Abstract
Alien plants invasion have become a hot issue in the field of ecology. The invasion of alien plants is usually accompanied by changes in the physical and chemical properties of the soil, the ensuing negative feedback creates a favorable environment for its own growth and expansion. Invasive plans have a strong ability to sequester carbon, which can greatly affect the original local ecological environment. In this study, we selected Rhus typhina, an invasive plant widely used for greening, as the experimental subject and natural growing grassland as the control. The aims were to investigate the effects of different degrees of invasion of R. typhina on soil physicochemical properties and carbon emissions, and to explore the influential factors on carbon emission. The results showed that R. typhina invasion significantly increased soil pH, total nitrogen content, easy extraction of glomalin-related soil protein (EEG) and cumulative CO2 emissions (CEM). It is worth noting that the CEM increased significantly during the severe invasion by R. typhina. The significant increase in soil NH4+-N content and the decrease in soil NO3−-N content indicate that the soil after the invasion of R. typhina has better uptake of NH4+-N. Temperature and soil moisture content had significant direct effects on CEM, while NH4+-N, NO3−-N, EEG and temperature sensitivity of soil organic carbon mineralization Q10 (30 °C/20 °C) had a direct but non-significant effect on CEM. The above findings suggest that R. typhina can generate positive feedback by influencing the physicochemical properties and CEM of the soil, opening the way for its own expansion, which can be targeted to prevent the destruction of local ecosystems during the introduction of cultivation and subsequent management.
1. Introduction
Invasion of alien plants can greatly threaten local biodiversity and ecological stability [1]. This in turn has a serious impact on human living environment and agricultural production [2]. In recent years, invasive plants and invasion ecology have gradually entered the limelight and become a hot issue in the field of ecology [3,4]. Invasive plants have become the second largest cause of biodiversity loss in the United States, affecting 49% of endangered species, and this impact goes well beyond the macro scale, as they can also extinguish native species through genetic hybridization by affecting disease diversity to disrupt stable local microbial communities [5]. Invasive plants may also affect ecosystems by altering system flows and the availability of physical resources [6]. For example, the invasive plant, salt cedar, indirectly affects the hydrological conditions of Grand Canyon National Park by competing to influence the use of native woody species [7]. In the process of alien plants invasion, the soil nutrient pool and element cycle will be changed [8], and the physical and chemical properties of the soil will be changed through the regulation of soil microorganisms [9]. This change in soil properties, in turn, causes feedback that creates better growing conditions for invasive plants, thus making the invasion process more stable or more rapid and preventing the growth and reestablishment of native plants [10]. For example, in the early stages of invasion, the Phyllostachys edulis (Carrière) J. Houzeau will disrupt the original soil structure and function, adversely affecting the original ecosystem. When the invasion is complete, the physical properties of the soil will stabilize again, creating a soil environment conducive to the growth of P. edulis [11]. The invasion of the alien plant Alliaria petiolata improves soil nutrient effectiveness and creates favorable conditions for itself in competition with native species, creating positive feedback between site occupation and continued dispersal [12]. Carbon in soil is twice as much as atmospheric carbon and three times as much as the total amount of carbon in the Earth’s vegetation [13]. Slight changes in the carbon content in soils can have far-reaching effects on ecosystems, atmospheric cycles, and human life [14]. Invasive plants often increase carbon inputs to ecosystems, thereby altering the control of carbon and nutrient cycling processes, having a profound impact on the ecosystem [15]. Josh et al. showed that the carbon stocks of invasive trees are much higher than those of native trees in the same environment [16]. At the same time, invasive tree species have a strong capacity for carbon sequestration. Melaleuca quinquenervia (Cav.) S.F. Blake, an invasive tree, played an important role in carbon sequestration in nearby Miami-Dade [17]. However, there is a lack of relevant research on soil carbon emissions from alien plants.
At present, China’s urbanization is developing rapidly, and Changchun, as one of the important provincial capital cities in the northeast region, the built-up area of the city grew from 150 square kilometers in 1980 to 300 square kilometers in 2010, and the total population of the urban area increased from 2 million to 3.63 million in 2012 [18,19]. Such rapid urbanization is often accompanied by the introduction of large numbers of alien plants, which seriously affects the composition of urban plant diversity [20,21] and soil material cycling processes [22]; this has an important impact on the carbon sink function of urban forest ecosystems [23,24]. Rhus typhina is native to North America, deciduous shrub or small arbor; the fruits are tightly aggregated to form torch-like, and the leaves are red in color after autumn [25,26]. Due to its strong adaptability and resistance, it is often used in vegetation restoration of degraded habitats, and due to its better visual effect, it is also widely used in landscaping [27]. However, in recent years, researchers have continuously concluded that R. typhina grow rapidly in landscapes with good ecological conditions [28,29], sprouting a large number of new branches with increasing in growing years, increasing understory depression and weakening light, which greatly threatens community biodiversity and ecosystem function [30]. It already has been listed as one of the potential invasive plants [31]. It has been shown that R. typhina will create good conditions for growth by changing the physicochemical properties of the soil [32,33]. Having gained a competitive advantage over native species, R. typhina continues to spread around and in five years cover all land in a radius of 5 to 8 m, extremely damaging to the local ecological structure [34]. However, there is a lack of research on how R. typhina invasion affects urban green space soil.
This study took the attached green species of Changchun city as a case. The aims are (1) to explore the effects of R. typhina invasion on soil physiochemical properties, (2) to ascertain the effects of R. typhina invasion on the soil organic carbon mineralization and its temperature sensitivity and find the main influenced factors, (3) to provide a scientific guidance for the selection of urban tree species. This is important for maintaining regional ecological balance, protecting biodiversity, and ensuring ecological environment security. We hypothesized that (1) the competitive advantage of R. typhina with native species stems from the negative feedback generated by influencing the physicochemical properties of the soil, (2) the impact on soil carbon emissions increases with the degree and duration of R. typhina invasion.
2. Materials and Methods
2.1. Study Area
The study area is located at the Northeast Institute of Geography and Agroecology, Chinese Academy of Sciences, in Changchun City. This study is located in the hinterland of the Songliao Plain in northeast China, with a temperate continental semi-humid monsoon climate type and an annual average temperature of 4.8 °C. The annual rainfall is 570.3 mm and is concentrated in June to August. The main soil type is black soil with high humus content and granular or agglomerate structure, the soil is neutral or slightly acidic. Common coniferous species include Pinus sylvestris var. mongolica Litv., Picea asperata Mast. var. Heterolepis., Pinus tabulaefomis var. Mukdensis., Picea koraiensis Nakai., etc. Common broadleaf species include Salix matsudana Koidz., Populus davidiana Dode., Prunus ussuriensis Kovalev & Kostina., Armeniaca mandshurica (Maxim.) Skv., Quercus mongolica Fisch. ex Ledeb., Amygdalus davidiana (Carrière) de Vos ex Henry. et al. [35].
2.2. Plant Investigation and Soil Sampling
Three sample plots of R. typhina were selected at the Institute of Geography, Chinese Academy of Sciences (44°000’~43°999’ N, 125°403’~125°401’ E) (Figure 1). Each sample plot was 20 m × 20 m. The species name and the number of each species were recorded in each plot. The diameter at breast height (DBH) of each R. typhina parent tree and the DBH of its surrounding sub-trees were determined, and the number of plants in each DBH class was classified according to the size of the DBH and recorded. The calculation of expansion rates was based on the number of expansions in different DBH (Table 1). As the trees around the three sample plots were artificially planted and of non-uniform tree species, it was not possible to make comparisons, so a naturally growing grassed area not invaded by R. typhina was chosen as a control check sample plot. The main herbaceous plants were Plantago depressa Willd., Draba nemorosa L., Bupleurum chinense DC. f. chiliosciadium (Wolff) Shan et Y. Li, Hydrocotyle sibthorpioides Lam. var. Batrachium. and Taraxacum ohwianum Kitam. The distance between the control to the first sample plot was more than 3 m. Changes in area the different R. typhina sample plots in August 2014 and July 2016 were measured by Google earth images (Table 1).
Figure 1.
Study area and the sample plots distribution. The points marked with red triangles are the sampling points.
Table 1.
Summary statistics of different invasion levels of R. typhina. CK, Control check; Mild, Mild invasion degree; Moderate, Moderate invasion degree; Severe, Severe invasion degree; Area, Area occupied by R. typhina.
In September 2016, five sampling points were randomly selected within each sample plot, one soil column (0~20 cm) was taken at each sampling point with a soil auger of 50 mm inner diameter for multi-point mixing, plant residues, roots and debris were removed after full mixing, and the soil was divided into 2 parts, one part is naturally air-dried for the determination of physical and chemical properties and nutrients of the soil, and the other part was kept refrigerated at 4 °C for the subsequent incubation experiment.
2.3. Soil Physicochemical Properties Determination
Soil pH was determined by the potentiometric method with a 5:1 ratio of water to soil, electrical conductivity (EC) was determined by electrode method, soil organic carbon (SOC) was determined by potassium dichromate oxidation-external heating method, total nitrogen (TN) was determined by Kjeldahl method, total phosphorus (TP) was determined by perchloric acid-sulphuric acid method [36], easy extraction glomalin-related soil protein (EEG) and total glomalin-related soil protein (TG) were both determined by the Coomassie blue staining method [37].
2.4. SOC Mineralisation and Its Temperature Sensitivity Caculation
The indoor incubation-alkali absorption method was used to determinate the cumulative CO2 emissions (CEM) [38]. For each invasion grade, 9 portions of fresh soil equivalent to 20 g dry soil weight were weighed into 200 mL incubation flasks, and the water content of the soil was adjusted to 60% of the maximum field water content by adding deionized water and incubated at 10 °C, 20 °C and 30 °C in a constant temperature incubator. CO2 emissions were measured on days 1, 3, 6, 11, 18, 34, 50 and 66, respectively. The temperature sensitivity coefficient Q10 for SOC mineralization was calculated using the following equation:
where: Rs is the rate of soil organic carbon mineralization (cumulative CO2 emissions rate of soil organic carbon mineralization); t is the incubation temperature (°C); a is the substrate quality index, indicating the net rate of soil mineralization at 0 °C; and b is the temperature response coefficient.
2.5. Statistic Anslysis
One-way ANOVAs were used to compare the effects of different degrees of R. typhina invasion on the variability of soil physicochemical properties and followed by multiple comparison tests, the LSD (L) method was used when the variances were homogeneous, otherwise, the Tamhane’s T2 (M) method were used. Correlations between the indicators were analyzed using Pearson analysis and the Structural equation modelling (SEM) were performed in R Studio.
3. Results
3.1. Soil Physicochemical Properties
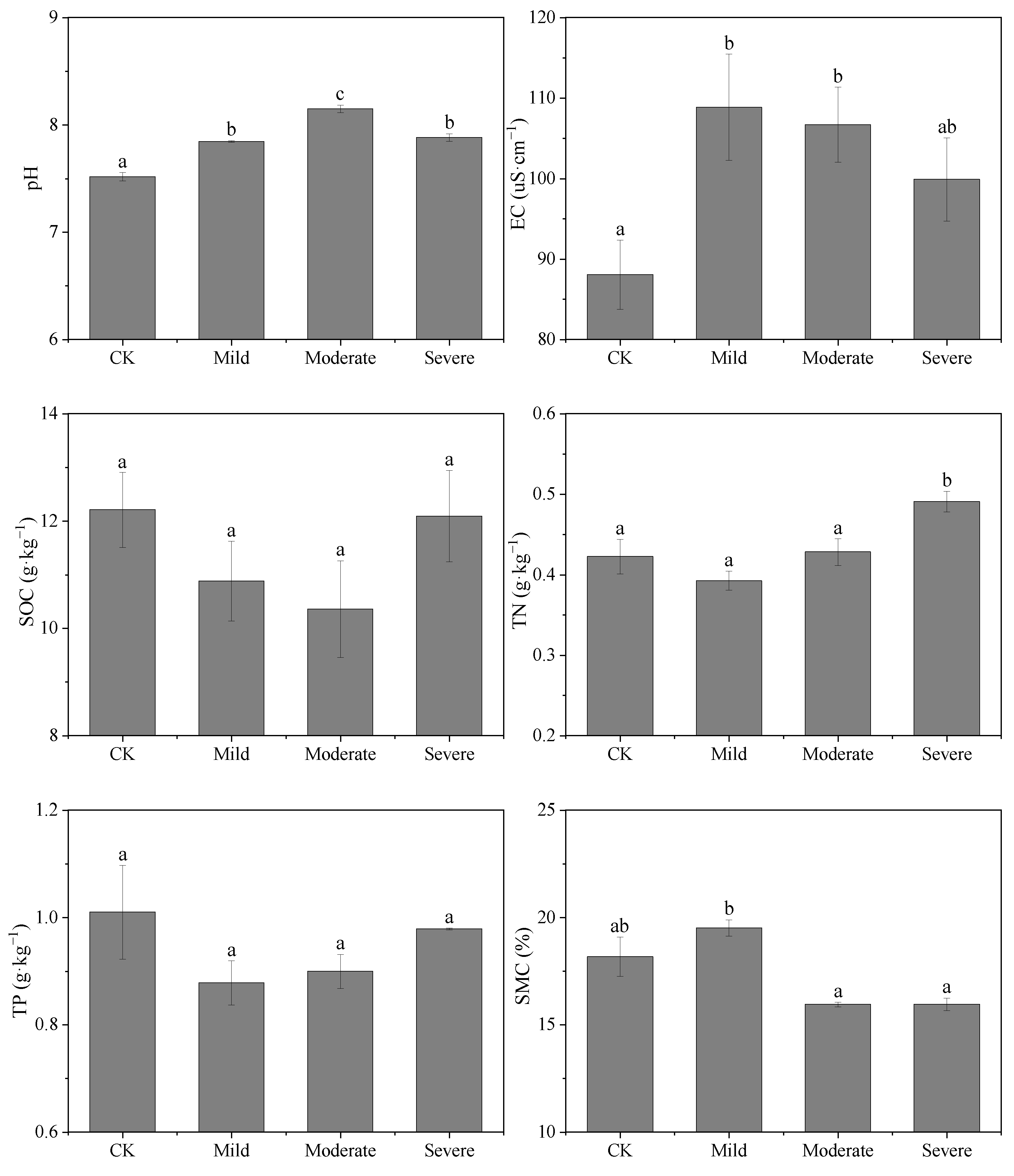
The effect of R. typhina invasion on soil pH, EC, TN and soil moisture content (SMC) were significant (p < 0.05), and the effects of R. typhina invasion on SOC and TP content were not significant (Figure 2). Soil pH increased from 7.52 to 7.88 significantly (p < 0.05) and reached a peak value of 8.15 at moderate invasion degree. The EC under mild invasion was the highest, reaching 108.87 us·cm−1, an increase of 19.1% compared with the CK, while EC in moderate and severe invasion degree showed a downward trend to 106.7 us·cm−1 and 99.9 us·cm−1, which was significantly higher than CK (p < 0.05). SOC decreased from 12.21 g·kg−1 to 10.36 g·kg−1 at moderate invasion degree and increased to 12.09 at severe invasion. The TN content showed a downward trend when the R. typhina was mildly invaded, and the TN content gradually increased to 0.49 g·kg−1 with the increase in the invasion degree, an increase of 14% compared with CK. The highest value of TP content was 1.01 g·kg−1 in CK, and it decreased by 13% at mild invasion degree. The TP content increased to 0.98 g·kg−1 with the increase in invasion degree. SMC content was 18% in the CK, raised to 0.2 at mild invasion degree, and then showed a downward trend at severe invasion degree to 16%.
Figure 2.
Effects of different R. typhina invasion degree on soil physicochemical properties and nutrient contents. EC, electrical conductivity; SOC, soil organic carbon; TN, total nitrogen; TP, total phosphorus; SMC, soil moisture content. In the figure, mean values sharing different letters are significantly different (p < 0.05), and mean values sharing the same letters are not significantly different (p > 0.05).
The effect of R. typhina invasion on EEG, TG and EEG/SOC were significant (p < 0.05), and the effects on TG/SOC was not significant (Figure 3). With the increase in the degree of R. typhina invasion, the lowest EEG value was 0.41 g·kg−1 in CK, the highest value was 0.5 g·kg−1 in mild invasion degree, and then decreased to 0.48 g·kg−1 in moderate and severe invasion degree.TG was 9.02 g·kg−1 at CK, significantly decreased at mild and moderate invasion degree, a total reduction of 19% by the time of moderate invasion, and increased to 9.08 g·kg−1 at severe invasion degree. EEG/SOC at CK is the lowest with the value of 0.03 g·kg−1, increases to 0.05 g·kg−1 in moderate invasion degree, and decreased to 0.04 g·kg−1 in severe invasion degree. TG/SOC did not change significantly during CK, mild and moderate invasion degrees, stabilized around 0.7 g·kg−1, then increased to 0.74 g·kg−1 at the severe invasion degree.
Figure 3.
Effects of different R. typhina invasion degrees on EEG, TG, EEG/SOC, and EEG/TG changes. EEG, easy extraction glomalin-related soil protein; TG, total glomalin-related soil protein; SOC, soil organic carbon. In the figure, mean values sharing different letters are significantly different (p < 0.05), and mean values sharing the same letters are not significantly different (p > 0.05).
3.2. Cumulative CO2 Emissions
With the increasing of incubation time, the trend of CEM for different invasion degrees of R. typhina at different temperatures was varied (Figure 4). The severe invasion degree all had the highest CEM at different incubation temperatures. However, the CEM of mild and moderate degrees compared with CK was not consistent at different temperatures. The CEM at 10 °C was the threshold on the 16th day of incubation, with mild invasion being lowest until 16th day of incubation, and gradually increasing after 16th day of incubation. Severe invasion had the highest CEM from the beginning to the end. The CEM at 20 °C was a critical point at 42nd day of incubation, with CK higher than moderate invasion until 42nd day of incubation and moderate invasion higher than CK after the 42nd day, with CEM consistently highest for severe invasion and lowest for mild invasion. There showed a consistent trend at 30 °C is that CEM consistently highest for severe invasion, followed by CK and moderate invasion, and lowest for mild invasion.
Figure 4.
Effects of different degrees of invasion of R. typhina on cumulative soil carbon emissions at different temperatures. CEM, cumulative CO2 emission.
3.3. SOC Mineralization Temperature Sensitivity
The effects of temperature change on soil organic carbon mineralization rates were measured by the temperature sensitivity coefficient Q10 (Q10). Compared to the control, all Q10 values decreased to varying degrees after R. typhina invasion (Figure 5). Within the 20 °C/10 °C group, after the 11th day of incubation, the Q10 of SOC mineralization for CK, moderate invasion degree and severe invasion degree slowly increased, and slowly decreased for mild invasion degree. Subsequently, at 34th day of incubation, three groups decreased slowly from the 34th day of incubation, except moderate group until finally. Similarly, within the 30 °C/20 °C group, the trend in Q10 values for the different treatments was similar, ranging from 0.57 to 2.43, the 11th day of incubation remained the cut-off. After the 11th day of incubation, Q10 for SOC mineralization in four groups soils all decreased of the beginning. Subsequently, the Q10 of SOC mineralization for CK and mild invasion degree slowly increased to the final, and on the 50th day of incubation, the Q10 of organic carbon mineralization for moderate and severe invasion degree slowly increased to the final.
Figure 5.
Effects of different invasion degrees of R. typhina on soil organic carbon mineralization temperature sensitivity Q10; The small graph in the top right corner of each graph represents the analysis of variance of the mean Q10.
3.4. Effects of R. typhina Invasion on Soil Ammonia Nitrogen Content
With the increase in the degree of R. typhina invasion, significant changes were observed in both soil NH4+-N content (NH4+-N) and soil NO3−-N content (NO3−-N) at the end of the culture (Figure 6). Soil NH4+-N at 10 °C was significantly increased (p < 0.05) under mild and moderate invasion degree, and decreased to 1.78 mg·kg under severe invasion degree. Soil NO3−-N, at 10 °C showed a downward trend from CK to severe invasion degree, from 29.67 mg/kg to 18.83 mg·kg, with a total decrease of 37%. Soil NH4+-N at 20 °C increased from 2.04 mg·kg at CK to 4.40 mg·kg at moderate invasion degree and then decreased to 2.04 mg·kg at severe invasion degree. Soil NO3−-N, at 20 °C decreased from 28.93 mg·kg at CK to 20.47 mg/kg at moderate invasion degree then increased to 35.24 mg·kg at severe invasion degree. Soil NH4+-N at 30 °C decreased from 6.31 mg·kg at CK to 2.27 in severe invasion degree. Soil NO3−-N, at 30 °C, increased from 29.4 mg·kg at CK to 35.29 mg·kg at the severe invasion degree.
Figure 6.
Effects of different degrees of invasion of R. typhina on soil ammonia nitrogen content at different temperatures. NH4+-N, soil NH4+-N content; NO3−-N, soil NO3−-N content. In the figure, mean values sharing different letters are significantly different (p < 0.05), and mean values sharing the same letters are not significantly different (p > 0.05).
3.5. Relationship between Indicators of Soil under R. typhina Invasion
The SEM results show that temperature, TN and SMC can affect soil carbon emissions directly. The indirect effect of TN on CEM via SMC (0.005, p < 0.01) is much weaker than the direct effect of TN on CEM (0.22, p < 0.01). NH4+-N, NO3−-N, EEG and X2Q10 all had direct but non-significant effects on CEM. The direct effect of EEG on X2Q10 (−0.37, p < 0.001) was more than the direct effect on NH4+-N direct effect (0.15, p > 0.05) was two times greater than the direct effect on NH4+-N (0.15, p > 0.05). EEG could directly affect CEM (0.30, p > 0.05), stronger than the indirect effect mediated by NH4+-N.
4. Discussion
4.1. Effect of R. typhina Invasion on Soil Physicochemical Properties
Invasive alien plants can significantly alter the soil physicochemical properties of the urban green spaces. Previous studies found that invasive alien plants through altering the nutrient content of the soil and changing the microbial diversity to create a favorable microenvironment for their own survival [39,40]. It has been shown that R. typhina can remediate the soil to increase soil moisture content [41]. In this study, the invasion of R. typhina increased soil moisture content and reduced soil pH, which is consistent with previous studies and our hypothesis [42]. In this study, SMC increased during mild invasion degree of R. typhina, whereas decreased at moderate and severe invasion degrees, this may be due to a decrease in water content as the growth rate of R. typhina increases, soil porosity and water holding capacity changes, and a decrease in water retention capacity at moderate and severe invasion also contributes to the decrease in SMC. A study by Fan et al. showed that pH decreased with an increasing age of R. typhina [41]. In this study, the soil pH decreased at severe invasion degree, but increased at both mild and moderate invasions degrees, which may be due to the entry of anions, such as NO3− into the root system under these conditions and the corresponding outward secretion of OH− from the root system, thus increasing the inter-root soil pH [43].
The soil TN content significantly increased at invaded sites with different degrees of R. typhina invasion. It has been shown that the invasion of different alien plants affects the nutrient status of the soil at the invaded site to different degrees [44], for example, the invasive plants Solidago canadensis [45] and Halogeton glomeratus [46] have both been shown to increase to varying degrees the NO3, P and K content et al. of the soil during the invasion. In this study, it was found that with the increasing invasion degree of R. typhina, the TN content increased significantly, and SOC increased but did not reach significant levels. The significant increase in TN content may be due to the fact that R. typhina would obtain significantly higher performance in soils containing higher TN content [47]. In addition, the increase in soil TN content may stimulate the mineralization of organic TN by soil microorganisms and increase the rate of soil N mineralization, which is enhanced by the invasion of most alien plants, such as Phragmites australis [48] and S. canadensis [49]. This indicates that the invasion played a role in nutrient regulation of the soil, improving the nutrient status of the invaded site, creating good conditions for its own growth and expansion, and enhancing the invasion ability.
R. typhina invasion had no effect on SOC but had a significant effect on EEG and TG. Glomalin-related soil protein (GRSP) can enhance the stability of soil structure by regulating soil particles [50] and is also an important indicator for evaluating and indicating changes in soil carbon pools [51]. Many studies have shown that soil physicochemical properties are important influencing factors in GRSP content [52,53]. In this study, TG was negatively correlated with pH (p < 0.05)and EC and positively correlated with soil SOC and TN (S1), which is consistent with previous studies [37,54], while in the course of our study we found that EEG was positively correlated with pH, EC (p < 0.05) and TN and negatively correlated with SOC, which may be related to the expansion of R. typhina changed the nutrient status of the soil, further suggesting that soil physicochemical properties are an important influencing factor for GRSP content.
4.2. Effects of R. typhina Invasion on SOC Mineralization and Its Temperature Sensitivity
CEM gradually increases with increasing R. typhina invasion. In environments with sufficient resources, they will effectively and quickly absorb available resources for their own growth, and in environments with scarce resources, they show strong resilience, absorbing only the resources available while reducing their own growth needs and increasing their competitiveness to outcompete native species [55,56], CEM are an important part of this. For example, the invasion of broadleaf forests by Phyllostachys pubscens increases the carbon sequestration potential of microorganisms [57]. In this study, we found that the CEM were the highest for severe invasion degree at different temperatures and different invasion degrees, suggesting that R. typhina invasion significantly increased the CEM. This is consistent with previous studies and our hypothesis [58]. It showed that R. typhina can improve the material cycle of the soil, and have a certain improvement effect on the soil, as well as create good conditions for their own growth. SMC was significantly negatively correlated with the CEM at 30 °C (p < 0.01) (Figure 7), this is due to the fact that when the soil is over-saturated with water, it exceeds the field water holding capacity at which the vegetation is located, and soil respiration decreases as the water content increases, a phenomenon that is alleviated by rainfall [59]. In this study, soil TN and TP were positively correlated with CEM as the level of invasion degree increased, suggesting that as soil TN and TP content increased (Figure A1), root biomass also increased, stimulating autotrophic respiration of plant roots and heterotrophic respiration of root microorganisms, which in turn promoted soil CO2 emissions [60,61,62]. Both EEG/SOC and TG/SOC were negatively correlated with CEM at 20 °C and 30 °C, among them, EEG/SOC was significantly negatively correlated with cumulative CEM at 30 °C (p < 0.05), however TG/SOC was positively correlated with CEM at 10 °C, suggesting that soil temperature was an important regulator of GRSP concentration and its effect on organic carbon sequestration [63] Elevated CEM is closely related to microbial activity et al. and EEG, TG and TN are closely related to CEM.
Figure 7.
SEM analysis of effect of soil properties on CEM under R. typhina invasion. T, Temperature; CEM, Cumulative CO2 emissions of SOC mineralization; X1Q10, Temperature sensitivity of soil organic carbon mineralization Q10 (20 °C–10 °C); X2Q10, Temperature sensitivity of soil organic carbon mineralization Q10 (30 °C–20 °C); NH4+-N, soil NH4+-N content; NO3−-N, soil NO3−-N content; Figure (a) shows the effect of soil physicochemical indicators on CEM and figure (b) shows the effect of soil glomalin-related soil protein, ammonia nitrogen content and temperature sensitivity coefficient Q10 on CEM; * indicated p < 0.05, ** indicated p < 0.01.
The CEM were higher at 30 °C than at 10 °C and 20 °C, probably due to the fact that higher temperatures accelerate the rate of chemical reactions and increase microbial activity and enzymatic activity [64], the rate of organic carbon mineralization was larger at this time, and the Q10 of SOC mineralization corresponding to this was the lowest, which was consistent with the previous studies. In this study, although R. typhina invasion increased the mineralization rate of soil, there was no significant difference in the temperature sensitivity of SOC mineralization, this is the same finding as Zhang’s study [65], which indicated that the effect of R. typhina invasion on the temperature sensitivity of soil organic carbon mineralization over a short period of time is not significant. This reduction in Q10 and the lack of significant differences may be due to a rapid turnover of microbial load, with increased metabolism and preferential use of soil C sources as temperatures and invasion levels increase, and relevant studies should be further conducted.
4.3. Effects of R. typhina Invasion on Soil Ammonia Nitrogen Content
Alien plants have different patterns of regulation of soil nutrient content. In the present study, the alien plants R. typhina increased NH4+-N and decreased NO3−-N during mild invasion, while the opposite occurred during severe invasion, decreasing NH4+-N and increasing NO3−-N, which is consistent with the study of Kourtev et al. [66]. This occurred probably due to the better uptake and utilization of NH4+-N by R. typhina, which consumed more NH4+-N in the soil, and the invasion of R. typhina, which caused rapid decomposition of apoplankton and changed the chemical properties of the soil, significantly increasing the TN content and increasing the rate of mineralized nitrification [67]. It will also allow more C to participate in the chemical processes of the ecosystem [68]. As the degree of invasion increases, NH4+-N increases and the CEM gradually increases, suggesting that changes in soil carbon emissions are related to changes in the dominant inorganic N species, as well as better uptake and use of NH4+-N by microorganisms [69]. At the same time NO3−-N gradually decreases with increasing invasion, when CEM gradually increase, which is related to the effect of NO3−-N on soil microorganisms, the addition of NO3−-N causes a change in the dominant population of soil microorganisms from fungi to bacteria, thus reducing the rate of organic carbon decomposition [70]. In contrast, NH4+-N decreased and NO3−-N increased during severe invasion, when CEM remained elevated, probably due to the fact that increased apoplankton under severe invasion produces significantly different CH4 emissions, affecting the effectiveness of the microbial substrate and indirectly affecting the C cycle [71]. This alteration of soil chemistry and its own superb adaptability to the environment is one of the reasons why R. typhina has been able to successfully invade.
5. Conclusions
Alien plants will create a sizable environment for their own growth or enhance the exploitability of this environmental resource. In this study, we found that R. typhina invasion significantly increased soil pH, TN content and EEG, and decreased SMC, but did not significantly affect EC, SOC, TP, TG, soil porosity and Q10. Besides, R. typhina invasions can increase soil carbon emissions when they are severe. T and SMC all had significant direct effects on CEM, SMC was highly significantly negatively correlated with CEM (p < 0.01). The results of the study further confirm that R. typhina can gain an advantage over native species by influencing soil physicochemical properties and CEM, and that R. typhina’s own excellent resistance and adaptability is also an excellent mechanism for its successful invasion and gradual encroachment on invasive sites. To control the rapid growth of invasive vegetation, it is necessary to start from its interaction with the soil, change the availability of soil resources, make the available resources in the soil for native species, and enhance the competitive ability of native species. In future introductions and plantings, the local environmental conditions should be fully considered, and suitable hybrid species should be selected to avoid large areas of R. typhina cover that would affect biodiversity and, if necessary, the expansion of R. typhina can be inhibited by targeted use of methods such as lowering the carbon content of the soil. In addition, the impact of invasive alien plants on soil organic carbon mineralization is not negligible in studies on the soil carbon cycle and is a very important aspect of the carbon cycle. Research should be continued to further investigate the mechanism of interaction between R. typhina and soil and how to regulate resource availability.
Author Contributions
Conceptualization, D.Z. and C.G.; writing—original draft preparation, Z.W.; writing—review and editing, Z.W., D.Z. and C.G.; data curation, Z.W. and J.W.; visualization, Z.W., J.W. and C.Z.; measurement of indicators, Z.W., J.W., C.G. and Q.W.; revision of the article, C.Z. and X.D.; supervision, D.Z.; All authors have read and agreed to the published version of the manuscript.
Funding
This work was supported by the National Natural Science Foundation of China (41601094) and the Young Scholar Climbing Program of Changchun University (ZKP202015).
Data Availability Statement
Not applicable.
Acknowledgments
We appreciate the anonymous reviewers for their meaningful and constructive suggestions on this manuscript.
Conflicts of Interest
The authors declare no conflict of interest.
Appendix A. Correlation among Soil Indicators under R. typhina Invasion
Figure A1.
Correlation among soil indicators under R. typhina invasion. * Significantly correlated at the 0.05 level (two-sided). ** Significantly correlated at the 0.01 level (two-sided).
Figure A1.
Correlation among soil indicators under R. typhina invasion. * Significantly correlated at the 0.05 level (two-sided). ** Significantly correlated at the 0.01 level (two-sided).

References
- Yan, X.L.; Liu, Q.R.; Yan, X.L.; Liu, Q.R.; Shou, H.Y.; Zeng, X.F.; Zhang, Y.; Chen, L.; Liu, Y.; Ma, H.Y.; et al. The categorization and analysis on the geographic distribution patterns of Chinese alien invasive plants. Biodivers. Sci. 2014, 22, 667–676. [Google Scholar]
- Barney, J.N.; Tekiela, D.R.; Dollete, E.S.; Tomasek, B.J. What is the “real” impact of invasive plant species? Front. Ecol. Environ. 2013, 11, 322–329. [Google Scholar] [CrossRef]
- Vermeij, G.J. An agenda for invasion biology. Biol. Conserv. 1996, 78, 3–9. [Google Scholar] [CrossRef]
- Pyšek, P.; Hulme, P.E. Biological invasions in Europe 50 years after Elton: Time to sound the ALARM. In Fifty Years of Invasion Ecology: The Legacy of Charles Elton; Wiley-Blackwell: Hoboken, NJ, USA, 2011; pp. 73–88. [Google Scholar]
- Sandlund, O.T.; Schei, P.J.; Viken, Å. Invasive Species and Biodiversity Management; Springer Science & Business Media: Berlin/Heidelberg, Germany, 2001. [Google Scholar]
- Shiferaw, W.; Demissew, S.; Bekele, T. Invasive alien plant species in Ethiopia: Ecological impacts on biodiversity a review paper. Int. J. Mol. Biol. 2018, 3, 171–178. [Google Scholar] [CrossRef]
- Mortenson, S.G.; Weisberg, P.J.; Ralston, B.E. Do beavers promote the invasion of non-native Tamarix in the Grand Canyon riparian zone? Wetlands 2008, 28, 666–675. [Google Scholar] [CrossRef]
- Castro-Díez, P.; Godoy, O.; Alonso, A.; Gallardo, A.; Saldaña, A. What explains variation in the impacts of exotic plant invasions on the nitrogen cycle? A meta-analysis. Ecol. Lett. 2014, 17, 1–12. [Google Scholar] [CrossRef]
- Rout, M.E.; Callaway, R.M. An invasive plant paradox. Science 2009, 324, 734–735. [Google Scholar] [CrossRef]
- Stefanowicz, A.M.; Stanek, M.; Nobis, M.; Zubek, S. Species-specific effects of plant invasions on activity, biomass, and composition of soil microbial communities. Biol. Fertil. Soils 2016, 52, 841–852. [Google Scholar] [CrossRef]
- Tong, R.; Zhou, B.Z.; Jiang, L.N.; Cao, Y.H.; Ge, X.G.; Yang, Z.Y. Influence of Moso bamboo invasion on forest plants and soil: A review. Acta Ecol. Sin. 2019, 39, 3808–3815. [Google Scholar]
- Rodgers, V.L.; Wolfe, B.E.; Werden, L.K.; Finzi, A.C. The invasive species Alliaria petiolata (garlic mustard) increases soil nutrient availability in northern hardwood-conifer forests. Oecologia 2008, 157, 459–471. [Google Scholar] [CrossRef]
- Zhang, W.L.; Kolbe, H.; Zhang, R.L. Research Progress of SOC Functions and Transformation Mechanisms. Sci. Agric. Sin. 2020, 53, 317–331. [Google Scholar]
- Zhang, J.L.; Zhang, J.Z.; Shen, J.B.; Tian, J.; Jin, K.M.; Zhang, F.S. Soil Health and Agriculture Green Development: Opportunities and Challenges. Acta Pedol. Sin. 2020, 57, 83–796. [Google Scholar]
- Ehrenfeld, J.G. Effects of exotic plant invasions on soil nutrient cycling processes. Ecosystems 2003, 6, 503–523. [Google Scholar] [CrossRef]
- Horn, J.; Escobedo, F.J.; Hinkle, R.; Hostetler, M.; Timilsina, N. The role of composition, invasives, and maintenance emissions on urban forest carbon stocks. Environ. Manag. 2015, 55, 431–442. [Google Scholar] [CrossRef]
- Escobedo, F.; Varela, S.; Zhao, M.; Wagner, J.E.; Zipperer, W. Analyzing the efficacy of subtropical urban forests in offsetting carbon emissions from cities. Environ. Sci. Policy 2010, 13, 362–372. [Google Scholar] [CrossRef]
- Huang, X.; Huang, X.J.; Chen, C. The Characteristic, Mechanism and Regulation of Urban Spatial Expansion of Changchun. Areal Res. Dev. 2009, 5, 68–72. [Google Scholar]
- Li, Y.M.; Xiu, C.L.; Wei, Y.; Sun, P.J. Analysis on mechanism and spatial-temporal features of urban sprawl: A case study of Changchun. Econ. Geogr. 2012, 32, 59–64. [Google Scholar]
- Vila, M.; Espinar, J.L.; Hejda, M.; Hulme, P.E.; Jarosik, V.; Maron, J.L.; Pergl, J.; Schaffner, U.; Sun, Y.; Pysek, P. Ecological impacts of invasive alien plants: A meta-analysis of their effects on species, communities and ecosystems. Ecol. Lett. 2011, 14, 702–708. [Google Scholar] [CrossRef]
- Ishii, H.; Ichinose, G.; Ohsugi, Y.; Iwasaki, A. Vegetation recovery after removal of invasive Trachycarpus fortunei in a fragmented urban shrine forest. Urban For. Urban Green. 2016, 15, 53–57. [Google Scholar] [CrossRef]
- Shannon-Firestone, S.; Reynolds, H.L.; Phillips, R.P.; Flory, S.L.; Yannarell, A. The role of ammonium oxidizing communities in mediating effects of an invasive plant on soil nitrification. Soil Biol. Biochem. 2015, 90, 266–274. [Google Scholar] [CrossRef]
- Cusack, D.F.; Lee, J.K.; McCleery, T.L.; LeCroy, C.S. Exotic grasses and nitrate enrichment alter soil carbon cycling along an urban-rural tropical forest gradient. Glob. Chang. Biol. 2015, 21, 4481–4496. [Google Scholar] [CrossRef] [PubMed]
- Sjöman, H.; Morgenroth, J.; Sjöman, J.D.; Sæbø, A.; Kowarik, I. Diversification of the urban forest—Can we afford to exclude exotic tree species? Urban For. Urban Green. 2016, 18, 237–241. [Google Scholar] [CrossRef]
- Liu, T.; Li, Z.Q.; Li, R.; Cui, Y.; Zhao, Y.L.; Yu, Z.G. Composition analysis and antioxidant activities of the Rhus typhina L. stem. J. Pharm. Anal. 2019, 9, 332–338. [Google Scholar] [CrossRef] [PubMed]
- Timiş-Gânsac, V.; Dincă, L. Staghorn sumac (Rhus typhinal.) from dobrogea’s forests. Ann. West Univ. Timis. Ser. Biol. 2020, 23, 179–188. [Google Scholar]
- Zhang, M.R.; Zhai, M.P.; Jia, L.M.; Shen, Y.B.; Wang, X.Y. A study on the characteristics of the growth and the biomass of clonal ramets in Rhus typhina. Sci. Silvae Sin. 2004, 40, 38–45. [Google Scholar]
- Doust, J.L.; Doust, L.L. Modules of production and reproduction in a dioecious clonal shrub. Rhus Typhina. Ecol. 1988, 69, 741–750. [Google Scholar] [CrossRef]
- Peterson, C.J.; Facelli, J.M. Contrasting germination and seedling growth of Betula alleghaniensis and Rhus typhina subjected to various amounts and types of plant litter. Am. J. Bot. 1992, 79, 1209–1216. [Google Scholar] [CrossRef]
- Hou, Y.P.; Liu, L.; Chu, H.; Ma, S.J.; Zhao, D.; Liang, R.R. Effects of exotic plant Rhus typhina invasion on soil properties in different forest types. Acta Ecol. Sin. 2015, 35, 5324–5330. [Google Scholar]
- Wang, G.M.; Jiang, G.M.; Yu, S.L.; Li, Y.H.; Liu, H. Invasion possibility and potential effects of Rhus typhina on Beijing municipality. J. Integr. Plant Biol. 2008, 50, 522–530. [Google Scholar] [CrossRef]
- Huang, Q.Q.; Xu, H.; Fan, Z.W.; Hou, Y.P. Effects of Rhus typhina invasion into young Pinus thunbergii forests on soil chemical properties. Ecol. Environ. Sci. 2013, 22, 1119–1123. [Google Scholar]
- Wang, C.Y.; Xiao, H.G.; Liu, J.; Zhou, J.W.; Du, D.L. Insights into the effects of simulated nitrogen deposition on leaf functional traits of Rhus typhina. Pol. J. Environ. Stud. 2016, 25, 1279–1284. [Google Scholar] [CrossRef]
- Jiang, L.L.; Zhao, X.L. Research on the biological invasion of the exotic species Rhus Typhina. J. Liaoning For. Sci. Technol. 2013, 03, 47–48. [Google Scholar]
- Zhang, D.; Zheng, H.F.; He, X.Y.; Ren, Z.B.; Zhai, C.; Yu, X.Y.; Mao, Z.X.; Wang, P.J. Effects of forest type and urbanization on species composition and diversity of urban forest in Changchun, Northeast China. Urban Ecosyst. 2016, 19, 455–473. [Google Scholar] [CrossRef]
- Bao, S.D. Soil Agricultural Chemistry Analysis, 3rd ed.; China Agricultural Press: Beijing, China, 2008. [Google Scholar]
- Wang, Q.; Zhang, D.; Zhou, W.; He, X.Y.; Wang, W.J. Urbanization led to a decline in glomalin-soil-carbon sequestration and responsible factors examination in Changchun, Northeastern China. Urban For. Urban Green. 2020, 48, 126506. [Google Scholar] [CrossRef]
- Wu, J.H.; Pan, J.J.; Ge, X.J.; Wang, H.Q.; Yu, W.F.; Li, B.Y. Variations of soil organic carbon mineralization and temperature sensitivity under different land use types. J. Soil Water Conserv. 2015, 29, 130–135. [Google Scholar]
- Qu, T.B.; Ma, W.Y.; Yang, C.X.; Wang, Y. Effect of extract from Rhus typhina on carbon source utilization by soil microbial of Rudbeckia hirta. J. Northeast For. Univ. 2019, 47, 56–60. [Google Scholar]
- Niu, H.B.; Liu, W.X.; Wan, F.H. Invasive effects of Ageratina adenophora Sprengel (Asteraceae) on soil microbial community and physical and chemical properties. Acta Ecol. Sin. 2007, 27, 3051–3060. [Google Scholar]
- Guo, X.; Xu, Z.W.; Li, M.Y.; Ren, X.H.; Liu, J.; Guo, W.H. Increased soil moisture aggravated the competitive effects of the invasive tree Rhus typhina on the native tree Cotinus coggygria. BMC Ecol. 2020, 20, 17. [Google Scholar] [CrossRef]
- Fan, W.; Gao, X.R.; Zhao, D.; Zhao, H.; Wan, M.; Qin, G.X. Research on species diversity and soil property change of Rhus typhina community in degraded Hilly Taihang Mountain. Jounal Henan Agric. Univ. 2008, 03, 99–302. [Google Scholar]
- Fröhlich, B.; Niemetz, R.; Gross, G.G. Gallotannin biosynthesis: Two new galloyltransferases from Rhus typhina leaves preferentially acylating hexa-and heptagalloylglucoses. Planta 2002, 216, 168–172. [Google Scholar] [CrossRef]
- Levine, J.M.; Vilà, M.; Antonio CM, D.; Dukes, J.S.; Grigulis, K.; Lavorel, S. Mechanisms underlying the impacts of exotic plant invasions. Proc. R. Soc. B Biol. Sci. 2003, 270, 775–781. [Google Scholar] [CrossRef] [PubMed]
- Abhilasha, D.; Quintana, N.; Vivanco, J.; Joshi, J. Do allelopathic compounds in invasive Solidago canadensis sl restrain the native European flora? J. Ecol. 2008, 96, 993–1001. [Google Scholar] [CrossRef]
- Duda, J.J.; Freeman, D.C.; Emlen, J.M.; Belnap, J.; Kitchen, S.G.; Zak, J.C.; Sobek, E.; Tracy, M.; Montante, J. Differences in native soil ecology associated with invasion of the exotic annual chenopod, Halogeton glomeratus. Biol. Fertil. Soils 2003, 38, 72–77. [Google Scholar] [CrossRef]
- Wang, Q.; Li, M.Y.; Eller, F.; Luo, Y.J.; Nong, Y.L.; Xing, L.J.; Xu, Z.W.; Li, H.M.; Lu, H.C.; Guo, X. Trait value and phenotypic integration contribute to the response of exotic Rhus typhina seedlings to heterogeneous nitrogen deposition: A comparison with native Rhus chinensis. Sci. Total Environ. 2022, 844, 157199. [Google Scholar] [CrossRef] [PubMed]
- Windham, L.; Lathrop, R.G. Effects of Phragmites australis (common reed) invasion on aboveground biomass and soil properties in brackish tidal marsh of the Mullica river, New Jersey. Estuaries 1999, 22, 927–935. [Google Scholar] [CrossRef]
- Lu, J.Z.; Qiu, W.; Chen, J.K.; Li, B. Impact of invasive species on soil properties: Canadian goldenrod (Solidago canadensis) as a case study. Biodivers. Sci. 2005, 13, 347–356. [Google Scholar] [CrossRef]
- Barbosa, M.V.; Pedroso, D.D.F.; Curi, N.; Carneiro, M.A.C. Do different arbuscular mycorrhizal fungi affect the formation and stability of soil aggregates? Ciência e Agrotecnologia 2019, 43, e003519. [Google Scholar] [CrossRef]
- Cissé, G.; Oort, F.V.; Chenu, C.; Essi, M.; Staunton, S. Is the operationally defined fraction of soil organic matter, “GRSP” (glomalin-related soil protein), stable in soils? Evidence from trends in long-term bare fallow soil. Eur. J. Soil Sci. 2020, 72, 1101–1112. [Google Scholar] [CrossRef]
- Wang, Q.; Wang, W.J.; Zhong, Z.L.; Wang, H.M.; Fu, Y.J. Variation in glomalin in soil profiles and its association with climatic conditions, shelterbelt characteristics, and soil properties in poplar shelterbelts of Northeast China. J. For. Res. 2020, 31, 279–290. [Google Scholar] [CrossRef]
- Wang, W.J.; Wang, Q.; Zhou, W.; Xiao, L.; Wang, H.M.; He, X.Y. Glomalin changes in urban-rural gradients and their possible associations with forest characteristics and soil properties in Harbin City, Northeastern China. J. Environ. Manag. 2018, 224, 225–234. [Google Scholar] [CrossRef]
- Chen, S.X.; Zhang, X.T.; She, D.Q.; Zhang, Z.H.; Zhou, Z.Q.; Wang, H.M.; Wang, W.J. Effects of plant species diversity, dominant species importance, and soil properties on glomalin-related soil protein. Biodivers. Sci. 2022, 30, 21115. [Google Scholar] [CrossRef]
- González, A.L.; Kominoski, J.S.; Danger, M.; Ishida, S.; Iwai, N.; Rubach, A. Can ecological stoichiometry help explain patterns of biological invasions? Oikos 2010, 119, 779–790. [Google Scholar] [CrossRef]
- Leishman, M.R.; Thomson, V.P.; Cooke, J. Native and exotic invasive plants have fundamentally similar carbon capture strategies. J. Ecol. 2010, 98, 28–42. [Google Scholar] [CrossRef]
- Liang, X. Effects of Phyllostachys Pubscens Invasion of Native Broadleaf Forest on Community Characteristics of Soil CO2-Fixing Bacteria and Its Mechanism; Zhejiang A&F University: Lin’an, China, 2017. [Google Scholar]
- Gao, X.R.; Zhao, H.; Yang, H.Q.; Ling, X.Y.; Fan, W. Biomass and carbon storage of Rhus typhina in hilly area of Taihang Mountain. J. Cent. South Univ. For. Technol. 2012, 32, 172–175. [Google Scholar]
- Liu, B.Q. Effects of N Deposition, Strong Rainfall and Snowpack on Carbon Emission from Sproce-fir-Korean Pine Forest in Lesser Xing’an Mountains; Northeast Forestry University: Harbin, China, 2017. [Google Scholar]
- Zhu, Z.K.; Ge, T.D.; Liu, S.L.; Hu, Y.J.; Ye, R.Z.; Xiao, M.L.; Tong, C.L.; Kuzyakov, Y.; Wu, J.S. Rice rhizodeposits affect organic matter priming in paddy soil: The role of N fertilization and plant growth for enzyme activities, CO2 and CH4 emissions. Soil Biol. Biochem. 2018, 116, 369–377. [Google Scholar] [CrossRef]
- Zhang, C.P.; Niu, D.C.; Hall, S.J.; Wen, H.Y.; Li, X.D.; Fu, H.; Wan, C.G.; Elser, J.J. Effects of simulated nitrogen deposition on soil respiration components and their temperature sensitivities in asemiarid grassland. Soil Biol. Biochem. 2014, 75, 113–123. [Google Scholar] [CrossRef]
- Wei, S.Z.; Tie, L.H.; Liao, J.; Liu, X.; Du, M.L.; Lan, S.X.; Li, X.R.; Li, C.S.; Zhan, H.C.; Huang, C.D. Nitrogen and phosphorus co-addition stimulates soil respiration in a subtropical evergreen broad-leaved forest. Plant Soil 2020, 450, 171–182. [Google Scholar] [CrossRef]
- Zhang, M.G.; Shi, Z.Y.; Yang, M.; Lu, S.C.; Wang, X.G.; Xu, X.F. Elevational distribution of glomalin-rated soil proteins in a tropical montane rain forest. Ecol. Environ. Sci. 2020, 29, 457–463. [Google Scholar]
- Huang, J.X.; Xiong, D.C.; Liu, X.F.; Yang, Z.J.; Xie, J.S.; Yang, Y.S. Effects of warming on soil organic carbon mineralization: A review. Acta Ecol. Sin. 2017, 37, 12–24. [Google Scholar]
- Zhang, D.; Gong, C.; Zhang, W.G.; Zhang, H.; Zhang, J.; Song, C.C. Labile carbon addition alters soil organic carbon mineralization but not its temperature sensitivity in a freshwater marsh of Northeast China. Appl. Soil Ecol. 2021, 160, 103844. [Google Scholar] [CrossRef]
- Kourtev, P.S.; Ehrenfeld, J.G.; Häggelom, M. Experimental analysis of the effect of exotic and native plant species on the structure and function of soil microbial communities. Soil Biol. Biochem. 2003, 35, 895–905. [Google Scholar] [CrossRef]
- Blank, R.R. Biogeochemistry of plant invasion: A case study with downy brome (Bromus tectorum). Invasive Plant Sci. Manag. 2008, 1, 226–238. [Google Scholar] [CrossRef]
- Gong, C.; Song, C.C.; Zhang, D.; Zhang, J.S. Litter manipulation strongly affects CO2 emissions and temperature sensitivity in a temperate freshwater marsh of northeastern China. Ecol. Indic. 2019, 97, 410–418. [Google Scholar] [CrossRef]
- Zhang, D.; Gong, C.; Song, C.C.; Zhang, J.S. Effects of inorganic nitrogen addition on CO2 and N2O emissions from wetland soil. Soils Crops 2019, 8, 373–380. [Google Scholar]
- Allison, S.D.; Czimczik, C.I.; Treseder, K.K. Microbial activity and soil respiration under nitrogen addition in Alaskan boreal forest. Glob. Chang. Biol. 2008, 14, 1156–1168. [Google Scholar] [CrossRef]
- Gong, C.; Song, C.C.; Sun, L.; Zhang, D.; Zhang, J.; Liu, X.H. Response of methane emissions to litter input manipulation in a temperate freshwater marsh, Northeast China. Ecol. Indic. 2020, 115, 106377. [Google Scholar] [CrossRef]
Publisher’s Note: MDPI stays neutral with regard to jurisdictional claims in published maps and institutional affiliations. |
© 2022 by the authors. Licensee MDPI, Basel, Switzerland. This article is an open access article distributed under the terms and conditions of the Creative Commons Attribution (CC BY) license (https://creativecommons.org/licenses/by/4.0/).






