing, and trade/export of Chilgoza pine nuts might face serious socio-economic effects due to the potential predicted shrinkage of species distribution as a consequence of climate change. The outcomes of this study can be used to build future conservation, afforestation, reforestation and management plans for this economically valuable species in the region. We also recommend some future studies focusing on the documentation of spatially varying intensities of anthropogenic disturbances and the associated socio-economic activities linked to Pinus gerardiana in the study area to protect species hotspots.
Author Contributions
Conceptualization, A.M.K., AT. and Z.S.; methodology, N.K. (Nasrullah Khan); software, A.M.K.; validation, A.M.K., A.T. and T.H.; formal analysis, A.M.K. and A.T.; investigation, N.K. (Nadia Khalid); A.T. and Z.S.; resources, A.M.K.; data curation, N.K. (Nasrullah Khan), and A.T.; writing—original draft preparation, A.M.K., N.K. (Nadia Khalid), T.H., A.T. and M.M.; writing—review and editing, A.M.K. and A.T.; visualization, A.M.K., A.T. and Q.L supervision, A.M.K. and A.T.; project administration, Q.L. and A.T.; funding acquisition, Q.L. All authors have read and agreed to the published version of the manuscript.
Funding
This work is supported by the National Natural Science Foundation of China (grant no. 42071321 and 41901292).
Data Availability Statement
Species occurrence data is available on request to first author.
Acknowledgments
The authors thankfully acknowledge all those residents of the study area and forest officers who generously provided logistic facilities if and/or when required, and communicated the reliable potential locations to search the considered tree species during field surveys. We are also thankful to Abdul Majid (Department of Botany, Hazara University Mansehra, KPK, Pakistan) and few other colleagues who directly provided some location data used in this modelling.
Conflicts of Interest
The authors declare that they have no conflict of interest.
References
- Rebelo, H.; Jones, G. Ground validation of presence-only modelling with rare species: A case study on Barbastella barbastellus (Chiroptera: Vespertilionidae). J. Appl. Ecol. 2010, 47, 410–420. [Google Scholar] [CrossRef]
- Di Febbraro, M.; Martinoli, A.; Russo, D.; Preatoni, D.; Bertolino, S. Modelling the effects of climate change on the risk of invasion by alien squirrels. Hystrix 2016, 27, 1–8. [Google Scholar] [CrossRef]
- Bosso, L.; Rebelo, H.; Garonna, A.P.; Russo, D. Modelling geographic distribution and detecting conservation gaps in Italy for the threatened beetle Rosalia alpina. J. Nat. Conserv. 2013, 21, 72–80. [Google Scholar] [CrossRef]
- Busby, J.R. A biogeoclimatic analysis of Nothofagus cunninghamii (Hook.) Oerst. in southeastern Australia. Aust. J. Ecol. 1986, 11, 1–7. [Google Scholar] [CrossRef]
- Razgour, O.; Hanmer, J.; Jones, G. Using multi-scale modelling to predict habitat suitability for species of conservation concern: The grey long-eared bat as a case study. Biol. Conserv. 2011, 144, 2922–2930. [Google Scholar] [CrossRef] [Green Version]
- Wilson, C.D.; Roberts, D.; Reid, N. Applying species distribution modelling to identify areas of high conservation value for endangered species: A case study using Margaritifera margaritifera (L.). Biol. Conserv. 2011, 144, 821–829. [Google Scholar] [CrossRef]
- Elith, J.; Franklin, J. Species Distribution Modelling. Encyclopedia of Biodiversity; Levin, S., Ed.; Academic Press: Waltham, MA, USA, 2013; pp. 692–705. [Google Scholar]
- Farren, A.; Prodöhl, P.A.; Laming, P.; Reid, N. Distribution of the common lizard (Zootoca vivipara) and landscape favourability for the species in Northern Ireland. Amphibia-Reptilia 2010, 31, 387–394. [Google Scholar] [CrossRef] [Green Version]
- Olsson, O.; Rogers, D.J. Predicting the distribution of a suitable habitat for the white stork in Southern Sweden: Identifying priority areas for reintroduction and habitat restoration. Anim. Conserv. 2009, 12, 62–70. [Google Scholar] [CrossRef]
- Gibson, L.A.; Wilson, B.A.; Cahill, D.M.; Hill, J. Spatial prediction of rufous bristlebird habitat in a coastal heathland: A GIS-based approach. J. Appl. Ecol. 2004, 41, 213–223. [Google Scholar] [CrossRef]
- Guisan, A.; Zimmermann, N.E. Predictive habitat distribution models in ecology. Ecol. Model. 2000, 135, 147–186. [Google Scholar] [CrossRef]
- Brambilla, M.; Caprio, E.; Assandri, G.; Scridel, D.; Bassi, E.; Bionda, R.; Chamberlain, D. A spatially explicit definition of conservation priorities according to population resistance and resilience, species importance and level of threat in a changing climate. Divers. Distrib. 2017, 23, 727–738. [Google Scholar] [CrossRef]
- Pearson, R. Species Distribution Modeling for Conservation Educators and Practitioners. Synthesis. Am. Mus. Nat. Hist. 2007, 50, 54–89. [Google Scholar]
- Jaynes, E.T. Information theory and statistical mechanics. Phys. Rev. 1957, 106, 620–630. [Google Scholar] [CrossRef]
- Shannon, C.A. Mathematical Theory of Communication. Bell Syst. Tech. J. 1948, 27, 379–423. [Google Scholar] [CrossRef] [Green Version]
- Khanum, R.; Mumtaz, A.S.; Kumar, S. Predicating impact of climate change on medicinal asclepiads of Pakistan using Maxent modeling. Acta Oecologica 2013, 49, 23–31. [Google Scholar] [CrossRef]
- Papes, M.G. Modelling ecological niches from low numbers of occurrences: Assessment of the conservation status of poorly known viverrids (Mammalia, Carnivora) across two continents. Divers. Distrib. 2007, 13, 890–902. [Google Scholar] [CrossRef]
- Phillips, S.J.; Dudik, M. Modelling of species distributions with Maxent: New extensions and a comprehensive evaluation. Ecography 2008, 31, 161–175. [Google Scholar] [CrossRef]
- Elith, J.; Phillips, S.J.; Hastie, T.; Dudík, M.; Chee, Y.E.; Yates, C.J. A statistical explanation of Maxent for ecologists. Divers. Distrib. 2011, 17, 43–57. [Google Scholar] [CrossRef]
- Phillips, S.J.; Anderson, R.P.; Schapire, R.E. Maximum entropy modeling of species geographic distributions. Ecol. Model. 2006, 190, 231–259. [Google Scholar] [CrossRef] [Green Version]
- Baldwin, R.A. Use of maximum entropy modeling in wildlife research. Entropy 2009, 11, 854–866. [Google Scholar] [CrossRef]
- Fuller, D.O.; Ahumada, M.L.; Quiñones, M.L.; Herrera, S.; Beier, J.C. Nearpresent and future distribution of Anopheles albimanus in Mesoamerica and the Caribbean Basin modeled with climate and topographic data. Int. J. Health Geogr. 2012, 11, 13. [Google Scholar] [CrossRef] [PubMed] [Green Version]
- Cardona, J.N.; Loyola, R.D. Applying niche-based models to predict endangered-hylid potential distributions: Are neotropical protected areas effective enough? Trop. Sci. 2008, 1, 417–445. [Google Scholar] [CrossRef]
- Chen, G.J.; Peterson, A.T. A new technique for predicting distribution of terrestrial vertebrates using inferential modelling. Zool. Res. 2000, 21, 231–237. [Google Scholar]
- Morrison, M.L.; Hall, L.S. Standard terminology: Toward a common language to advance ecological understanding and application. In Predicting Species Occurrences: Issues of Accuracy and Scale; Scott, J.M., Heglund, P.J., Morrison, M.L., Haufler, J.B., Raphael, M.G., Wall, W.A., Samson, F.B., Eds.; Island Press: Washington, DC, USA, 2002; pp. 43–52. [Google Scholar]
- Negga, H. Predictive Modelling of Amphibian Distribution Using Ecological Survey Data: A Case Study of Central Portuga. Master’s Thesis, International Institute for Geo-Information Science and Earth Observation, Enschede, The Netherlands, 2007. [Google Scholar]
- Yang, X.Q.; Kushwaha, S.P.S.; Saran, S.; Xu, J.; Roy, P.S. Maxent modeling for predicting the potential distribution of medicinal plant, Justicia adhatoda L. in Lesser Himalayan foothills. Ecol. Eng. 2013, 51, 83–87. [Google Scholar] [CrossRef]
- Ellis, C.J. Ancient woodland indicators signal the climate change risk for dispersal-limited species. Ecol. Indic. 2015, 53, 106–114. [Google Scholar] [CrossRef]
- Khan, A.M.; Qureshi, R.; Qaseem, M.F.; Munir, M.; Ilyas, M.; Saqib, Z. Floristic checklist of district Kotli, Azad Jammu & Kashmir. Pak. J. Bot. 2015, 47, 1957–1968. [Google Scholar]
- Khan, A.M.; Khalid, N. Climate Change is Driving Greening Trend Whereas Tree Cover is Declining in The Western Himalaya of Pakistan. J. Bioresour. Manag. 2021, 8, 1202.0200. [Google Scholar] [CrossRef]
- Majeed, M.; Tariq, A.; Anwar, M.M.; Khan, A.M.; Arshad, F.; Mumtaz, F.; Shaukat, S. Monitoring of land use–land cover change and potential causal factors of climate change in Jhelum district, Punjab, Pakistan, through GIS and multi-temporal satellite data. Land 2021, 10, 1026. [Google Scholar] [CrossRef]
- Khan, A.M.; Qureshi, R.; Arshad, M.; Mirza, S.N. Climatic and flowering phenological relationships of western Himalayan flora of Muzaffarabad district, Azad Jammu and Kashmir, Pakistan. Pak. J. Bot. 2018, 50, 1093–1112. [Google Scholar]
- Slee, B.; Feliciano, D. Challenges in the design of indicators for assessing the impact of the Scotland Rural Development Programme 2007–2013 on climate change mitigation. Ecol. Indic. 2015, 59, 94–103. [Google Scholar] [CrossRef]
- Ali, F.; Khan, N.; Ali, K.; Khan, I. Influence of environmental variables on the distribution of woody species in Muslim graveyards of Malakand Division, Hindukush Range Mountains of Pakistan. Pak. J. Bot. 2017, 49, 2357–2366. [Google Scholar]
- Critchfield, W.B.; Little, E.L. Geographic Distribution of the Pines of the World; Department of Agriculture, Forest Service: Washington, DC, USA, 1966. [Google Scholar]
- Amjad, M.S.; Qaeem, M.F.; Ahmad, I.; Khan, S.U.; Chaudhari, S.K.; Malik, N.Z.; Shaheen, H.; Khan, A.M. Descriptive study of plant resources in the context of the ethnomedicinal relevance of indigenous flora: A case study from Toli Peer National Park, Azad Jammu and Kashmir, Pakistan. PLoS ONE 2017, 12, e0171896. [Google Scholar] [CrossRef]
- Malik, A.R.; Shamet, G.S.; Butola, J.S. Natural regeneration status of chilgoza pine (Pinus gerardiana wall.) in Himachal Pradesh, India: An endangered pine of high edible value. Appl. Ecol. Env. Res. 2012, 10, 365–373. [Google Scholar] [CrossRef]
- Dogra, P. Gymnosperms of India: II. Chilgoza Pine (Pinus gerardiana wall); National Botanic Gardens: Lucknow, India, 1964. [Google Scholar]
- Krugman, S.L.; Jenkinson, J.L. Pinus L. Pine. In Seeds of Woody Plants in the United States, Agricultural Handbook; Department of Agriculture: Washington, DC, USA, 1974; pp. 598–638. [Google Scholar]
- Farjon, A. Pines: Drawings and Descriptions of the Genus Pinus; EJ Brill: Leiden, The Netherlands, 1984. [Google Scholar]
- Farjon, A. World Checklist and Bibliography of Conifers; Royal Botanical Gardens Kew: Richmond, UK, 1998. [Google Scholar]
- Ilyas, M.; Qureshi, R.; Akhtar, N.; Ziaul-Haq, M.K.A.; Khan, A.M. Floristic diversity and vegetation structure of the remnant subtropical broad leaved forests from Kabal valley, Swat, Pakistan. Pak. J. Bot. 2018, 50, 217–230. [Google Scholar]
- Khan, H.M.A.; Zaman, M.; Hyder, A.A.S.; Nafees, M.K.M.A.; Begum, G.R.F.; Hussain, S.A.; Ali, M. Diameter size class distributions of Pinus gerardiana Wall. ex D. Don from Gohar Abad Valley District Diamer, Gilgit-Baltistan, Pakistan. J. Biodivers. Environ. Sci. 2015, 6, 50–56. [Google Scholar]
- Ahmed, M.; Ashfaq, M.; Amjad, M.; Saeed, M. Vegetation structure and dynamics of Pinus gerardiana forests in Balouchistan, Pakistan. J. Veg. Sci. 1991, 2, 119–124. [Google Scholar] [CrossRef]
- Mossadegh, A. World Forest Geography; Tehran University Press: Tehran, Iran, 2005. [Google Scholar]
- Ahmed, M.; Husain, T.; Sheikh, A.H.; Hussain, S.S.; Siddiqui, M.F. Phytosociology and structure of Himalayan forests from different climatic zones of Pakistan. Pak. J. Bot. 2006, 38, 361. [Google Scholar]
- Rafi, M. Vegetation Types of Balochistan Province. Pak. Govt. Print. Press. Punjab. Lahore Pakistan 1965, 116, 1–8. [Google Scholar]
- Chaudhri, I.I. Distribution of gymnosperms in West Pakistan. Vegetation 1963, 11, 372–382. [Google Scholar] [CrossRef]
- Tariq, A.; Shu, H.; Siddiqui, S.; Munir, I.; Sharifi, A.; Li, Q.; Lu, L. Spatio-temporal analysis of forest fire events in the Margalla Hills, Islamabad, Pakistan using socio-economic and environmental variable data with machine learning methods. J. For. Res. 2021, 13, 12. [Google Scholar] [CrossRef]
- Urooj, R.; Jabeen, A. Present status of Pinus gerardiana Wall. in Pakistan: A review. Middle East J. Bus. 2015, 10, 8897. [Google Scholar] [CrossRef]
- Saeed, M.; Thanos, C.A. The effect of seed coat removal on seed germination of Pinus gerardiana Wallich ex D. Don. chilgoza pine. J. Appl. Emerg. Sci. 2006, 1, 174–177. [Google Scholar]
- Khan, A.M.; Qureshi, R.; Saqib, Z.; Habib, T.; Ilyas, M.; Maqsood, M.; Kosar, R.; Akram, M.; Rahim, B.Z. A novel study of the interrelationship of seasonality, satellite data and weed compositional changes of the agro-ecological system of Gujrat, Pakistan. Appl. Ecol. Environ. Res. 2018, 16, 2995–3018. [Google Scholar] [CrossRef]
- Ali, F.; Khan, N.; Ahmad, A.; Khan, A.A. Structure and biomass carbon of Olea ferruginea forests in the foot hills of Malakand division, Hindukush Range Mountains of Pakistan. Acta Ecol. Sin. 2019, 39, 261–266. [Google Scholar] [CrossRef]
- Hijmans, R.J.; Cameron, S.E.; Parra, J.L.; Jones, P.G.; Jarvis, A. Very high resolution interpolated climate surfaces for global land areas. Int. J. Climatol. 2005, 25, 1965–1978. [Google Scholar] [CrossRef]
- Fick, S.E.; Hijmans, R.J. World Clim 2: New 1-km spatial resolution climate surfaces for global land areas. Int. J. Climatol. 2017, 37, 4302–4315. [Google Scholar] [CrossRef]
- Khan, A.M.; Qureshi, R.; Saqib, Z. Multivariate analyses of the vegetation of the western Himalayan forests of Muzaffarabad district, Azad Jammu and Kashmir, Pakistan. Ecol. Indic. 2019, 104, 723–736. [Google Scholar] [CrossRef]
- Khan, A.M.; Qureshi, R.; Saqib, Z.; Munir, M.; Shaheen, H.; Habib, T.; Dar, M.E.U.I.; Fatimah, H.; Afza, R.; Hussain, M. A first ever detailed ecological exploration of the western Himalayan forests of Sudhan Gali and Ganga summit, Azad Jammu and Kashmir, Pakistan. Appl. Ecol. Environ. Res. 2019, 17, 15477–15505. [Google Scholar] [CrossRef]
- Muscarella, R.; Galante, P.J.; Soley-Guardia, M.; Boria, R.A.; Kass, J.; Uriarte, M.; Anderson, R.P. ENMeval: An R package for conducting spatially independent evaluations and estimating optimal model complexity for ecological niche models. Methods Ecol. Evol. 2014, 5, 1198–1205. [Google Scholar] [CrossRef]
- Gao, T.; Xu, Q.; Liu, Y.; Zhao, J.; Shi, J. Predicting the Potential Geographic Distribution of Sirex nitobei in China under Climate Change Using Maximum Entropy Model. Forests 2021, 12, 151. [Google Scholar] [CrossRef]
- Allouche, O.; Tsoar, A.; Kadmon, R. Assessing the accuracy of species distribution models: Prevalence, kappa and the true skill statistic (TSS). J. Appl. Ecol. 2006, 43, 1223–1232. [Google Scholar] [CrossRef]
- Li, Y.; Li, M.; Li, C.; Liu, Z. Optimized maxent model predictions of climate change impacts on the suitable distribution of cunninghamia lanceolata in China. Forests 2020, 11, 302. [Google Scholar] [CrossRef] [Green Version]
- Phillips, S.J.; Dudík, M.; Schapire, R.E. A maximum entropy approach to species distribution modeling. In Proceedings of the Twenty-First International Conference on Machine Learning, Banff, AB, Canada, 4–8 July 2004; p. 83. [Google Scholar] [CrossRef] [Green Version]
- Radosavljevic, A.; Anderson, R.P.; Araújo, M. Making better Maxentmodels of species distributions: Complexity, overfitting and evaluation. J. Biogeogr. 2014, 41, 629–643. [Google Scholar] [CrossRef]
- Manel, S.; Ceri Williams, H.; Ormerod, S.J. Evaluating presence-absence models in ecology: The need to account for prevalence. J. Appl. Ecol. 2001, 38, 921–931. [Google Scholar] [CrossRef]
- Elith, J.; Graham, C.H.; Anderson, R.P.; Dudik, M.; Ferrier, S.; Guisan, A.; Hijmans, R.J.; Huettmann, F.; Leathwick, J.R.; Lehmann, A.; et al. Novel methods improve prediction of species distributions from occurrence data. Ecography 2006, 29, 129–151. [Google Scholar] [CrossRef] [Green Version]
- Van Proosdij, A.S.J.; Sosef, M.S.M.; Wieringa, J.J.; Raes, N. Minimum required number of specimen records to develop accurate species distribution models. Ecography 2016, 39, 542–552. [Google Scholar] [CrossRef]
- Akhlaq, R.; Amjad, M.S.; Qaseem, M.F.; Fatima, S.; Chaudhari, S.K.; Khan, A.M. Species diversity and vegetation structure from different climatic zones of tehsil Harighel, Bagh, Azad Kasmir, Pakistan analysed through multivariate techniques. Appl. Ecol. Environ. Res. 2018, 16, 5193–5211. [Google Scholar] [CrossRef]
- Marshall, A.G.; Hudson, D.; Wheeler, M.C.; Hendon, H.H.; Alves, O. Simulation and prediction of the Southern Annular Mode and its influence on Australian intra-seasonal climate in POAMA. Clim. Dyn. 2012, 38, 2483–2502. [Google Scholar] [CrossRef]
- Bosso, L.; Luchi, N.; Maresi, G.; Cristinzio, G.; Smeraldo, S.; Russo, D. Predicting current and future disease outbreaks of Diplodia sapinea shoot blight in Italy: Species distribution models as a tool for forest management planning. For. Ecol. Manag. 2017, 400, 655–664. [Google Scholar] [CrossRef]
- Liu, J.; Milne, R.I.; Mo¨ller, M.; Zhu, G.F.; Ye, L.J.; Luo, Y.H.; Yang, J.B.; Wambulwa, M.C.; Wang, C.N.; Li, D.Z.; et al. Integrating a comprehensive DNA barcode reference library with a global map of yews (Taxus L.) for forensic identification. Mol. Ecol. Resour. 2018, 18, 1115–1131. [Google Scholar] [CrossRef]
- Shalizi, M.N.; Khurram, S.; Groninger, J.W.; Ruffner, C.M.; Burney, O.T. Indigenous knowledge and stand characteristics of a threatened tree species in a highly insecure area: Chilgoza pine in Afghanistan. For. Ecol. Manag. 2018, 413, 1–8. [Google Scholar] [CrossRef]
- Rahimzadeh, A. Socio-economic and Environmental Implications of the Decline of Chilgoza Pine Nuts of Kinnaur, Western Himalaya. Conserv. Soc. 2020, 18, 315–326. [Google Scholar] [CrossRef]
- Akbar, M.; Ahmed, M.; Alamdar, H.; Zafar, M.U.; Khan, M. Quantitative forests description from Skardu, Gilgit and Astore Districts of Gilgit- Baltistan, Pakistan. Fuuast J. Biol. 2011, 1, 149–160. [Google Scholar]
- Aziz, M.A.; Adnan, M.; Hussain, S.K.; Hashem, A.; Alqarawi, A.A.; Abd_Allah, E.F. Comparative regeneration status of Pinus gerardiana in two forest-use types of Sulaiman mountain range near Pak-Afghan border region: Historical, current and future perspectives. Pak. J. Bot. 2017, 49, 227–236. [Google Scholar]
- Peltier, R.; Dauffy, V. The Chilgoza of Kinnaur. Influence of the Pinus gerardiana edible seed market chain organization on forest regeneration in the Indian Himalayas. Fruits 2009, 64, 99–110. [Google Scholar] [CrossRef] [Green Version]
- Davis, M.B.; Shaw, R.G. Range shifts and adaptive responses to Quaternary climate change. Science 2001, 292, 673–679. [Google Scholar] [CrossRef] [PubMed] [Green Version]
- Kumar, R.; Shamet, G.S.; Chaturvedi, O.P.; Avasthe, R.K.; Singh, C. Ecology of chilgoza pine (Pinus gerardiana Wall) in dry temperate forests of North West Himalaya. Ecol. Environ. Conserv. 2013, 19, 1063–1066. [Google Scholar]
- Parmesan, C.; Hanley, M.E. Plants and climate change: Complexities and surprises. Ann. Bot. 2015, 116, 849–864. [Google Scholar] [CrossRef]
- Ashraf, U.; Ali, H.; Chaudry, M.N.; Ashraf, I.; Batool, A.; Saqib, Z. Predicting the potential distribution of Olea ferruginea in Pakistan incorporating climate change by using Maxent model. Sustainability 2016, 8, 722. [Google Scholar] [CrossRef] [Green Version]
- Ma, B.; Sun, J. Predicting the distribution of Stipa purpurea across the Tibetan Plateau via the MaxEnt model. BMC Ecol. 2018, 18, 10. [Google Scholar] [CrossRef] [Green Version]
- Abdelaal, M.; Fois, M.; Fenu, G.; Bacchetta, G. Using MaxEnt modeling to predict the potential distribution of the endemic plant Rosa arabica Crép. in Egypt. Ecol. Inform. 2019, 50, 68–75. [Google Scholar] [CrossRef]
- Tariq, A.; Shu, H.; Gagnon, A.S.; Li, Q.; Mumtaz, F.; Hysa, A.; Siddique, M.A.; Munir, I. Assessing Burned Areas in Wildfires and Prescribed Fires with Spectral Indices and SAR Images in the Margalla Hills of Pakistan. Forests 2021, 12, 18. [Google Scholar] [CrossRef]
- Koc, D.E.; Svenning, J.C.; Meral, A.V.C.I. Climate change impacts on the potential distribution of Taxus baccata L. in the Eastern Mediterranean and the Bolkar Mountains (Turkey) from last glacial maximum to the future. Eurasian J. For. Sci. 2018, 6, 69–82. [Google Scholar]
- Li, P.; Zhu, W.; Xie, Z.; Qiao, K. Integration of multiple climate models to predict range shifts and identify management priorities of the endangered Taxus wallichiana in the Himalaya–Hengduan Mountain region. J. For. Res. 2020, 31, 2255–2272. [Google Scholar] [CrossRef] [Green Version]
- Khan, W.; Hussain, M.; Ali, K.; Ali, M.; Nisar, M. Distribution and phenotypic variation in Juglans regia L. growing in Hindu Kush ranges of Pakistan. Acta Ecol. Sin. 2020, 40, 363–372. [Google Scholar] [CrossRef]
- Awan, M.N.; Saqib, Z.; Buner, F.; Lee, D.C.; Pervez, A. Using ensemble modeling to predict breeding habitat of the red-listed Western Tragopan (Tragopan melanocephalus) in the Western Himalayas of Pakistan. Glob. Ecol. Conserv. 2021, 31, e01864. [Google Scholar] [CrossRef]
- Khalid, N.; Khan, A.M.; Qureshi, R.; Saqib, Z.; Zahid, N.; Bussmann, R.W. Exploration of important environmental determinants of flowering phenology in the western Himalayan forests of Dhirkot, Azad Jammu and Kashmir, Pakistan. Appl. Ecol. Environ. Res. 2022, 20, 301–337. [Google Scholar] [CrossRef]
- Thuiller, W. BIOMOD—Optimizing predictions of species distributions and projecting potential future shifts under global change. Glob. Chang. Biol. 2003, 9, 1353–1362. [Google Scholar] [CrossRef]
- Hamann, A.; Wang, T. Potential effects of climate change on ecosystem and tree species distribution in British Columbia. Ecology 2006, 87, 2773–2786. [Google Scholar] [CrossRef] [Green Version]
- Fordham, D.A.; Akçakaya, H.R.; Araújo, M.B.; Keith, D.A.; Brook, B.W. Tools for integrating range change, extinction risk and climate change information into conservation management. Ecography 2013, 36, 956–964. [Google Scholar] [CrossRef] [Green Version]
- Tariq, A.; Shu, H.; Siddiqui, S.; Mousa, B.G.; Munir, I.; Nasri, A.; Waqas, H.; Lu, L.; Baqa, M.F. Forest fire monitoring using spatial-statistical and Geo-spatial analysis of factors determining forest fire in Margalla Hills, Islamabad, Pakistan. Geomatics, Nat. Hazards Risk 2021, 12, 1212–1233. [Google Scholar] [CrossRef]
- Rodriguez, L.; Martínez, B.; Tuya, F. Atlantic corals under climate change: Modelling distribution shifts to predict richness, phylogenetic structure and trait-diversity changes. Biodivers. Conserv. 2019, 28, 3873–3890. [Google Scholar] [CrossRef]
- Dunk, J.R.; Woodbridge, B.; Schumaker, N.; Glenn, E.M.; White, B.; LaPlante, D.W.; Thrailkill, J. Conservation planning for species recovery under the Endangered Species Act: A case study with the Northern Spotted Owl. PLoS ONE 2019, 14, e0210643. [Google Scholar] [CrossRef] [PubMed]
- Kaky, E.; Nolan, V.; Alatawi, A.; Gilbert, F. A comparison between Ensemble and MaxEnt species distribution modelling approaches for conservation: A case study with Egyptian medicinal plants. Ecol. Inform. 2020, 60, 101150. [Google Scholar] [CrossRef]
- Merow, C.; Smith, M.J.; Silander, J.R. A practical guide to MaxEnt for modeling species’ distributions: What it does, and why inputs and settings matter. Ecography 2013, 36, 1058–1069. [Google Scholar] [CrossRef]
- Kaky, E.; Gilbert, F. Using species distribution models to assess the importance of Egypt's protected areas for the conservation of medicinal plants. J. Arid Environ. 2016, 135, 140–146. [Google Scholar] [CrossRef] [Green Version]
- Abdelaal, M.; Fois, M.; Dakhil, M.A.; Bacchetta, G.; El-Sherbeny, G.A. Predicting the potential current and future distribution of the endangered endemic vascular plant Primula Boveana Decne. ex Duby in Egypt. Plants 2020, 9, 957. [Google Scholar] [CrossRef]
- Fois, M.; Cuena-Lombraña, A.; Fenu, G.; Bacchetta, G. Using species distribution models at local scale to guide the search of poorly known species: Review, methodological issues and future directions. Ecol. Model. 2018, 385, 124–132. [Google Scholar] [CrossRef] [Green Version]
- Kaky, E.; Gilbert, F. Allowing for human socioeconomic impacts in the conservation of plants under climate change. Plant Biosyst. 2019, 154, 295–305. [Google Scholar] [CrossRef]
- Majeed, M.; Bhatti, K.H.; Pieroni, A.; Sõukand, R.; Bussmann, R.W.; Khan, A.M.; Chaudhari, S.K.; Aziz, M.A.; Amjad, M.S. Gathered Wild Food Plants among Diverse Religious Groups in Jhelum District, Punjab, Pakistan. Foods 2021, 10, 594. [Google Scholar] [CrossRef]
- Liang, E.; Leuschner, C.; Dulamsuren, C.; Wagner, B.; Hauck, M. Global warming-related tree growth decline and mortality on the north-eastern Tibetan plateau. Clim. Chang. 2016, 134, 163–176. [Google Scholar] [CrossRef]
- Liang, E.Y.; Wang, Y.F.; Piao, S.L.; Lu, X.M.; Camarero, J.J.; Zhu, H.F.; Zhu, L.P.; Ellison, A.M.; Ciais, P.; Pen˜uelas, J. Species interactions slow warming-induced upward shifts of treelines on the Tibetan Plateau. Proc. Natl. Acad. Sci. USA 2016, 113, 4380–4385. [Google Scholar] [CrossRef] [PubMed] [Green Version]
- Liang, Y.; Duveneck, M.J.; Gustafson, E.J.; Serra-Diaz, J.M.; Thompson, J.R. How disturbance, competition, and dispersal interact to prevent tree range boundaries from keeping pace with climate change. Glob. Chang. Biol. 2018, 24, e335–e351. [Google Scholar] [CrossRef]
- Wang, D.J.; Wei, H.Y.; Zhang, X.H.; Fang, Y.Q.; Gu, W. Habitat suitability modeling based on remote sensing to realize time synchronization of species and environmental variables. J. Plant Ecol. 2021, 14, 241–256. [Google Scholar] [CrossRef]
- Wang, W.J.; He, H.S.; Thompson, F.R.; Spetich, M.A.; Fraser, J.S. Effects of species biological traits and environmental heterogeneity on simulated tree species distribution shifts under climate change. Sci. Total Environ. 2018, 634, 1214–1221. [Google Scholar] [CrossRef] [PubMed]
- Poudel, R.C.; Moller, M.; Liu, J.; Gao, L.M.; Baral, S.R.; Li, D.Z. Low genetic diversity and high inbreeding of the endangered yews in Central Himalaya: Implications for conservation of their highly fragmented populations. Divers. Distrib. 2014, 20, 1270–1284. [Google Scholar] [CrossRef]
- Tariq, A.; Riaz, I.; Ahmad, Z.; Amin, M.; Kausar, R.; Andleeb, S.; Farooqi, M.A.; Rafiq, M. Land surface temperature relation with normalized satellite indices for the estimation of spatio-temporal trends in temperature among various land use land cover classes of an arid Potohar region using Landsat data. Environ. Earth Sci. 2020, 79, 40. [Google Scholar] [CrossRef]
- Tariq, A.; Shu, H. CA-Markov chain analysis of seasonal land surface temperature and land use landcover change using optical multi-temporal satellite data of Faisalabad, Pakistan. Remote Sens. 2020, 12, 3402. [Google Scholar] [CrossRef]
- Tariq, A.; Shu, H.; Siddiqui, S.; Imran, M.; Farhan, M. Monitoring land use and land cover changes using geospatial techniques, a case study of Fateh Jang, Attock, Pakistan. Geogr. Environ. Sustain. 2021, 14, 41–52. [Google Scholar] [CrossRef]
- Baqa, M.F.; Chen, F.; Lu, L.; Qureshi, S.; Tariq, A.; Wang, S.; Jing, L.; Hamza, S.; Li, Q. Monitoring and modeling the patterns and trends of urban growth using urban sprawl matrix and CA-Markov model: A case study of Karachi, Pakistan. Land 2021, 10, 700. [Google Scholar] [CrossRef]
- Hu, P.; Sharifi, A.; Tahir, M.N.; Tariq, A.; Zhang, L.; Mumtaz, F.; Shah, S.H.I.A. Evaluation of Vegetation Indices and Phenological Metrics Using Time-Series MODIS Data for Monitoring Vegetation Change in Punjab, Pakistan. Water 2021, 13, 2550. [Google Scholar] [CrossRef]
- Sharifi, A.; Mahdipour, H.; Moradi, E.; Tariq, A. Agricultural Field Extraction with Deep Learning Algorithm and Satellite Imagery. J. Indian Soc. Remote Sens. 2022, 50, 417–423. [Google Scholar] [CrossRef]
- Benito, B.M.; Cayuela, L.; Albuquerque, F.S. The impact of modelling choices in the predictive performance of richness maps derived from species-distribution models: Guidelines to build better diversity models. Methods Ecol. Evol. 2013, 4, 327–335. [Google Scholar] [CrossRef]
- Distler, T.; Schuetz, J.G.; Velásquez-Tibatá, J.; Langham, G.M. Stacked species distribution models and macroecological models provide congruent projections of avian species richness under climate change. J. Biogeogr. 2015, 42, 976–988. [Google Scholar] [CrossRef]
- Alatawi, A.S.; Gilbert, F.; Reader, T. Modelling terrestrial reptile species richness, distributions and habitat suitability in Saudi Arabia. J. Arid Environ. 2020, 178, 104–153. [Google Scholar] [CrossRef]
- Gilani, H.; Goheer, M.A.; Ahmad, H.; Hussain, K. Under predicted climate change: Distribution and ecological niche modelling of six native tree species in Gilgit-Baltistan, Pakistan. Ecol. Indic. 2020, 111, 106049. [Google Scholar] [CrossRef]
Publisher’s Note: MDPI stays neutral with regard to jurisdictional claims in published maps and institutional affiliations. |
© 2022 by the authors. Licensee MDPI, Basel, Switzerland. This article is an open access article distributed under the terms and conditions of the Creative Commons Attribution (CC BY) license (https://creativecommons.org/licenses/by/4.0/).








