Water Retention Characteristics of Mineral Forest Soils in Finland: Impacts for Modeling Soil Moisture
Abstract
1. Introduction
2. Materials and Methods
2.1. Field Data
2.2. Laboratory Measurements of Soil Properties
2.3. Fitting the Water Retention Curves
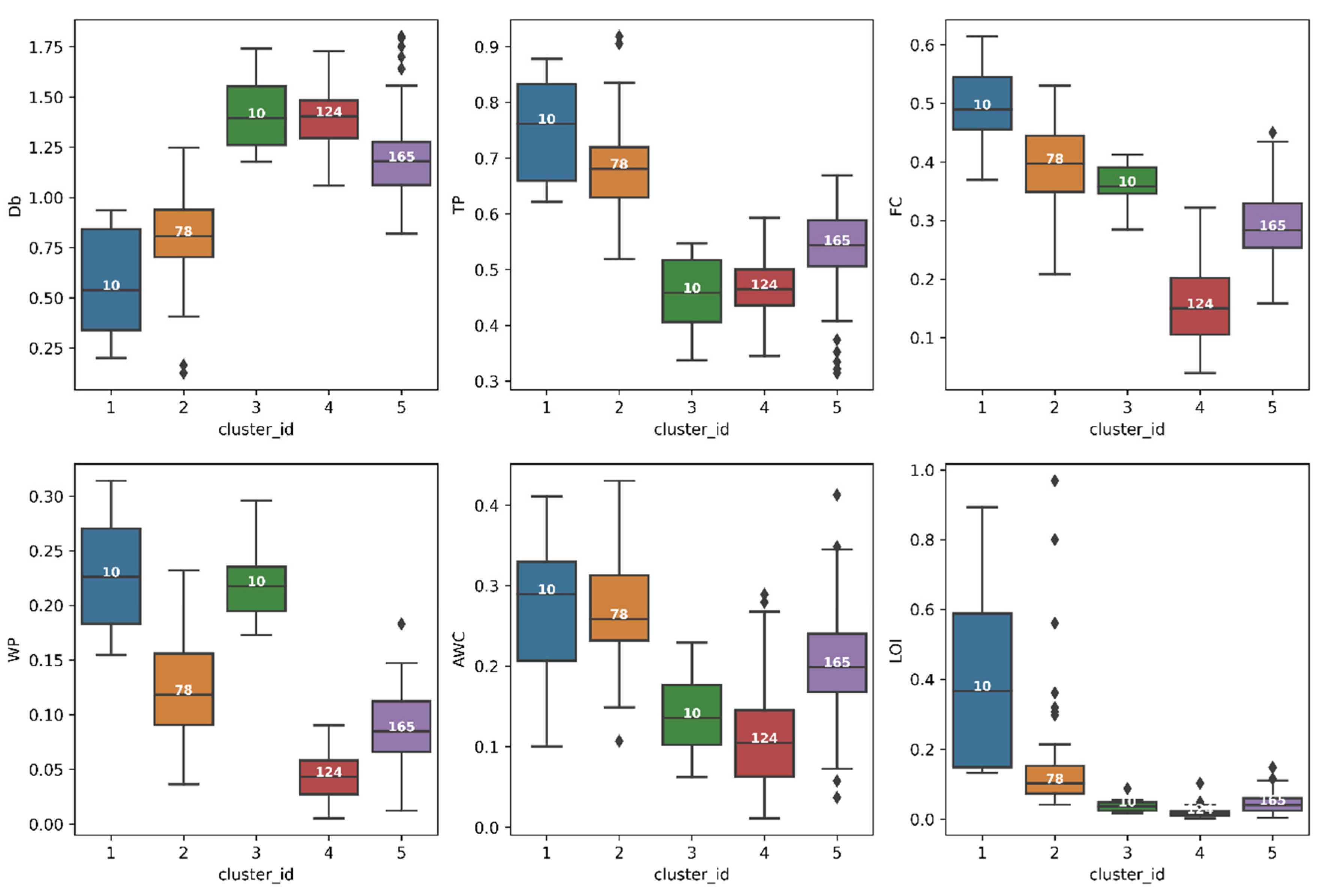
2.4. Clustering the Soils According to Their Hydraulic Properties
2.5. Predicting the Hydrological Properties: Defining the Class-PTF’s for Hydrological Models
2.6. Soil Moisture and Drought-Risk Predictions
3. Results and Discussion
3.1. Humus Layer Hydraulic Characteristics
3.2. Mineral Soil Hydraulic Characteristics in the Root Zone
3.3. Water Retention Characteristics Can Be Predicted from Measured Soil Properties but Not from Open Geospatial Data
3.4. Impacts for Modeling Soil Moisture and Drought-Risks in Forests
4. Conclusions
Supplementary Materials
Author Contributions
Funding
Data Availability Statement
Acknowledgments
Conflicts of Interest
References
- Burger, J.A.; Kelting, D.L. Using soil quality indicators to assess forest stand management. For. Ecol. Manag. 1999, 122, 155–166. [Google Scholar] [CrossRef]
- Schoenholtz, S.H.; Van Miegroet, H.; Burger, J.A. A review of chemical and physical properties as indicators of forest soil quality: Challenges and opportunities. For. Ecol. Manag. 2000, 138, 335–356. [Google Scholar] [CrossRef]
- Drobnik, T.; Greiner, L.; Keller, A.; Grêt-Regamey, A. Soil quality indicators—From soil functions to ecosystem services. Ecol. Indic. 2018, 94, 151–169. [Google Scholar] [CrossRef]
- Western, A.W.; Grayson, R.B.; Blöschl, G. Scaling of soil moisture: A hydrologic perspective. Annu. Rev. Earth Planet. Sci. 2002, 30, 149–180. [Google Scholar] [CrossRef]
- Teuling, A.J.; Troch, P.A. Improved understanding of soil moisture variability dynamics. Geophys. Res. Lett. 2005, 32, L05404. [Google Scholar] [CrossRef]
- Daly, E.; Porporato, A. A review of soil moisture dynamics: From rainfall infiltration to ecosystem response. Environ. Eng. Sci. 2005, 22, 9–24. [Google Scholar] [CrossRef]
- Famiglietti, J.S.; Ryu, D.; Berg, A.A.; Rodell, M.; Jackson, T.J. Field observations of soil moisture variability across scales. Water Resour. Res. 2008, 44, W01423. [Google Scholar] [CrossRef]
- Dong, J.; Ochsner, T.E. Soil texture often exerts a stronger influence than precipitation on mesoscale soil moisture patterns. Water Resour. Res. 2018, 54, 2199–2211. [Google Scholar] [CrossRef]
- Gholz, H.L.; Ewel, K.C.; Teskey, R.O. Water and forest productivity. For. Ecol. Manag. 1990, 30, 1–18. [Google Scholar] [CrossRef]
- Henttonen, H.M.; Mäkinen, H.; Heiskanen, J.; Peltoniemi, M.; Laurén, A.; Hordo, M. Response of radial increment variation of Scots pine to temperature, precipitation and soil water content along a latitudinal gradient across Finland and Estonia. Agrig. For. Meteorol. 2014, 198–199, 294–308. [Google Scholar] [CrossRef]
- Pastor, J.; Post, W.M. Influence of climate, soil moisture, and succession on forest carbon and nitrogen cycles. Biogeochemistry 1986, 2, 3–27. [Google Scholar] [CrossRef]
- Neary, D.G.; Ice, G.G.; Jackson, C.R. Linkages between forest soils and water quality and quantity. For. Ecol. Manag. 2009, 258, 2269–2281. [Google Scholar] [CrossRef]
- Stielstra, C.M.; Lohse, K.A.; Chorover, J.; McIntosh, J.C.; Barron-Gafford, G.A.; Perdrial, J.N.; Litvak, M.; Barnard, H.R.; Brooks, P.D. Climatic and landscape influences on soil moisture are primary determinants of soil carbon fluxes in seasonally snow-covered forest ecosystems. Biogeochemistry 2015, 123, 447–465. [Google Scholar] [CrossRef]
- Luk, S.H. Effect of antecedent soil moisture content on rainwash erosion. Catena 1985, 12, 129–139. [Google Scholar] [CrossRef]
- Wei, L.; Zhang, B.; Wang, M. Effects of antecedent soil moisture on runoff and soil erosion in alley cropping systems. Agric. Water Manag. 2007, 94, 54–62. [Google Scholar] [CrossRef]
- Dorman, M.; Perevolotsky, A.; Sarris, D.; Svoray, T. The effect of rainfall and competition intensity on forest response to drought: Lessons learned from a dry extreme. Oecologia 2015, 177, 1025–1038. [Google Scholar] [CrossRef]
- Busscher, W.J.; Bauer, P.J.; Camp, C.R.; Sojka, R.E. Correction of cone index for soil water content differences in a coastal plain soil. Soil Tillage Res. 1997, 43, 205–2137. [Google Scholar] [CrossRef]
- Batey, T. Soil compaction and soil management—A review. Soil Use Manag. 2009, 25, 335–345. [Google Scholar] [CrossRef]
- Uusitalo, J.; Ala-Ilomäki, J.; Lindeman, H.; Toivio, J.; Siren, M. Modelling soil moisture—Soil strength relationship of fine-grained upland forest soils. Silva Fenn. 2015, 53, 10050. [Google Scholar] [CrossRef]
- Sirén, M.; Salmivaara, A.; Ala-Ilomäki, J.; Launiainen, S.; Lindeman, H.; Uusitalo, J.; Sutinen, R.; Hänninen, P. Predicting forwarder rut formation on fine-grained mineral soils. Scand. J. For. Res. 2019, 34, 145–154. [Google Scholar] [CrossRef]
- Heiskanen, J.; Hallikainen, V.; Salmivaara, A.; Uusitalo, J.; Ilvesniemi, H. Predictive models to determine fine soil fractions and organic matter from readily available soil and terrain data of soils under boreal forest. Geoderma Reg. 2020, 20, e00251. [Google Scholar] [CrossRef]
- Vega-Nieva, D.J.; Murphy, P.N.; Castonguay, M.; Ogilvie, J.; Arp, P.A. A modular terrain model for daily variations in machine-specific forest soil trafficability. Can. J. Soil. Sci. 2009, 89, 93–109. [Google Scholar] [CrossRef]
- Salmivaara, A.; Launiainen, S.; Perttunen, J.; Nevalainen, P.; Pohjankukka, J.; Ala-Ilomäki, J.; Sirén, M.; Laurén, A.; Tuominen, S.; Uusitalo, J.; et al. Towards dynamic forest trafficability prediction using open spatial data, hydrological modelling and sensor technology. Forestry 2020, 93, 662–674. [Google Scholar] [CrossRef]
- Tavankar, F.; Picchio, R.; Nikooy, M.; Jourgholami, M.; Latterini, F.; Venanzi, R. Effect of soil moisture on soil compaction during skidding operations in poplar plantation. Int. J. For. Eng. 2021, 32, 128–139. [Google Scholar] [CrossRef]
- Mäkelä, A.; Landsberg, J.; Ek, A.R.; Burk, T.E.; Ter-Mikaelian, M.; Ågren, G.I.; Chadwick, D.O.; Puttonen, P. Process-based models for forest ecosystem management: Current state of the art and challenges for practical implementation. Tree Phys. 2000, 20, 289–298. [Google Scholar] [CrossRef]
- Nordström, E.M.; Nieuwenhuis, M.; Başkent, E.Z.; Biber, P.; Black, K.; Borges, J.G.; Bugalho, M.N.; Corradini, G.; Corrigan, E.; Eriksson, L.O.; et al. Forest decision support systems for the analysis of ecosystem services provisioning at the landscape scale under global climate and market change scenarios. Eur. J. For. Res. 2009, 138, 561–581. [Google Scholar] [CrossRef]
- Laurén, A.A.; Guan, M.; Salmivaara, A.; Leinonen, A.; Palviainen, M.; Launiainen, S. NutSpaFHy—A Distributed Nutrient Balance Model to Predict Nutrient Export from Managed Boreal Headwater Catchments. Forests 2021, 12, 808. [Google Scholar] [CrossRef]
- Goude, M.; Nilsson, U.; Mason, E.; Vico, G. Using hybrid modelling to predict basal area and evaluate effects of climate change on growth of Norway spruce and Scots pine stands. Scand. J. For. Res. 2022, 37, 59–73. [Google Scholar] [CrossRef]
- Wösten, J.H.M.; Pachepsky, Y.A.; Rawls, W.J. Pedotransfer functions: Bridging the gap between available basic soil data and missing soil hydraulic characteristics. J. Hydrol. 2001, 251, 123–150. [Google Scholar] [CrossRef]
- Van Looy, K.; Bouma, J.; Herbst, M.; Koestel, J.; Minasny, B.; Mishra, U.; Montzka, C.; Nemes, A.; Pachepsky, Y.A.; Padarian, J.; et al. Pedotransfer functions in Earth system science: Challenges and perspectives. Rev. Geophys. 2017, 55, 1199–1256. [Google Scholar] [CrossRef]
- Tóth, B.; Weynants, M.; Nemes, A.; Makó, A.; Bilas, G.; Tóth, G. New generation of hydraulic pedotransfer functions for Europe. Eur. J. Soil Sci. 2015, 66, 226–238. [Google Scholar] [CrossRef]
- Puhlmann, H.; von Wilpert, K. Pedotransfer functions for water retention and unsaturated hydraulic conductivity of forest soils. J. Plant Nutr. Soil Sci. 2012, 175, 221–235. [Google Scholar] [CrossRef]
- Hewelke, P.; Gnatowski, T.; Hewelke, E.; Tyszka, J.; Zakowicz, S. Analysis of Water Retention Capacity for Select Forest Soils in Poland. Pol. J. Environ. Stud. 2015, 24, 1013–1019. [Google Scholar] [CrossRef]
- Heiskanen, J. Metsämaan vedenpidätyskyvystä ja sen suhteista eräisiin kasvupaikasta mitattuihin tunnuksiin. Licentiate Thesis, University of Helsinki, Department of Silviculture, Helsinki, Finland, 1988; p. 92. [Google Scholar]
- Westman, C.J. Soil physical and physico-chemical properties of Finnish upland forest sites. Silva Fenn. 1990, 24, 141–158, (In Finnish with English summary). [Google Scholar] [CrossRef][Green Version]
- Heiskanen, J.; Mäkitalo, K. Soil water-retention characteristics of Scots pine and Norway spruce forest sites in Finnish Lapland. For. Ecol. Manag. 2002, 162, 137–152. [Google Scholar] [CrossRef]
- Jauhiainen, M. Relationships of Particle Size Distribution Curve, Soil Water Retention Curve and Unsaturated Hydraulic Conductivity and Their Implications on Water Balance of Forested and Agricultural Hillslopes. Helsinki University of Technology Water Resources Publications. 2004, Volume 12, p. 164. Available online: http://urn.fi/urn:nbn:fi:tkk-003835 (accessed on 15 May 2022).
- Heiskanen, J.; Mäkitalo, K.; Hyvönen, J. Long-term influence of site preparation on water-retention characteristics of forest soil in Finnish Lapland. For. Ecol. Manag. 2007, 241, 127–133. [Google Scholar] [CrossRef]
- Mäkitalo, K. Soil Hydrological Properties and Conditions, Site Preparation, and the Long-Term Performance of Planted Scots Pine (Pinus sylvestris L.) on Upland Forest Sites in Finnish Lapland. Dissertationes Forestales, University of Helsinki, Helsinki, Finland, 2009. [Google Scholar] [CrossRef]
- Päivänen, J. Hydraulic conductivity and water retention in peat soils. Acta For. Fenn. 1973, 129, 7563. [Google Scholar] [CrossRef]
- Sun, N.; Wigmosta, M.; Zhou, T.; Lundquist, J.; Dickerson-Lange, S.; Cristea, N. Evaluating the functionality and streamflow impacts of explicitly modelling forest–snow interactions and canopy gaps in a distributed hydrologic model. Hydrol. Proc. 2018, 32, 2128–2140. [Google Scholar] [CrossRef]
- Launiainen, S.; Guan, M.; Salmivaara, A.; Kieloaho, A.J. Modeling boreal forest evapotranspiration and water balance at stand and catchment scales: A spatial approach. Hydrol. Earth Syst. Sci. 2019, 23, 3457–3480. [Google Scholar] [CrossRef]
- Mäkisara, K.; Katila, M.; Peräsaari, J.; Tomppo, E. The multi-source national forest inventory of Finland–methods and results 2013. Nat. Resour. Bioeconomy Stud. 2016, 10, 215. Available online: http://urn.fi/URN:ISBN:978-952-326-186-0 (accessed on 15 May 2022).
- Salmivaara, A. DTW-Kosteusindeksikartta, 2m. CSC—Tieteen Tietotekniikan Keskus Oy. 2020. Available online: http://urn.fi/urn:nbn:fi:att:3403a010-b9d0-4948-8f9f-2bc4ca763897 (accessed on 15 May 2022).
- Salmivaara, A.; Launiainen, S.; Tuominen, S.; Ala-Ilomäki, J.; Finér, L. Topographic Wetness Index for Finland. Natural Resources Institute Finland 2017, Etsin Research Data Finder, CSC (Distributor). Available online: http://urn.fi/urn:nbn:fi:csc-kata20170511113233803176 (accessed on 1 April 2022).
- Seibert, J.; Stendahl, J.; Sørensen, R. Topographical influences on soil properties in boreal forests. Geoderma 2007, 141, 139–148. [Google Scholar] [CrossRef]
- Geroy, I.J.; Gribb, M.M.; Marshall, H.P.; Chandler, D.G.; Benner, S.G.; McNamara, J.P. Aspect influences on soil water retention and storage. Hydrol. Proc. 2011, 25, 3836–3842. [Google Scholar] [CrossRef]
- Mualem, Y. A new model predicting the hydraulic conductivity of unsaturated porous media. Water Resour. Res. 1976, 12, 513–522. [Google Scholar] [CrossRef]
- van Genuchten, M.T. A closed-form equation for predicting the hydraulic conductivity of unsaturated soils. Soil Sci. Soc. Am. J. 1980, 44, 892–898. [Google Scholar] [CrossRef]
- Heiskanen, J.; Hallikainen, V.; Uusitalo, J.; Ilvesniemi, H. Co-variation relations of physical soil properties and site characteristics of Finnish upland forests. Silva Fenn. 2018, 52, 9948. [Google Scholar] [CrossRef]
- Derome, J.; Lindgren, M.; Merilä, P.; Beuker, E.; Nöjd, P. Forest Condition Monitoring under the UN/ECE and EU Pro-grammes in Finland. In For. Cond. Monit. Finl.–Natl. Rep.; 2007; Volume 45, pp. 11–20. [Google Scholar]
- Merilä, P.; Mustajärvi, K.; Helmisaari, H.-S.; Hilli, S.; Lindroos, A.-J.; Nieminen, T.M.; Nöjd, P.; Rautio, P.; Salemaa, M.; Ukonmaanaho, L. Above- and below-ground N stocks in coniferous boreal forests in Finland: Implications for sustainability of more intensive biomass utilization. For. Ecol. Manag. 2014, 311, 17–28. [Google Scholar] [CrossRef]
- Elonen, P. Particle-size analysis. Acta Agrar. Fenn. 1971, 112, 122. [Google Scholar]
- Dumroese, K.R.; Heiskanen, J.; Tervahauta, A.; Englund, K. Pelleted biochar: Chemical and physical properties show potential use as a substrate in container nurseries. Biomass Bioenergy 2011, 35, 2018–2027. [Google Scholar] [CrossRef]
- Cools, N.; De Vos, B. Part X: Sampling and Analysis of Soil. In Manual on Methods and Criteria for Harmonized Sampling, Assessment, Monitoring and Analysis of the Effects of Air Pollution on Forests; UNECE ICP Forests Programme Co-ordinating Centre, Ed.; Thunen Institute of Forest Ecosystems: Eberswalde, Germany, 2020; 29p + Annex. [Google Scholar]
- Heiskanen, J. Comparison of three methods for determining the particle density of soil with liquid pycnometers. Commun. Soil. Sci. Plant Anal. 1992, 23, 841–846. [Google Scholar] [CrossRef]
- Al Majou, H.; Bruand, A.; Duval, O. The use of in situ volumetric water content at field capacity to improve prediction of soil water retention properties. Can. J. Soil Sci. 2008, 88, 533–541. [Google Scholar] [CrossRef]
- Jackson, R.B.; Canadell, J.; Ehleringer, J.R.; Mooney, H.A.; Sala, O.E.; Schulze, E.D. A global analysis of root distributions for terrestrial biomes. Oecologia 1996, 108, 389–411. [Google Scholar] [CrossRef] [PubMed]
- Finér, L.; Ohashi, M.; Noguchi, K.; Hirano, Y. Factors causing variation in fine root biomass in forest ecosystems. For. Ecol. Manag. 2011, 261, 265–277. [Google Scholar] [CrossRef]
- Newville, M.; Stensitzki, T.; Allen, D.B.; Ingargiola, A. LMFIT: Non-Linear Least-Square Minimization and Curve-Fitting for Python (0.8.0). Zenodo 2014, 790, 93. [Google Scholar] [CrossRef]
- Everitt, B.S.; Landau, S.; Leese, M.; Stahl, D. An introduction to classification and clustering. In Cluster Analysis; John Wiley & Sons: Hoboken, NJ, USA, 2011; Volume 5, pp. 1–13. ISBN 978-0-470-97780-4. [Google Scholar]
- Sorensen, T. A Method of Establishing Groups of Equal Amplitude in Plant Sociology Based on Similarity of Species Content and Its Application to Analyses of the Vegetation on Danish Commons. Biol. Skr. K. Dan. Vidensk. Selsk. 1948, 5, 1–34. [Google Scholar]
- Breiman, L. (Ed.) Classification and Regression Trees; Routledge: New York, NY, USA, 2017; 368p. [Google Scholar] [CrossRef]
- Pedregosa, F.; Varoquaux, G.; Gramfort, A.; Michel, V.; Thirion, B.; Grisel, O.; Blondel, M.; Prettenhofer, P.; Weiss, R.; Dubourg, V.; et al. Scikit-learn: Machine learning in Python. J. Mach. Learn. Res. 2011, 12, 2825–2830. [Google Scholar]
- Geological Survey of Finland. Superficial Deposits 1:20,000/1:50,000/1:200,000. 2021. Available online: https://hakku.gtk.fi (accessed on 15 May 2022).
- Cajander, A.K. Forest types and their significance. Acta For. Fenn. 1949, 56, 7396. [Google Scholar] [CrossRef]
- Aaltonen, H.; Tuukkanen, T.; Palviainen, M.; Laurén, A.; Tattari, S.; Piirainen, S.; Mattsson, T.; Ojala, A.; Lauiainen, S.; Finér, L. Controls of Organic Carbon and Nutrient Export from Unmanaged and Managed Boreal Forested Catchments. Water 2021, 13, 2363. [Google Scholar] [CrossRef]
- Beven, K.; Kirkby, M.J. A physically based, variable contributing area model of basin hydrology. Hydrolog. Sci. J. 1979, 24, 43–69. [Google Scholar]
- Laurén, A.; Heiskanen, J. Physical properties of the mor layer in a Scots pine stand: I Hydraulic conductivity. Can. J. Soil Sci. 1997, 77, 627–634. [Google Scholar] [CrossRef]
- Laurén, A.; Mannerkoski, H. Hydraulic Properties of Mor Layers in Finland. Scand. J. For. Res. 2001, 16, 429–441. [Google Scholar] [CrossRef]
- Heiskanen, J. Variation in water retention characteristics of peat growth media used in tree nurseries. Silva Fenn. 1993, 27, 5503. [Google Scholar] [CrossRef]
- Tamminen, P.; Tomppo, E. Finnish Forest Soils. Working Papers of the Finnish Forest Research Institute. 2008, Volume 100. 21p. Available online: http://urn.fi/URN:ISBN:978-951-40-2139-8 (accessed on 15 May 2022).
- Kurki, M. Summary: Soil classes of Finnish agricultural soils with special reference to their mull contents and acidity. Suo 1972, 23, 57–62. Available online: http://www.suo.fi/article/9401 (accessed on 15 May 2022).
- Sims, R.; Baldwin, K.; Kershaw, M.; Wang, Y. Tree species relation to soil moisture regime in northwestern Ontario. Environ. Monit. Assessm. 1996, 39, 471–484. [Google Scholar] [CrossRef]
- Wang, G.; Klinka, K. Classification of moisture and aeration regimes in sub-boreal forest soils. Environ. Monit. Assessm. 1996, 39, 451–469. [Google Scholar] [CrossRef]
- Salemaa, M.; Derome, J.; Nöjd, P. Response of boreal forest vegetation to the fertility status of the organic layer along a climatic gradient. Bor. Environ. Res. 2008, 13, 48–66. Available online: http://www.borenv.net/BER/archive/pdfs/ber13/ber13-B048.pdf (accessed on 1 April 2022).
- Sepponen, P.; Lähde, E.; Roiko-Jokela, P. On the relationship of the forest vegetation and the soil physical properties in Finnish Lapland. Folia For. 1979, 402, 1–31. Available online: http://urn.fi/URN:ISBN:951-40-0406-X (accessed on 1 April 2022).
- Urvas, L.; Erviö, R. Abstract: Influence of the soil type and the chemical properties of soil on determing of the forest type. J. Sci. Agric. Soc. Finl. 1974, 46, 307–319. [Google Scholar]
- Tamminen, P. Expression of soil nutrient status and regional variation in soil fertility of forested sites in southern Finland. Folia For. 1991, 777, 247–260. Available online: http://urn.fi/URN:ISBN:951-40-1170-8 (accessed on 1 April 2022).
- Tissari, S.; Nykänen, V.; Lerssi, J.; Kolehmainen, M. Classification of Soil Groups Using Weights-of-Evidence-Method and RBFLN-Neural Nets. Nat. Resour. Res. 2007, 16, 159–169. [Google Scholar] [CrossRef]
- Haavisto, M. (Ed.) Maaperäkartan Käyttöopas [Manual for Superficial Deposits Maps] (in Finnish) 1:20 000, 1:50 000; Opas 10; Geologinen TutkiMuslaitos: Espoo, Finland, 1983; 80p. [Google Scholar]
- Pachepsky, Y.A.; Timlin, D.J.; Rawls, W.J. Soil water retention as related to topographic variables. Soil Sci. Soc. Am. J. 2001, 65, 1787–1795. [Google Scholar] [CrossRef]
- Guio Blanco, C.M.; Brito Gomez, V.M.; Patricio, C.; Mareike, L. Spatial prediction of soil water retention in a Páramo landscape: Methodological insight into machine learning using random forest. Geoderma 2018, 316, 100–114. [Google Scholar] [CrossRef]
- Grabs, T.; Seibert, J.; Bishop, K.; Laudon, H. Modeling spatial patterns of saturated areas: A comparison of the topographic wetness index and a dynamic distributed model. J. Hydrol. 2009, 373, 15–23. [Google Scholar] [CrossRef]
- Beldring, S.; Gottschalk, L.; Seibert, J.; Tallaksen, L.M. Distribution of soil moisture and groundwater levels at patch and catchment scales. Agric. For. Meteorol. 1999, 98, 305–324. [Google Scholar] [CrossRef]
- Larson, J.; Lidberg, W.; Ågren, A.M.; Laudon, H. Predicting soil moisture across a heterogeneous boreal catchment using terrain indices. Hydrol. Earth Syst. Sci. 2022, 26, 4837–4851. [Google Scholar] [CrossRef]
- White, B.; Ogilvie, J.; Campbell, D.M.; Hiltz, D.; Gauthier, B.; Chisholm, H.K.H.; Wen, H.K.; Murphy, P.; Arp, P.A. Using the cartographic depth-to-water index to locate small streams and associated wet areas across landscapes. Can. Water Resour. J. 2012, 37, 333–347. [Google Scholar] [CrossRef]
- Hoff, C.; Rambal, S. An examination of the interaction between climate, soil and leaf area index in a Quercus ilex ecosystem. Ann. For. Sci. 2003, 60, 153–161. [Google Scholar] [CrossRef]
- Andrews, C.M.; D’Amato, A.W.; Fraver, S.; Palik, B.; Battaglia, M.A.; Bradford, J.B. Low stand density moderates growth declines during hot droughts in semi-arid forests. J. Appl. Ecol. 2020, 57, 1089–1102. [Google Scholar] [CrossRef]
- Miralles, D.G.; Gash, J.H.; Holmes, T.R.; de Jeu, R.A.; Dolman, A.J. Global canopy interception from satellite observations. J. Geophys. Res. Atmosp. 2010, 115, D16122. [Google Scholar] [CrossRef]
- Rock, B.N.; Vogelmann, J.E.; Williams, D.L.; Vogelmann, A.F.; Hoshizaki, T. Remote Detection of Forest Damage: Plant responses to stress may have spectral “signatures” that could be used to map, monitor, and measure forest damage. Bioscience 1986, 36, 439–445. [Google Scholar] [CrossRef]
- Lausch, A.; Erasmi, S.; King, D.J.; Magdon, P.; Heurich, M. Understanding forest health with remote sensing-part I—A review of spectral traits, processes and remote-sensing characteristics. Remote Sens. 2016, 8, 1029. [Google Scholar] [CrossRef]
- Lausch, A.; Erasmi, S.; King, D.J.; Magdon, P.; Heurich, M. Understanding forest health with remote sensing-part II—A review of approaches and data models. Remote Sens. 2017, 9, 129. [Google Scholar] [CrossRef]
- Bourgeau-Chavez, L.L.; Kasischke, E.S.; Riordan, K.; Brunzell, S.; Nolan, M.; Hyer, E.; Slawski, J.; Medvecz, M.; Walters, T.; Ames, S. Remote monitoring of spatial and temporal surface soil moisture in fire disturbed boreal forest ecosystems with ERS SAR imagery. Int. J. Remote Sens. 2007, 28, 2133–2162. [Google Scholar] [CrossRef]
- Babaeian, E.; Sadeghi, M.; Jones, S.B.; Montzka, C.; Vereecken, H.; Tuller, M. Ground, proximal, and satellite remote sensing of soil moisture. Rev. Geophys. 2019, 57, 530–616. [Google Scholar] [CrossRef]
- Nicolai-Shaw, N.; Zscheischler, J.; Hirschi, M.; Gudmundsson, L.; Seneviratne, S.I. A drought event composite analysis using satellite remote-sensing based soil moisture. Remote Sens. Environ. 2017, 203, 216–225. [Google Scholar] [CrossRef]
- Manninen, T.; Jääskeläinen, E.; Lohila, A.; Korkiakoski, M.; Räsänen, A.; Virtanen, T.; Muhlic, F.; Marttila, H.; Ala-Aho, P.; Markovaara-Koivisto, M.; et al. Very High Spatial Resolution Soil Moisture Observation of Heterogeneous Subarctic Catchment Using Nonlocal Averaging and Multitemporal SAR Data. IEEE Trans. Geosci. Remote Sens. 2021, 60, 1–17. [Google Scholar] [CrossRef]
- Hartmann, H.; Moura, C.F.; Anderegg, W.R.; Ruehr, N.K.; Salmon, Y.; Allen, C.D.; Arndt, S.K.; Bershears, D.D.; Davi, H.; Galbraith, D.; et al. Research frontiers for improving our understanding of drought-induced tree and forest mortality. New Phytol. 2018, 218, 15–28. [Google Scholar] [CrossRef]
- Khaki, M.; Hendricks Franssen, H.J.; Han, S.C. Multi-mission satellite remote sensing data for improving land hydrological models via data assimilation. Sci. Rep. 2020, 10, 18791. [Google Scholar] [CrossRef]
- Ruiz-Pérez, G.; Vico, G. Effects of temperature and water availability on Northern European boreal forests. Front. For. Glob. Chang. 2020, 3, 34. [Google Scholar] [CrossRef]









| Site-Types | Grain-Sizes | |||||||||||||||||
|---|---|---|---|---|---|---|---|---|---|---|---|---|---|---|---|---|---|---|
| Db (g cm−3) | LOI (mass %) | TP (m3m−3) | FC (m3m−3) | WP (m3m−3) | AWC (m3m−3) | θs (m3m−3) | θr (m3m−3) | α (kPa−1) | n (-) | herb-rich | mesic | sub-xeric | xeric | fine | med. | coarse | N | |
| C1 | 0.56 (0.29) | 0.42 (0.30) | 0.75 (0.10) | 0.49 (0.07) | 0.23 (0.06) | 0.27 (0.11) | 0.75 | 0 | 4.45 | 1.12 | 0.5 | 0.5 | - | - | 0.7 | 0.2 | 0.1 | 10 |
| C2 | 0.80 (0.21) | 0.14 (0.15) | 0.68 (0.08) | 0.40 (0.07) | 0.12 (0.05) | 0.27 (0.07) | 0.68 | 0 | 5.92 | 1.14 | 0.47 | 0.41 | 0.12 | - | 0.5 | 0.47 | 0.03 | 78 |
| C3 | 1.42 (0.20) | 0.04 (0.02) | 0.46 (0.07) | 0.36 (0.04) | 0.22 (0.04) | 0.14 (0.05) | 0.46 | 0 | 2.02 | 1.07 | 0.5 | 0.3 | 0.2 | - | 0.8 | 0.2 | - | 10 |
| C4 | 1.39 (0.13) | 0.02 (0.01) | 0.47 (0.05) | 0.16 (0.07) | 0.04 (0.02) | 0.11 (0.06) | 0.47 | 0.0 | 4.49 | 1.27 | 0.12 | 0.35 | 0.35 | 0.17 | 0.08 | 0.72 | 0.2 | 124 |
| C5 | 1.18 (0.18) | 0.05 (0.03) | 0.54 (0.06) | 0.29 (0.06) | 0.09 (0.03) | 0.21 (0.06) | 0.54 | 0 | 3.35 | 1.18 | 0.27 | 0.47 | 0.23 | 0.02 | 0.2 | 0.75 | 0.05 | 165 |
| Grain-sizes | ||||||||||||||
|---|---|---|---|---|---|---|---|---|---|---|---|---|---|---|
| Db (g cm−3) | LOI (mass %) | TP (m3m−3) | FC (m3m−3) | WP (m3m−3) | AWC (m3m−3) | θs (m3m−3) | θr (m3m−3) | α (kPa−1) | n (-) | fine | med. | coarse | N | |
| herb-rich | 1.06 (0.30) | 0.09 (0.11) | 0.58 (0.11) | 0.34 (0.09) | 0.11 (0.06) | 0.22 (0.07) | 0.58 | 0 | 4.67 | 1.15 | 0.42 | 0.57 | - | 127 |
| mesic | 1.16 (0.30) | 0.07 (0.14) | 0.55 (0.11) | 0.28 (0.12) | 0.08 (0.05) | 0.20 (0.09) | 0.55 | 0 | 4.54 | 1.18 | 0.25 | 0.65 | 0.09 | 183 |
| sub-xeric | 1.23 (0.23) | 0.04 (0.04) | 0.53 (0.08) | 0.24 (0.10) | 0.08 (0.05) | 0.16 (0.08) | 0.53 | 0 | 4.29 | 1.20 | 0.1 | 0.76 | 0.14 | 114 |
| xeric | 1.36 (0.16) | 0.02 (0.02) | 0.48 (0.06) | 0.14 (0.07) | 0.04 (0.03) | 0.09 (0.05) | 0.48 | 0.03 | 4.0 | 1.37 | 0.04 | 0.64 | 0.32 | 28 |
Publisher’s Note: MDPI stays neutral with regard to jurisdictional claims in published maps and institutional affiliations. |
© 2022 by the authors. Licensee MDPI, Basel, Switzerland. This article is an open access article distributed under the terms and conditions of the Creative Commons Attribution (CC BY) license (https://creativecommons.org/licenses/by/4.0/).
Share and Cite
Launiainen, S.; Kieloaho, A.-J.; Lindroos, A.-J.; Salmivaara, A.; Ilvesniemi, H.; Heiskanen, J. Water Retention Characteristics of Mineral Forest Soils in Finland: Impacts for Modeling Soil Moisture. Forests 2022, 13, 1797. https://doi.org/10.3390/f13111797
Launiainen S, Kieloaho A-J, Lindroos A-J, Salmivaara A, Ilvesniemi H, Heiskanen J. Water Retention Characteristics of Mineral Forest Soils in Finland: Impacts for Modeling Soil Moisture. Forests. 2022; 13(11):1797. https://doi.org/10.3390/f13111797
Chicago/Turabian StyleLauniainen, Samuli, Antti-Jussi Kieloaho, Antti-Jussi Lindroos, Aura Salmivaara, Hannu Ilvesniemi, and Juha Heiskanen. 2022. "Water Retention Characteristics of Mineral Forest Soils in Finland: Impacts for Modeling Soil Moisture" Forests 13, no. 11: 1797. https://doi.org/10.3390/f13111797
APA StyleLauniainen, S., Kieloaho, A.-J., Lindroos, A.-J., Salmivaara, A., Ilvesniemi, H., & Heiskanen, J. (2022). Water Retention Characteristics of Mineral Forest Soils in Finland: Impacts for Modeling Soil Moisture. Forests, 13(11), 1797. https://doi.org/10.3390/f13111797

