Study of the Vertical Structures, Thermal Comfort, Negative Air Ions, and Human Physiological Stress of Forest Walking Spaces in Summer
Abstract
:1. Introduction
1.1. Forest Walking and Physiological Stress
1.2. Vertical Structure–Thermal Comfort and Negative Air Ions
1.3. Thermal Comfort and Negative Air Ion–Physiological Stress
1.4. Objective and Hypotheses
2. Materials and Methods
2.1. Experimental Site
2.2. Data Measurement
2.2.1. Physiological Stress
2.2.2. PET and NAI
2.3. Statistical Analysis
3. Results
3.1. Differences in PET and NAI among Forest Walking Spaces with Three Vertical Structure Types
3.2. PET and NAI Values of Each Period
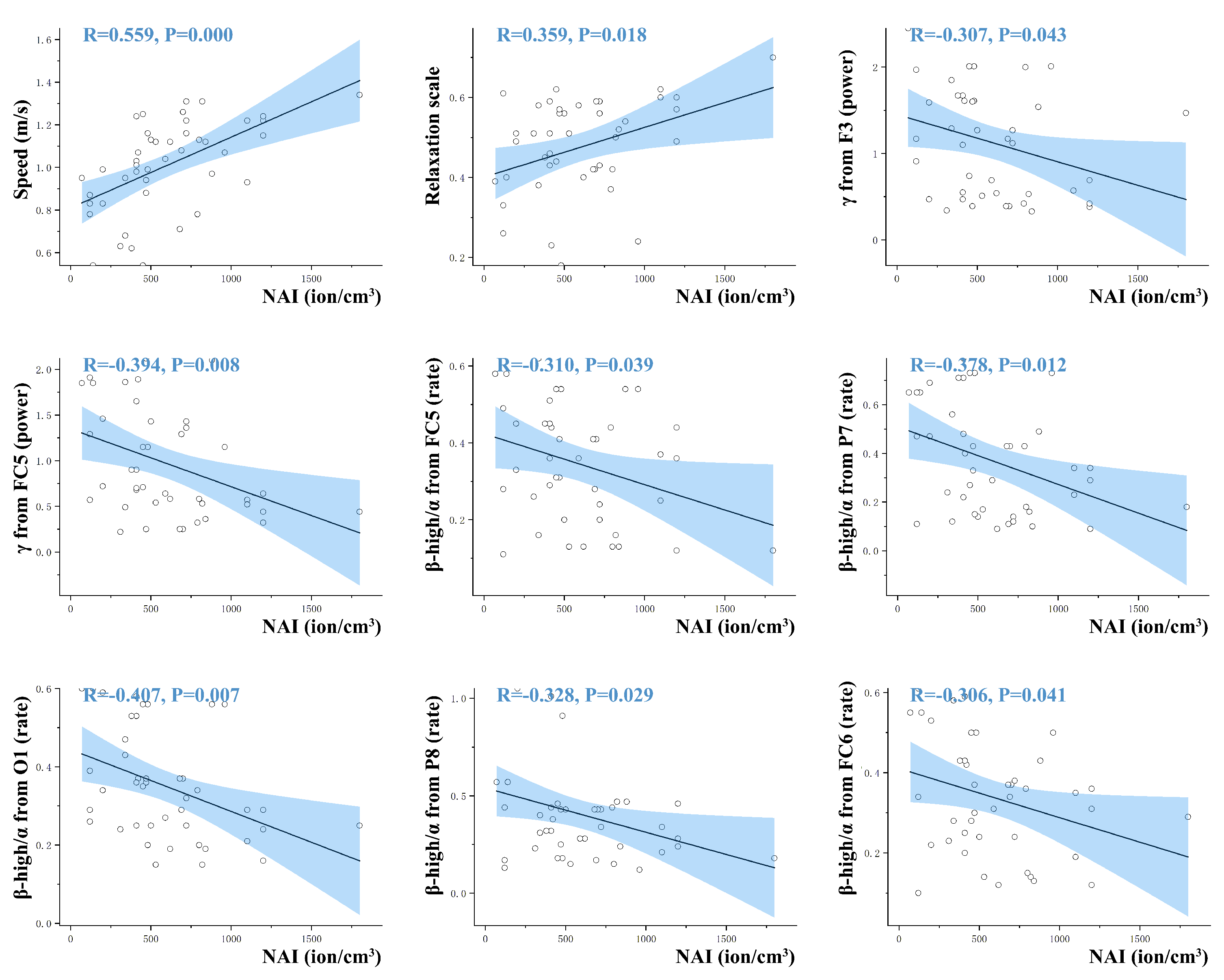
3.3. Correlations among PET, NAI and Physiological Stress Indicators
4. Discussion
4.1. Effect of the Vertical Forest Structure on Thermal Comfort and NAI
4.1.1. Vertical Structure and the PET
4.1.2. Vertical Structure and NAI
4.1.3. Dynamic Changes in the PET and NAI
4.2. Responses of Physiological Stress Indicators to Thermal Comfort and NAI
4.2.1. PET and EEG
4.2.2. PET and HR
4.2.3. NAI and EEG
4.2.4. Consistency of Responses
4.3. Application
4.4. Limitations
5. Conclusions
Author Contributions
Funding
Institutional Review Board Statement
Informed Consent Statement
Conflicts of Interest
Appendix A
| Day and Time | Subsection | Ta (°C) | RH (%) | v (m/s) | Ts (°C) | G (W/m2) | PET (°C) | NAI (ion/cm3) |
|---|---|---|---|---|---|---|---|---|
| Be. | ||||||||
| 10:30~ 11:00 | A | 25.6 | 59.7 | 0.8 | 32.5 | 800 | 39.4 | 530 |
| B | 26.1 | 60.6 | 0 | 25.8 | 100 | 26.1 | 820 | |
| C | 24.9 | 66.5 | 0.6 | 19.4 | 35 | 20.4 | 1100 | |
| 11:00~ 11:30 | A | 26.9 | 58.6 | 0.2 | 44.5 | 800 | 47.6 | 470 |
| B | 26.1 | 63.3 | 0 | 23.8 | 82 | 25.1 | 880 | |
| C | 23.8 | 66.3 | 0 | 22.6 | 56 | 22.5 | 890 | |
| 11:30~ 12:00 | A | 28.9 | 57.3 | 0 | 43.1 | 660 | 48.6 | 200 |
| B | 25.5 | 56.8 | 0.2 | 26.6 | 180 | 26.8 | 410 | |
| C | 24.3 | 59 | 0.8 | 23.8 | 71 | 21 | 420 | |
| 12:00~ 12:30 | A | 27.9 | 58 | 0 | 49 | 403 | 42.6 | 70 |
| B | 29.2 | 55.2 | 0 | 40.6 | 210 | 35.3 | 410 | |
| C | 27.6 | 53.6 | 0 | 26.5 | 110 | 27.4 | 480 | |
| 12:30~ 13:00 | A | 30 | 49 | 0 | 50 | 305 | 41.3 | 140 |
| B | 26.9 | 51 | 0 | 32 | 250 | 32.5 | 380 | |
| C | 26.3 | 59 | 0.6 | 26 | 280 | 28.5 | 450 | |
| 13:00~ 13:30 | A | 28.7 | 50.9 | 0 | 46.5 | 260 | 38.2 | 120 |
| B | 26.5 | 57 | 0 | 38 | 220 | 33.2 | 420 | |
| C | 25.9 | 55 | 0.2 | 31.3 | 190 | 28.5 | 340 | |
| 13:30~ 14:00 | A | 27.4 | 58.3 | 0.4 | 41.5 | 215 | 32 | 150 |
| B | 26.6 | 56 | 0 | 34 | 420 | 37.9 | 500 | |
| C | 25.7 | 59 | 0 | 29.5 | 83 | 26.3 | 370 | |
| 14:00~ 14:30 | A | 25.8 | 59 | 0 | 35.7 | 166 | 30.6 | 120 |
| B | 25.5 | 57.6 | 0 | 29.4 | 120 | 27.2 | 470 | |
| C | 24.7 | 65.3 | 0 | 25.6 | 76 | 24.5 | 410 | |
| Af. | ||||||||
| 10:30~ 11:00 | A | 19.5 | 85 | 0 | 24.8 | 83 | 21.4 | 690 |
| B | 19.7 | 84.3 | 0 | 20.5 | 54 | 19.4 | 720 | |
| C | 19.6 | 84.6 | 0 | 18.5 | 31 | 18.1 | 720 | |
| 11:00~ 11:30 | A | 20.2 | 86.7 | 0 | 25.8 | 125 | 23.4 | 310 |
| B | 19.9 | 81.9 | 0 | 21.9 | 80.6 | 20.7 | 680 | |
| C | 20 | 81.8 | 0 | 19.2 | 38 | 18.7 | 790 | |
| 11:30~ 12:00 | A | 20.2 | 84 | 0 | 25.1 | 159 | 24.2 | 370 |
| B | 19.8 | 80 | 0 | 22.6 | 110 | 21.7 | 590 | |
| C | 20.5 | 81.6 | 0 | 20.1 | 68 | 20.3 | 1100 | |
| 12:00~ 12:30 | A | 23.3 | 75.6 | 0.2 | 37 | 400 | 33.4 | 350 |
| B | 22.6 | 70.9 | 0 | 29.8 | 185 | 27.6 | 1200 | |
| C | 22.9 | 68.4 | 0 | 22.1 | 78 | 22.5 | 1200 | |
| 12:30~ 13:00 | A | 25.2 | 60.2 | 0 | 34.8 | 280 | 33.3 | 480 |
| B | 24.4 | 68.2 | 0 | 27.8 | 12.5 | 23 | 700 | |
| C | 22.5 | 66.5 | 0 | 23.5 | 79 | 22.6 | 960 | |
| 13:00~ 13:30 | A | 23.2 | 61.5 | 0 | 38.2 | 330 | 34.5 | 620 |
| B | 22.8 | 65.5 | 0 | 34.5 | 310 | 32.7 | 1200 | |
| C | 22.7 | 64.6 | 0.4 | 30.5 | 258 | 26.4 | 840 | |
| 13:30~ 14:00 | A | 26.5 | 56.2 | 0 | 39.8 | 510 | 42 | 800 |
| B | 26.2 | 62.1 | 0 | 31.6 | 178 | 30.1 | 1800 | |
| C | 23.9 | 55 | 0 | 23.5 | 76.8 | 23.2 | 1100 | |
| 14:00~ 14:30 | A | 28.2 | 57 | 0 | 56.5 | 910 | 59 | 630 |
| B | 26.8 | 61.9 | 0 | 51 | 810 | 53.9 | 680 | |
| C | 23.8 | 54.2 | 0.6 | 22.4 | 56.5 | 20.2 | 870 |
| Indicator | Subsection | N | M | SD | F | Sig. | Pairwise Comparison |
|---|---|---|---|---|---|---|---|
| PET | A | 16 | 34.338 | 10.652 | 3.417 | 0.042 * | A > C * |
| B | 16 | 29.394 | 9.858 | ||||
| C | 16 | 26.007 | 5.993 | ||||
| NAI | A | 16 | 378.125 | 232.844 | 7.496 | 0.002 ** | A < B ** A < C ** |
| B | 16 | 741.250 | 381.643 | ||||
| C | 16 | 752.500 | 300.943 |
| Indicator | Day | N | M | SD | F | Sig. | Pairwise Comparison |
|---|---|---|---|---|---|---|---|
| PET | Be. | 24 | 34.817 | 9.061 | 17.099 | 0.000 * | Be. > Af. ** |
| Af. | 24 | 25.009 | 7.275 | ||||
| NAI | Be. | 24 | 439.583 | 262.653 | 17.973 | 0.000 ** | Be. < Af. ** |
| Af. | 24 | 808.333 | 335.542 |
References
- Stigsdotter, U.K.; Ekholm, O.; Schipperijn, J.; Toftager, M.; Kamper-Jørgensen, F.; Randrup, T.B. Health promoting outdoor environments—Associations between green space, and health, health-related quality of life and stress based on a Danish national representative survey. Scand. J. Public Health 2010, 38, 411–417. [Google Scholar] [CrossRef] [PubMed]
- Wallner, P.; Kundi, M.; Arnberger, A.; Eder, R.; Allex, B.; Weitensfelder, L.; Hutter, H.-P. Reloading Pupils’ Batteries: Impact of Green Spaces on Cognition and Wellbeing. Int. J. Environ. Res. Public Health 2018, 15, 1205. [Google Scholar] [CrossRef] [Green Version]
- Chang, C.-Y.; Hammitt, W.E.; Chen, P.-K.; Machnik, L.; Su, W.-C. Psychophysiological responses and restorative values of natural environments in Taiwan. Landsc. Urban Plan. 2008, 85, 79–84. [Google Scholar] [CrossRef]
- Park, B.-J.; Tsunetsugu, Y.; Kasetani, T.; Morikawa, T.; Kagawa, T.; Miyazaki, Y. Physiological effects of forest recreation in a young conifer forest in Hinokage Town, Japan. Silva Fenn. 2009, 43, 291–301. [Google Scholar] [CrossRef] [Green Version]
- Yu, Y.-M.; Lee, Y.-J.; Kim, J.-Y.; Yoon, S.-B.; Shin, C.-S. Effects of forest therapy camp on quality of life and stress in postmenopausal women. For. Sci. Technol. 2016, 12, 125–129. [Google Scholar] [CrossRef]
- Song, C.; Ikei, H.; Miyazaki, Y. Sustained effects of a forest therapy program on the blood pressure of office workers. Urban For. Urban Green. 2017, 27, 246–252. [Google Scholar] [CrossRef]
- Chiang, Y.-C.; Li, D.; Jane, H.-A. Wild or tended nature? The effects of landscape location and vegetation density on physiological and psychological responses. Landsc. Urban Plan. 2017, 167, 72–83. [Google Scholar] [CrossRef]
- Song, C.; Ikei, H.; Kobayashi, M.; Miura, T.; Li, Q.; Kagawa, T.; Kumeda, S.; Imai, M.; Miyazaki, Y. Effects of viewing forest landscape on middle-aged hypertensive men. Urban For. Urban Green. 2017, 21, 247–252. [Google Scholar] [CrossRef]
- Sanusi, R.; Johnstone, D.; May, P.; Livesley, S. Microclimate benefits that different street tree species provide to sidewalk pedestrians relate to differences in Plant Area Index. Landsc. Urban Plan. 2017, 157, 502–511. [Google Scholar] [CrossRef]
- de Abreu-Harbich, L.V.; Labaki, L.C.; Matzarakis, A. Effect of tree planting design and tree species on human thermal comfort in the tropics. Landsc. Urban Plan. 2015, 138, 99–109. [Google Scholar] [CrossRef]
- Zheng, S.; Guldmann, J.-M.; Liu, Z.; Zhao, L. Influence of trees on the outdoor thermal environment in subtropical areas: An experimental study in Guangzhou, China. Sustain. Cities Soc. 2018, 42, 482–497. [Google Scholar] [CrossRef]
- Chow, W.T.; Akbar, S.N.A.B.A.; Heng, S.L.; Roth, M. Assessment of measured and perceived microclimates within a tropical urban forest. Urban For. Urban Green. 2016, 16, 62–75. [Google Scholar] [CrossRef] [Green Version]
- Kong, L.; Lau, K.K.-L.; Yuan, C.; Chen, Y.; Xu, Y.; Ren, C.; Ng, E.Y.Y. Regulation of outdoor thermal comfort by trees in Hong Kong. Sustain. Cities Soc. 2017, 31, 12–25. [Google Scholar] [CrossRef]
- Wang, Y.; Ni, Z.; Peng, Y.; Xia, B. Local variation of outdoor thermal comfort in different urban green spaces in Guangzhou, a subtropical city in South China. Urban For. Urban Green. 2018, 32, 99–112. [Google Scholar] [CrossRef]
- Ketterer, C.; Matzarakis, A. Human-biometeorological assessment of heat stress reduction by replanning measures in Stuttgart, Germany. Landsc. Urban Plan. 2014, 122, 78–88. [Google Scholar] [CrossRef]
- Chen, J.; Jin, S.; Du, P. Roles of horizontal and vertical tree canopy structure in mitigating daytime and nighttime urban heat island effects. Int. J. Appl. Earth Obs. Geoinf. 2020, 89, 102060. [Google Scholar] [CrossRef]
- Kim, J.-H.; Oh, D.-K.; Park, Y.-G.; Yoon, Y.-H. A Comparative Analysis of Negative Air Ions according to the Planting Structure at School Forests. J. Korean Inst. Landsc. Arch. 2015, 43, 55–64. [Google Scholar] [CrossRef] [Green Version]
- Lin, W.; Zeng, C.; Lam, N.S.-N.; Liu, Z.; Tao, J.; Zhang, X.; Lyu, B.; Li, N.; Li, D.; Chen, Q. Study of the relationship between the spatial structure and thermal comfort of a pure forest with four distinct seasons at the microscale level. Urban For. Urban Green. 2021, 62, 127168. [Google Scholar] [CrossRef]
- Sodoudi, S.; Zhang, H.; Chi, X.; Müller, F.; Li, H. The influence of spatial configuration of green areas on microclimate and thermal comfort. Urban For. Urban Green. 2018, 34, 85–96. [Google Scholar] [CrossRef]
- ASHRAE. Thermal comfort conditions. In ASHRAE Standards; ASHRAE: New York, NY, USA, 1966; pp. 55–66. [Google Scholar]
- Fanger, P.O. Thermal Comfort; McGraw-Hill: New York, NY, USA, 1972. [Google Scholar]
- Parsons, K. Human Thermal Environments: The Effects of Hot, Moderate and Cold Environments on Human Health, Comfort and Performance; Taylor and Francis: New York, NY, USA, 2003. [Google Scholar]
- Kántor, N.; Unger, J. Benefits and opportunities of adopting GIS in thermal comfort studies in resting places: An urban park as an example. Landsc. Urban Plan. 2010, 98, 36–46. [Google Scholar] [CrossRef]
- Lai, D.; Guo, D.; Hou, Y.; Lin, C.; Chen, Q. Studies of outdoor thermal comfort in northern China. Build. Environ. 2014, 77, 110–118. [Google Scholar] [CrossRef]
- Lin, T.-P.; de Dear, R.; Hwang, R.-L. Effect of thermal adaptation on seasonal outdoor thermal comfort. Int. J. Clim. 2011, 31, 302–312. [Google Scholar] [CrossRef]
- Lin, T.-P.; Tsai, K.-T.; Hwang, R.-L.; Matzarakis, A. Quantification of the effect of thermal indices and sky view factor on park attendance. Landsc. Urban Plan. 2012, 107, 137–146. [Google Scholar] [CrossRef]
- Klemm, W.; Heusinkveld, B.G.; Lenzholzer, S.; Jacobs, M.H.; Van Hove, B. Psychological and physical impact of urban green spaces on outdoor thermal comfort during summertime in The Netherlands. Build. Environ. 2015, 83, 120–128. [Google Scholar] [CrossRef]
- Li, K.; Liu, X.; Zhou, J. Impact of environmental characteristics in urban green spaces on outdoor thermal environment: A case study of Wuhan City, China. Indoor Built Environ. 2019, 28, 1217–1236. [Google Scholar] [CrossRef]
- Sun, S.; Xu, X.; Lao, Z.; Liu, W.; Li, Z.; Garcia, E.H.; He, L.; Zhu, J. Evaluating the impact of urban green space and landscape design parameters on thermal comfort in hot summer by numerical simulation. Build. Environ. 2017, 123, 277–288. [Google Scholar] [CrossRef]
- Höppe, P. The physiological equivalent temperature–a universal index for the biometeorological assessment of the thermal environment. Int. J. Biometeorol. 1999, 43, 71–75. [Google Scholar] [CrossRef]
- Matzarakis, A.; Mayer, H.; Iziomon, M. Applications of a universal thermal index: Physiological equivalent temperature. Int. J. Biometeorol. 1999, 43, 76–84. [Google Scholar] [CrossRef]
- Matzarakis, A.; Rutz, F.; Mayer, H. Modelling radiation fluxes in simple and complex environments—Application of the RayMan model. Int. J. Biometeorol. 2007, 51, 323–334. [Google Scholar] [CrossRef]
- Zhu, S.-X.; Hu, F.-F.; He, S.-Y.; Qiu, Q.; Su, Y.; He, Q.; Li, J.-Y. Comprehensive Evaluation of Healthcare Benefits of Different Forest Types: A Case Study in Shimen National Forest Park, China. Forests 2021, 12, 207. [Google Scholar] [CrossRef]
- Duan, W.; Wang, C.; Pei, N.; Zhang, C.; Gu, L.; Jiang, S.; Hao, Z.; Xu, X. Urban forests increase spontaneous activity and improve emotional state of white mice. Urban For. Urban Green. 2019, 46, 126449. [Google Scholar] [CrossRef]
- Liu, X.; Yu, X.; Zhang, Z. PM2.5 Concentration Differences between Various Forest Types and Its Correlation with Forest Structure. Atmosphere 2015, 6, 1801–1815. [Google Scholar] [CrossRef] [Green Version]
- Bai, K.; Li, K.; Chang, N.-B.; Gao, W. Advancing the prediction accuracy of satellite-based PM2.5 concentration mapping: A perspective of data mining through in situ PM2.5 measurements. Environ. Pollut. 2019, 254, 113047. [Google Scholar] [CrossRef] [PubMed]
- Wu, M.; Li, H.; Qi, H. Using electroencephalogram to continuously discriminate feelings of personal thermal comfort between uncomfortably hot and comfortable environments. Indoor Air 2020, 30, 534–543. [Google Scholar] [CrossRef]
- Son, Y.J.; Chun, C. Research on electroencephalogram to measure thermal pleasure in thermal alliesthesia in temperature step-change environment. Indoor Air 2018, 28, 916–923. [Google Scholar] [CrossRef]
- Kim, H.; Hong, T.; Kim, J.; Yeom, S. A psychophysiological effect of indoor thermal condition on college students’ learning performance through EEG measurement. Build. Environ. 2020, 184, 107223. [Google Scholar] [CrossRef]
- Kim, M.; Chong, S.C.; Chun, C.; Choi, Y. Effect of thermal sensation on emotional responses as measured through brain waves. Build. Environ. 2017, 118, 32–39. [Google Scholar] [CrossRef]
- Choi, Y.; Kim, M.; Chun, C. Measurement of occupants’ stress based on electroencephalograms (EEG) in twelve combined environments. Build. Environ. 2015, 88, 65–72. [Google Scholar] [CrossRef]
- Ko, W.H.; Schiavon, S.; Zhang, H.; Graham, L.T.; Brager, G.; Mauss, I.; Lin, Y.-W. The impact of a view from a window on thermal comfort, emotion, and cognitive performance. Build. Environ. 2020, 175, 106779. [Google Scholar] [CrossRef] [Green Version]
- Hagiwara, G.; Mankyu, H.; Tsunokawa, T.; Matsumoto, M.; Funamori, H. Effectiveness of Positive and Negative Ions for Elite Japanese Swimmers’ Physical Training: Subjective and Biological Emotional Evaluations. Appl. Sci. 2020, 10, 4198. [Google Scholar] [CrossRef]
- Assael, M.; Pfeifer, Y.; Sulman, F.G. Influence of artificial air ionisation on the human electroencephalogram. Int. J. Biometeorol. 1974, 18, 306–312. [Google Scholar] [CrossRef] [PubMed]
- Ulrich, R.S.; Simons, R.F.; Losito, B.D.; Fiorito, E.; Miles, M.A.; Zelson, M. Stress recovery during exposure to natural and urban environments. J. Environ. Psychol. 1991, 11, 201–230. [Google Scholar] [CrossRef]
- Neale, C.; Aspinall, P.; Roe, J.; Tilley, S.; Mavros, P.; Cinderby, S.; Coyne, R.; Thin, N.; Bennett, G.; Thompson, C.W. The Aging Urban Brain: Analyzing Outdoor Physical Activity Using the Emotiv Affectiv Suite in Older People. J. Hered. 2017, 94, 869–880. [Google Scholar] [CrossRef] [Green Version]
- Aspinall, P.; Mavros, P.; Coyne, R.; Roe, J. The urban brain: Analysing outdoor physical activity with mobile EEG. Br. J. Sports Med. 2015, 49, 272–276. [Google Scholar] [CrossRef] [Green Version]
- Horiuchi, M.; Handa, Y.; Fukuoka, Y. Impact of ambient temperature on energy cost and economical speed during level walking in healthy young males. Biol. Open 2018, 7, bio035121. [Google Scholar] [CrossRef] [PubMed] [Green Version]
- Szot, T.; Specht, C.; Dabrowski, P.S.; Specht, M. Comparative analysis of positioning accuracy of Garmin Forerunner wearable GNSS receivers in dynamic testing. Measurement 2021, 183, 109846. [Google Scholar] [CrossRef]
- Elsoragaby, S.; Yahya, A.; Nawi, N.M.; Mahadi, M.R.; Mairghany, M.; Muazu, A.; Shukery, M.F. Comparison between conventional human energy measurement and physical human energy measurement methods in wetland rice production. Heliyon 2020, 6, e05332. [Google Scholar] [CrossRef]
- Hsu, B.-W.; Wang, M.-J.J. Evaluating the Effectiveness of Using Electroencephalogram Power Indices to Measure Visual Fatigue. Percept. Mot. Ski. 2013, 116, 235–252. [Google Scholar] [CrossRef]
- Kim, J.-Y.; Kim, J.-T.; Kim, W. Psycho-physiological responses of drivers to road section types and elapsed driving time on a freeway. Can. J. Civ. Eng. 2015, 42, 881–888. [Google Scholar] [CrossRef] [Green Version]
- Wang, C.; Wang, Z.-H.; Ryu, Y.-H. A single-layer urban canopy model with transmissive radiation exchange between trees and street canyons. Build. Environ. 2021, 191, 107593. [Google Scholar] [CrossRef]
- Liang, H.; Chen, X.; Yin, J.; Da, L. The spatial-temporal pattern and influencing factors of negative air ions in urban forests, Shanghai, China. J. For. Res. 2014, 25, 847–856. [Google Scholar] [CrossRef]
- Yue, C.; Yuxin, Z.; Nan, Z.; Dongyou, Z.; Jiangning, Y. An inversion model for estimating the negative air ion concentration using MODIS images of the Daxing’anling region. PLoS ONE 2020, 15, e0242554. [Google Scholar] [CrossRef] [PubMed]
- Miao, S.; Zhang, X.; Han, Y.; Sun, W.; Liu, C.; Yin, S. Random Forest Algorithm for the Relationship between Negative Air Ions and Environmental Factors in an Urban Park. Atmosphere 2018, 9, 463. [Google Scholar] [CrossRef] [Green Version]
- Wang, H.; Wang, B.; Niuabc, X.; Songac, Q.; Lid, M.; Luod, Y.; Liangd, L.; Dud, P.; Pengd, W. Study on the change of negative air ion concentration and its influencing factors at different spatio-temporal scales. Glob. Ecol. Conserv. 2020, 23, e01008. [Google Scholar] [CrossRef]
- Han, J.; Chun, C. Differences between EEG during thermal discomfort and thermal displeasure. Build. Environ. 2021, 204, 108220. [Google Scholar] [CrossRef]
- Zhu, M.; Liu, W.; Wargocki, P. Changes in EEG signals during the cognitive activity at varying air temperature and relative humidity. J. Expo. Sci. Environ. Epidemiol. 2020, 30, 285–298. [Google Scholar] [CrossRef] [Green Version]
- Tian, X.; Deng, Y.; Wargocki, P.; Liu, W. Effects of increased activity level on physiological and subjective responses at different high temperatures. Build. Environ. 2021, 201, 108011. [Google Scholar] [CrossRef]









Publisher’s Note: MDPI stays neutral with regard to jurisdictional claims in published maps and institutional affiliations. |
© 2022 by the authors. Licensee MDPI, Basel, Switzerland. This article is an open access article distributed under the terms and conditions of the Creative Commons Attribution (CC BY) license (https://creativecommons.org/licenses/by/4.0/).
Share and Cite
Lin, W.; Zeng, C.; Nie, W.; Nan, X.; Shen, S.; Shi, Y.; Yan, H.; Yang, F.; Wu, R.; Bao, Z. Study of the Vertical Structures, Thermal Comfort, Negative Air Ions, and Human Physiological Stress of Forest Walking Spaces in Summer. Forests 2022, 13, 335. https://doi.org/10.3390/f13020335
Lin W, Zeng C, Nie W, Nan X, Shen S, Shi Y, Yan H, Yang F, Wu R, Bao Z. Study of the Vertical Structures, Thermal Comfort, Negative Air Ions, and Human Physiological Stress of Forest Walking Spaces in Summer. Forests. 2022; 13(2):335. https://doi.org/10.3390/f13020335
Chicago/Turabian StyleLin, Wei, Chengcheng Zeng, Wenbin Nie, Xinge Nan, Shanshan Shen, Yan Shi, Hai Yan, Fan Yang, Renwu Wu, and Zhiyi Bao. 2022. "Study of the Vertical Structures, Thermal Comfort, Negative Air Ions, and Human Physiological Stress of Forest Walking Spaces in Summer" Forests 13, no. 2: 335. https://doi.org/10.3390/f13020335
APA StyleLin, W., Zeng, C., Nie, W., Nan, X., Shen, S., Shi, Y., Yan, H., Yang, F., Wu, R., & Bao, Z. (2022). Study of the Vertical Structures, Thermal Comfort, Negative Air Ions, and Human Physiological Stress of Forest Walking Spaces in Summer. Forests, 13(2), 335. https://doi.org/10.3390/f13020335

