Abstract
Diterpene resin acids (DRAs) are major components of pine oleoresin that can effectively resist the invasion of insects and pathogenic microorganisms. The subfamily of cytochrome P450s, CYP720B, catalyzes diterpene products into DRAs. Identifying CYP720B subfamily members and revealing the characteristics of tissue-specific expression would help understand diterpene-rich structures and diverse types. Slash pine and loblolly pine are important pines that provide oleoresin products. In this study, we identified CYP720B candidate genes based on the Pinus taeda V2.0 genome and full-length transcriptome of slash pine by PacBio. A total of 17 genes in slash pine and 19 in loblolly pine were identified and classified into four main clades by phylogenetic analysis. An analysis of cis-acting elements showed that CYP720B genes were closely related to adversity resistance. The gene expression of these candidates in different tissues was quantified by real-time quantitative PCR (RT–qPCR) analysis. Most of the genes showed relatively higher expression levels in roots and stems than in the other tissues, corresponding with the results of DRA component detection by gas chromatography–mass spectrometry (GC–MS), which indicated that stems and roots might be important tissues in oleoresin biosynthesis. These results provide a valuable resource for a better understanding of the biological role of individual CYP720Bs in slash pine and loblolly pine.
1. Introduction
Diterpene resin acids (DRAs), which contain complex and variable diterpenoids, are important renewable resources of industrial biological products and have been widely exploited worldwide [1]. DRAs play a pivotal role in modern industrial applications and national economic development, such as in the production of solvents, flavors, fragrances, coatings, and resins [2,3,4]. DRAs, which are major components of pine oleoresin, play a critical role in conifer defense against insects and pathogens [5]. DRAs are distributed in resin canals, needles, stems, and roots. When herbivores or pathogenic microorganisms destroy these plant tissues, conifers produce a series of volatile mono- and sesquiterpene oleoresins to push insects out of the site of entry. The released DRAs can also clean and seal wounds [1]. Compared with mono- and sesquiterpenoids, detailed and thorough research on diterpenes for plants and insects is lacking. Many conifers produce tricyclic diterpene acids such as abietic, dehydroabietic, isopimaric, levopimaric, neoabietic, palustric, pimaric, and sandaracopimaric acids [1]. DRAs, originating from a common acyclic biosynthetic precursor (geranylgeranyl diphosphate, GGPP), are composed of 20-carbon bi- or tricyclic carboxylic acids of carbon skeletal types, commonly catalyzed by terpene synthases (TPSs) and cytochrome P450 enzymes (P450s) [6]. Their biosynthesis involves two steps: (1) diTPS catalyzes GGPP for multistep cyclization and rearrangement to produce various bicyclic or tricyclic diterpenes; (2) carbon-18 in diterpenes is oxidized three times by P450s to form corresponding DRAs [7,8]. Diterpene synthase causes the structural diversity of the diterpene backbone, and P450s catalyze various oxidation and hydroxylation reactions in the primary and secondary metabolic processes of plants to produce various defensive DRAs [9,10].
The dominant catalyst for the biosynthesis of tricyclic DRAs is CYP720B from the CYP85 clan, which can accept various olefinic precursors (abietadiene and abietadiene-like, pimaradiene and pimaradiene-like, palustrastradiene, and dehydrabietadiene/abietatriene) or 13-hydroxy-8 (14)-abietene as substrates, which are unique to resinous conifers [11]. The CYP720B subfamily is known to be divided into four distinct clades (I–IV) [12]. The expression level of CYP720Bs can be increased after the conifers are injured, indicating that CYP720Bs are an important defense response gene in conifers [13]. For example, in Picea abies (L.) H.Karst., a large amount of DRAs accumulate and effectively prevent the invasion of Ceratocystis polonica after treatment with methyl jasmonate (MeJA), which is a lipophilic, linolenic-acid-derived plant hormone [14]. The expression levels of CYP720B1 in Pinus taeda Linn. [15], CYP720B4 in Picea sitchensis (Bong.) Carrière [16], and CYP720B19 in Pinus armandi Franch. [17] are also significantly increased after treatment with MeJA. However, additional members of the CYP720B subfamily in conifers were recently described and remain to be functionally characterized [7,15,16].
Slash pine (Pinus elliottii. Engelm) and loblolly pine (Pinus taeda) have been widely cultivated in southern China since they were introduced from the southeastern United States in the last century [18]. With the advantages of fast growth, great strength, and high resin yield, slash pine and loblolly pine are widely used in industrial production, including the production of timber, paper, and oleoresin [19]. With the rapid development of domestic adhesives, coatings, inks, synthetic rubber, and other downstream industries, the global demand for resins continues to increase [20,21]. However, the discovery and verification of the gene function of the resin synthesis pathway are still at an early stage. At present, only the bifunctional multisubstrate CYP720B1 (PtCYP720B1) has been found in loblolly pine. However, little is known about the diterpenoid profile of slash pine. The main objectives of the present study were to (1) identify CYP720B candidate genes based on slash pine transcriptome and loblolly pine genome sequences; (2) determine the gene expression patterns in different tissues, and (3) verify the content of diterpene resin acid in various tissues. These results will enrich our knowledge of CYP720B genes and strengthen our understanding of the slash pine and loblolly pine resin synthesis pathway.
2. Materials and Methods
2.1. Identification of CYP720B in Slash Pine and Loblolly Pine
The amino acid sequences of CYP720B subfamily members in conifers were downloaded from NCBI (https://www.ncbi.nlm.nih.gov/sites/batchentrez, accessed on 15 August 2020). The accession numbers are listed in Table A1. The full-length transcriptome of slash pine [22] and loblolly pine v2.0 [23] assembly with annotations were used to identify the CYP720B candidate genes. A basic local alignment search tool (BLASTp) search (E-value < 1 × 10−50) was performed between 29 previously characterized conifer CYP720Bs and the proteins corresponding to the full-length transcriptome of Pinus elliotti [22] and genome of Pinus taeda [23]. The conserved domain of CYP720B candidate genes were scanned in the Pfam database (http://pfam.xfam.org/, accessed on 15 August 2020) to confirm the integrity of the P450 domain (PF00067). The ClustalW program in MEGA X was used to remove the repetitive sequences. Moreover, the lengths of the amino acids, molecular weights (MWs), and isoelectric points (pIs) of CYP720B proteins were calculated using tools from ExPASy (http://www.expasy.ch/tools/pi_tool.html/, accessed on 15 August 2020).
2.2. Sequence Analysis of CYP720Bs
All identified CYP720B genes were divided into four clades according to previous studies [16]. Multiple alignments of CYP720B amino acids were performed using ClustalW. The phylogenetic trees were inferred by the neighbor-joining (NJ) method of MEGA X, with the following parameters: Poisson model, pairwise deletion, and 1000 bootstrap replications. In addition, the conserved CYP720B domains in proteins were identified using MEGA X. The gene structure analysis of loblolly pine CYP720B genes using the online program Gene Structure Display Server (GSDS: http://gsds.cbi.pku.edu.cn/, accessed on 15 August 2020). The Multiple Expectation Maximization for Motif Elicitation (MEME) online program (http://meme-suite.org/tools/meme/, accessed on 15 August 2020) for protein sequence analysis was used to identify conserved motifs in the identified CYP720B proteins. The optimized parameters employed were the maximum number of motifs (10) and the optimum width of each motif (between 6 and 100 residues). A 2500 bp sequence upstream of the start codon of CYP720Bs was obtained and used to identify cis-acting elements using the PlantCARE website (http://bioinformatics.psb.ugent.be/webtools/plantcare/html/, accessed on 15 August 2020).
2.3. Plant Materials and Growth Conditions
The two-year-old slash pine and loblolly pine seedlings, which were selected with roughly the same growth, were grown in Hangzhou, Zhejiang Province (30°3′ N, 119°6′ E). The conditions of greenhouse were 75% relative humidity and 23 ± 2 °C temperature under a 16-h photoperiod with a photosynthetic flux density of approximately 50 ± 10 μmol m−2 s−1.
To analyze the expression profile of CYP720B and DRA content in different tissues, the two-year-old slash pine and loblolly pine seedlings were chosen for the young and mature needles, young and mature stems, and root samples (Figure A1). One sample was one biological replicate, three biological replicates were used for each species. All tissues were flash-frozen in liquid nitrogen and stored at −80 °C.
2.4. RNA Isolation and Gene Expression Analyses
Total RNA was isolated using the RNA Prep Pure Plant Plus Kit (TIANGEN BIOTECH company, Beijing, China). All tissues (50–100 mg) were ground into a fine powder in liquid nitrogen and processed to generate total RNA. The concentration of RNA was analyzed by agarose gel electrophoresis and then measured with an ultramicro UV spectrophotometer (Thermo Scientific NanoDrop 2000 and 2000c Spectrophotometers, Waltham, MA, USA). DNA-free RNA was used for the synthesis of the first strand of cDNA by using the PrimeScript™ RT Master Mix kit (Perfect Real Time, Takara Bio, RR036A, Dalian, China).
For the quantification of target transcripts, the housekeeping slash pine UBI gene and loblolly pine 18S rRNA were used as internal controls [24,25]. For each biological replicate, RT–qPCR was performed with three technical replicates using TB Green Premix Ex Taq™ II (Takara Bio, RR820A, Dalian, China) on an ABI QuanStudio 7 Flex System (Life Technologies), following the manufacturer’s recommendations. RT–qPCR was performed in a 20 μL reaction system containing 6 μL ddH2O, 5 μL 2× TB Green Premix Ex Taq II, 0.8 μL forward primer (10 μM), 0.8 μL reverse primer (10 μM), and 2 μL of template cDNA (5 ng/μL). The PCR conditions were 30 s of preincubation at 95 °C, 40 cycles of 15 s at 95 °C, and 30 s at 60 °C. Melting curves for each amplicon were carefully examined, and technical duplication with the double peak was removed to confirm the specificity of the primer pair used. The RT–qPCR amplification data were analyzed using the 2−∆∆CT method [26,27]. The relative expression of CYP720B genes in different tissues was compared with Tukey’s test (p < 0.05).
Sequences of the primers used in this study are shown in detail in Table A2.
2.5. Extraction of DRAs
DRA was extracted according to the method of Robert et al. [28]: approximately 0.5 g of fresh plant tissues was ground into powder in liquid nitrogen, and then 4.5 mL of tert-butyl methyl ether was added (Aladdin, B108115). The mixture was shaken repeatedly and soaked at room temperature overnight. The next day, 0.5 mL of extract was derivatized for diterpenoid analysis. For GC–MS analysis, DRAs extracted from samples were analyzed by GC–MS on a mass spectrometer (Agilent 5975B, Santa Clara, CA, USA) with a fused silica capillary column (DB-5MS) code with tetramethylammonium hydroxide-methanol (60 m × 0.25 mm internal diameter, 0.25 μM film thickness). The initial temperature of GC–MS was 60 °C for 2 min, and then was successively increased at 2 °C/min to 80 °C for 5 min, at 4 °C/min to 280 °C for 10 min, finally, at 20 °C/min to 290 °C for 2.5 min, and the temperature of the injection port was 260 °C. Volumes of 1.0 μL per sample were injected in pulsed splitless mode at 250 °C with a column flow of 1.8 mL/min helium and splitless pulse pressure. The carrier gas was high-purity helium (99.999%). The temperatures of the chromatography–mass spectrometer interface and the quadrupole were 230 °C and 150 °C, respectively. The ionization method was EI with an electron energy of 70 eV and a scanning mass range of 50–500 m/z. The content of DRAs in different tissues was compared with Tukey’s test (p < 0.05).
3. Results
3.1. Identification and Phylogenetic Analysis of CYP720B in Slash Pine and Loblolly Pine
Based on the presence of apparently complete P450 domains, 17 CYP720B candidate genes were identified in slash pine and 19 were identified in loblolly pine. There were seven putative allelic variants (v, c324680v1, c324680v2, c356010v1, c356010v2, c305557v1, c305557v2, c305557v3) and four gene deletions (i, c327173i1, c324680i1, c327174i1, c305557i1) in the 17 genes of slash pine, and three pairs of allele mutations (PITA_40733v1(PITA_40733), PITA_40733v2(PITA_00760), PITA_37500v1(PITA_37500), PITA_37500v2(PITA_23489), PITA_37500v3(PITA_39136), PITA_17539v1(PITA_17539), PITA_17539v2(PITA_01372), PITA_37500v4(PITA_16383), PITA_37500v5(PITA_00301)) and one (PITA_17539i1(PITA_37112)) of gene fragments in the 19 candidate genes of loblolly pine. The slash pine CYP720B gene sequences found have been uploaded to the NCBI, and the corresponding accession numbers are OK484434-OK484449.
To analyze the relationship of the CYP720B subfamily among the four clades [5], an unrooted tree was constructed using the full-length amino acids of these CYP720B genes. Gene characteristics, including the length of the protein sequence (aa), the protein molecular weight (MolWt), and the isoelectric point (pI), were analyzed (Table 1). Among the 17 CYP720B proteins in slash pine, c324680v2i2 was identified as the shortest protein, with 402 amino acids (aas), whereas the longest proteins were c327173 and c327174 (487 aas). The MolWt of the proteins ranged from 46,469.52 to 56,250.19 Da, and the pI ranged from 7.93 (c324680v2) to 9.57 (c327173). PITA_43262 was identified as the smallest protein with 403 amino acids (aas), whereas the largest was PITA_02864 (511 aas). The MolWt of the proteins ranged from 46,434.27 to 58,378.87 Da, and the pI ranged from 7.45 (PITA_43262) to 9.64 (PITA_42322) in loblolly pine.
Table 1.
Basic information on the CYP720B subfamily of slash pine (Pinus elliottii) and loblolly pine (Pinus taeda).
3.2. Multiple Sequence Alignment, Phylogenetic Analysis, and Classification of CYP720B
The phylogenetic relationship of the CYP720B proteins was examined by multiple sequence alignment of their full-length amino acid sequence. According to the division principle of Hamberger et al. [16], the identified CYP720B members were divided into four clades from I to IV (Figure 1): 21 in clade I, 1 in clade II, 12 in clade III, and 2 in clade IV. As shown in Table 2, the CYP720B protein sequences were all found to have a C-terminus containing highly conserved sequences (FxxGxxxCxG). This heme-binding region is highly conserved among P450 enzymes and regarded as the fingerprint of P450s [29]. The proline-rich (P/G)PPGPx(G/P)xP motif [30] was found to have a single amino acid variation in PITA_22834 and PITA_17539v1. (A/G)Gx(D/E)T was thought to bind to an oxygen molecule in the I helix [31]; however, there was a certain amino acid variation in clade IV, which became “AG-QT,” and PITA_42322 lost this domain. “ExxR” is highly conserved within the K helix [32], which is coordinated as the fifth thiolate ligand to P450 heme iron; PITA_42322 lost this domain in clade II.
Figure 1.
Phylogenetic relationships of the conifer-specific CYP720B genes. Note: v, putative allelic variant; i, insertion and deletion of fragments. The numbers in the figure represent the bootstraps value and the bootstraps value range from 0 to 1. The genes with blue backgrounds belong to clade I, green backgrounds belong to clade IV, red backgrounds belong to clade II, and yellow backgrounds belong to clade III.
Table 2.
The amino acid sequence of the conserved regions of CYP720B.
3.3. Gene Structure and Motif Composition of CYP720B
The exon–intron organizations of all the identified CYP720B genes were examined to gain more insight into the evolution of the CYP720B subfamily in loblolly pine. As shown in Figure 2, genes within the same clade usually have similar structures; for instance, all CYP720B genes possessed 9 exons in clades I and IV. PITA_43222 had 10 exons in clade II, which was different from the others. PITA_17539i1 and PITA_43262, which were in clade III, had 8 exons. A schematic diagram of the structure of all CYP720B proteins was constructed from the MEME motif analysis results. As shown in Figure 3, the similar motif arrangements among CYP720B proteins indicated that the structure of the protein was conserved within an identical clade. However, the functions of most of these conserved motifs remain to be elucidated.
Figure 2.
Exon-intron structure of loblolly pine CYP720B genes. The gray boxes indicate exons; black lines indicate introns, and protein lengths from 5′ to 3′ can be estimated using the scale at the bottom. The long introns in the middle of the last three protein (PITA_02864, PITA_10468, PITA_11046) sequences were broken by parallel bars.
Figure 3.
Phylogenetic relationships and motif compositions of CYP720B proteins of slash pine and loblolly pine identified in this study and previously characterized CYP720B in conifers. The gene names beginning with c and PITA stand for the CYP720B genes of slash pine and loblolly pine identified in this study, respectively. The detailed information of other CYP720B genes identified in previous studies was shown in Table A1. Left panel: An unrooted phylogenetic tree constructed using MEGA X by the neighbor-joining method. The proteins were clustered into four main clades. Right panel: distribution of conserved motifs in the CYP720B proteins. The different-colored boxes represent different motifs and their position in each CYP720B protein sequence.
In summary, the conserved motif compositions and similar gene structures of the CYP720B members, as well as the phylogenetic analysis results, could strongly support the reliability of the clade classifications.
3.4. Upstream Cis-Acting Elements of Loblolly Pine CYP720B
Since CYP720Bs are involved in the biosynthesis of defense-related terpenoids induced by insects, pathogens, wounds, or MeJA [33,34], we analyzed the upstream genomic regions of CYP720Bs for putative cis-acting elements associated with plant defense responses. Our analysis of upstream sequences for cis-acting elements covered 2500 bp upstream of the ATG start codon for CYP720Bs to understand the possible biological functions and regulatory characteristics of CYP720Bs. Putative cis-acting elements were identified by a similarity search of the PlantCARE database [35]. The results showed that the promoters of 19 genes of loblolly pine CYP720Bs contained 9 types and 125 cis-acting elements (Figure 4). A large category was plant hormone response elements, such as the gibberellin response element (GARE-motif, P-box, TATC-box), auxin response element (TGA-element, AuxRE), salicylic acid inducing element (TCA-element), MeJA response element (CGTCA-motif, TGACG-motif), ABA response element (ABRE), and flavonoid response element (MBSI); a large category was abiotic stress response elements, such as MYB drought-inducible binding site (MBS), disease-resistance and stress-inducing element (TC-rich repeats), and low-temperature response element (LTR).
Figure 4.
Analysis of cis-acting elements in the promoter region of the loblolly pine CYP720B genes. The left picture shows the position of the cis-acting in the upstream 2500 bp sequence, the right picture shows the number of each cis-acting element, and the number in the boxes indicates the number of cis-acting elements, The more the number, the darker the color, red means the maximum number. GARE-motif, P-box, TATC-box: gibberellin-responsive element; TGA-motif, AuxRE: auxin-responsive element; TCA-element: salicylic acid element; ABRE: abscisic acid responsiveness element; CGTCA-motif, TGACG-motif: MeJA responsiveness element; MBSI: MYB binding site involved in gene regulation of flavonoid biosynthesis; TC-rich: defense and stress element; LTR: low-temperature responsiveness element; MBS: MYB binding site participating in drought induction; CCAAT-box: MYBHv1 binding site.
In addition, the frequency of the MeJA-response element CGTCA motif was greatest among all cis-acting elements. A total of 23 MeJA responsiveness elements (CGTCA motifs and TGACG motifs) were located in 18 CYP720B upstream sequences. The second most frequent was in response to gibberellin element (GARE-motif, P-box, TATC-box) content, with a total of 22 distributed in 13 gene promoters, such as PITA_40733v2, PITA_02864, and PITA_43262. The lowest number was observed for MSBI-responsive flavonoid elements at only 2. The above results indicate that the different subfamily genes of the CYP720B subfamily have different abilities to respond to plant hormones and abiotic stresses and that the overall response to plant hormones is more obvious.
3.5. Revealing the Difference in the Expression of CYP720Bs in Different Tissues
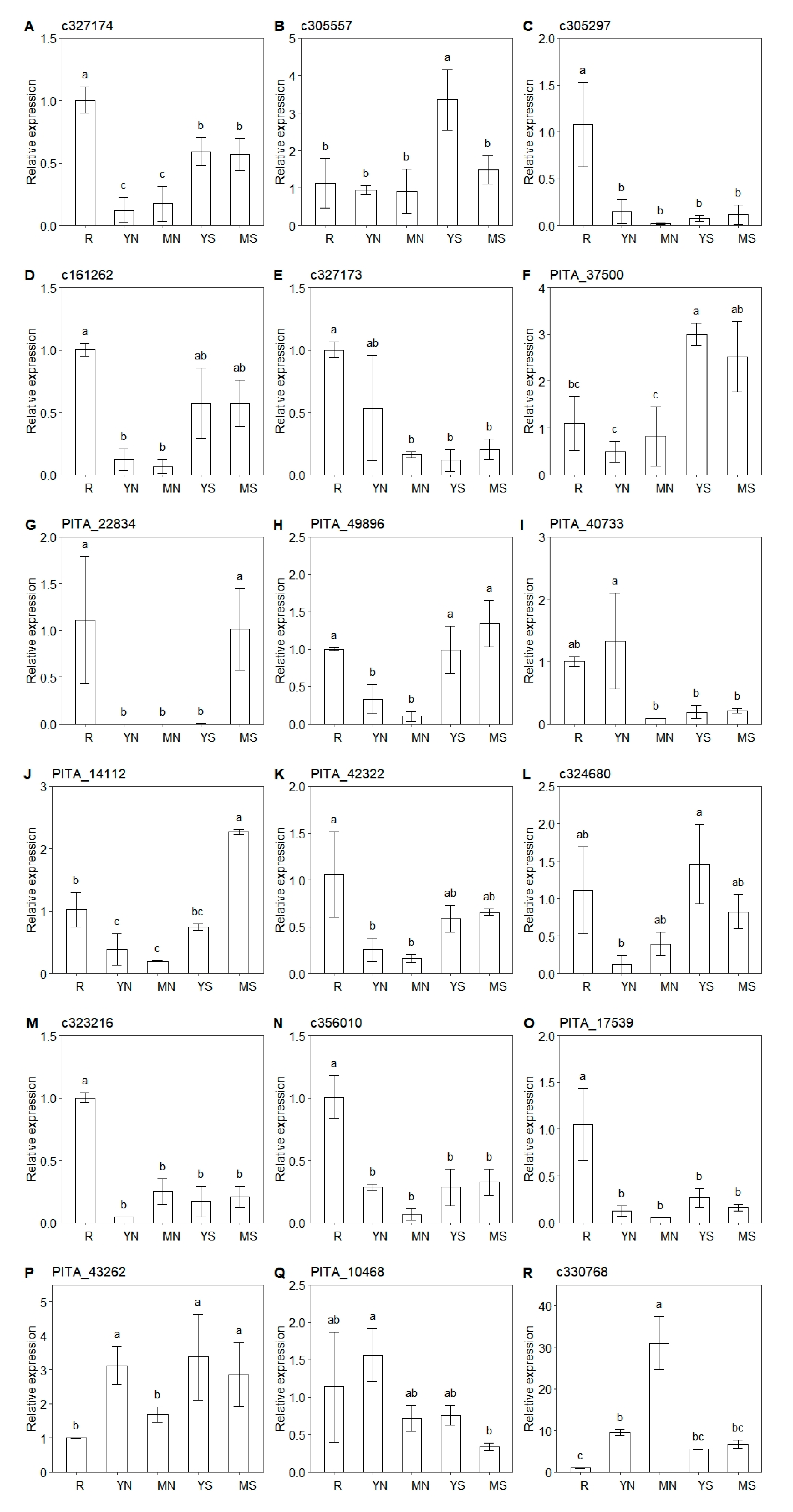
To assess the correlations of CYP720B genes with oleoresin accumulation in slash pine and loblolly pine tissues, we removed allelic variant genes and fragment insertion or deletion genes and finally performed comparative and quantitative transcript analysis using RT–qPCR for the 9 slash pine CYP720Bs and 12 loblolly pine CYP720Bs across a range of tissues: young and mature needles, young and mature shoots, and roots. Transcript profiles are shown in Figure 5. For three genes, PITA_11046, PITA_06980, and PITA_02864, transcript levels were very low across all samples tested; we speculated that these three genes are not expressed during the seedling stage of loblolly pine.
Figure 5.
Expression analysis of 18 CYP720B genes by RT–qPCR. The gene names beginning with c and PITA stand for the CYP720B genes of slash pine and loblolly pine. UBI and 18S rRNA were selected as the reference gene. Data were normalized and vertical bars indicate the standard deviation of biological replicates (n = 3). Statistically significant differences are indicated with different letters (Tukey’s test, p < 0.05). (A–J) belonged to clade I, (K) belonged to clade II, (L–Q) belonged to clade III, and (R) belonged to clade IV. Transcript quantification was measured in young needles (YN), mature needles (MN), young stems (YS), mature stems (MN), and roots (R).
For CYP720Bs of clade I, c305557, PITA_37500, PITA_49896, and PITA_14112 showed high transcript levels in stem tissues, while PITA_40733 was preferentially expressed in young needles. Transcript levels of c327173, c305297, c161262, c327174, and PITA_22834 were higher in roots. For CYP720Bs of clade III, c324680 and PITA_43262 showed high levels of transcripts in stem tissues, and PITA_10468 was preferentially expressed in young needles. The transcript levels of c323216, c356010, and PITA_17539 were higher in roots. For CYP720Bs of clades II and IV, PITA_42322 was most highly expressed in the roots, and the transcript levels of c330768 were higher in mature needles.
From the above RT–qPCR results, CYP720Bs were highly expressed in roots and stems. We speculated that the content of diterpene products catalyzed by CYP720B in roots and stems was higher than that of the needles. To verify our conjecture, we detected the content of DRAs in different tissues using GC–MS. GC–MS analysis of organic solvent extracts identified DRAs as the most abundant diterpenoids across all tested tissue types in both slash pine and loblolly pine. The contents of abietic acid, dehydroabietic acid, and isopimaric acid in slash pine were significantly higher than those of the other four DARs; the content of levopimaric acid in loblolly pine was the highest, followed by dehydroabietic acid, abietic acid, isopimaric acid, neoabietic acid, pimaric acid, and sandaracopimaric acid in loblolly pine (Figure 6).
Figure 6.
DRAs content in different tissues. (A) DRA content of tissues in slash pine; (B) DRA content in different tissues in loblolly pine. Error bars represent standard deviation values of biological replicates (n = 3). Statistically significant differences are indicated with different letters (Tukey’s test, p < 0.05). YN represents young needles, MN represents mature needles, YS represents young stems, MN represents mature stems, and R represents roots.
4. Discussion
The development of sequencing technologies provides a good reference to identify genes associated with important biological pathways. The first genome assembly of loblolly pine is built from short Illumina reads in 2014 [33], and an improved assembly is published in 2016 using long-read sequencing technology [23]. In this study, 19 CYP720B candidate genes were identified based on the Pinus teada v2.0 genome assembly, which is located in 19 different scaffolds. We could not infer whether some candidate genes were located on the same chromosome because the genome was not assembled at the chromosome level. The large size and complexity of the Pinus genome hinder whole-genome sequencing and assembly for other pine species without reference genome sequences. RNA long read sequencing technology would also provide a good reference in genetic studies. Diao et al. [22] 2019 sequenced the long transcripts of five mixed tissues in slash pine using third-generation sequencing technology, which were further corrected by short read sequencing of more than 200 slash pine individuals (unpublished). This is a very good data resource for identifying CYP720B genes in slash pine. In this study, 17 CYP720B genes were identified in slash pine. Mining CYP720B candidate genes would be helpful for further exploring the mechanism of DRA diversity.
4.1. Characterization of CYP720B
The conserved structural domains of the slash pine and loblolly pine CYP720B proteins were assessed in this study. Multiple sequence comparisons of the identified CYP720B protein with Picea sitchensis, Pinus banksiana, and Pinus contorta protein revealed that the C-terminus of the CYP720B protein sequences contains a highly conserved heme-binding domain, FxxGxxxCxG. The heme-binding domain consists of a highly conserved cysteine residue that forms a thiolate bond with the iron in the ferroheme of the catalytic site, thus constituting the key protein–oxygen structure and the active site [11]. There was also a conserved domain in the C-terminus, the PxRx motif, which is found in the structure of many P450s. This reflects that this family is relatively conserved in long-term evolution, which is consistent with the results of studies on the CYP720B gene family of Picea sitchensis, Pinus banksiana, and Pinus contorta [7]. In addition, by analyzing the gene structure of loblolly pine CYP720B, it was shown that the gene structure of this family was conserved during the evolution process.
Upstream transcription factors regulate their expression levels by binding to cis-acting elements in the promoters of target genes [34]. The promoters of CYP720B subfamily genes in slash pine and loblolly pine contain many cis-acting elements that respond to hormones, indicating that they may play a certain role in hormone response plant growth, development, and senescence. In our research, most of the CYP720B subfamily members contained low temperature, drought, defense, or adversity response elements, indicating that the CYP720B subfamily genes in pine may play an important role in resistance to low temperature, drought resistance, and other abiotic stresses. Previous articles could provide evidence, and the results show that CYP720B1 and CYP720B4 are involved in biotic and abiotic stress responses in conifers such as insects, pathogens, wounds, or MeJA [16,28]. The analysis of these cis-acting elements provides a valuable reference for future studies of the transcriptional regulation of conifer defense genes [35,36].
4.2. Function of CYP720B
There is considerable evidence that CYP720B genes play significant roles in the chemical defense system of plants and in conferring tolerance to biotic and abiotic stresses, including pests, pathogens, and wounding [9]. For example, PsCYP720B4 was recently reported to produce miltiradienic acid when coexpressed with TPS from Tripterygium wilfordii [37]. In previous studies on the protein function of the CYP720B gene subfamily, only CYP720B1 and CYP720B4 in clade III and CYP720B2 and CYP720B12 in clade I have been reported [35]. However, it is not clear whether clade II and IV CYP720Bs contribute to DRA biosynthesis or if they play a role in other biosynthesis pathways. PtCYP720B1, the first identified member from Pinus teada, has been verified to have activity as a C-18 oxidase and can accept various olefinic precursors, such as abietadiene, abietadienol, abietadienal, levopimaradienol, dehydroabietadienol, and dehydroabietadienal [15]. The amino acid sequence identity among PITA_13579, c323216, and c356010 identified in this study and the previously identified PtCYP720B1 was 96%, 95%, and 99%, respectively. Thus, we speculated that the functions of PITA_13579, c323216 and c356010 might be similar to that of PtCYP720B1. We found that these three genes showed higher expression patterns in roots in both slash pine and loblolly pine. PsCYP720B4 from Picea sitchensis, also a C18 oxidase, is able to oxidize a total of 24 substrates and appears to be highly active in the biosynthesis of dehydroabietic acid [16]. However, we did not identify any genes clustered with PsCYP720B4 and PgCYP720B4 in the phylogenetic tree, as in the previous CYP720B gene subfamily analysis in lodgepole pine (Pinus contorta) and jack pine (Pinus banksiana), indicating possibly different DRA biosynthesis mechanisms between Picea and Pinus. CYP720B2 and CYP720B12 of Pinus contorta, Picea sitchensis, and Pinus banksiana use 13-hydroxy-8(14)-abietene as a substrate to produce 3-hydroxy-8(14)-abietic acid, which is unstable and dehydrates to form abietic acid, neoabietic acid, levopimaric acid, and palustric acid [7]. In this study, the amino acid sequence identity between c327174, PITA_14112, and PtCYP720B2 was 99% and 99%, respectively, and the amino acid sequence identity between c327173, PITA_49896, and PbCYP720B12 was 99% and 99%, respectively. We speculated that these candidate genes might contain similar functions to CYP720B2 and CYP720B12 in slash pine and loblolly pine. The CYP720B2- and CYP720B12-like genes showed different tissue expression patterns in slash pine and loblolly pine, which might indicate that CYP720B candidate genes with the same function might perform differently in different species.
The function of some CYP720B candidate members has still not been proven. Mining the function of CYP720B candidate genes is very meaningful for revealing the DRA biosynthesis mechanism in the future.
4.3. Expression Specificity of CYP720B
Diterpene acid is the most abundant substance in resin and can be produced by all tissues of pines [9]. In this study, we found that the DRA profile detected by GC–MS was quite different among tissues, which was consistent with previous studies [5,38]. The content of DRAs might be related to CYP720B gene expression levels. The GC–MS profile of DRA profiles was quite different in slash pine and loblolly pine. Both slash pine and loblolly CYP720B1-like genes (PITA_13579, c323216, and c356010) showed higher expression patterns in roots. However, CYP720B2-like (c327174, PITA_14112) and CYP720B12-like genes (c327173, PITA_49896) showed different expression patterns in the two species, which might lead to different product amounts. The content of each DRA in root and stem generally showed higher in root and stem than needles corresponding with the gene expression levels of CYP720B members in slash pine and loblolly pine. High expression levels of CYP720B in roots were also revealed in Picea sitchensis, which also showed that some CYP720B members showed higher expression levels in roots than in stem tissues and that some CYP720B members did not show significant differences between stem tissues and roots [16].
The high DRA content in roots indicated that the DRAs in roots might play a critical role in the lifespan of pine. DRA redistribution of roots in Pinus pinaster might play a critical role in protecting the root response to drought stress [39]. However, few other studies have introduced the roles of DRAs in the roots of pine. Recent studies have shown that plant terpenes play an important role in belowground interactions [40]. The diterpenes synthesized in the root of Arabidopsis thaliana and rice have been revealed to participate in the defense against belowground herbivory [41] and plant–plant allelopathy [42], respectively. Whether and how DRAs synthesized in the roots of pine participate in belowground interactions are poorly known and worth studying in the future.
5. Conclusions
This study conducted an analysis of CYP720B genes in slash pine and loblolly pine. A total of 17 genes in slash pine and 19 genes in loblolly pine were identified in this study. These candidate genes were classified into four main clades in the phylogenetic analysis with previously identified CYP720B in conifers. The exon–intron structures analysis of loblolly pine CYP720B reveals the genes within the same clade usually have similar gene structures. A total of 125 cis-acting elements from nine types were identified in the promoter regions of 19 loblolly pine CYP720Bs. The cis-acting elements analysis showed that CYP720B genes were closely related to adversity resistance. The CYP720B genes expression profiles quantified by RT-qPCR and DRA profiles detected by GC–MS were different among different tissues. Most of the CYP720B genes showed relatively higher expression levels in roots and stems than in the other tissues. This corresponds with the results of DRA component detection by GC–MS, indicating the stems and roots might be important tissues in oleoresin biosynthesis. Phylogenetic and gene expression analysis would concededly be helpful to better understand the potential functions of CYP720B genes and their possible role in terpenoid synthesis and abiotic or biotic stress. This study provides valuable resources for a better understanding of the biological role of individual CYP720B genes in slash pine and loblolly pine.
Author Contributions
Conceptualization, Y.Z. and S.D.; methodology, Y.Z. and S.D.; formal analysis, Y.Z.; investigation, Q.L., X.D., S.D. and Y.Z.; resources, S.D. and Q.L.; data curation, S.D. and Y.Z.; writing—original draft preparation, Y.Z.; writing—review and editing, S.D. and Y.Z.; supervision, Q.L. and J.J.; project administration, S.D. and Q.L.; funding acquisition, S.D. and Q.L. All authors have read and agreed to the published version of the manuscript.
Funding
This research was funded by the Fundamental Research Funds of the Chinese Forestry Academy (CAFYBB2017ZA001-2-1) and the Zhejiang Science and Technology Major Program on Agricultural New Variety Breeding (2021C02070-8).
Data Availability Statement
The loblolly pine v2.0 assembly with annotations were analyzed in this study. This data can be found here: https://treegenesdb.org/jbrowse?page=1, accessed on 15 August 2021.
Conflicts of Interest
The authors declare no conflict of interest.
Appendix A
Figure A1.
The pictures of slash pine and loblolly pine. (A) stands for slash pine, (A1–A5) represent mature and young stems, mature and young needles, and roots; (B) stands for loblolly pine, (B1–B5) represent mature and young stems, mature and young needles, and roots.
Figure A1.
The pictures of slash pine and loblolly pine. (A) stands for slash pine, (A1–A5) represent mature and young stems, mature and young needles, and roots; (B) stands for loblolly pine, (B1–B5) represent mature and young stems, mature and young needles, and roots.

Appendix B
Table A1.
Information on 29 homologous proteins.
Table A1.
Information on 29 homologous proteins.
| Homologous Protein | Accession Number | Species | Homologous Protein | Accession Number | Species |
|---|---|---|---|---|---|
| PsCYP720B12 | HM245397 | Picea sitchensis | PbCYP720B1v1 | KJ845665 | Pinus banksiana |
| PsCYP720B15 | HM245398 | Picea sitchensis | PbCYP720B1v2 | KJ845666 | Pinus banksiana |
| PsCYP720B16 | HM245399 | Picea sitchensis | PbCYP720B2 | KJ845667 | Pinus banksiana |
| PsCYP720B17v1 | HM245400 | Picea sitchensis | PbCYP720B10 | KJ845668 | Pinus banksiana |
| PsCYP720B17v2 | HM245401 | Picea sitchensis | PbCYP720B11 | KJ845669 | Pinus banksiana |
| PsCYP720B2 | HM245402 | Picea sitchensis | PbCYP720B12 | KJ845670 | Pinus banksiana |
| PsCYP720B4 | HM245403 | Picea sitchensis | PcCYP720B1 | KJ845671 | Pinus contorta |
| PsCYP720B5v1 | HM245404 | Picea sitchensis | PcCYP720B2 | KJ845672 | Pinus contorta |
| PsCYP720B5v2 | HM245405 | Picea sitchensis | PcCYP720B10v1 | KJ845673 | Pinus contorta |
| PsCYP720B7 | HM245406 | Picea sitchensis | PcCYP720B10v2 | KJ845674 | Pinus contorta |
| PsCYP720B8 | HM245407 | Picea sitchensis | PcCYP720B11 | KJ845675 | Pinus contorta |
| PsCYP720B10 | HM245408 | Picea sitchensis | PcCYP720B12 | KJ845676 | Pinus contorta |
| PsCYP720B9 | HM245410 | Picea sitchensis | PaCYP720B19 | KJ624415 | Pinus armandi |
| PtCYP720B2 | Q50EK5 | Pinus taeda | PgCYP720B4 | FJ609175 | Pinus glauca |
| PtCYP720B1 | Q50EK6 | Pinus taeda |
Table A2.
Primers used for RT–qPCR.
Table A2.
Primers used for RT–qPCR.
| Gene_ID | F′(to 3′) | R′(to 5′) |
|---|---|---|
| PITA_02864 | ATCCAGAGTTGAGTGCACCA | AGAACGAGGGAAGGCTCTTT |
| PITA_06980 | GGCAGGCTGTTTCAATCCAA | AACGTTCTGTATGCCCTCCA |
| PITA_10468 | ATTATCGCTCCATGACCAGC | AGAACCTCCCCTCGTTTTGT |
| PITA_11046 | TTATTCGGAAGCCCAGCAGT | AGCCTCTCAAATCCCAGCAA |
| PITA_40733 | ATGGCTGGTGTTCTTCGTCT | TTGGCGTGGTTGAGAAATGG |
| PITA_42322 | AGCCTCTCAAACCTCAGCAA | AGCAGATCCCCAGTTCAACA |
| PITA_49896 | ACAAACATGTCCTGCAGCAC | AGCCTCTCGAACCTCAACAA |
| PITA_37500 | TTCTGCGCTCACATTTGACC | ATGAAGAAAGAGGGCCAGCT |
| PITA_14112 | ACCTCTCGAACCTCAGCAAA | TTGTGTCCGTGGATCCAGAA |
| PITA_22834 | TGTCCTCCATGAAGTGCACA | GGCAGGCTGTTTCAATCCAA |
| PITA_17539 | TGTCGTCGATGAATTGCCTG | TTTACAGGTGGTGGAATGCC |
| PITA_43262 | ACCGCTATTCCATGGAGCTT | TCAGCAGATCCCCAGTTCAA |
| c356010 | TTACAGGTGGTGGAATGCC | TGTCGTCGATGAATTGCCTG |
| c323216 | CTAATCGAGAGGTACATCTGCC | TTGAACTGGGGATCTGCTGA |
| c327174 | AGTGCTGGGCTTCTTATTGC | CGTGGTTGAGCAGTGGAATT |
| c161262 | TTCGTCTGTTTCGTTCTGGC | CTTGAATGAATCGGCGTGGT |
| c327173 | AAGCATCCACAAGTTGTCCG | GTCGTGCTCAGCCTTCAATT |
| c305297 | CCATTTCTCAACCACGCCAA | ATTGAACCAGCTTGCCTTCG |
| c305557 | AAACACATCGTCTGGCCAAC | AACGCCATGGGTCAAACTTG |
| c330768 | AGAACGAGGGAAGGCTCTTT | ATCCAGAGTTGAGTGCACCA |
| c324680 | AAGCTCCATGGAATAGCGGT | GAGCAGTTGTTTGGCCATCA |
References
- Keeling, C.I.; Bohlmann, J. Diterpene Resin Acids in Conifers. Phytochemistry 2006, 67, 2415–2423. [Google Scholar] [CrossRef] [PubMed]
- Stepp, J.R. Plant Resins: Chemistry, Evolution, Ecology, Ethnobotany. Econ. Bot. 2003, 57, 419–420. [Google Scholar] [CrossRef]
- Keeling, C.I.; Weisshaar, S.; Lin, R.P.C.; Bohlmann, J. Functional Plasticity of Paralogous Diterpene Synthases Involved in Conifer Defense. Proc. Natl. Acad. Sci. USA 2008, 105, 1085–1090. [Google Scholar] [CrossRef] [Green Version]
- Zerbe, P.; Chiang, A.; Yuen, M.; Hamberger, B.; Hamberger, B.; Draper, J.A.; Britton, R.; Bohlmann, J. Bifunctional Cis-abienol Synthase from Abies Balsamea Discovered by Transcriptome Sequencing and Its Implications for Diterpenoid Fragrance Production. J. Biol. Chem. 2012, 287, 12121–12131. [Google Scholar] [CrossRef] [Green Version]
- Hall, D.E.; Zerbe, P.; Jancsik, S.; Quesada, A.L.; Dullat, H.; Madilao, L.L.; Yuen, M.; Bohlmann, J. Evolution of Conifer Diterpene Synthases: Diterpene Resin Acid Biosynthesis in Lodgepole Pine and Jack Pine Involves Monofunctional and Bifunctional Diterpene Synthases. Plant Physiol. 2013, 161, 600–616. [Google Scholar] [CrossRef] [Green Version]
- Hartmut, K.L. The 1-deoxy-D-xylulose-5-phosphate Pathway of Isoprenoid Biosynthesis in Plants. Annu. Rev. Plant Physiol. Plant Mol. Biol. 1999, 50, 47–65. [Google Scholar] [CrossRef]
- Geisler, K.; Jensen, N.B.; Yuen, M.M.S.; Madilao, L.; Bohlmann, J. Modularity of Conifer Diterpene Resin Acid Biosynthesis: P450 Enzymes of Different CYP720B Clades Use Alternative Substrates and Converge on the Same Products. Plant Physiol. 2016, 171, 152–164. [Google Scholar] [CrossRef]
- Liu, T.; Zhang, C.; Lu, W. Heterologous Production of Levopimaric Acid in Saccharomyces Cerevisiae. Microb. Cell Fact 2018, 17, 1–10. [Google Scholar] [CrossRef]
- Celedon, J.M.; Bohlmann, J. Oleoresin Defenses in Conifers: Chemical Diversity, Terpene Synthases and Limitations of Oleoresin Defense under Climate Change. New Phytol. 2019, 224, 1444–1463. [Google Scholar] [CrossRef] [Green Version]
- Aparajita, B.; Björn, H. P450s Controlling Metabolic Bifurcations in Plant Terpene Specialized Metabolism. Phytochem. Rev. 2018, 17, 80–111. [Google Scholar] [CrossRef] [Green Version]
- Semiz, A.; Sen, A. Cloning and Expression of a CYP720B Orthologue Involved in the Biosynthesis of Diterpene Resin Acids in Pinus brutia. Mol. Biol. Rep. 2015, 42, 737–744. [Google Scholar] [CrossRef]
- Warren, R.L.; Keeling, C.I.; Yuen, M.M.; Raymond, A.; Taylor, G.A.; Vandervalk, B.P.; Mohamadi, H.; Paulino, D.; Chiu, R.; Jackman, S.D.; et al. Improved White spruce (Picea glauca) Genome Assemblies and Annotation of Large Gene Families of Conifer Terpenoid and Phenolic Defense Metabolism. Plant J. 2015, 83, 189–212. [Google Scholar] [CrossRef]
- Wang, Y.; Liu, Z.Y.; Lu, Q.; Zhang, X.Y. A Review of Induced Defenses in Conifers. J. Anhui Agri. Sci. 2014, 42, 810–813. [Google Scholar] [CrossRef]
- Zeneli, G.; Krokene, P.; Christiansen, E.; Krekling, T.; Gershenzon, J. Methyl Jasmonate Treatment of Mature Norway spruce (Picea abies) Trees Increases the Accumulation of Terpenoid Resin Components and Protects Against Infection by Ceratocystis polonica, a Bark Beetle-associated Fungus. Tree Physiol. 2006, 26, 977–988. [Google Scholar] [CrossRef]
- Ro, D.K.; Arimura, G.; Lau, S.Y.; Piers, E.; Bohlmann, J. Loblolly pine Abietadienol/Abietadienal Oxidase PtAO (CYP720B1) is a Multifunctional, Multisubstrate Cytochrome P450 Monooxygenase. Proc. Natl. Acad. Sci. USA 2005, 102, 8060–8065. [Google Scholar] [CrossRef] [Green Version]
- Hamberger, B.; Ohnishi, T.; Hamberger, B.; Séguin, A.; Bohlmann, J. Evolution of Diterpene Metabolism: Sitka Spruce CYP720B4 Catalyzes Multiple Oxidations in Resin Acid Biosynthesis of Conifer Defense against Insects. Plant Physiol. 2011, 157, 1677–1695. [Google Scholar] [CrossRef] [Green Version]
- Pham, T.; Chen, H.; Dai, L.; Vu, T.Q.T. Isolation a P450 Gene in Pinus armandi and Its Expression after Inoculation of Leptographium qinlingensis and Treatment with Methyl Jasmonate. Russ. J. Plant Physiol. 2016, 63, 118–125. [Google Scholar] [CrossRef]
- Chen, Y.L.; Kang, L.H.; Malajczuk, N.; Dell, B. Selecting Ectomycorrhizal Fungi for Inoculating Plantations in South China: Effect of Scleroderma on Colonization and Growth of Exotic Eucalyptus globulus, E. urophylla, Pinus elliottii, and P. radiata. Mycorrhiza 2006, 16, 251–259. [Google Scholar] [CrossRef]
- Rodrigues, K.C.S.; Fett-Neto, A.G. Oleoresin Yield of Pinus elliottii in a Subtropical Climate: Seasonal Variation and Effect of Auxin and Salicylic Acid-Based Stimulant Paste. Ind. Crop. Prod. 2009, 30, 316–320. [Google Scholar] [CrossRef]
- Min, Y.; Ting, J.; Leiming, D.; Lu, Z.; Chunhui, L.; Siyu, L.; Meng, L. Resin Yield in Pinus elliottii Engelm is Related to the Resin Flow Rate, Resin Components and Resin Duct Characteristics at Three Locations in Southern China. Ind. Crop. Prod. 2020, 160, 113141. [Google Scholar] [CrossRef]
- Westbrook, J.W.; Walker, A.R.; Neves, L.G.; Munoz, P.; Resende, M.F., Jr.; Neale, D.B.; Wegrzyn, J.L.; Huber, D.A.; Kirst, M.; Davis, J.M.; et al. Discovering Candidate Genes that Regulate Resin Canal Number in Pinus taeda Stems by Integrating Genetic Analysis across Environments, Ages, and Populations. New Phytol. 2015, 205, 627–641. [Google Scholar] [CrossRef] [Green Version]
- Diao, S.; Ding, X.; Luan, Q.; Jiang, J. A Complete Transcriptional Landscape Analysis of Pinus elliottii Engelm. Using Third-Generation Sequencing and Comparative Analysis in the Pinus Phylogeny. Forests 2019, 10, 942. [Google Scholar] [CrossRef] [Green Version]
- Zimin, A.V.; Stevens, K.A.; Crepeau, M.W.; Puiu, D.; Wegrzyn, J.L.; Yorke, J.A.; Langley, C.H.; Neale, D.B.; Salzberg, S.L. An Improved Assembly of the Loblolly pine Mega-genome Using Long-read Single-molecule Sequencing. Gigascience 2017, 6, 1–4. [Google Scholar] [CrossRef]
- De, L.; Fernanda, D.C.; Füller, T.N.; Silva, R.; Kerber, M.R.; Lima, M.S.; Fett, J.P.; Fett-Neto, A.G. Reference Genes for qPCR Analysis in Resin-Tapped Adult Slash Pine As a Tool to Address the Molecular Basis of Commercial Resinosis. Front. Plant Sci. 2016, 7, 849. [Google Scholar] [CrossRef] [Green Version]
- Yang, S.; Wang, H.; Sathyan, P.; Stasolla, C.; Loopstra, C.A. Real-time RT–PCR Analysis of Loblolly pine (Pinus taeda) Arabinogalactan-protein and Arabinogalactan-protein-like Genes. Physiol. Plantarum. 2005, 124, 91–106. [Google Scholar] [CrossRef]
- Zhao, S.; Fernald, R.D. Comprehensive Algorithm for Quantitative Real-time Polymerase Chain Reaction. J. Comput. Biol. 2005, 12, 1047–1064. [Google Scholar] [CrossRef] [PubMed]
- Rieu, I.; Powers, S.J. Real-Time Quantitative RT–PCR: Design, Calculations, and Statistics. Plant Cell 2009, 21, 1031–1033. [Google Scholar] [CrossRef] [Green Version]
- Robert, J.A.; Madilao, L.L.; White, R.; Yanchuk, A.; King, J.; Bohlmann, J. Terpenoid Metabolite Profiling in Sitka spruce Identifies Association of Dehydroabietic acid, (+)-3-carene, and Terpinolene with Resistance Against White pine weevil. Botany 2010, 88, 810–820. [Google Scholar] [CrossRef]
- Kalb, V.F.; Loper, J.C. Proteins from Eight Eukaryotic Cytochrome P-450 Families Share a Segmented Region of Sequence Similarity. Proc. Nat. Acad. Sci. USA 1988, 85, 1721–1725. [Google Scholar] [CrossRef] [Green Version]
- Choe, S. The DWF4 Gene of Arabidopsis Encodes a Cytochrome P450 That Mediates Multiple 22alpha-hydroxylation Steps in Brassinosteroid Biosynthesis. Plant Cell 1998, 10, 231–244. [Google Scholar] [CrossRef] [Green Version]
- Liu, X.; Zhang, L.; Zhang, X.; Xiwu, G. Molecular Cloning and Recombinant Expression of Cytochrome P450 CYP6B6 from Helicoverpa armigera in Escherichia coli. Mol. Biol. Rep. 2013, 40, 1211–1217. [Google Scholar] [CrossRef]
- Rupasinghe, S.; Schuler, M.A.; Kagawa, N.; Yuan, H.; Lei, L.; Zhao, B.; Kelly, S.L.; Waterman, M.R.; Lamb, D.C. The Cytochrome P450 Gene Family CYP157 Does Not Contain EXXR in the K-helix Reducing the Absolute Conserved P450 Residues to a Single Cysteine. FEBS Lett. 2006, 580, 6338–6342. [Google Scholar] [CrossRef] [Green Version]
- Neale, D.B.; Wegrzyn, J.L.; Stevens, K.A.; Zimin, A.V.; Puiu, D.; Crepeau, M.W.; Cardeno, C.; Koriabine, M.; Holtz-Morris, A.E.; Liechty, J.D.; et al. Decoding the massive genome of loblolly pine using haploid dna and novel assembly strategies. Genome Biol. 2014, 15, R59. [Google Scholar] [CrossRef] [Green Version]
- Ma, J.Q.; Jian, H.J.; Yang, B.; Lu, K.; Zhang, A.X.; Liu, P. Genome-wide analysis and expression profiling of the grf gene family in oilseed rape (Brassica napus L.). Gene 2017, 620, 36–45. [Google Scholar] [CrossRef]
- Bathe, U.; Tissier, A. Cytochrome P450 Enzymes: A Driving Force of Plant Diterpene Diversity. Phytochemistry 2019, 161, 149–162. [Google Scholar] [CrossRef]
- Godard, K.; Byun-Mckay, A.; Levasseur, C.; Plant, A.; Séguin, A.; Bohlmann, J. Testing of a Heterologous, Wound- and Insect-inducible Promoter for Functional Genomics Studies in Conifer Defense. Plant Cell Rep. 2007, 26, 2083–2090. [Google Scholar] [CrossRef]
- Forman, V.; Callari, R.; Folly, C.; Heider, H.; Hamberger, B. Production of Putative Diterpene Carboxylic Acid Intermediates of Triptolide in Yeast. Molecules 2017, 22, 981. [Google Scholar] [CrossRef] [Green Version]
- Enrica, A.; Stefano, C.; Bartolomeo, S.; Rita, P.A.; Maurizio, B.; Francesco, M.; Peter, B.C.; Agostino, S.; Mario, C. Diterpene Resin Acids and Olefins in Calabrian Pine (Pinus nigra subsp. laricio (Poiret) Maire) Oleoresin: GC-MS Profiling of Major Diterpenoids in Different Plant Organs, Molecular Identification and Expression Analysis of Diterpene Synthase Genes. Plants 2021, 10, 2391. [Google Scholar] [CrossRef]
- Simón, B.F.D.; Aranda, I.; López-Hinojosa, M.; Miguel, L.; Cervera, M.T. Scion-rootstock Interaction and Drought Systemic Effect Modulate the Organ-specific Terpene Profiles in Grafted Pinus pinaster Ait. Environ. Exp. Bot. 2021, 186, 104437. [Google Scholar] [CrossRef]
- Huang, A.C.; Osbourn, A. Plant Terpenes that Mediate Below-ground Interactions: Prospects for Bioengineering Terpenoids for Plant Protection. Pest Manag. Sci. 2019, 75, 2368–2377. [Google Scholar] [CrossRef] [Green Version]
- Vaughan, M.M.; Wang, Q.; Webster, F.X.; Kiemle, D.; Hong, Y.J.; Tantillo, D.J.; Coates, R.M.; Wray, A.T.; Askew, W.; O’Donnell, C.; et al. Formation of the Unusual Semivolatile Diterpene Rhizathalene by the Arabidopsis Class I Terpene Synthase TPS08 in the Root Stele Is Involved in Defense against Belowground Herbivory. Plant Cell 2013, 25, 1108–1125. [Google Scholar] [CrossRef] [Green Version]
- Xu, M.; Galhano, R.; Wiemann, P.; Bueno, E.; Tiernan, M.; Wu, W.; Chung, I.M.; Gershenzon, J.; Tudzynski, B.; Sesma, A.; et al. Genetic evidence for natural product-mediated plant–plant allelopathy in rice (Oryza sativa). New Phytol. 2012, 193, 570–575. [Google Scholar] [CrossRef] [Green Version]
Publisher’s Note: MDPI stays neutral with regard to jurisdictional claims in published maps and institutional affiliations. |
© 2022 by the authors. Licensee MDPI, Basel, Switzerland. This article is an open access article distributed under the terms and conditions of the Creative Commons Attribution (CC BY) license (https://creativecommons.org/licenses/by/4.0/).





