Variation Characteristics of Soil Organic Carbon Storage and Fractions with Stand Age in North Subtropical Quercus acutissima Carruth. Forest in China
Abstract
1. Introduction
2. Materials and Methods
2.1. Study Area
2.2. Experimental Design and Sampling
2.3. Soil Physical and Chemical Analyses
2.4. Soil Organic Carbon and Labile Organic Carbon Analyses
2.5. Stock Calculation of SOC and Fractions
2.6. Statistical Analyses
3. Results
3.1. Soil Properties
3.2. Soil Labile Organic Carbon
3.3. Factors Affecting Composition of Soil Labile Organic Carbon
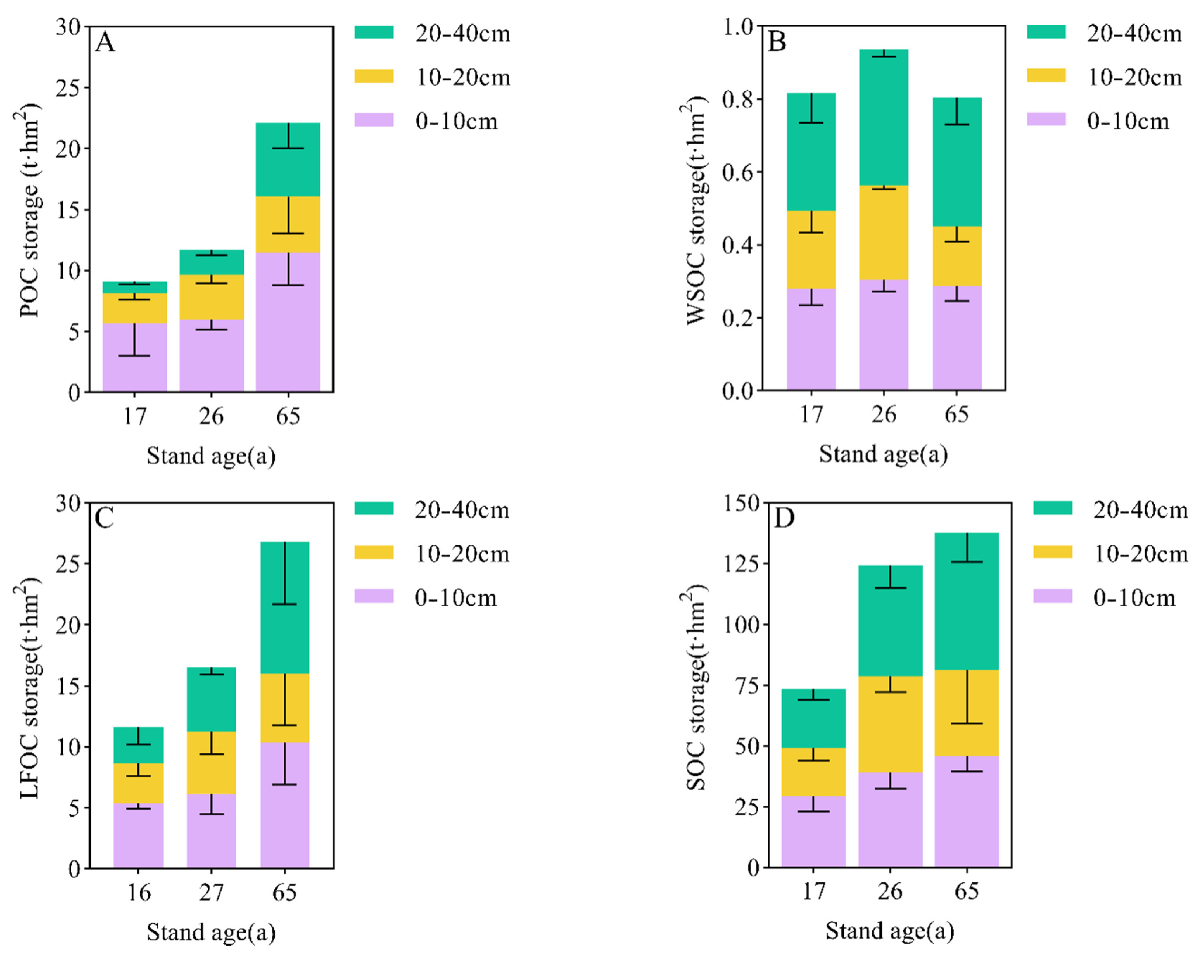
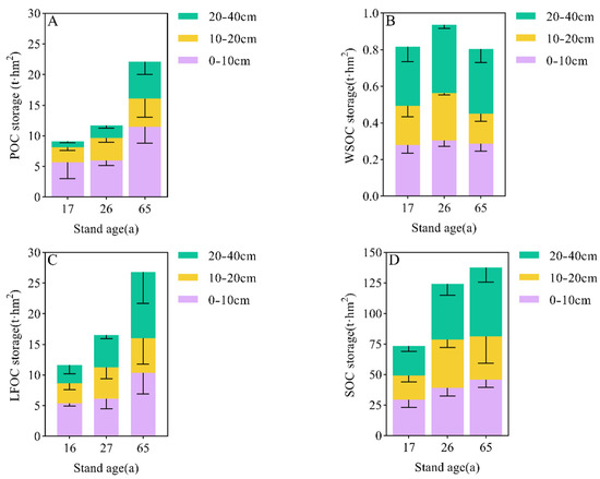
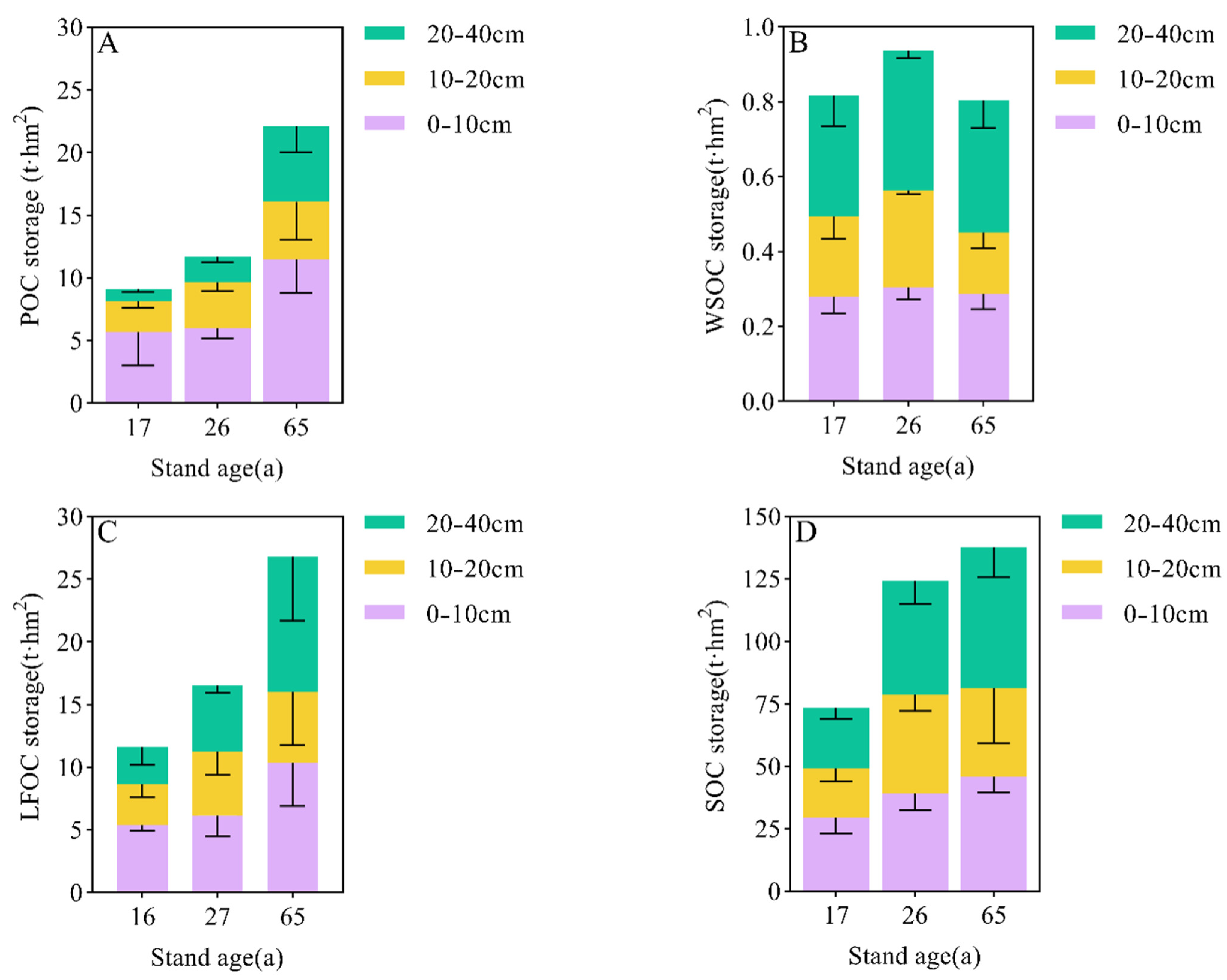
3.4. Soil Carbon Storage
4. Discussion
4.1. Variations in SOC Content and Labile Organic Carbon Fractions across Forest Ages
4.2. Effects of Stand Age on Soil Carbon Storage
5. Conclusions
Author Contributions
Funding
Data Availability Statement
Acknowledgments
Conflicts of Interest
References
- Dlugokencky, E.; Tans, P. Trends in Atmospheric Carbon Dioxide, National Oceanic & Atmospheric Administration, Earth System Research Laboratory (NOAA/ESRL). 2022. Available online: https://gml.noaa.gov/ccgg/trends/global.html (accessed on 18 September 2022).
- IPCC. Climate Change 2001: The Scientific Basis; Cambridge University Press: Cambridge, UK, 2001.
- Dib, A.E.; Johnson, C.E.; Driscoll, C.T.; Fahey, T.J.; Hayhoe, K. Simulating effects of changing climate and CO2 emissions on soil carbon pools at the Hubbard Brook experimental forest. Glob. Change Biol. 2014, 20, 1643–1656. [Google Scholar] [CrossRef] [PubMed]
- Gabriel, C.E.; Kellman, L.; Prest, D. Examining mineral-associated soil organic matter pools through depth in harvested forest soil profiles. PLoS ONE 2018, 13, e0206847. [Google Scholar] [CrossRef]
- World Bank. Forest Area (% of Land Area). Available online: https://data.worldbank.org/indicator/AG.LND.FRST.ZS (accessed on 12 May 2022).
- Dixon, R.K.; Brown, S.; Houghton, P.A. Carbon pools and flux of global forest ecosystem. Science 1994, 263, 185–190. [Google Scholar] [CrossRef] [PubMed]
- Cao, J.J.; Gong, Y.F.; Adamowski, J.F.; Deo, R.C.; Zhu, G.F.; Dong, X.G.; Zhang, X.F.; Liu, H.B.; Xin, C.L. Effects of stand age on carbon storage in dragon spruce forest ecosystems in the upper reaches of the Bailongjiang River basin, China. Sci. Rep. 2019, 9, 3005. [Google Scholar] [CrossRef] [PubMed]
- Guo, G.; Li, X.; Zhu, X.; Xu, Y.Y.; Dai, Q.; Zeng, G.R.; Lin, J. Effect of forest management operations on aggregate-associated SOC dynamics using a 137Cs tracing method. Forests 2021, 12, 859. [Google Scholar] [CrossRef]
- Erb, K.H.; Haberl, H.; Le-Noë, J.; Tappeiner, U.; Tasser, E.; Gingrich, S. Changes in perspective needed to forge “no-regret” forest-based climate change mitigation strategies. GCB Bioenergy 2022, 14, 246–257. [Google Scholar] [CrossRef] [PubMed]
- Lucas-Borja, M.E.; Hedo, J.; Cerdá, A.; Candel-Pérez, D.; Viñegla, B. Unravelling the importance of forest age stand and forest structure driving microbiological soil properties, enzymatic activities and soil nutrients content in Mediterranean Spanishblack pine (Pinus nigra Ar. ssp. salzmannii) forest. Sci. Total Environ. 2016, 562, 145–154. [Google Scholar] [CrossRef]
- Zhang, Y.; Tigabu, M.; Yi, Z.; Li, H.; Zhuang, Z.; Yang, Z. Soil parent material and stand development stage effects on labile soil C and N pools in Chinese fir plantations. Geoderma 2019, 338, 247–258. [Google Scholar]
- Wang, C.Q.; Xue, L.; Jiao, R.Z. Soil organic carbon fractions, C-cycling associated hydrolytic enzymes, and microbial carbon metabolism vary with stand age in Cunninghamia lanceolate (Lamb.) Hook plantations. For. Ecol. Manag. 2021, 482, 118887. [Google Scholar] [CrossRef]
- Mujuru, L.; Gotora, T.; Velthorst, E.J.; Nzamangara, J.; Hoosbeek, M.R. Soil carbon and nitrogen sequestration over an age sequence of Pinus patula plantations in Zimbabwean Eastern Highlands. For. Ecol. Manag. 2014, 313, 254–265. [Google Scholar] [CrossRef]
- He, X.X.; Huang, Y.Z.; Zhang, Q.C.; Ye, S.M.; Wang, S.Q. Distribution of organic carbon fractions in soil aggregates in Chinese fir plantations with different stand ages. Ecol. Process. 2021, 10, 49. [Google Scholar] [CrossRef]
- Du, H.; Zeng, F.P.; Peng, W.X.; Wang, K.L.; Zhang, H.; Liu, L.; Song, T.Q. Carbon storage in a Eucalyptus plantation chronosequence in Southern China. Forests 2015, 6, 1763–1778. [Google Scholar] [CrossRef]
- Uri, V.; Kukumägi, M.; Aosaar, J.; Varik, M.; Becker, H.; Aun, K.; Lõhmus, K.; Soosaar, K.; Astover, A.; Uri, M.; et al. The dynamics of the carbon storage and fluxes in Scots pine (Pinus sylvestris) chronosequence. Sci. Total Environ. 2022, 817, 152973. [Google Scholar] [CrossRef] [PubMed]
- Jones, I.L.; De-Walt, S.J.; Lopez, O.R.; Bunnefeld, L.; Pattison, Z.; Dent, D.H. Above and belowground carbon stocks are decoupled in secondary tropical forests and are positively related to forest age and soil nutrients respectively. Sci. Total Environ. 2019, 697, 133987. [Google Scholar] [CrossRef]
- Cui, J.; Li, Z.X.; Liu, Z.T.; Ge, B.M.; Fang, C.M.; Zhou, C.L.; Tang, B.P. Physical and chemical stabilization of soil organic carbon along a 500-year cultived soil chronosequence originating from estuarine wetlands: Emporal patterns and land use effects. Agric. Ecosyst. Environ. 2014, 196, 10–20. [Google Scholar] [CrossRef]
- Bradford, M.A.; Fierer, N.; Reynolds, J.F. Soil carbon stocks in experimental mesocosms are dependent on the rate of labile carbon.; nitrogen and phosphorusinputs to soils. Funct. Ecol. 2008, 22, 964–974. [Google Scholar] [CrossRef]
- Janzen, H.H.; Campbell, C.A.; Brandt, S.A.; Lafond, G.P.; Townley-Smith, L. Light-fraction organic matter in soils from long-trem crop rotations. Soil Sci. Soc. Am. J. 1992, 56, 1799–1806. [Google Scholar] [CrossRef]
- Wang, J.Y.; Song, C.C.; Wang, X.W.; Song, Y.Y. Changes in labile soil organic carbon fractions in wetland ecosystems along a latitudinal gradient in Northeast China. Catena 2012, 96, 83–89. [Google Scholar] [CrossRef]
- Li, J.; Wen, Y.; Li, X.; Li, Y.; Yang, X.; Lin, Z.; Song, Z.; Cooper, J.M.; Zhao, B. Soil labile organic carbon fractions and soil organic carbon stocks as affected by long-term organic and mineral fertilization regimes in the North China Plain. Soil Tillage Res. 2018, 175, 281–290. [Google Scholar] [CrossRef]
- Monteith, D.T.; Stoddard, J.L.; Evans, C.D.; de-Wit, H.A.; Forsius, M.; Hogasen, T.; Wilander, A.; Skjelkvale, B.L.; Jeffries, D.S.; Vuorenmaa, J.; et al. Dissolved organic carbon trends resulting from changes in atmospheric deposition chemistry. Nature 2007, 450, 537–541. [Google Scholar] [CrossRef]
- Embacher, A.; Zsolnay, A.; Gattinger, A.; Munch, J.C. The dynamics of water extractable organic matter (WEOM) in common arable topsoils: II. Influence of mineral and combined mineral and manure fertilization in a Haplic Chernozem. Geoderma 2008, 148, 63–69. [Google Scholar] [CrossRef]
- Spohn, M.; Novák, T.J.; Incze, J.; Giani, L. Dynamics of soil carbon, nitrogen, and phosphorus in calcareous soils after land-use abandonment—A Chronosequence Study. Plant Soil. 2015, 401, 185–196. [Google Scholar] [CrossRef]
- Cadisch, G.; Imhof, H.; Urquiaga, S.; Boddey, R.M.; Giller, K.E. Carbon turnover (δ13C) and nitrogen mineralization potential of particulate light soil organic matter after rainforest clearing. Soil Biol. Biochem. 1996, 28, 1555–1567. [Google Scholar] [CrossRef]
- Zhao, S.; Ta, N.; Li, Z.; Yang, Y.; Zhang, X.; Liu, D.; Zhang, A.F.; Wang, X.D. Varying pyrolysis temperature impacts application effects of biochar on soil labile organic carbon and humic fractions. Appl. Soil. Ecol. 2018, 123, 484–493. [Google Scholar] [CrossRef]
- Zilliox, C.; Gosselin, F. Tree species diversity and abundance as indicators of understory diversity in French mountain forests: Variations of the relationship in geographical and ecological space. For. Ecol. Manag. 2014, 321, 105–116. [Google Scholar] [CrossRef]
- Zhang, X.; Li, Y.; Fang, Y. Geographical distribution and prediction of potential ranges of Quercus acutissima in China. Acta Bot. Boreali-Occident. Sin. 2014, 34, 1685–1692. [Google Scholar]
- Li, Y.C.; Li, Y.Q.; Wang, L.; Yu, H.Y.; Zhang, X.; Liu, P. Resource investigation and distribution pattern of Quercus variabilis Blume and Quercus acutissima Carr. as woody energy plant in China. For. Resour. Manag. 2013, 1, 94–101. [Google Scholar]
- Guo, L.M.; Ni, R.Q.; Kan, X.L.; Lin, Q.Z.; Mao, P.L.; Cao, B.H.; Gao, P.; Dong, J.W.; Mi, W.D.; Zhao, B.P. Effects of precipitation and soil moisture on the characteristics of the seedling bank under Quercus acutissima forest plantation in Mount Tai, China. Forests 2022, 13, 545. [Google Scholar] [CrossRef]
- Liu, Z.L.; Yu, M.K.; Ma, Y.; Tang, L.Z.; Fang, S.Z. A trend surface analysis of geographic variation in the traits of seeds and seedlings from different Quercus acutissima provenances. Acta Ecol. Sin. 2011, 31, 6796–6804. [Google Scholar]
- Liu, X.; Tang, Y.Z.; Cheng, X.F.; Jia, Z.H.; Li, C.; Ma, S.L.; Zhai, L.; Zhang, B.; Zhang, J.C. Comparison of changes in soil moisture content following rainfall in different subtropical plantations of the Yangtze River Delta Region. Water 2021, 13, 914. [Google Scholar] [CrossRef]
- Xiong, S.F.; Wang, Y.D.; Chen, Y.C.; Gao, M.; Zhao, Y.X.; Wu, L.W. Effects of drought stress and rehydration on physiological and biochemical properties of four oak species in China. Plants 2022, 11, 679. [Google Scholar] [CrossRef]
- Gao, J.; Liu, Z.L.; Zhao, W.; Tomlinson, K.W.; Shang-Wen, X.; Zeng, Q.Y.; Wang, X.R.; Chen, J. Combined genotype and phenotype analyses reveal patterns of genomic adaptation to local environments in the subtropical oak Quercus acutissima. J. Syst. Evol. 2020, 59, 541–556. [Google Scholar] [CrossRef]
- Cheng, X.R.; Yuan, H.J.; Xing, W.L.; Wang, Y.D.; Yu, M.K. Effects of provenance and initial planting density on growth and wood properties in young sawtooth oak (Quercus acutissima) plantations. Eur. J. For. Res. 2020, 139, 1067–1078. [Google Scholar] [CrossRef]
- Kong, Y.; Ma, N.L.; Yang, Y.; Lai, Y.; Feng, Z.; Shao, X.; Xu, X.; Zhang, D. Examining CO2 and N2O Pollution and Reduction from Forestry Application of Pure and Mixture Forest. Environ. Pollut. 2020, 265, 114951. [Google Scholar] [CrossRef] [PubMed]
- Nelson, D.W.; Sommers, L.E. Total carbon.; organic carbon and organic matter. In Methods of Soil Analysis; Sparks, D.L., Ed.; Madison Press: Madison, FL, USA, 1996; pp. 961–1010. [Google Scholar]
- Garten, C., Jr.; Post, W.M., III.; Hanson, P.J.; Cooper, L.W. Forest soil carbon inventories and dynamics along an elevation gradient in the Southern Appalachian Mountains. Biogeochemistry 1999, 45, 115–145. [Google Scholar] [CrossRef]
- Yang, C.M.; Ou, Y.Z.; Yang, L.Z.; Dong, Y.H. Organic carbon fractions and aggregate stability in an aquatic soil as influenced by agricultural land uses in the Northern China Plain. Acta Ecol. Sin. 2006, 26, 4148–4155. [Google Scholar]
- McLauchlan, K.K.; Hobbie, S.E. Comparison of labile soil organic matter fractionation techniques. Soil Sci. Soc. Am. J. 2004, 68, 1616–1625. [Google Scholar] [CrossRef]
- Li, W.; Zheng, Z.C.; Li, T.X.; Zhang, X.Z.; Wang, Y.D.; Yu, H.Y.; He, S.Q.; Liu, T. Effect of tea plantation age on the distribution of soil organic carbon fractions within water-stable aggregates in the hilly region of Western Sichuan, China. Catena 2015, 133, 198–205. [Google Scholar] [CrossRef]
- Plante, A.F.; Conant, R.T.; Carlson, J.; Greenwood, R.; Shulman, J.M.; Haddix, M.L.; Paul, E.A. Decomposition temperature sensitivity of isolated soil organic matter fractions. Soil Biol. Biochem. 2010, 42, 991–1996. [Google Scholar] [CrossRef]
- Christensen, B.T. Physical Fractionation of Soil and Organic Matter in Primary Particle Size and Density Separates; Advances in Soil Science: New York, NY, USA, 1992; pp. 1–90. [Google Scholar]
- Christensen, B.T. Physical fractionation of soil and structural and functional complexity in organic matter turnover. Eur. J. Soil Sci. 2001, 52, 345–353. [Google Scholar] [CrossRef]
- Zhu, Y.F.; Hu, H.B.; Xu, N.; Zhang, S.H. The distributing characteristics of aboveground biomass and carbon storage of Quercus acutissima plantation with different ages. China For. Sci. Technol. 2014, 28, 20–24. [Google Scholar]
- Li, J.W.; Sun, X.Q.; Li, M.; Zou, J.Y.; Bian, H.F. Effects of stand age and soil organic matter quality on soil bacterial and fungal community composition in Larix gmelinii plantations, Northeast China. Land. Degrad. Dev. 2022, 33, 1249–1259. [Google Scholar] [CrossRef]
- Muller, M.; Alewell, C.; Hagedorn, F. Effective retention of litter-derived dissolved organic carbon in organic layers. Soil Biol. Biochem. 2009, 41, 1066–1074. [Google Scholar] [CrossRef]
- Wickland, K.P.; Neff, J.C.; Aiken, G.R. Dissolved organic carbon in Alaskan Boreal Forest: Sources, chemical characteristics, and biodegradability. Ecosystems 2007, 10, 1323–1340. [Google Scholar] [CrossRef]
- Yang, B.; Xue, W.Y.; Yu, S.C.; Zhou, J.Y.; Zhang, W.H. Effects of stand age on biomass allocation and allometry of Quercus Acutissima in the Central Loess Plateau of China. Forests. 2019, 10, 41. [Google Scholar] [CrossRef]
- Bolan, N.S.; Baskaran, S.; Thiagarajan, S. An evaluation of the methods of measurement of dissolved organic carbon in soils, manures, sludges, and stream water. Commun. Soil Sci. Plant Anal. 2008, 27, 2723–2737. [Google Scholar] [CrossRef]
- Liu, T.R.; Peng, D.L.; Tan, Z.J.; Guo, J.P.; Zhang, Y.X. Effects of stand density on soil respiration and soil labile organic carbon and their influence mechanism in Larix Principis-Rupprechtii plantations. Ecol. Process. 2021, 10, 44. [Google Scholar] [CrossRef]
- Bastida, F.; Moreno, J.L.; Hernández, T.; García, C. The long-term effects of the management of a forest soil on its carbon content, microbial biomass and activity under a semi-arid climate. Appl. Soil. Ecol. 2007, 37, 53–62. [Google Scholar] [CrossRef]
- Mattsson, T.; Kortelainen, P.; Räike, A. Export of DOM from boreal catchments: Impacts of land use cover and climate. Biogeochemistry 2005, 76, 373–394. [Google Scholar] [CrossRef]
- Marschner, B.; Kalbitz, K. Controls of bioavailability and biodegradability of dissolved organic matter in soils. Geoderma 2003, 113, 211–235. [Google Scholar] [CrossRef]
- Xu, X.; Zhou, Y.; Ruan, H.H.; Wang, J.S. Temperature sensitivity increases with soil organic carbon recalcitrance along an elevational gradient in the Wuyi Mountains, China. Soil Biol. Biochem. 2010, 42, 1811–1815. [Google Scholar] [CrossRef]
- Lal, R. Soil carbon sequestration to mitigate climate change. Geoderma 2004, 123, 1–22. [Google Scholar] [CrossRef]
- Peichl, M.; Arain, M.A. Above-and belowground ecosystem biomass and carbon pools in an age-sequence of temperate pine plantation forest. Agric. For. Meteorol. 2006, 140, 51–63. [Google Scholar] [CrossRef]
- Justine, M.F.; Yang, W.; Wu, F.; Khan, M.N. Dynamics of biomass and carbon sequestration across a chronosequence of masson pine plantations. J. Geophys. Res. Biogeosci. 2017, 122, 578–591. [Google Scholar] [CrossRef]
- Yang, Y.H.; Luo, Y.Q.; Finzi, A.C. Carbon and nitrogen dynamics during forest stand development: A global synthesis. New Phytol. 2011, 190, 977–989. [Google Scholar] [CrossRef]
- Su, Y.Z.; Liu, W.J.; Yang, R.; Chang, X.X. Changes in soil aggregate, carbon, and nitrogen storages following the conversion of cropland to alfalfa forage land in the marginal oasis of northwest China. Environ. Manag. 2009, 43, 1061–1070. [Google Scholar] [CrossRef]
- Post, W.M.; Kwon, K.C. Soil carbon sequestration and land-use change: Processes and potential. Glob. Chang. Biol. 2000, 6, 317–327. [Google Scholar] [CrossRef]
- Bradshaw, A.D. The reconstruction of ecosystems: Presidential address to the British ecological society. J. Appl. Ecol. 1983, 20, 1–17. [Google Scholar] [CrossRef]
- Batterman, S.A.; Hedin, L.O.; van-Breugel, M.; Ransijn, J.; Craven, D.J.; Hall, J.S. Key role of symbiotic dinitrogen fixation in tropical forest secondary succession. Nature 2013, 502, 224–227. [Google Scholar] [CrossRef] [PubMed]
- Berenguer, E.; Ferreira, J.; Gardner, T.A.; Aragão, L.E.O.C.; De Camargo, P.B.; Cerri, C.E.; Durigan, M.; De-Oliveira, R.C.; Vieira, I.C.G.; Barlow, J. A large-scale field assessment of carbon stocks in human-modified tropical forests. Glob. Chang. Biol. 2014, 20, 3713–3726. [Google Scholar] [CrossRef]
- Ali, A.; Ahmad, A.; Akhta, R.K.; Teng, M.; Zeng, W.; Yan, Z.; Zhou, Z. Patterns of biomass, carbon, and soil properties in Masson pine (Pinus massoniana Lamb) plantations with different stand ages and management practices. Forests 2019, 10, 645. [Google Scholar] [CrossRef]






| Sample Plot Number | Stand Age/ (a) | Stand Density/ (tree·m−2) | Slope Gradient/ (°) | Slope Aspect | Diameter at Breast Height/ (cm) | Height/ (m) | Canopy Density/ (%) |
|---|---|---|---|---|---|---|---|
| 1 | 17 | 975 | 30 | Southeast | 10.2 | 8.60 | 48 |
| 2 | 17 | 700 | 34 | Southeast | 10.7 | 8.85 | 45 |
| 3 | 17 | 300 | 40 | Southeast | 14.2 | 10.31 | 35 |
| 4 | 26 | 775 | 8 | North | 13.4 | 9.94 | 80 |
| 5 | 26 | 825 | 8 | North | 15.2 | 10.63 | 80 |
| 6 | 26 | 600 | 8 | North | 14.2 | 10.31 | 75 |
| 7 | 65 | 225 | 28 | Southeast | 28.6 | 15.25 | 55 |
| 8 | 65 | 325 | 31 | Southeast | 26.9 | 14.73 | 45 |
| 9 | 65 | 350 | 28 | Southeast | 25.3 | 14.20 | 47 |
| Stand Age (a) | 17 | 26 | 65 | ||||||
|---|---|---|---|---|---|---|---|---|---|
| Soil depth (cm) | 0–10 | 10–20 | 20–40 | 0–10 | 10–20 | 20–40 | 0–10 | 10–20 | 20–40 |
| Sand (%) | 63.75 ± 16.35 Aa | 77.35 ± 8.15 Aa | 59.40 ± 18.65 Aa | 23.65 ± 19.78 Ba | 27.23 ± 14.59 Ba | 22.94 ± 7.18 Ba | 40.81 ± 4.60 Ca | 43.05 ± 2.87 Ca | 38.89 ± 6.72 Ca |
| Silt (%) | 34.15 ± 15.29 Aa | 21.02 ± 7.23 Aa | 36.72 ± 16.71 Aa | 67.13 ± 15.72 Ba | 64.52 ± 11.95 Ba | 69.26 ± 6.41 Ba | 50.31 ± 4.11 Ca | 45.45 ± 3.65 Ca | 52.91 ± 5.51 Ca |
| Clay (%) | 2.11 ± 2.13 Aa | 1.64 ± 0.92 Aa | 3.88 ± 2.32 Aa | 9.19 ± 4.16 Ba | 8.18 ± 3.38 Ba | 7.79 ± 1.36 Ba | 8.87 ± 2.79 Ba | 11.50 ± 3.46 Ba | 8.20 ± 4.65 Ba |
| BD (g·cm−3) | 1.35 ± 0.03 Aa | 1.44 ± 0.18 Aa | 1.38 ± 0.10 Aa | 1.47 ± 0.02 Ba | 1.70 ± 0.05 Ba | 1.71 ± 0.05 Ba | 1.32 ± 0.09 Aa | 1.20 ± 0.33 Aa | 1.28 ± 0.28 Aa |
| pH | 4.68 ± 0.48 Aa | 4.72 ± 0.16 Aa | 4.47 ± 0.12 Aa | 4.72 ± 0.05 Aa | 4.60 ± 0.29 Aa | 4.60 ± 0.03 Aa | 4.48 ± 0.12 Aa | 4.44 ± 0.10 Aa | 4.52 ± 0.13 Aa |
| AN (mg·kg−1) | 105.00 ± 32.08 Aa | 72.33 ± 10.69 Ab | 42.00 ± 7.00 Ac | 119.00 ± 14.00 Aa | 70.00 ± 7.00 Ab | 53.67 ± 8.08 Ac | 212.33 ± 32.33 Ba | 135.33 ± 21.39 Bb | 100.33 ± 10.69 Bc |
| AP (g·kg−1) | 6.86 ± 1.76 Aa | 8.48 ± 0.98 Ab | 6.43 ± 2.15 Ac | 10.27 ± 1.49 Aa | 4.72 ± 0.71 Ab | 2.71 ± 0.26 Ac | 15.76 ± 4.22 Ba | 7.82 ± 2.00 Bb | 4.68 ± 2.20 Bc |
| AK (mg·kg−1) | 155.42 ± 58.04 Aa | 168.17 ± 23.01 Aa | 133.56 ± 19.10 Aa | 218.4 ± 13.34 Bb | 193.75 ± 15.45 Bb | 185.42 ± 15.62 Bb | 226.73 ± 23.11 Bc | 189.35 ± 5.32 Bc | 201.74 ± 33.32 Bc |
| Index | Stand Age | Soil Depth | Stand Age × Soil Depth | |||
|---|---|---|---|---|---|---|
| F Value | p Value | F Value | p Value | F Value | p Value | |
| POC | 18.006 | <0.001 *** | 40.953 | <0.001 *** | 1.643 | 0.207 |
| WSOC | 0.349 | 0.710 | 12.739 | <0.001 *** | 1.291 | 0.311 |
| LFOC | 10.046 | 0.001 ** | 7.968 | 0.003 ** | 0.336 | 0.850 |
| SOC | 11.098 | 0.001 ** | 7.863 | 0.004 ** | 0.245 | 0.909 |
Publisher’s Note: MDPI stays neutral with regard to jurisdictional claims in published maps and institutional affiliations. |
© 2022 by the authors. Licensee MDPI, Basel, Switzerland. This article is an open access article distributed under the terms and conditions of the Creative Commons Attribution (CC BY) license (https://creativecommons.org/licenses/by/4.0/).
Share and Cite
Deng, W.; Wang, X.; Hu, H.; Zhu, M.; Chen, J.; Zhang, S.; Cheng, C.; Zhu, Z.; Wu, C.; Zhu, L. Variation Characteristics of Soil Organic Carbon Storage and Fractions with Stand Age in North Subtropical Quercus acutissima Carruth. Forest in China. Forests 2022, 13, 1649. https://doi.org/10.3390/f13101649
Deng W, Wang X, Hu H, Zhu M, Chen J, Zhang S, Cheng C, Zhu Z, Wu C, Zhu L. Variation Characteristics of Soil Organic Carbon Storage and Fractions with Stand Age in North Subtropical Quercus acutissima Carruth. Forest in China. Forests. 2022; 13(10):1649. https://doi.org/10.3390/f13101649
Chicago/Turabian StyleDeng, Wenbin, Xia Wang, Haibo Hu, Mengdie Zhu, Jianyu Chen, Shuai Zhang, Can Cheng, Ziyi Zhu, Chaoming Wu, and Li Zhu. 2022. "Variation Characteristics of Soil Organic Carbon Storage and Fractions with Stand Age in North Subtropical Quercus acutissima Carruth. Forest in China" Forests 13, no. 10: 1649. https://doi.org/10.3390/f13101649
APA StyleDeng, W., Wang, X., Hu, H., Zhu, M., Chen, J., Zhang, S., Cheng, C., Zhu, Z., Wu, C., & Zhu, L. (2022). Variation Characteristics of Soil Organic Carbon Storage and Fractions with Stand Age in North Subtropical Quercus acutissima Carruth. Forest in China. Forests, 13(10), 1649. https://doi.org/10.3390/f13101649

