The Influence of Stand Structure on Understory Herbaceous Plants Species Diversity of Platycladus orientalis Plantations in Beijing, China
Abstract
1. Introduction
2. Materials and Methods
2.1. Overview of the Study Area
2.2. Sample Plot Setting
2.3. Research Methods
2.3.1. Stand Structure Parameters
2.3.2. Indices of Understory Herbaceous Plants Species Diversity
- (1)
- Margalef richness indexThe Margalef richness index is an index reflecting the number of species in a community, and it was calculated using Equation (5):
- (2)
- Simpson indexThe Simpson index, indicates the probability that two individuals are randomly selected from the community and not put back, and that two herbaceous individuals belong to the same species. The greater the probability that two herbaceous individuals belong to the same species, the higher the concentration of herbaceous individuals and the lower the species diversity. It was calculated by using Equation (6):
- (3)
- Shannon–Wiener indexThe Shannon–Wiener index applies an information-theoretic approach to predict which species the next collected individual belongs to; and if the community species diversity is higher, the greater the uncertainty in predicting the next individual is. It was calculated by using Equation (7):
- (4)
- Pielou evenness indexThe Pielou evenness index reflects the distribution of individuals of all species in a community, and the higher the species evenness index, the more evenly the number of individuals of each species is distributed. It was calculated by using Equation (8):where S is the number of species, N is the total number of individuals of all species, and is the ratio of the number of the ith species to the overall number of species.
2.3.3. Data Processing
- (1)
- Pearson’s correlation analysisThe Pearson correlation coefficient [27] was used to calculate the univariate correlation between stand structure and understory herbaceous plants species diversity with the following Equation (9):where r is correlation coefficient, x and y are samples, and and are the average of samples.
- (2)
- Canonical Correlation AnalysisCanonical Correlation Analysis (CCA) [28] is a mathematical method used to measure the correlation between two sets of multiple variables, where one set of variables is the stand structure indices and the other is understory herbaceous plants species diversity indices, assuming that the two sets of variables are as follows:One or more representative comprehensive variables, Zi and Vi, were selected among the two sets of variables. This comprehensive variable can be used to replace the original variable. The equation is as follows:The correlation between X and Y was explored using the relationship between linear combinations of Zi and Vi to find the best vectors a and b to maximize the correlation coefficient between Zi and Vi.
- (3)
- Multiple linear regressionStepwise regression was conducted to establish a multiple linear regression model with species diversity indices as the dependent variable and stand structure indices as the independent variables, and the equation was as follows.where y is the dependent variable, is the independent variable, is a constant, and is residual.
3. Results and Analysis
3.1. Basic Characteristics of Stand Structure and Species Diversity
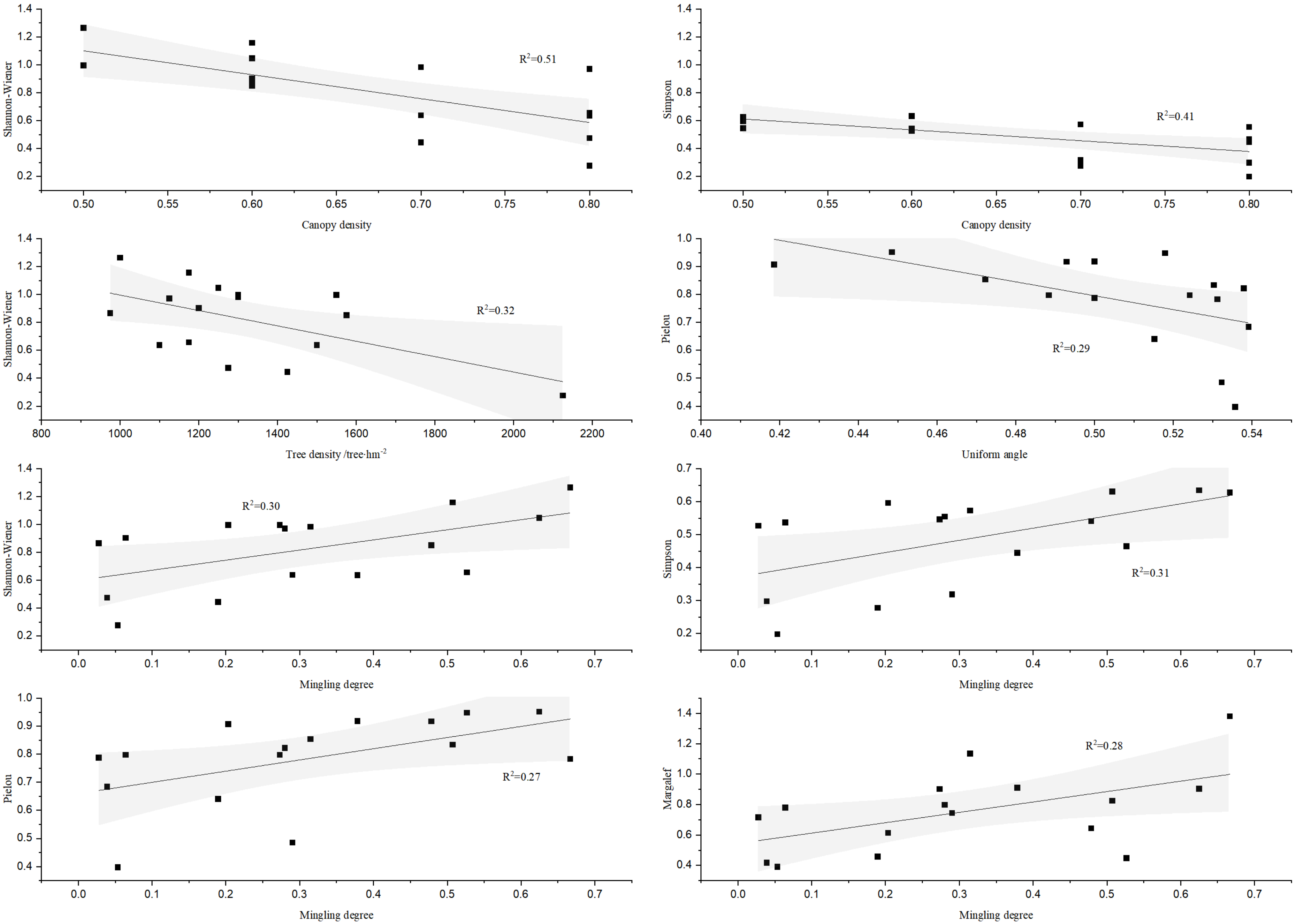
3.2. Univariate Correlation Analysis between Stand Structure and Understory Herbaceous Plants Species Diversity
3.3. Typical Correlation Analysis between Stand Structure and Understory Herbaceous Plants Species Diversity
3.4. Multiple Stepwise Regression Results
4. Discussion
5. Conclusions
Author Contributions
Funding
Data Availability Statement
Acknowledgments
Conflicts of Interest
References
- Zheng, L.T.; Chen, H.Y.H.; Hautier, Y.; Bao, D.F.; Xu, M.S.; Yang, B.Y.; Zhao, Z.; Zhang, L.; Yan, E.R. Functionally diverse tree stands reduce herbaceous diversity and productivity via canopy packing. Funct. Ecol. 2022, 36, 950–961. [Google Scholar] [CrossRef]
- Han, X.; Xu, Y.; Huang, J.H. Species Diversity Regulates Ecological Strategy Spectra of Forest Vegetation Across Different Climatic Zones. Front. Plant Sci. 2022, 13, 807369. [Google Scholar] [CrossRef] [PubMed]
- Liang, W.J.; Wei, X. Relationships between ecosystems above and below ground including forest structure, herb diversity and soil properties in the mountainous area of Northern China. Glob. Ecol. Conserv. 2020, 24, 1–10. [Google Scholar] [CrossRef]
- Hou, L.Y.; Zhang, Y.Q.; Li, Z.C.; Shao, G.D.; Song, L.G.; Sun, Q.W. Comparison of Soil Properties, Understory Vegetation Species Diversities and Soil Microbial Diversities between Chinese Fir Plantation and Close-to-Natural Forest. Forests 2021, 12, 632. [Google Scholar] [CrossRef]
- Rota, E.; Tancredi, C.; Bargagli, R. Community structure, diversity and spatial organization of enchytraeids in Medi-terranean urban holm oak stands. Eur. J. Soil Biol. 2014, 62, 83–91. [Google Scholar] [CrossRef]
- Landuyt, D.; De, L.E.; Perring, M.P. The functional role of temperate forest understorey vegetation in a changing world. Global change biology. Glob. Chang. Biol. 2019, 25, 3625–3641. [Google Scholar] [CrossRef]
- Lü, X.T.; Yin, J.X.; Tang, J.W. Diversity and composition of understory vegetation in the tropical seasonal rain forest of Xishuangbanna. Rev. Biol. Trop. 2011, 59, 455–463. [Google Scholar] [CrossRef]
- Ali, A.; Yan, E.R.; Chen, H.Y.H.; Chang, S.X.; Zhao, Y.T.; Yang, X.D.; Xu, M.S. Stand structural diversity rather than species diversity enhances aboveground carbon storage in secondary subtropical forests in Eastern China. Biogeosciences 2016, 13, 4627–4635. [Google Scholar] [CrossRef]
- Deal, R.L. Management strategies to increase stand structural diversity and enhance biodiversity in coastal rainforests of Alaska. Biol. Conserv. 2007, 137, 520–532. [Google Scholar] [CrossRef]
- Do, T.V.; Sato, T.; Saito, S.; Kozan, O.; Yamagawa, H.; Nagamatsu, D.; Manabe, T. Effects of micro-topographies on stand structure and tree species diversity in an old-growth evergreen broad-leaved forest, southwestern Japan. Glob. Ecol. Conserv. 2015, 4, 185–196. [Google Scholar] [CrossRef]
- Chapungu, L.; Nhamo, L.; Gatti, R.C.; Chitakira, M. Quantifying Changes in Plant Species Diversity in a Savanna Ecosystem Through Observed and Remotely Sensed Data. Sustainability 2020, 12, 2345. [Google Scholar] [CrossRef]
- Sreelekshmi, S.; Bijoy Nandan, S.; Sreejith, V.K.; Radhakrishnan, C.K.; Suresh, V.R. Mangrove species diversity, stand structure and zonation pattern in relation to environmental factors—A case study at Sundarban delta, east coast of India. Reg. Stud. Mar. Sci. 2020, 35, 101111. [Google Scholar] [CrossRef]
- Song, X.; Cao, M.; Li, J.; Kitching, R.L.; Nakamura, A.; Laidlaw, M.J.; Yang, J. Different environmental factors drive tree species diversity along elevation gradients in three climatic zones in Yunnan, southern China. Plant Divers. 2021, 43, 433–443. [Google Scholar] [CrossRef]
- Chevaux, L.; Marell, A.; Baltzinger, C.; Boulanger, V.; Cadet, S.; Chevalier, R.; Paillet, Y. Effects of stand structure and ungulates on understory vegetation in managed and unmanaged forests. Ecol. Appl. 2022, 32, e2531. [Google Scholar] [CrossRef]
- Ahmad, B.; Wang, Y.H.; Hao, J.; Liu, Y.H.; Bohnett, E.; Zhang, K.B. Optimizing stand structure for trade-offs between overstory timber production and understory plant diversity: A case-study of a larch plantation in northwest China. Land Degrad. Dev. 2018, 29, 2998–3008. [Google Scholar] [CrossRef]
- Liu, D.; Zhou, C.F.; He, X.; Zhang, X.H.; Feng, L.Y.; Zhang, H.R. The Effect of Stand Density, Biodiversity, and Spatial Structure on Stand Basal Area Increment in Natural Spruce-Fir-Broadleaf Mixed Forests. Forests 2022, 13, 162. [Google Scholar] [CrossRef]
- Gao, W.Q.; Lei, X.D.; Liang, M.W.; Larjavaara, M.; Li, Y.T.; Gao, D.L.; Zhang, H.R. Biodiversity increased both productivity and its spatial stability in temperate forests in northeastern China. Sci. Total Environ. 2021, 780, 146674. [Google Scholar] [CrossRef]
- Li, Y.; Zhao, Z.; Hui, G.; Hu, Y.; Ye, S. Spatial structural characteristics of three hardwood species in Korean pine broad-leaved forest—Validating the bivariate distribution of structural parameters from the point of tree population. For. Ecol. Manag. 2014, 314, 17–25. [Google Scholar] [CrossRef]
- Stoll, P.; Newbery, D.M. Evidence of species-specific neighborhood effects in the dipterocarpaceae of a Bornean rain forest. Ecology 2005, 86, 3048–3062. [Google Scholar] [CrossRef]
- China National Forestry and Grassland Administration. Phase II of Beijing Tianjin Sandstorm Source Control Project. Available online: http://hdl.handle.net/20.500.11822/29776 (accessed on 8 November 2022).
- Zhu, G.Y.; Xu, Q.G.; Lü, Y. Effects of stand spatial structure on species diversity of shrubs in Quercus spp. natural secondary forests in Hunan Province. Acta Ecol. Sin. 2018, 38, 5404–5412. [Google Scholar]
- Hui, G.Y.; Gadow, K. The neighbourhood pattern-a new structure parameter for describing distribution of foerst tree position. Sci. Silvae Sin. 1999, 35, 37–42. [Google Scholar]
- Hui, G.Y.; Gadow, K.; Albert, M. A new parameter for stand spatial structure—Neighbourhood comparison. For. Res. 1999, 1, 4–9. [Google Scholar]
- Hui, G.Y.; Hu, Y.B. Measuring species spatial isolation in mixed forests. For. Res. 2001, 14, 23–27. [Google Scholar]
- Wang, P.; Jia, L.M.; Wei, S.P.; Wang, Q.F. Analysis of stand spatial structure of Platycladus orientalis recreational forest based on Voronoi diagram method. J. Beijing For. Univ. 2013, 35, 39–44. [Google Scholar]
- Peng, Y.; Fan, M.; Song, J.Y.; Cui, T.T.; Li, R. Assessment of plant species diversity based on hyperspectral indices at a fine scale. Sci. Rep. 2018, 8, 4776. [Google Scholar] [CrossRef]
- Zhang, L.J.; Du, H.; Yang, Z.Q.; Song, T.Q.; Zeng, F.P.; Peng, W.X.; Huang, G.Q. Topography and Soil Properties Determine Biomass and Productivity Indirectly via Community Structural and Species Diversity in Karst Forest, Southwest China. Sustainability 2022, 14, 7644. [Google Scholar] [CrossRef]
- Hamayun, S.; Shujaul, M.K.; David, M.H.; Zahid, U.; Rizwana, A.Q. Species Diversity, Community Structure, and Distribution Patterns in Western Himalayan Alpine Pastures of Kashmir, Pakistan. Mt. Res. Dev. 2011, 31, 153–159. [Google Scholar]
- Pan, P.; Zhao, F.; Ning, J.; Zhang, L.; Ouyang, X.; Zang, H. Impact of understory vegetation on soil carbon and nitrogen dynamic in aerially seeded Pinus massoniana plantations. PLoS ONE 2018, 13, e0191952. [Google Scholar] [CrossRef]
- Zhang, J.W.; Young, D.H.; Oliver, W.W.; Fiddler, G.O. Effect of overstorey trees on understorey vegetation in California (USA) ponderosa pine plantations. Forestry 2016, 89, 91–99. [Google Scholar] [CrossRef]
- Barbier, S.; Gosselin, F.; Balandier, P. Influence of tree species on understory vegetation diversity and mechanisms involved—A critical review for temperate and boreal forests. For. Ecol. Manag. 2008, 254, 1–15. [Google Scholar] [CrossRef]
- Berger, A.L.; Puettmann, K.J. Overstory composition and stand structure influence herbaceous plant diversity in the mixed aspen forest of northern Minnesota. Am. Midl. Nat. 2000, 143, 111–125. [Google Scholar] [CrossRef]
- VanderSchaaf, C.L. Estimating understory vegetation response to multi-nutrient fertilization in Douglas-fir and ponderosa pine stands. J. For. Res. 2008, 13, 43–51. [Google Scholar] [CrossRef]
- Dong, L.B.; Bettinger, P.; Liu, Z.G. Optimizing neighborhood-based stand spatial structure: Four cases of boreal forests. For. Ecol. Manag. 2022, 506, 119965. [Google Scholar] [CrossRef]
- Chen, L.; Han, W.Y.; Liu, D.; Liu, G.H. How forest gaps shaped plant diversity along an elevational gradient in Wolong National Nature Reserve? J. Geogr. Sci. 2019, 29, 1081–1097. [Google Scholar] [CrossRef]
- Cai, L.; Zhu, W.R.; Wang, H.T.; Zhang, G.C.; Liu, X.; Yang, J.H.; Wang, Y.P. Root Morphology of Six Tree Species in Mountain Area of Middle South Shandong. Sci. Soil Water Conserv. 2015, 13, 83–91. [Google Scholar]
- Chen, Y.; Wang, X.W. Vertical Distribution of Root System of Several Plants in Nenjiang Sand Land. Prot. For. Sci. Technol. 2007, 30–32. [Google Scholar]
- Wan, X.H.; Huang, Z.Q.; He, Z.M.; Yu, Z.P.; Wang, M.H.; Davis, M.R.; Yang, Y.S. Soil C:N ratio is the major determinant of soil microbial community structure in subtropical coniferous and broadleaf forest plantations. Plant Soil 2015, 387, 103–116. [Google Scholar] [CrossRef]
- Ma, T.S.; Deng, X.W.; Chen, L.; Xiang, W.H. The soil properties and their effects on plant diversity in different degrees of rocky desertification. Sci. Total Environ. 2020, 736, 139667. [Google Scholar] [CrossRef]
- Mureva, A.; Ward, D. Soil microbial biomass and functional diversity in shrub-encroached grasslands along a precipitation gradient. Pedobiologia 2017, 63, 37–45. [Google Scholar] [CrossRef]




| Plot | Altitude (m) | Slope (°) | Aspect | Tree Height (m) | DBH (cm) | Canopy Density | Tree Density (Stem·ha−1) | Age (a) | Proportion of Dominant Tree Species (%) |
|---|---|---|---|---|---|---|---|---|---|
| 1 | 272 | 23 | SS | 6.1 | 7.1 | 0.8 | 1125 | 49 | 56 |
| 2 | 223 | 16 | SS | 5.2 | 7.6 | 0.5 | 1000 | 45 | 50 |
| 3 | 203 | 24 | SS | 4.0 | 6.7 | 0.6 | 975 | 45 | 97 |
| 4 | 297 | 19 | SS | 4.8 | 9.6 | 0.6 | 1175 | 60 | 72 |
| 5 | 120 | 16 | SS | 7.4 | 11.0 | 0.8 | 1500 | 80 | 57 |
| 6 | 181 | 22 | SS | 3.6 | 6.0 | 0.6 | 1575 | 40 | 65 |
| 7 | 225 | 21 | SS | 7.2 | 10.9 | 0.7 | 1425 | 78 | 79 |
| 8 | 285 | 24 | SS | 4.0 | 7.2 | 0.7 | 1100 | 53 | 61 |
| 9 | 166 | 25 | SS | 7.1 | 8.0 | 0.8 | 2125 | 69 | 93 |
| 10 | 125 | 17 | SS | 7.4 | 12.1 | 0.7 | 1300 | 80 | 85 |
| 11 | 155 | 24 | SS | 4.9 | 9.6 | 0.5 | 1550 | 65 | 89 |
| 12 | 100 | 18 | SS | 6.2 | 8.4 | 0.8 | 1175 | 50 | 68 |
| 13 | 160 | 22 | SS | 4.8 | 9.0 | 0.5 | 1300 | 52 | 81 |
| 14 | 229 | 22 | SS | 4.6 | 6.5 | 0.6 | 1250 | 34 | 56 |
| 15 | 199 | 24 | SS | 5.5 | 8.9 | 0.8 | 1275 | 76 | 96 |
| 16 | 239 | 23 | SS | 3.9 | 6.1 | 0.6 | 1200 | 36 | 96 |
| Category | Index | Mean ± Standard Deviation | Minimum | Maximum | Coefficient of Variation (%) |
|---|---|---|---|---|---|
| Stand non-spatial structure | Tree height (m) | 5.4 ± 1.3 | 3.6 | 7.4 | 24.6% |
| DBH (cm) | 8.4 ± 1.9 | 6.0 | 12.1 | 21.9% | |
| Canopy density | 0.7 ± 0.1 | 0.5 | 0.8 | 16.7% | |
| Tree density (stem·ha−1) | 1315 ± 280 | 975 | 2125 | 21.3% | |
| Stand spatial structure | Uniform angle | 0.5053 ± 0.0347 | 0.4186 | 0.5391 | 6.9% |
| Neighborhood comparison | 0.5044 ± 0.0247 | 0.4571 | 0.5379 | 4.9% | |
| Mingling degree | 0.3075 ± 0.2087 | 0.0278 | 0.6667 | 67.9% | |
| Opening degree | 0.5945 ± 0.2747 | 0.2683 | 1.4281 | 46.2% | |
| Species diversity | Shannon–Wiener index | 0.8220 ± 0.2748 | 0.2752 | 1.2636 | 33.4% |
| Simpson index | 0.4853 ± 0.1390 | 0.1980 | 0.6342 | 28.6% | |
| Margalef richness index | 0.7537 ± 0.2678 | 0.3913 | 1.3815 | 35.5% | |
| Pielou evenness index | 0.7825 ± 0.1602 | 0.3970 | 0.9518 | 20.5% |
| Typical Variable Group | Canonical Correlation Coefficient | p |
|---|---|---|
| 1 | 0.907 | 0.033 |
| 2 | 0.724 | 0.327 |
| 3 | 0.453 | 0.627 |
| 4 | 0.137 | 0.656 |
| Variable | X1 | X2 | X3 | X4 | Y1 | Y2 | Y3 | Y4 | |
|---|---|---|---|---|---|---|---|---|---|
| Standardization coefficient | Z1 | −0.536 | −0.473 | −0.022 | 0.388 | - | - | - | - |
| V1 | - | - | - | - | 2.827 | −2.331 | −0.107 | 0.733 | |
| Cross-load coefficient | Z1 | −0.690 | −0.644 | −0.246 | 0.587 | - | - | - | - |
| V1 | - | - | - | - | 0.871 | 0.801 | 0.682 | 0.525 | |
| Species Diversity Index | Regression Equation | R2 | p | AIC |
|---|---|---|---|---|
| Shannon–Wiener | y = −0.552 × Canopy − 0.336 × Density + 0.327 × M | 0.765 | 0.000 | −16.176 |
| Simpson | y = −0.539 × Canopy + 0.425 × M | 0.581 | 0.004 | −8.951 |
| Margalef | y = 0.532 × M | 0.283 | 0.034 | −2.353 |
| Pielou | y = −0.471 × W + 0.448 × M | 0.486 | 0.013 | −5.687 |
Publisher’s Note: MDPI stays neutral with regard to jurisdictional claims in published maps and institutional affiliations. |
© 2022 by the authors. Licensee MDPI, Basel, Switzerland. This article is an open access article distributed under the terms and conditions of the Creative Commons Attribution (CC BY) license (https://creativecommons.org/licenses/by/4.0/).
Share and Cite
Cui, R.; Qi, S.; Wu, B.; Zhang, D.; Zhang, L.; Zhou, P.; Ma, N.; Huang, X. The Influence of Stand Structure on Understory Herbaceous Plants Species Diversity of Platycladus orientalis Plantations in Beijing, China. Forests 2022, 13, 1921. https://doi.org/10.3390/f13111921
Cui R, Qi S, Wu B, Zhang D, Zhang L, Zhou P, Ma N, Huang X. The Influence of Stand Structure on Understory Herbaceous Plants Species Diversity of Platycladus orientalis Plantations in Beijing, China. Forests. 2022; 13(11):1921. https://doi.org/10.3390/f13111921
Chicago/Turabian StyleCui, Ranran, Shi Qi, Bingchen Wu, Dai Zhang, Lin Zhang, Piao Zhou, Ning Ma, and Xian Huang. 2022. "The Influence of Stand Structure on Understory Herbaceous Plants Species Diversity of Platycladus orientalis Plantations in Beijing, China" Forests 13, no. 11: 1921. https://doi.org/10.3390/f13111921
APA StyleCui, R., Qi, S., Wu, B., Zhang, D., Zhang, L., Zhou, P., Ma, N., & Huang, X. (2022). The Influence of Stand Structure on Understory Herbaceous Plants Species Diversity of Platycladus orientalis Plantations in Beijing, China. Forests, 13(11), 1921. https://doi.org/10.3390/f13111921
