Abstract
Effects of light quality on phenotypic plasticity in Cunninghamia lanceolata (Lamb.) Hook. seedlings during growth and development, and the underlying mechanisms, were investigated. The seedlings showed distinct morphological adjustments when exposed to an equal photosynthetic photon flux density (400 μmol·m−2·s−1) of different light qualities: monochromatic blue (BL), monochromatic red (RL), monochromatic far-red (FrL), mixed RL and FrL at 1:1 (RFr1:1L), mixed RL and FrL at 1:2 (RFr1:2L), and multi-wavelength white (WL, control). Compared with WL, FrL and BL significantly promoted height increment. However, BL was unfavorable for root growth. The seedling biomass was lower and the root-to-shoot ratio was smaller under BL. RL promoted leaf area enlargement, root growth, axillary bud number, and increased the root-to-shoot ratio, but inhibited stem elongation. Low R/Fr ratios or increased FrL proportion increased seedling stem elongation. The seedling growth under RFr1:1L treatment was poorer than that under other treatments; however, the number of axillary buds was the highest. The plasticity of leaf morphology traits was lower in different treatments, and that of axillary bud traits was crucial in the adaptation of C. lanceolata to light quality. Precise management of light quality and wavelength in controlled environments may maximize the economic efficiency of forest production and enhance its quality.
1. Introduction
The light environment varies considerably during forest development and succession at both temporal and spatial scales [1,2,3]. This phenomenon hampers or accelerates plant growth intermittently, especially beneath the forest canopy [4]. Due to the complexity of the forest community structure, as well as the reflection, transmission, and absorption of solar radiation by the forest canopy, the light intensity, spectral composition, and illumination time of sunlight reaching the forest floor through the canopy are considerably changed. Due to absorption of red light (RL) by photosynthetic pigments in leaves, RL reaching the leaf surface of seedlings and saplings is extremely reduced; further, the amount of unfiltered far-red light (FrL) increases, and light intensity and light duration are reduced [5]. Therefore, light is considered one of the most heterogeneous and dynamic aboveground factors affecting understory structure and tree regeneration [6]. In addition to providing energy for photosynthesis, light is the most important signal involved in regulating plant growth, development, and response to stress. Plants growing under the forest canopy must respond to changes in light conditions to ensure a regular rate of photosynthesis in order to maintain the dynamic balance of nutrients.
Plant development is strongly influenced by light intensity and quality, which refers to the quantity and wavelength of light reaching a plant’s surface. Plants have strict requirements for light absorption—there is an optimum light intensity for growth, and plants do not absorb all wavelengths. Specific light qualities have precise effects on plants. Photosynthetically active radiation (PAR, 400–700 nm) provides energy for photosynthesis, and the radiation with the highest photosynthetic efficiency for plant growth is concentrated in blue (425–490 nm) and red (600–700 nm) regions. Furthermore, under varying light conditions, responses to light quality are species-specific [7,8]. Compared with light quantity, varying light quality has much more complex effects on plant growth and morphology. Although it is not the only method by which plants acclimate to a changing environment, morphological plasticity is presumed to play a crucial role in allowing plants to persist in their environments, which is an important factor in shade tolerance and plant succession dynamics [9]; thus, morphological plasticity has received much attention in recent forest ecology studies [10,11]. The change in plant functional traits is generally an important strategy for plants to adapt to their environment [12,13,14]; trade-offs between above- and belowground growth, morphological plasticity, and modification to biomass allocation are adaptations of plants to disturbances. Therefore, the study of plant morphological plasticity is a more effective way of reflecting the response and adaptation mechanisms of plants to light changes. In addition, seedling establishment and juvenile growth are important, and are sensitive stages of plant life cycles. Thus, morphological and physiological attributes during these periods are key factors affecting the recruitment and survival of tree populations. Therefore, plant responses to light quantity and quality during early ontogenetic development have important guiding significance for forest management, ecosystem restoration, and seedling cultivation.
Recently, light emitting diodes (LEDs), with a variety of advantages, including low energy consumption, adjustable light intensity and wavelength, and long operating lifetimes [15,16], have been used to study the growth, development, and morphogenesis of horticultural crops in response to various light environments [17]. Furthermore, light distribution and duration can easily be manipulated in a controlled environment; therefore, LEDs have been proposed as a promising light source for plants [18], either as a main or supplementary light source [19], and for space-based plant growth [20]. With the wide application of LEDs in laboratory growth experiments, the selection of optimal light conditions for plant growth has become a hot topic of research in recent years. As increasingly advanced lighting systems have become available, it has become well documented that light quality (i.e., wavelengths and ratios) can be used to manipulate plant characteristics [21,22]. Precise management of light quality may hold promise for maximizing the efficiency of plant production, improving the quality of seedlings, and cultivating large and robust seedlings in controlled environments.
The responses of seedlings of tree species to light intensity during the cultivation process have been extensively studied through indoor, light-quantity simulated experiments [23]. Moreover, different light qualities are widely used in the cultivation and breeding of crops, vegetables, fruits, medicinal plants, and ornamental plants [24,25]. However, the application of different light qualities in tree seedling breeding is rare, and research on the effect of light quality on tree seedling growth has rarely been reported. Furthermore, most studies on light spectral composition of LEDs have utilized red and blue wavelengths, but far-red wavelength light has received less attention despite its significance in plant development and its potential for commercial applications [26]. Although far-red is considered to make a minimal contribution to photosynthesis, it significantly influences adaptive and developmental processes initiated by RL [5]. Thus, it is necessary to study the effects of FrL on plant growth.
This study sought to determine the phenotypic plasticity and adaptation mechanisms of C. lanceolata seedling to different light quality treatments by addressing the following questions: (1) What are the effects of different light quality or R:Fr ratios on seedling growth? (2) How do the above- and belowground traits of C. lanceolata seedlings respond to different light qualities? (3) Which phenotypic responses exhibit the greatest flexibility in response to light quality changes? Specifically, we conducted an experiment by altering the light quality to determine the differential effects on growth, leaf and root morphological traits, and biomass accumulation and allocation in C. lanceolata seedlings. This study provides valuable insights into optimum light conditions for seedling cultivation and establishment, and enriches the study of plant light-response. It provides a theoretical basis for cultivar breeding and demonstrates and promotes the introduction of light technology.
2. Materials and Methods
2.1. Experimental Design and Treatments
The pot experiment was conducted in a greenhouse at the Fujian Agriculture and Forestry University (26°4′30″–26°6′00″ N, 119°13′30″–119°14′30″ E). Seedlings of C. lanceolata were exposed to the following light quality treatments: monochromatic blue light (BL, 450–455 nm), monochromatic RL (650–660 nm), monochromatic FrL (715–735 nm), mixed RL and FrL at 1:1 (RFr1:1L), mixed RL and FrL at 1:2 (RFr1:2L), and multi-wavelength white light as the control treatment (WL, 450–570 nm).
All the treatments were performed within different growth chambers (quadrate rigid frames, 90 × 100 × 100 cm), which were isolated from one another with non-reflective and opaque black covering materials to prevent light contamination. Each growth chamber was equipped with an upward airflow distribution system for temperature control, with sufficient outdoor makeup air inside the chamber. The size of the LED light panel was 80 × 40 cm, and two LED light panels were placed horizontally above the growth chamber for each treatment. The photosynthetic photon flux density (PPFD, 450–735 nm) was adjusted to approximately 400 μmol·m−2·s−1, which was determined from the top of the seedling canopy and kept at a distance of approximately 20 cm between the LEDs and seedling canopy. The light intensity from the LEDs was measured using a quantum sensor (HiPoint HP-350, Taiwan, China). All lamps were controlled by an automatic timing corrector and delivered a photoperiod of 12 h from 06:00 to 18:00 daily.
In April 2021, C. lanceolata seedlings were purchased from a container nursery in Nanping Yangkou Stated-owned Forest Farm, Fujian, China. The seedlings were transplanted to pots filled with peat mixed with vermiculite (2:1 v/v) and grown for 1 month in a greenhouse at the experimental site, with one seedling per pot. After 1 month of growth, 36 uniform and well-developed seedlings (mean height 31.68 ± 4.77 cm, mean root collar diameter 3.71 ± 0.30 mm) were randomized into six groups, and grown under six light treatments, illuminated with LEDs, for 3 months. Six seedlings per treatment were used. Seedling pots were treated as replicates and randomly positioned to ensure that they were exposed to similar light conditions with no mutual shading. Seedlings grown under the same treatment conditions were completely independent. The pots were systematically rotated weekly to further improve the uniformity of light conditions. No fertilizer was added during the experimental period. Weeds were periodically cleared, and seedlings were watered two to three times weekly.
2.2. Measurements of Seedling Growth and Morphological Traits
Prior to light treatments (May 2021) and at final harvest (August 2021) all seedlings were measured for height, root collar diameter, branch length, height-to-diameter (H:D) ratio, height increment (seedling height at the end of experiment minus initial height, cm), diameter increment (seedling diameter at the end of experiment minus initial diameter, cm) [27], and branch length increment (seedling branch length at the end of experiment minus initial length, cm). We also measured bud morphology, bud height from the base of the stem, bud dry biomass, and the number of buds.
At the final harvest, the roots were carefully excavated and washed with water. For all treatments, the seedlings were used for morphological measurements of leaves and roots. Ten healthy and fully expanded green leaves were randomly sampled at the same leaf position from each test seedling. Leaves and entire root systems were scanned with an Expression 10000XL scanner (Epson, Tokyo, Japan) and analyzed using the WinRHIZO image analysis software (Version 2003e, Regent Instruments, Québec City, QC, Canada) for leaf length (cm), leaf width (mm), leaf area (foliage without petioles, cm2), total root length (m), root surface area (cm2), and root volume (cm3) [28]. In cases where the root system was too large to fit into a view, it was divided into sections that were scanned separately, and the results were summed up. All leaf and root materials were oven-dried at 80 °C until a constant biomass was obtained upon weighing. The specific leaf area (cm2·g−1) and specific root length (m·g−1) were estimated as the ratio of leaf area to leaf dry biomass and total root length to root dry biomass, respectively. The specific root surface area was estimated as the ratio of the root surface area to the root dry biomass.
All seedlings were harvested and separated into roots, stems, and leaves. All plant parts were placed in paper bags and oven-dried at 105 °C for 0.5 h, and then at 80 °C for at least 24 h until a constant dry weight was obtained, after which the dry biomass of each part was weighed. From the primary data, we calculated the root mass ratio, stem mass ratio, leaf mass ratio, and root-to-shoot ratio.
2.3. Statistical Analysis
Differences in seedling growth, bud growth, leaf morphology, root morphology, biomass accumulation, and allocation characteristics at different light qualities were determined using one-way ANOVA and post-hoc least significant difference (LSD) tests. Statistical significance was set at p < 0.05. All statistical analyses were performed using SPSS version 20.0 for Windows (SPSS Inc., Chicago, IL, USA). Data are presented as the mean ± standard error. Different lowercase letters mark significant differences (p < 0.05). All analyses were replicated six times per light quality and one seedling per replication. Trait plasticity in seedling growth, bud growth, leaf morphology, root morphology, biomass accumulation, and allocation characteristics were compared using coefficients of variation (CV), as described previously [29]. The CVs of each variable were calculated as 100 × SDX/X, where SDX is the standard deviation of treatment means, and is the grand mean of the treatment means [29]. The CVs of all treatments were averaged for each trait and then ranked to compare the relative plasticity. Principal component analyses (PCA) were used to examine patterns of covariation in trait plasticity among the different light qualities.
3. Results
3.1. Seedling Growth Response to Light Quality
Diameter increment, height increment, height-to-diameter ratio and branch length increment of C. lanceolata seedlings was significantly different under different light quality treatments (Figure 1). Under BL treatment, the diameter increment was relatively low compared with RL and RFr1:2L, and was 21.4% lower than that of the seedlings grown under WL. FrL and BL significantly promoted height increment compared with WL, RL and RFr1:1L treatments. Seedlings had the largest height increment under FrL, which was approximately 144.5% higher than that under WL. The values of H:D ratio were significantly larger under FrL and BL compared with that under WL, increasing by 46.7% and 41.2%, respectively, whereas no significant differences were observed between the other treatments and WL. Branch length increment was highest under FrL treatment, but there was no significant difference between FrL and BL. Additionally, the branch length increment under other treatments was remarkably lower than that of the FrL treatment.
Figure 1.
Diameter increment (A), height increment (B), height-to-diameter ratio (C), and branch length increment (D) of Cunninghamia lanceolata (Lamb.) Hook. seedlings under different light quality treatments. Bars represent average ± standard error (n = 6). Different lowercase letters indicate significant differences among treatments: WL, multi-wavelength white light treatment; BL, monochromatic blue light treatment; RL, monochromatic red light treatment; FrL, monochromatic far-red light treatment; RFr1:1L, a mixed red and far-red light at 1:1 treatment; RFr1:2L, a mixed red and far-red light at 1:2 treatment.
3.2. Response of Bud Growth Traits to Light Quality
Among all treatments, bud height was the highest under FrL, but there was no significant difference compared with BL. However, under WL, RL, RFr1:1L, and RFr1:2L, bud height was significantly lower compared with BL and FrL. Bud height was only slightly changed under WL, RL, RFr1:1L, and RFr1:2L (Table 1). Bud biomass displayed small variations among light quality treatments and was significantly higher under FrL than under WL and RL. Bud number increased under RFr1:1L and RFr1:2L compared with WL, but decreased by 49.7% and 47.1%, under BL and FrL.
Table 1.
Bud growth characteristics of Cunninghamia lanceolata (Lamb.) Hook. under different light quality treatments. Abbreviations for light quality treatments are as described in Figure 1.
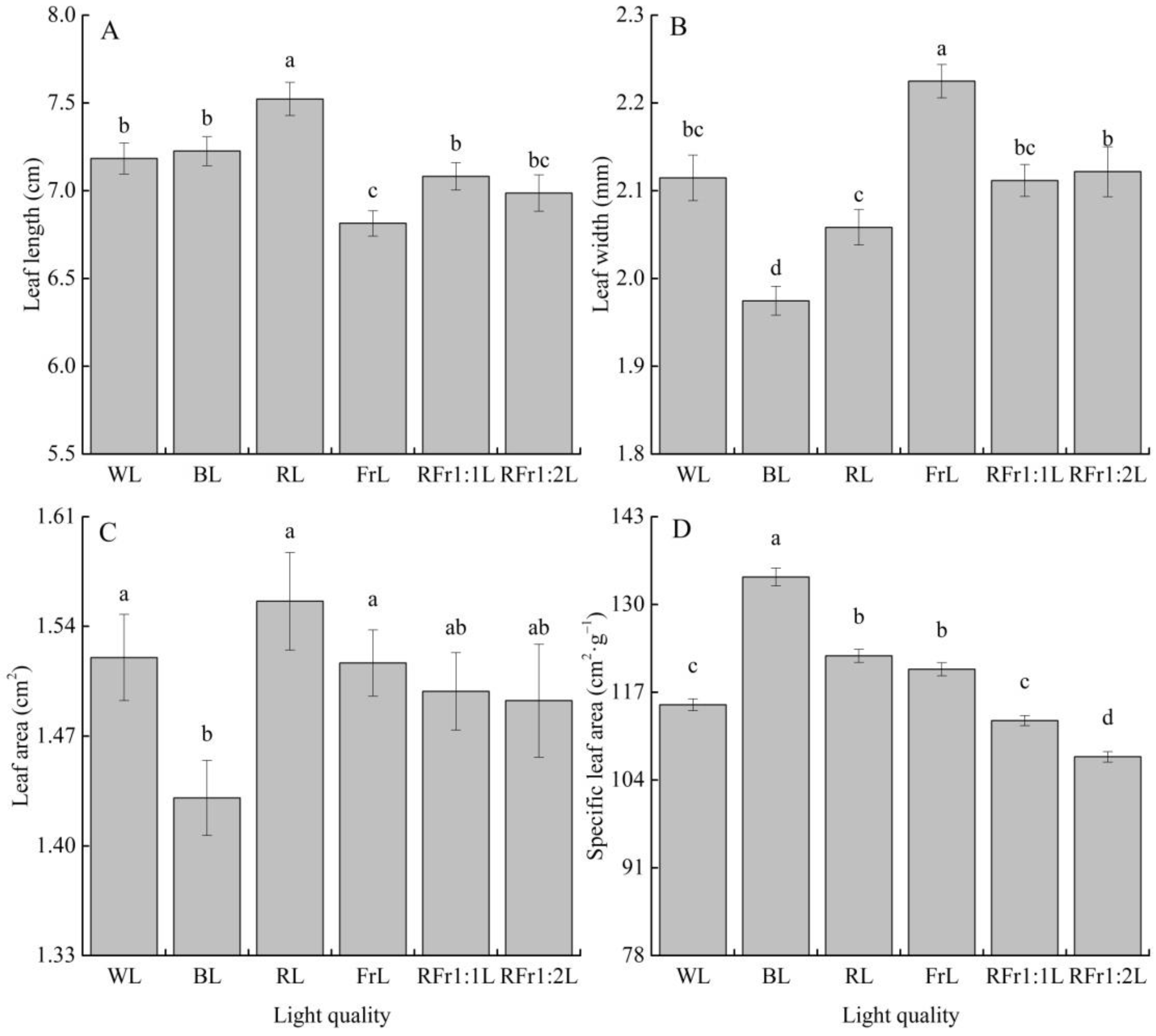
3.3. Response of Leaf Morphological Traits to Light Quality
Light quality had a significant effect on leaf morphological traits (Figure 2). Compared with WL, the leaf length of seedlings under RL was increased, but it was decreased under BL, FrL, RFr1:1L, and RFr1:2L. In contrast, leaf width decreased under BL and RL, but increased under FrL and RFr1:2L. The leaf area was the largest under RL, FrL, and WL compared with BL; the seedlings under BL displayed the minimum leaf area. The maximum specific leaf area was observed under BL, which was approximately 16.4% higher than under WL, followed by that under RL and FrL. However, under RFr1:2L, it was lower than that under WL.
Figure 2.
Leaf length (A), leaf width (B), leaf area (C), and specific leaf area (D) of Cunninghamia lanceolata seedlings under different light quality treatments. Bars represent average ± standard error (n = 6). Different lowercase letters indicate significant differences among treatments.
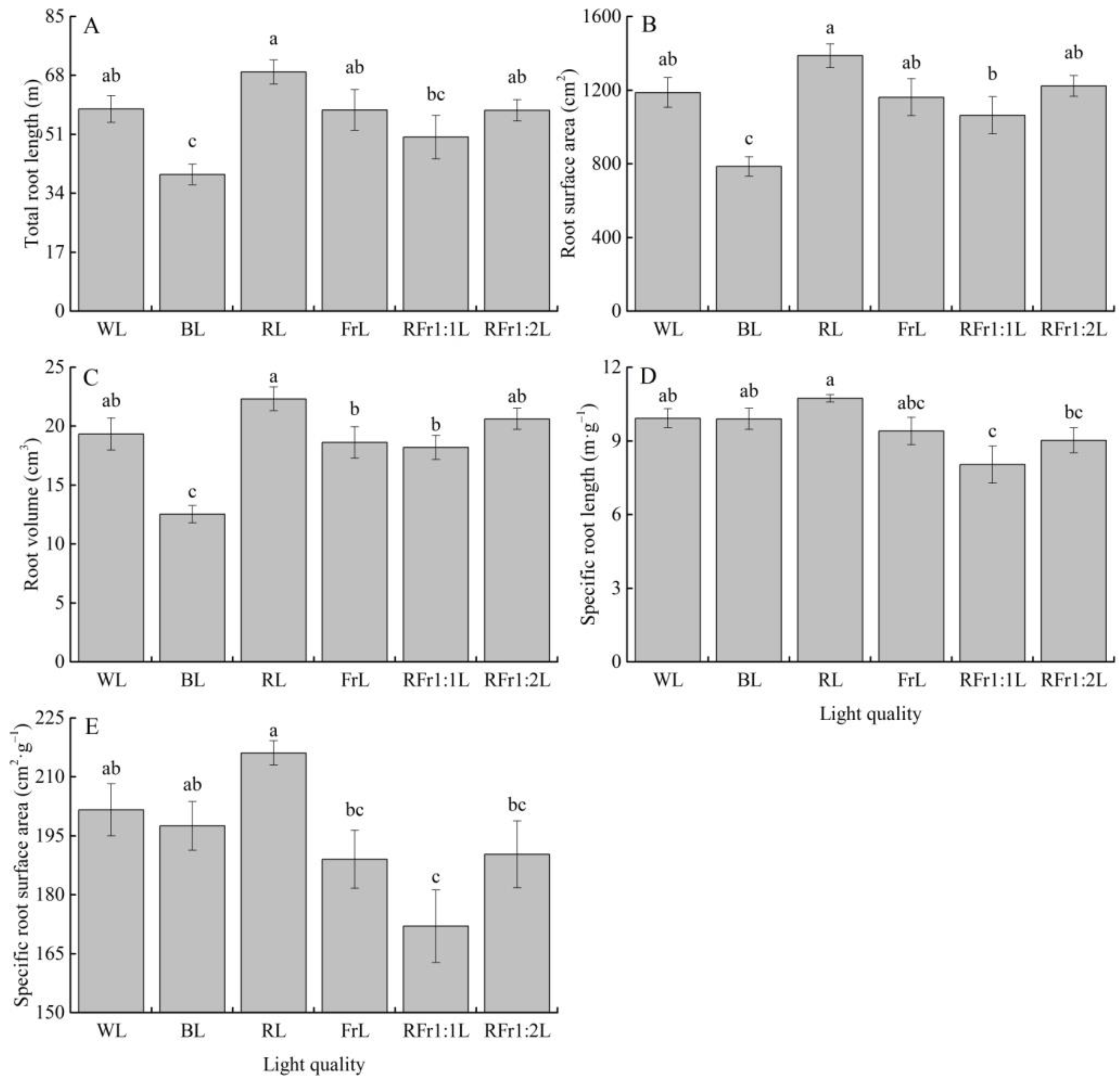
3.4. Response of Root Morphological Traits to Light Quality
Light quality significantly affected seedling root morphological traits: total root length, root surface area, root volume, specific root length, and specific root surface area (Figure 3). Total root length, root surface area and root volume were significantly higher in seedlings grown under RL than in those exposed to BL, whereas specific root length and specific root surface area were higher under RL than under RFr1:1L. The seedlings displayed the lowest total root length, root surface area, and root volume under BL, which decreased by 32.4%, 33.8%, and 35.2%, respectively, compared to the corresponding parameter under WL. The lowest specific root length and specific root surface area were observed under RFr1:1L. With a decrease in the R:Fr ratio, all the values of root traits increased, but no significant difference was observed between RFr1:1L and RFr1:2L.
Figure 3.
Total root length (A), root surface area (B), root volume (C), specific root length (D), and specific root surface area (E) of Cunninghamia lanceolata seedlings under different light quality treatments. Bars represent average ± standard error (n = 6). Different lowercase letters indicate significant differences among treatments.
3.5. Response of Biomass Accumulation and Allocation to Light Quality
Biomass accumulation and allocation varied significantly among light quality treatments, depending on the organ (Table 2). Root biomass of seedlings grown under BL decreased significantly by 32.5% compared with that under WL. In contrast, light quality did not cause any significant variation between WL and the other treatments. However, there were no significant differences in stem biomass (p = 0.222) and leaf biomass (p = 0.302) accumulation among treatments. Moreover, there was no significant difference in the total biomass among all treatments (p = 0.056). The differences between the light quality treatments were larger for organ biomass allocation and the root-to-shoot ratio. All light quality treatments except BL increased the root mass ratio, while BL treatment increased leaf and stem mass ratios compared to other treatments. The root-to-shoot ratio was higher for seedlings grown under RFr1:1L than under WL and BL.
Table 2.
Biomass accumulation and allocation in Cunninghamia lanceolata under different light quality treatments.
3.6. Phenotypic Plasticity and Patterns of Traits and Light Quality Relations
The various traits showed different plastic responses to light quality (Table 3). The plasticity in decreasing order of average CV values was bud growth > seedling growth > root morphology > biomass accumulation and allocation > leaf morphology. Among bud growth traits, bud height displayed higher plasticity (high CV value) than that of other bud growth traits, and the average CV of bud growth traits was 75.59%. Height increment showed higher plasticity than other growth traits, as shown by a higher CV value. The average CV for seedling growth traits was 25.99%. Total root length was the most plastic of the root morphological traits (high CV value), and the average CV of root morphological traits was 18.9%. The most plastic among biomass traits was stem biomass (high CV value), and the average CV of seedling biomass traits was 13.71%. Finally, leaf area was the most plastic among leaf morphological traits (high CV value), and the average CV of leaf morphology traits was 10.65%.
Table 3.
Coefficient of variation (CV%) for each trait ranked from highest to lowest.
PCA was performed to examine the patterns of relationship between traits and light quality treatments, and the results showed that 38.69% and 25.52% of the total variance was explained by first two principal components (PC1 and PC2, respectively) that distinctly differentiated the responses of various traits to light quality treatments (Figure 4). Root surface area (RSA), root volume (RV), and root biomass (RB) responded positively to red light treatment, whereas bud number (BN), root mass ratio (RMR), and root-to-shoot ratio (R.S) responded positively to RL, RFr1:1L, and RFr1:2L. Blue light influenced height-to-diameter ratio (H.D), leaf mass ratio (LMR), branch length increment (BLI), height increment (HI), and stem mass ratio (SMR). Stem biomass (SB) was promoted by FrL, while specific root length (SRL), leaf biomass (LB), specific root surface area (SRSA), diameter increment (DI), total biomass (TB), and total root length (TRL) were promoted by WL, RL, and RFr1:2L. As a whole, the PCA results showed that the various traits differed in their response to light quality treatments.
Figure 4.
Principal Component Analysis (PCA) plot showing the patterns of trait responses to light quality treatment: HI, height increment; DI, diameter increment; H.D, height-to-diameter ratio; BLI, branch length increment; LB, leaf biomass; SB, stem biomass; RB, root biomass; TB, total biomass; LMR, leaf mass ratio; SMR, stem mass ratio; RMR, root mass ratio; BB, bud biomass; BN, bud number; R.S, root-to-shoot ratio; RV, root volume; RSA, root surface area; TRL, total root length; SRSA specific root surface area; SRL, specific root length.
4. Discussion
Light is a basic environmental factor that influences plant growth and development. The growth and development of plants is not only restricted by the amount or intensity of light, but also by its quality, that is, the wavelength and proportion of different wavelengths. Plants can detect subtle changes in light conditions and initiate physiological and morphological changes necessary for survival in a particular habitat. Morphological and growth plasticity are important strategies for plants to adapt to different environments and resource levels [30,31]. In our study, C. lanceolata seedlings showed distinct morphological adjustment in response to different light quality treatments. Compared with WL and other light quality treatments, the height and branch length of seedlings grown under BL and FrL increased obviously, but the stem was thinner and exhibited an elongated morphology; the opposite was reported for Toona sinensis (A. Juss.) Roem. [32]. It was suggested that BL could increase the activity of indoleacetic acid (IAA) oxidase, decreasing the content of IAA and inhibiting stem elongation [33]. Therefore, the effects of BL on seedling stem growth remain unclear, and various plant species may adapt differently in response to different light quality. C. lanceolata seedlings exhibited greater height increments and had a higher H:D ratio under FrL than the other treatments. Previous studies have shown that plants exhibit adaptive responses similar to shade avoidance, which is known as shade-avoidance syndrome (SAS), in response to high FrL or a low R/Fr ratio [26]. In other words, the effect of FrL on plants may be equivalent to that of shading. In addition, C. lanceolata seedlings promote stem elongation under lower light conditions [27], likely because this mechanism facilitates escape from darker regions in natural ecosystems. Hence, the adaptive response of C. lanceolata to FrL treatment is to increase growth, similar to the response to shade treatment. Similarly, many studies have confirmed that FrL can cause increased plant stem elongation. For instance, far-red-rich light caused stem elongation in lettuce (Lactuca sativa L. cv. Red Cross) [34], geranium (Pelargonium × hortorum), and snapdragon (Antirrhinum majus) [35] seedlings, while also strengthening apical dominance but reducing assimilate storage and branching [36,37,38]. Compared with RFr1:1L, the height increment of C. lanceolata seedlings was significantly higher under RFr1:2L. Low R/Fr ratios or increased FrL proportion also induced a classic shade-avoidance repertoire of increased stem elongation in C. lanceolata seedlings. It has also been reported that decreasing the R/Fr ratio can significantly promote stem elongation in tomato (Solanum lycopersicum L. H. Karst) seedlings [39]. This appears to be mediated mainly by the increasing FrL treatment enhancing the endogenous gibberellin (GA) content, which promotes the elongation of plant stems, as was reported by Kurepin [40,41]. The effect of RL on plants was opposite to that of FrL, which inhibited stem elongation and resulted in a lower height increment. Therefore, it is necessary to further study the changes in endogenous hormone content under different light quality treatments and their effects on seedling morphological traits.
Light plays a signaling role in regulating vital processes, such as bud emergence. The results from the present study show that buds of C. lanceolata seedlings are likely to be more sensitive to light quality and more plastic than those of other traits. Compared with WL, there were more buds under RL, RFr1:1L, and RFr1:2L treatments. Chen et al. [42] also found that an increased proportion of RL was beneficial for tillering in Lolium perenne and Festuca arundinacea. The large number of buds increased the competition for nutrients between buds and the root and aboveground parts of seedlings. Therefore, under the RL, RFr1:1L, and RFr1:2L treatments the bud height was small and the size difference among them was not significant. The bud biomass in the RFr1:1L treatment was larger than that in the RL and RFr1:2L treatments, which may be due to the higher quantity of buds. As the proportion of FrL increased, the number of buds decreased. Similar results were reported in studies on Trifolium repens L. [43]. These results indicate that FrL inhibits branching or formation of lateral buds. The number of buds in C. lanceolata seedlings under FrL and BL was significantly lower than that under WL, but the height and biomass of buds were significantly higher than those under other treatments. In addition, as mentioned above, the height increments of seedlings under FrL and BL treatments were significantly higher than those under other treatments. The effect of BL on stem elongation was similar to that of FrL; there is uncertainty as to whether it is related to the GA content or the regulatory effect of other endogenous hormones. These topics need to be investigated further.
In our study, RL treatment enlarged the leaf area of C. lanceolata seedlings compared with the other treatments. Similar results were obtained in lettuce grown under red LEDs with elongated cotyledons [44]. In fact, the wavelength of RL is in accordance with the absorption peaks of chlorophyll and plant pigments. In addition, some studies have suggested that RL promotes cell division and expansion, which increases leaf area [36,45,46] in agreement with our results. Other studies have suggested that blue LED light is important for leaf expansion and enhances leaf area and biomass production [7,47,48]. However, in our study, the seedlings grown under BL treatment had a smaller leaf area, but a larger specific leaf area. Other studies reported that BL inhibits cell division and expansion, thus reducing the leaf area [45], which supports our findings. The change in specific leaf area is a mechanism for homeostasis in plants to maintain optimal light capture energy. The increase in specific leaf area means that the accumulation of the same amount of dry matter can result in a larger leaf area to capture more PAR and improve the utilization rate of light energy. Although the specific leaf area was significantly larger under BL treatment, the overall leaf area of the seedlings decreased significantly, resulting in a significant decrease in the light-affected area of the whole seedling, which would affect biomass accumulation. Thus, the increase in specific leaf area may be a compensatory mechanism for the morphological plasticity in response to nutrient deficiency of seedlings grown under BL treatment. Furthermore, we found that prolonged exposure to FrL-enriched light conditions induces leaves to become thicker and smaller compared to WL treatment, similar to the findings of Kim et al. [26]. However, some studies on low R/Fr demonstrated that FrL radiation increased the leaf area in lettuce [34], geranium, and snapdragon [35] seedlings. These results indicate that plant responses to light quality are species- or cultivar-dependent. In general, the phenotypic plasticity of C. lanceolata leaf morphology was relatively low, with an average leaf CV of 10.65%.
The acquisition of belowground resources by plants mainly depends on the structure and morphology of roots, and different plastic changes in roots can affect the final results of competition. Root length is the most intuitive morphological trait in the belowground organs of plants, which determines the soil depth that plants can extend to and directly affects the ability of plants to obtain resources [49]. In addition, environmental and evolutionary pressures that shape the development of plant traits might act differentially above- and belowground [50]. Thus, it is necessary to study the morphological plasticity of plant roots. Seedlings with larger root volumes and surface areas have a better ability to take up water and mineral nutrition. Root length, root volume, and root surface area were significantly higher in C. lanceolata seedlings grown under RL than in seedlings exposed to other light qualities. Wei et al. [51] also found that RL promoted the elongation of roots of tissue-culture seedlings in chrysanthemum. Specific root length and specific root surface area are two important parameters that reflect the capacity to absorb root resources and have a great influence on the efficiency of absorption and the ability to occupy soil resources. A larger specific root length and specific root surface area means that there is an opportunity to explore larger volumes of soil and draw more minerals and other nutrients. In our study, seedlings grown under RL appeared to have increased their foraging ability by means other than increased total length, including increases in specific root length, increased specific root surface area, and greater allocation to belowground biomass, allowing for better exploration and/or exploitation of deeper soil horizons. In contrast, seedlings displayed the lowest total root length, root surface area, and root volume under BL treatment, suggesting that the roots of seedlings grown under BL were the weakest. Relatively low specific root length and specific root surface area were observed under RFr1:1L treatment, which is indicative of poor growth of roots under RFr1:1L treatment. This observation is indicative of poor growth of roots under BL and RFr1:1L, and also indicates that root induction is probably also dependent on the spectral quality of light. Vigorous root growth supports shoot growth by fully supplying the plant with water and mineral nutrition, as in seedlings grown under RL. In contrast, poor roots cannot supply sufficient water or mineral nutrients, which decreases plant growth and biomass accumulation [15].
Different light qualities or wavelengths have different biological effects, including different effects on plant morphology and chemical composition, photosynthesis, organ growth, and development. Plant biomass accumulation and allocation is the net result of these effects and is the most important and convincing index reflecting the positive or negative effects of light quality. Previous studies have shown that light quality plays an important role in regulating plant biomass accumulation and allocation [52]. In this study, compared with WL and other light quality treatments, the biomass accumulation in different organs of C. lanceolata seedlings under BL treatment was reduced, and the total biomass was the lowest. Ohashi-Kaneko [53] reported similar results for spinach:shoot dry matter weight under BL decreased significantly. The reduced photon capture resulting from reduced leaf area may be the reason for BL reducing seedling biomass accumulation despite the increased specific leaf area. In addition, the roots of seedlings grown under BL were the weakest, as mentioned above. Therefore, it was demonstrated that the increase in specific leaf area is a compensatory mechanism under BL, and the advantage of high photosynthesis with larger specific leaf area does not lead to more biomass accumulation. On the contrary, larger leaves allowed greater light interception, which may have led to a significant increase in biomass, as the seedlings grown under RL exhibited the largest leaf area and biomass. Moreover, under RL treatment, seedlings accumulated more biomass and allocated more resources to leaves (increasing the allocation of photosynthetic tissue biomass) and had a larger root-to-shoot ratio [52]. The high efficiency of RL on plant growth is easy to understand because RL wavelengths perfectly match the absorption peaks of chlorophylls and phytochromes.
In contrast, the effect of FrL on plants was opposite to that of RL. For example, long-term irradiation with a low ratio of RL-to-FrL led to reduced leaf area and increased stem dry weight. These phenomena may be related to phytochromes [53]. C. lanceolata seedlings subjected to a low R/Fr ratio or Fr enrichment accumulated more stem biomass. The seedlings grown under FrL had the largest total biomass of aboveground organs (stem and leaf), followed by those grown under RFr1:2L, and that of seedlings grown under RFr1:1L was the lowest. Studies on plant shade avoidance could provide a good explanation for this: lowering R/Fr acts as a signal for plants to promote shoot elongation, which is a response likely to enhance the light-foraging capacity [54]. The survival and growth of seedlings under different environments depends on the comprehensive response of the aboveground and belowground parts to available resources [55,56]. The effects of light quality on C. lanceolata seedlings most likely shaped the above- and belowground response patterns. Our analysis suggests that light quality significantly affected the root biomass accumulation, with no significant effects on stems and leaves. Moreover, the analysis of CV values for different organ biomasses and mass ratios showed that the CV values of root biomass and root mass ratio were larger than those for stem and leaf, suggesting that both stem and leaf, as the aboveground structures directly in contact with light, were less sensitive to the light quality treatments than roots that were buried deep underground.
5. Conclusions
In conclusion, significant changes in seedling growth, bud growth, leaf and root morphological traits, and biomass accumulation and allocation were observed in C. lanceolata seedlings under different light quality treatments, suggesting high plasticity in morphological acclimation to light. Increasing the proportion of FrL promoted the growth and biomass accumulation in C. lanceolata seedlings. The most plastic traits in response to light quality were bud characteristics, followed by seedling growth traits, which were likely to be more sensitive to the light quality than leaf morphological traits and biomass traits, which had low plasticity. Our results have important implications for natural regeneration of C. lanceolata, in which manipulating the forest canopy to balance the red and far-red light proportion reaching the forest floor would ensure good growth of the species, thereby accelerating the natural regeneration process.
Author Contributions
Conceptualization, B.L., S.J. and X.M; methodology, B.L., S.J. and X.X.; software, Q.L. and Z.H.; validation, Q.L., Z.H. and X.X.; formal analysis, Q.L. and Z.H.; investigation, Q.L. and Z.H.; resources, B.L. and S.J.; data curation, B.L. and S.J.; writing—original draft preparation, Q.L., Z.H., B.L., M.T. and X.M.; writing—review and editing, B.L., M.T., Q.L., Z.H., S.J., X.M. and X.X.; visualization, Q.L. and Z.H.; supervision, B.L. and S.J.; project administration, B.L. and S.J.; funding acquisition, B.L., S.J. and Z.H. All authors have read and agreed to the published version of the manuscript.
Funding
This study was funded by the Scientific Research Foundation of the Graduate School of Fujian Agriculture and Forestry University (324-1122yb071), and the National Natural Science Foundation of China (No. 31670714 and 31570448).
Institutional Review Board Statement
Not applicable.
Informed Consent Statement
Not applicable.
Data Availability Statement
Data used in this study will be made available upon reasonable request to the corresponding author.
Conflicts of Interest
The authors declare no conflict of interest.
References
- Wirth, R.; Weber, B.; Ryel, R.J. Spatial and temporal variability of canopy structure in a tropical moist forest. Acta Oecol. 2001, 22, 235–244. [Google Scholar] [CrossRef]
- Nascimento, K.C.; Pastorini, L.H.; Romagnolo, M.B.; Souza, L.A.D. Do Eugenia hiemalis seedling leaves under different light conditions develop phenotypic plasticity? Plant Ecol. 2015, 216, 1571–1581. [Google Scholar] [CrossRef]
- Pearcy, R.W. Responses of plants to heterogeneous light environments. In Functional Plant Ecology; Pugnaire, F.I., Valladares, F., Eds.; CRC Press: Boca Raton, FL, USA, 2007; pp. 213–257. [Google Scholar]
- Montgomery, R.; Chazdon, R.J. Light gradient partitioning by tropical tree seedlings in the absence of canopy gaps. Oecologia 2002, 131, 165–174. [Google Scholar] [CrossRef] [PubMed]
- Possart, A.; Fleck, C.; Hiltbrunner, A. Shedding (far-red) light on phytochrome mechanisms and responses in land plants. Plant Sci. 2014, 217, 36–46. [Google Scholar] [CrossRef]
- Godo, T.; Fujiwara, K.; Guan, K.; Miyoshi, K. Effects of wavelength of LED-light on in vitro asymbiotic germination and seedling growth of Bletilla ochracea Schltr. (Orchidaceae). Plant Biotechnol. 2011, 28, 397–400. [Google Scholar] [CrossRef]
- Hogewoning, S.W.; Trouwborst, G.; Maljaars, H.; Poorter, H.; van Ieperen, W.; Harbinson, J. Blue light dose–responses of leaf photosynthesis, morphology, and chemical composition of Cucumis sativus grown under different combinations of red and blue light. J. Exp. Bot. 2010, 61, 3107–3117. [Google Scholar] [CrossRef]
- Hernández, R.; Kubota, C. Tomato seedling growth and morphological responses to supplemental LED lighting red: Blue rations under varied daily solar light integrals. Acta Hortic. 2012, 956, 187–194. [Google Scholar] [CrossRef]
- Paquette, A.; Bouchard, A.; Cogliastro, A. Morphological plasticity in seedlings of three deciduous species under shelterwood under-planting management does not correspond to shade tolerance ranks. For. Ecol. Manag. 2007, 241, 278–287. [Google Scholar] [CrossRef]
- Takahashi, K.; Seino, T.; Kohyama, T. Responses to canopy openings in architectural development of saplings in eight deciduous broad-leaved tree species. Can. J. For. Res. 2001, 31, 1336–1347. [Google Scholar] [CrossRef][Green Version]
- Delagrange, S.; Messier, C.; Lechowicz, M.J.; Dizengremel, P. Physiological, morphological and allocational plasticity in understory deciduous trees: Importance of plant size and light availability. Tree Physiol. 2004, 24, 775–784. [Google Scholar] [CrossRef]
- Rolhauser, A.G.; Pucheta, E. Annual plant functional traits explain shrub facilitation in a desert community. J. Veg. Sci. 2016, 27, 60–68. [Google Scholar] [CrossRef]
- Xie, J.B.; Xu, G.Q.; Jenerette, G.D.; Bai, Y.F.; Wang, Z.Y.; Li, Y. Apparent plasticity in functional traits determining competitive ability and spatial distribution: A case from desert. Sci. Rep. 2015, 5, 12174. [Google Scholar] [CrossRef] [PubMed]
- Freschet, G.T.; Violle, C.; Bourget, M.Y.; Scherer-Lorenzen, M.; Fort, F. Allocation, morphology, physiology, architecture: The multiple facets of plant above- and below-ground responses to resource stress. New Phytol. 2018, 219, 1338–1352. [Google Scholar] [CrossRef]
- Lin, K.H.; Huang, M.Y.; Huang, W.D.; Hsu, M.H.; Yang, Z.W.; Yang, C.M. The effects of red, blue, and white light-emitting diodes on the growth, development, and edible quality of hydroponically grown lettuce (Lactuca sativa L. var. capitata). Sci. Hortic. 2013, 150, 86–91. [Google Scholar] [CrossRef]
- Massa, G.D.; Kim, H.H.; Wheeler, R.M.; Mitchell, C.A. Plant productivity in response to LED lighting. Hortscience. 2008, 43, 1951–1956. [Google Scholar] [CrossRef]
- He, J.; Qin, L.; Liu, Y.M.; Choong, T.W. Photosynthetic capacities and productivity of indoor hydroponically grown Brassica alboglabra bailey under different light sources. Am. J. Plant Sci. 2015, 6, 554–563. [Google Scholar] [CrossRef]
- Mitchell, C.A.; Dzakovich, M.P.; Gomez, C.; Lopez, R.; Burr, J.F.; Hernandez, R.; Kubota, C.; Currey, C.J.; Meng, Q.W.; Runkle, E.S.; et al. Light-emitting diodes in horticulture. Hortic. Rev. 2015, 43, 1–88. [Google Scholar]
- Marcelis, L.F.M.; Elings, A.; Bakker, M.; Brajeul, E.; Dieleman, J.A.; de Visser, P.H.B.; Heuvelink, E. Modelling dry matter production and partitioning in sweet pepper. Acta Hortic. 2006, 718, 121–128. [Google Scholar] [CrossRef]
- Mitchell, C.A. Plant lighting in controlled environments for space and earth applications. Acta Hortic. 2012, 956, 23–36. [Google Scholar] [CrossRef]
- Marondedze, C.; Liu, X.Y.; Huang, S.H.; Wong, C.; Zhou, X.; Pan, Z.T.; An, H.T.; Xu, N.; Tian, X.C.; Wong, A. Towards a tailored indoor horticulture: A functional genomics guided phenotypic approach. Hortic. Res. 2018, 5, 68. [Google Scholar] [CrossRef]
- Hernández, R.; Kubota, C. Physiological responses of cucumber seedlings under different blue and red photon flux ratios using LEDs. Environ. Exp. Bot. 2016, 29, 66–74. [Google Scholar] [CrossRef]
- OuYang, F.Q.; Ou, Y.; Zhu, T.Q.; Ma, J.W.; An, S.P.; Zhao, J.; Wang, J.H.; Kong, L.S.; Zhang, H.G.; Tigabu, M. Growth and physiological responses of Norway spruce (Piceaabies (L.) H. Karst) supplemented with monochromatic red, blue and far-red light. Forests. 2021, 12, 164. [Google Scholar] [CrossRef]
- Miler, N.; Kulus, D.; Woźny, A.; Rymarz, D.; Hajzer, M.; Wierzbowski, K.; Nelke, R.; Szeffs, L. Application of wide-spectrum light-emitting diodes in micropropagation of popular ornamental plant species: A study on plant quality and cost reduction. In Vitro Cell. Dev. Biol.-Plant. 2019, 55, 99–108. [Google Scholar] [CrossRef]
- Kulus, D.; Woźny, A. Influence of light conditions on the morphogenetic and biochemical response of selected ornamental plant species under in vitro conditions: A mini-review. Bio Technol. 2020, 101, 75–83. [Google Scholar] [CrossRef]
- Kim, H.J.; Lin, M.Y.; Mitchell, C.A. Light spectral and thermal properties govern biomass allocation in tomato through morphological and physiological changes. Environ. Exp. Bot. 2019, 157, 228–240. [Google Scholar] [CrossRef]
- Liu, B.; Liu, Q.Q.; Daryanto, S.; Guo, S.; Huang, Z.J.; Wang, Z.N.; Wang, L.X.; Ma, X.Q. Responses of Chinese fir and Schima superba seedlings to light gradients: Implications for the restoration of mixed broadleaf-conifer forests from Chinese fir monocultures. For. Ecol. Manag. 2018, 419–420, 51–57. [Google Scholar] [CrossRef]
- Huang, Z.J.; Liu, Q.Q.; An, B.; Wu, X.J.; Sun, L.J.; Wu, P.F.; Ma, X.Q. Effects of planting density on morphological and photosynthetic characteristics of leaves in different positions on Cunninghamia lanceolata saplings. Forests 2021, 12, 853. [Google Scholar] [CrossRef]
- Kramer-Walter, K.R.; Laughlin, D.C. Root nutrient concentration and biomass allocation are more plastic than morphological traits in response to nutrient limitation. Plant Soil. 2017, 416, 539–550. [Google Scholar] [CrossRef]
- Messier, J.; McGill, B.J.; Lechowicz, M.J. How do traits vary across ecological scales? A case for trait-based ecology. Ecol. Lett. 2010, 13, 838–848. [Google Scholar] [CrossRef]
- Albert, C.H.; de Bello, F.; Boulangeat, I.; Pellet, G.; Lavorel, S.; Thuiller, W. On the importance of intraspecific variability for the quantification of functional diversity. Oikos 2012, 121, 116–126. [Google Scholar] [CrossRef]
- Zhang, L.W.; Liu, S.Q.; Zhang, Z.K.; Yang, R.; Yang, X.J. Dynamic of different qualities on growth of Toona sinensis seedlings. Acta Agric. Boreali Occident. Sin. 2010, 19, 115–119. (In Chinese) [Google Scholar]
- Li, S.S.; Pan, R.C. Blue light effect of plant. Plant Physiol. Commun. 1993, 29, 248–252. [Google Scholar]
- Li, Q.; Kubota, C. Effects of supplemental light quality on growth and phytochemicals of baby leaf lettuce. Environ. Exp. Bot. 2009, 67, 59–64. [Google Scholar] [CrossRef]
- Park, Y.; Runkle, E.S. Far-red radiation promotes growth of seedlings by increasing leaf expansion and whole-plant net assimilation. Environ. Exp. Bot. 2017, 136, 41–49. [Google Scholar] [CrossRef]
- Dou, H.J.; Niu, G.H.; Gu, M.M.; Masabni, J.G. Effects of light quality on growth and phytonutrient accumulation of herbs under controlled environments. Horticulturae 2017, 3, 36. [Google Scholar] [CrossRef]
- Devlin, P.F.; Yanovsky, M.J.; Kay, S.A. A genomic analysis of the shade avoidance response in arabidopsis. Plant Physiol. 2003, 133, 1617–1629. [Google Scholar] [CrossRef]
- Whitelam, G.C.; Halliday, K.J. Annual Plant Reviews, Light and Plant Development; John Wiley & Sons: Hoboken, NJ, USA, 2008. [Google Scholar]
- Kurepin, L.V.; Yip, W.K.; Fan, R.; Yeung, E.C.; Reid, D.M. The roles and interactions of ethylene with gibberellins in the far-red enriched light-mediated growth of Solanum lycopersicum seedlings. Plant Growth Regul. 2010, 61, 215–222. [Google Scholar] [CrossRef]
- Kurepin, L.V.; Emery, R.J.N.; Pharis, R.P.; Reid, D.M. The interaction of light quality and irradiance with gibberellins, cytokinins and auxin in regulating growth of Helianthus annuus hypocotyls. Plant Cell Environ. 2007, 30, 147–155. [Google Scholar] [CrossRef]
- Kurepin, L.V.; Emery, R.J.N.; Pharis, R.P.; Reid, D.M. Uncoupling light quality from light irradiance effects in Helianthus annuus shoots: Putative roles for plant hormones in leaf and internode growth. J. Exp. Bot. 2007, 58, 2145–2157. [Google Scholar] [CrossRef]
- Chen, D.J.; Han, L.B.; Song, G.L.; Chen, Y.F. Effect of different ratio of red and blue light emitting diodes on growth and physiological characteristics of two cool-season turfgrass. Pratacult. Sci. 2019, 36, 2831–2837. (In Chinese) [Google Scholar]
- Robin, C.; Hay, M.J.M.; Newton, P.C.D. Effect of light quality (red: Far-red ratio) and defoliation treatments applied at a single phytomer on axillary bud outgrowth in Trifoliumrepens L. Oecologia 1994, 100, 236–242. [Google Scholar] [CrossRef] [PubMed]
- Darko, E.; Heydarizadeh, P.; Schoefs, B.; Sabzalian, M.R. Photosynthesis under artificial light: The shift in primary and secondary metabolism. Philos. Trans. R. Soc. Lond. Ser. A 2014, 369, 20130243. [Google Scholar] [CrossRef] [PubMed]
- Bugbee, B. In Toward an optimal spectral quality for plant growth and development: The importance of radiation capture. In VIII International Symposium on Light in Horticulture; ISHS: East Lansing, MI, USA, 2016; Volume 22–26, pp. 1–12. [Google Scholar]
- Schoefs, B. Chlorophyll and carotenoid analysis in food products. Properties of the pigments and methods of analysis. Trends Food Sci. Technol. 2002, 13, 361–371. [Google Scholar] [CrossRef]
- Li, H.M.; Xu, Z.G.; Tang, C.M. Effect of light emitting diodes on growth and morphogenesis of upland cotton (Gossypiumhirsutum L.) plantlets in vitro. Plant Cell Tiss. Org. 2010, 103, 155–163. [Google Scholar] [CrossRef]
- Johkan, M.; Shoji, K.; Goto, F.; Hahida, S.; Yoshihara, T. Effect of green light wavelength and intensity on photomorphogenesis and photosynthesis in Lactuca sativa. Environ. Exp. Bot. 2012, 75, 128–133. [Google Scholar] [CrossRef]
- Zhai, S.H.; Wang, P.; Sheng, L.X. Phenotypic plasticity of plant functional traits in competition environments. J. Beihua Univ. 2017, 18, 538–546. (In Chinese) [Google Scholar]
- Bergmann, J.; Ryo, M.; Prati, D.; Hempel, S.; Rillig, M.C. Root traits are more than analogues of leaf traits: The case for diaspore mass. New Phytol. 2017, 216, 1130–1139. [Google Scholar] [CrossRef]
- Wei, X.; Gu, Q.; Dai, Y.J.; Xu, Z.G. Different light qualities on growth of chrysanthemum (Dendranthema morifolium) plantlets in virto. Chin. Agric. Sci. Bull. 2008, 24, 344–349. (In Chinese) [Google Scholar]
- Yu, W.W.; Liu, Y.; Song, L.L.; Jacobs, D.F.; Du, X.H.; Ying, Y.Q.; Shao, Q.S.; Wu, J.S. Effect of differential light quality on morphology, photosynthesis, and antioxidant enzyme activity in Camptotheca acuminata seedlings. J. Plant Growth Regul. 2017, 36, 148–160. [Google Scholar] [CrossRef]
- Ohashi-Kaneko, K.; Takase, M.; Kon, N.; Fujiwara, K.; Kurata, K. Effect of light quality on growth and vegetable quality in leaf lettuce, spinach and komatsuna. Environ. Control Biol. 2007, 45, 189–198. [Google Scholar] [CrossRef]
- Franklin, K.A. Shade avoidance. New Phytol. 2008, 179, 930–944. [Google Scholar] [CrossRef] [PubMed]
- Saldaña-Acosta, A.; Meave, J.A.; Sánchez-Velásquez, L.R. Seedling biomass allocation and vital rates of cloud forest tree species: Responses to light in shade house conditions. Forest Ecol. Manag. 2009, 258, 1650–1659. [Google Scholar] [CrossRef]
- Nishimura, E.; Suzaki, E.; Irie, M.; Nagashima, H.; Hirose, T. Architecture and growth of an annual plant Chenopodium album in different light climates. Ecol. Res. 2010, 25, 383–393. [Google Scholar] [CrossRef]
Publisher’s Note: MDPI stays neutral with regard to jurisdictional claims in published maps and institutional affiliations. |
© 2022 by the authors. Licensee MDPI, Basel, Switzerland. This article is an open access article distributed under the terms and conditions of the Creative Commons Attribution (CC BY) license (https://creativecommons.org/licenses/by/4.0/).



