Abstract
We have reviewed information on early-, late- and limit-value decomposition stages for litter of Norway spruce (Picea abies) and Scots pine (Pinus silvestris). This synthesis covers c 16 studies/papers made along a climatic gradient; range in mean annual temperature (MAT) from −1 to +7 °C and mean annual precipitation (MAP) from 425 to 1070 mm. Scots pine has an early stage dominated by carbohydrate decomposition and a late stage dominated by decomposition of lignin; Norway spruce has just one stage dominated by lignin decomposition. We used data for annual mass loss to identify rate-regulating factors in both stages; climate data, namely, MAT and MAP, as well as substrate properties, namely, nitrogen (N), acid unhydrolyzable residue (AUR), manganese (Mn). Early-stage decomposition for Scots pine litter was dominated positively by MAT; the late stage was dominated negatively by MAT, N, and AUR, changing with decomposition stage; there was no effect of Mn. Norway spruce litter had no early stage; decomposition in the lignin-dominated stage was mainly negative to MAP, a negative relationship to AUR and non-significant relationships to N and MAT. Mn had a positive relationship. Limit values for decomposition, namely, the accumulated mass loss at which decomposition is calculated to be zero, were related positively to Mn and AUR for Scots pine litter and negatively to AUR for Norway spruce litter. With different sets of rate-regulating factors as well as different compounds/elements related to the limit values, the decomposition patterns or pathways are different.
1. Introduction
Climate has a dominant effect on litter decomposition rates on a regional scale, whereas litter quality dominates on a local level [1]. Berg et al. [2], using newly shed Scots pine (Pinus silvestris) needle litter, confirmed that relationship for the first-year mass loss, which mainly corresponded to the early decomposition stage [3]. Still, this picture may not be entirely correct and not general. Using aScots pine needle litter, Johansson et al. [4] showed that the effect of climate on decomposition rates for Scots pine needle litter decreased as decomposition proceeded, and finally disappeared. In another study, Berg et al. [5], who used a climate gradient of the same extent as Johansson et al. [4], found no effect of climate on the decomposition rates for a Norway spruce (Picea abies) needle litter, not even for newly shed litter.
Whereas the decomposition of the Scots pine needle litter can be subdivided into an early and a late stage related to decomposition of nonlignified and lignified tissue, respectively [3], all litter tissue of Norway spruce appears to be lignified [6]. This lignin-dominated, late decomposition stage [6,7] of plant litter has been studied considerably less than the early stage, and clearly deserves further attention as it encompass the main part of the litter mass. In fact, with the early stage estimated to end at c. 30% accumulated mass loss for Scots pine litter, about 70% of the litter mass should be in a late stage and its decomposition pattern has been shown to depend on other limiting factors compared to those for the early stage [3,8]. This was in part illustrated by Berg et al. [9] using annual mass loss for pine species (Pinus) litter in the late stage and by Hobbie et al. [10], who demonstrated the effect of hydrolytic enzymes for the decomposition of nonlignified cellulose in the early stage and that of oxidative, lignin-degrading enzymes for the lignin-dominated (late) stage.
A few compounds and elements appear to have effects on decomposition rates in the lignin-dominated stage. Negative relationships have been reported between gravimetric lignin (Acid-Unhydrolyzable Residue, AUR) and litter mass-loss rate [11]. Such a relationship was confirmed by Meentemeyer [12]. Further, nitrogen (N) concentration has been related negatively to decomposition rates of pine litter in the late stage [8,10,13]. Theories and observations behind this effect include the reaction of N compounds with lignin residues, producing new compounds that are degraded more slowly [14,15,16] and the suppression of ligninase formation by raised concentrations of low-molecular N compounds [17,18]. A rate-stimulating effect on lignin degradation has been found for manganese (Mn) [19] through the enzyme manganese peroxidase (MnP) [20]. Mass-loss rates have been positively related to Mn concentrations for Norway spruce litter [5,21] and for that of common beech (Fagus sylvatica) [22]. Using a common oak (Quercus robur) leaf litter, Davey et al. [23] related mass loss of newly shed leaf litter to Mn concentrations. As element concentrations change with accumulated mass loss, we may expect that their influence should vary as decomposition proceeds. An overview to the decomposition stages for pine litter is given in Figure 1A.

Figure 1.
Model for some rate-regulating factors during decomposition of two different litter types in a boreal-to-temperate climate. (A) Model for pine species, based on that of Berg and Matzner [3], which subdivides the decomposition process into three stages. The decomposition of water-soluble substances and unshielded cellulose/hemicellulose is stimulated by high levels of a few major nutrients. So far, N, P, S and K concentrations have been found to increase the rate, as well as MAT and AET (early stage, lasting until c. 30% accumulated mass loss). When all unshielded holocellulose is decomposed, only lignin-encrusted holocellulose and lignin/AUR remain. In the late stage, the degradation of lignin rules the litter decomposition rate. Nitrogen hampers the degradation of lignin and higher N concentrations suppress the decomposition, whereas Mn appears to have a stimulating effect on the degradation of lignin and of the lignified tissue. There is no effect or just a small effect of MAT in this phase. Finally, in the humus-near stage, the lignin level is nearly constant, often at a level of 50–55%, the litter decomposition rate is close to zero and the accumulated mass loss also reaches its limit value (Equation (1)). (B) Model for Norway spruce litter, subdivided into two phases. For this species, the litter tissue is completely lignified and the decomposition of lignin dominates the decomposition of the cellulose and hemicellulose compounds. There is no effect of MAT on the decomposition rate. The decomposition of water-soluble substances and the lignified cellulose/hemicellulose is stimulated by high levels of Mn. Finally, in the humus-nearphase, the lignin level is nearly constant, often at a level of 50–55%, the litter decomposition rate is close to zero and the accumulated mass loss reaches its limit value.
To determine rate-regulating factors for decomposition, Berg et al. [24] used the annual litter mass loss of Scots pine and lodgepole pine (Pinus contorta) over a climate gradient of forests along Sweden. They used pine needle litter in the late stage and evaluated the effects of site MAT and MAP on litter mass-loss rate, as well as effects of concentrations of N, AUR, and Mn at the start of each one-year period. Their study showed a clear rate retardation related to increasing MAT and to increasing concentrations of AUR and N, but a rate-stimulating effect of Mn.
Decomposition of the lignified tissue of Norway spruce litter appears to follow a different pattern as compared to litter of pine species. So far, there appears not to be any observation of influences from MAT or AET. Of the substrate factors, AUR has a negative influence on rates and Mn a positive one [21].
Concentrations of Mn in the litter may decrease to a minimum over the progression of the decomposition process, followed by an increase, but patterns vary strongly with litter species [24]. AUR concentrations appear to increase until a highest value of c. 50% [25]. In the present study, we used data from the same climatic gradient, the same litter species and the same samples as Berg and McClaugherty [25] and Berg et al. [24], for the dynamics of AUR, Mn and N.
Investigating different functions for accumulated mass loss vs. time, Wieder and Lang [26] described decomposition rates that neared zero, an observation which was later confirmed and applied by Berg and Ekbohm [14] and Berg et al. [27]. In such cases, the accumulated mass loss approaches a limit value for decomposition, which can be described by an asymptotic function, giving the limit value as a percentage of accumulated mass loss. Using litters representing a wide range of chemical composition, Berg [28] found a highly significant negative relationship between 106 limit values and initial N concentrations in litter. Limit values have also been positively related to initial concentrations of other nutrients, such as Mn [24], and negatively related to AUR concentration [27,29]. The approach to use limit values makes it possible to quantify the remaining recalcitrant litter mass in the very late decomposition stages and allows a further evaluation for carbon sequestration [30]. Thus, as litter species with differing chemistry give different limit values, the recalcitrant fractions of the litter species also vary in size. The stable residue may in turn influence the storage rate of recalcitrant organic matter in, e.g., a humus layer [30].
The aim of this synthesis paper is to present the different decomposition patterns and rates for two types of coniferous litter, namely Scots pine and Norway spruce. For both litter types we start with the newly shed litter, but focus on the lignin-dominated tissue of the two species using annual mass loss and the effect of MAT and MAP as well as the progressively changing concentrations of AUR, N, phosphorus (P), potassium (K), calcium (Ca), magnesium (Mg), and Mn in the early stage for Scots pine and concentrations of MAT, MAP, AUR, N and Mn in the lignin-dominated tissue of both species. We have included the early stage (<30% accumulated mass loss) for Scots pine litter in the present synthesis as there appears not to be any investigation covering this stage using up-to-date statistics.
To this end, we have compiled data from several field incubations of needle litter from Norway spruce and Scots pine in a climatic gradient, including (i) calculated annual litter mass loss, (ii) concentrations of AUR and the above nutrients at the start of each one-year period, (iii) limit values for Scots pine and Norway spruce litter plus the initial concentrations of AUR, N and Mn.
We discuss the results for annual mass loss both in the early stage and in the lignin-dominated stage by comparing the general patterns of concentration changes for AUR and the elements and for the limit value by comparing to initial AUR, N and Mn concentrations.
2. Materials and Methods
The methods have been described in the papers we refer to and we present only a shortened version. There is a good set of background papers on the decomposition of Scots pine and Norway spruce litter, which we have used for the present synthesis, namely, Berg et al. [5,21,24,31,32,33,34,35,36,37,38,39,40,41,42,43] and Johansson et al. [4].
2.1. Experimental Sites and Design
Sites with decomposition studies were located in two climatic gradients (Supplement Table S1) of similar extension with monocultural stands of Scots pine (18 stands) and Norway spruce (13 stands). Vegetation, soils, geographic and climatic characteristics for all sites are summarized in reports by Berg et al. [40,41]. The a priori restriction applied to the site characteristics was that each site used for decomposition studies measured at least 30 × 30 m [2]. Eight stands were paired (cf Supplement Table S1), viz. they were located close, on the same type of soil and subject to the same weather. The sites were located throughout Sweden with locations ranging from c. 56° N to c. 66° N, within a region with MAP ranging from 425 to 1070mm and MAT from −0.7 to 6.8 °C (Scots pine) and −1.7 to 7.2 °C (Norway spruce) (Supplement Table S1). The experimental design was close to identical at all sites [2,4,5].
2.2. Needle Litter Collection, Storage, Sample Preparation, and Mass-Loss Determination
Local needle litter was collected from all stands in both gradients (Supplement Table S1). Litter was collected in the autumn by gently shaking the limbs of the trees and collecting the needles on spread-out tarpaulins. Green needles were removed by hand [4,14,39]. Litter was air dried and stored dry at room temperature. Before weighing, the needles were equilibrated to a constant moisture level (5–8% ± 0.5%) by drying them at room temperature for c. one month. Exact dry mass was determined by drying samples to a constant mass at 85 °C (n = 25).
Litterbags, measuring 8 × 8 cm, excluding a 1cm-wide edge, were made of polyester net with a mesh size of about 1.0 × 1.0 mm for pine needles and about 1.0 × 0.5 mm for spruce needles. We placed 0.6–1.0 g (3 decimals) of needles in each litterbag. The bags were deployed on the top of the litter (L) layer in 20 or 25 randomly located 1 × 1 m spots within each plot. In each such spot, 10–14 bags were attached to the ground by 10–15 cm-long metal pegs of stainless steel through the edge of the bags. Preparation and handling of litter bags and litter samples followed standard procedures, as did all subsequent analyses.
In each single experiment, between 200 and 400 litterbags were incubated at each site/stand. Retrieval of the litterbags took place 1 to 6 times annually for up to 5 years, normally at intervals of 1 year. On each occasion, one litterbag was collected from each of the 20 or 25 spots.
After collection and drying, the litterbag samples were cleaned by removing plant residues, such as mosses, grass, shrub materials, and roots. Dry mass loss was determined by drying the samples to a constant mass at 85 °C.
2.3. Analysis for Acid Unhydrolyzable Residue (AUR) and Nutrients
The milled samples were analyzed for total contents of AUR and elements as well as total ash. All litter in the gradients except for site Jädraås (Supplement Table S1) was analyzed as follows: After a wet oxidation in H2SO4, total N was analyzed using a semi-micro Kjeldahl procedure [44]. Phosphorus, K, Ca, Mg and Mn were determined by atomic absorption spectrometry (Perkin-Elmer 603) against acid standard [45]. Litter incubated at site Jädraås was analyzed as follows: Nitrogen was determined by combustion (Elemental Analyzer NA 1500; Carlo Erba, Strumentazione, I-20090 Rodano, Milan, Italy). For the analysis of P, K, Ca, Mg, and Mn, samples were digested for 2 days in a 2.5:1 (v/v) mixture of nitric and perchloric acid and analyzed using plasma atomic emission spectrometry ICP-AES (Jobin YVON JY-70 Plus 16–18, rue du Canal, F-91163, Longjumean, France).
In all litter samples, the analysis for sulfuric-acid (Klason) lignin (AUR) and soluble substances were carried out on composite samples according to [46], see also [42]. Ash concentration was determined by combustion at 550 °C for 2 h, for samples from all sites.
2.4. Climatic Data
We used the long-term average climate data (MAT and MAP) published by Johansson et al. [4] and Berg et al. [2,5] and calculated according to Meentemeyer [12]. The climate data used covered the period when the litter was incubated.
2.5. Origin and Use of Annual Mass Loss, Limit Values, as Well as Restrictions Placed on the Data
Litterbag data (accumulated mass loss) were used for two purposes: (i) calculation of annual mass loss and (ii) calculation of limit values.
Data on accumulated mass loss and remaining mass were taken from [4,5,14,47,48,49]. Mass loss on each sampling occasion was averaged for each set of sampled bags (20 or 25 replicate samples). We used decomposition studies in which litter mass loss had been followed until a maximum of c. 80% accumulated mass loss and in which AUR, N, P, K, Ca, Mg and Mn had been analyzed at each sampling occasion.
2.5.1. Annual Mass Loss
Each individual decomposition study included samplings at regular intervals, allowing annual mass loss to be calculated. We set a restriction on sampling time and allowed only data from litter sampled at intervals of 365 ± 14 days to be used. For annual mass loss, we used the average remaining amount after the preceding year as a basis for the calculation. The annual mass loss, meaning the mass loss over a one-year period, was calculated by subtracting the remaining litter mass at the end of the year from the litter mass at the start of the year and dividing by the remaining mass at the start of the year (see, e.g., Berg and McClaugherty [6]).
The accumulated mass loss was used to subdivide the values for annual mass loss into different categories related to degree of decomposition, i.e., depending on how far the accumulated mass loss (acc. m.l.) had reached. Litter that had reached an accumulated mass loss between 0 and 20% made up a first category, or category A; accumulated mass loss between 20 and 30% made up category B; the litter with accumulated mass loss between 30 and 40% made up category C; those starting between 40 and 50% accumulated mass loss made up category D; those starting between 50 and 60% accumulated mass loss made up category E; those starting between 60 and 70% made up category F; and those starting above 70% made up category G. We obtained a total of 227 values for annual mass loss, of which 104 covered Norway spruce and 123 Scots pine (Table 1).
Table 1.
Average concentrations of nutrients and AUR in local needle litter of Scots pine, and Norway spruce. There was a total of 14 stands of Norway spruce and 17 of Scots pine. Standard deviation in parenthesis. Significant differences are given. Data from [4,5,46].
2.5.2. Data Analysis
We analyzed data for annual mass loss using two main approaches. In a first step, we investigated all early-stage data for Scots pine litter. In the next step, we analyzed late-stage data for Scots pine and all late-stage data for Norway spruce separately, viz. categories C through G, and in a later step, all data for Norway spruce from categories A and B in order to confirm a lignin-dominated stage. We related annual mass loss to initial litter properties for each stage, viz. for Scots pine categories A and B to concentrations of AUR, N, P, K, Ca, Mg and Mn. For all Norway spruce data and for Scots pine of categories C to G, we related annual mass loss to concentrations of AUR, N and Mn. All categories were related to MAT and MAP.
2.5.3. Limit Values
Limit values were calculated according to Berg and Ekbohm [14];
where Lt is the accumulated mass loss (in percent), t is time in days, kA is the decomposition rate at the beginning of the decay, and m represents the asymptotic level that the accumulated mass loss will ultimately reach, normally not 100% and often considerably less.
Lt = m(1 − e−kAt/m)
We regressed limit values vs. initial concentrations of N, Mn and AUR, with separate analyses for species.
The limit-value stage was investigated using limit values for Scots pine and Norway spruce from the DELILA II data base (Litter Decomposition website http://149.156.165.8/deco/) accessed on 15 July 2021 relating them both to three identified influencing factors namely N, Mn [9,27], and AUR [29]. This data set with a total of 27 limit values for Scots pine and 15 for Norway spruce originated from natural stands with local litter.
2.6. Statistical Analysis
We used linear models to determine the influence of N, P, K, Ca, Mg, Mn and AUR concentrations as well as MAT and MAP on annual mass loss (ann. m.l.) and limit values. Significance of the terms was evaluated using ANOVA type 2 and interactions with species identity and litter type were evaluated using packages phia [50] and effects in R 3.6.1 [51,52,53].
We made three separate models to compare the effects of N, P and AUR concentrations on annual mass loss for categories C, D, E, F and G for Scots pine and Norway spruce as well as categories A and B for Norway spruce (ANOVA test). The models were tested using ANOVA type 2 which means that significant effects from N, P or AUR were not caused by correlation to the other variables.
3. Results and Discussion
3.1. Initial Litter Chemistry
The initial concentration ranges for elements and AUR in the data set were rather similar for Scots pine and Norway spruce litter (Table 1). Berg and McClaugherty [54] showed that there were few significant differences in chemistry between Scots pine and Norway spruce litter in these gradients, and that such differences appear first when comparing litter from paired stands. Thus, we may see that concentrations of N and Mn were not different whereas Norway spruce had significantly higher concentrations of P, K, Ca Mg and AUR (Table 1).
3.2. Scots Pine—Two Stages
3.2.1. The Early, Carbohydrate-Dominated Stage
Using categories A and B, we found clear and highly significant (p < 0.0001) positive relationships for MAT and AET vs. annual mass loss over the gradient. We may note that the early stage (Figure 1A) was suggested by Berg and Matzner [3] to be limited to less than 30% accumulated mass loss. With the decomposition taking place in categories A and B, this borderline is passed. The lack of relationship for MAP may be due to the fact that the decomposition process in this region is temperature-limited (V. Meentemeyer, pers. comm.). There was a negative relationship for AUR (at p = 0.025) and a positive for K concentration at p = 0.058, but no relationship for N, P, Mg, Ca and Mn. Using only category A litter produced significant relationships to AET and MAT.
In their study, Johansson et al. [4], using the same gradient and first-year mass loss, found highly significant (p < 0.001) relationships for AET and MAT but none for any substrate component, although some first-year mass losses went as high as 42–44%. We may compare the decomposition rates just at one Scots pine site, which means that MAT and MAP were constant. At that site, we made 15 incubations of local Scots pine needle litter and found that first-year mass loss produced a significant positive relationship to the initial concentration of K, whereas N was not quite significant (B. Berg, unpubl.). There was no significant relationship to anyone of the elements N, P, Ca, Mg or Mn and not to AUR. However, Jansson and Berg [55], who investigated the effects of local weather (soil temperature and moisture), found that at this site, which was well drained, water was limiting for decomposition rate and not temperature.
3.2.2. The Late Stage in Scots Pine, Dominated by Lignin Decomposition
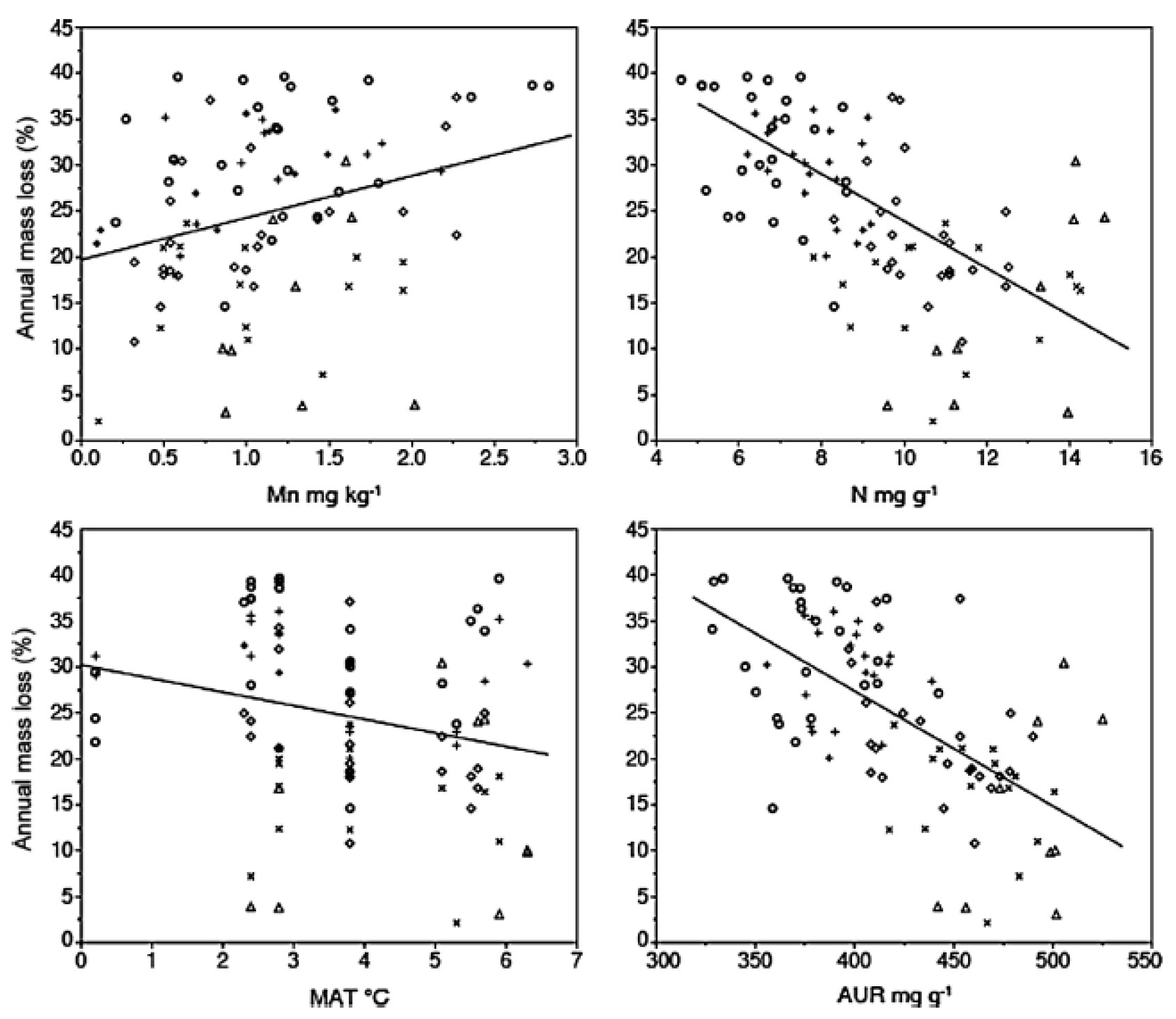
The late stage, defined as a stage dominated by the degradation of lignin was considered to start around 30% accumulated mass loss [8,56] (cf Figure 1A). Investigating annual mass loss for categories C up to E (n = 74) in our gradient, just for Scots pine, did not give any relationship with MAT and none to MAP (Figure 2A,B), but negative relationships to AUR and N (p < 0.001) (Figure 2C,D. There was no significant relationship with Mn concentration (Figure 2E).




Figure 2.
Annual mass-loss for Scots pine (categories C thru G; n = 74), and Norway spruce (categories C thru G; n = 52) as well as Norway spruce litter (categories A and B; n = 36) related to (A) mean annual temperature (MAT), (B) mean annual precipitation (MAP), (C) concentration of AUR, (D) concentration of N, (E) concentration of Mn. The significance for single regression lines is given in each subfigure. Different upper-case letters indicate significant differences among the regressions. Figure is modified from [31].
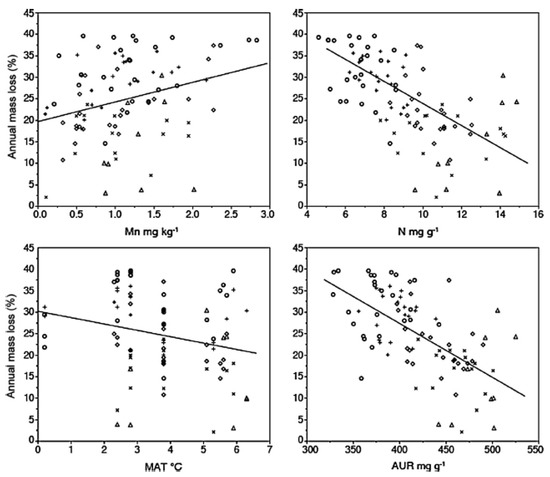
Whereas we present data for Scots pine as a species, we may comment on an investigation that combined two pine species and illustrate similarities and differences. In an earlier investigation [9] encompassing litter of both Scots pine and lodgepole pine, annual mass loss was related negatively to MAT and that effect was increasing with accumulated mass loss. There was no relationship to MAP. Of the substrate properties, AUR and N produced highly significant negative relationships (p < 0.001) whereas Mn produced a positive relationship at p = 0.0046 (Figure 3). We may compare to the study of just Scots pine in which there was no relationship to Mn concentration, possibly due to a more narrow range in Mn concentrations. In a study on Mn dynamics using the same data and samples, we may note that the amount of Mn in Scots pine needle litter showed a net release from the litter [24,32]. During the decomposition process, the Mn concentration changed and reached a minimum, after which it increased. Using the present data sets, we calculated the Mn minimum for Scots pine, which was 0.94 mg/g (B. Berg, unpubl.). Still, the Mn concentration did not increase much after the minimum. We may thus compare the average Mn concentration in the newly shed litter (1.41 mg g−1) to that estimated at 80% accumulated mass loss, which was 1.7 mg g−1, giving an increase in concentration of 21% (or a factor of 1.2). In the same study [24,32], Norway spruce litter showed an average initial Mn concentration of 1.78 (mg/g), whereas the concentration increased sharply and was estimated to be 5.7 mg g−1 at 80% accumulated mass loss, which means an increase by 320% (a factor of 3.2) [24,32].
Figure 3.
Linear regressions between annual mass loss (%) and concentrations of Mn (upper left. R2 = 0.08, p = 0.0046), N (upper right. R2 = 0.39, p < 0.0001), AUR (lower right. R2 = 0.39, p < 0.0001) and MAT (lower left, with R2 = 0.06, p = 0.017). Annual litter mass loss has been determined from 5 stages of accumulated mass loss and marked accordingly: annual mass loss starting at an accumulated mass loss of 30–40% (O), starting at 40–50% accumulated mass loss (+), starting at 50–60% accumulated mass loss (◊), starting at 60–70% accumulated mass loss (×), starting at 70–80% accumulated mass loss (Δ). Figure from [9].
3.3. Norway Spruce and Comments on Possible Further One-Stage Species
One Stage, Dominated by Lignin Decomposition
In a study of a climate gradient of Norway spruce stands with an MAT range from −1.7 to 7.4 °C, Berg et al. [5] reported no effect of MAT, AET and no effect of MAP on first-year mass loss, which ranged from c 18.8 to 32.2%. There was no relationship to any of the main nutrients (N, P, K, Ca and Mg) and not to AUR. However, there was a significant and positive relationship to litter Mn concentration at p < 0.05 (Figure 4). The authors interpreted this so that all the litter tissue was lignified and that the decomposition process was dominated by the decomposition of lignin/AUR.
Figure 4.
Bivariate plot of first-year mass loss vs. initial litter concentration of Mn. The study was made in a climatic gradient of 14 Norway spruce stands in Sweden, using local needle litter. The mean annual temperature in the gradient ranged from −1.7 to 7.4oC. From [5].
The causal relationship behind this effect of Mn is the enzyme Mn peroxidase (MnP [20], which is produced by the majority of all wood-degrading basidiomycetes, a group of fungi that causes white-rot. MnP has also been found in various litter- colonizing saprotrophic fungi. Among the ligninolytic enzymes MnP is probably the most widely spread peroxidase produced by these fungi [57]. Manganese peroxidase oxidizes Mn2+ ions, which are found in plant residues, wood and soil, to highly reactive Mn3+ ions, which in turn are stabilized by organic acids, such as oxalate and malate, which also are produced by these fungi. These organic acids are chelating Mn3+ ions and prolonging their life time until they attack the phenolic structure of lignin or humic acids [58,59].
In further investigations, annual mass loss was followed for more far-decomposed Norway spruce litter, viz. decomposed for more than one year. Thus was the effect of Mn on decomposition of Norway spruce litter documented for litter at increasing accumulated mass loss [21]. In a recent study using an up-to-date statistical approach, Berg et al. [31] investigated the effects of AET, MAT, MAP, AUR, N and Mn using the subdivision into categories, viz. A up to G as defined by accumulated mass loss. They investigated categories A and B and C through G separately (Figure 2). Although there were some differences among the two groups, a main pattern became clear.
Thus, there was no relationship with MAT for either group, and no relationship with N concentration, but highly significant relationships with Mn concentration for both groups (Figure 3). There was a significant (p = 0.010) negative relationship with MAP for the C up to G litter but not with the less decomposed categories A and B. A possible explanation may be that Norway spruce grows and is planted preferably on wet soil. Thus, rainfall may create an anaerobic environment for litter that has been transported to a lower position in the humus layer or moss profile. The litter of these categories (C to G) had been incubated for at least one year and, on average, c. three years.
There was also a highly significant and negative relationship to AUR concentration for the more newly shed litter (categories A and B) whereas there was none for the categories C thru G. This may be connected to the effect of Mn and possibly to the establishment of an Mn-dependent fungal population. AUR may have been important in the earlier stages but not in the latter stages when the Mn-dependent fungal population was more efficient in degrading the AUR.
3.4. Comments to the Use of MAT and MAP
The long-term climatic factors MAT and MAP, based on 30-year average values, are valid for the climate just above the forest’s canopies (V. Meentemeyer, pers. comm.). These long-term indices were introduced on a regional scale by Meentemeyer [1] and have supported the evaluation of climate effects in further climate gradients such as those of Berg et al. [2,5], Bradford et al. [60], Currie et al. [61] and Johansson et al. [4]. In their critical re-evaluation of the work in a pan-European climate gradient [2], Bradford et al. [60] suggested direct measurements of actual soil temperature and moisture in the field, which also would mean an evaluation of the calculated MAT and MAP.
Tree species and stand properties may have a strong influence on the actual temperature and moisture on the ground/forest floor. Tree density, canopy cover, understory and ground vegetation will also have an influence, as well as snow cover and its duration. In the present gradients, the stands were located on flat ground, had no understory and a sparse ground vegetation. Still, Scots pine and Norway spruce have different types of canopy as well as different canopy covers. This suggests that the indices MAT and MAP may differ between the species. We may thus see MAT and MAP as indices for, on one hand, the Scots pine gradient and, on the other, that of Norway spruce.
3.5. The Limit-Value Stage—Comparison of the Two Species
3.5.1. Limit Values Related to Initial Concentrations of AUR, N and Mn
In earlier work, it was found that there were differences between litter types as regards limit values, namely the accumulated mass loss at which the decomposition rate is calculated to be zero (Equation (1)). Thus, Berg [5] reported an average limit value for Norway spruce litter of mean value 74.1% accumulated mass loss (n = 15) whereas natural litter of Scots pine (n = 27) had the average limit value 81.1%. They noted some differences between the groups, namely, that the limit value for pine species litter was related to N and Mn, whereas that of Norway spruce showed relationships with concentrations of AUR and Ca. In a later study, Berg et al. [31] related all limit values for local Scots pine and for Norway spruce to the initial concentrations of AUR, N and Mn. The limit values were not significantly different (p = 0.359) (Table 2).
Table 2.
Regressions between limit values and initial concentrations in litter of Mn, N, and AUR. All available data from the DELILA II data base (http://149.156.165.8/deco/) accessed on 15 July 2021 were used and subdivided into the main groups of natural Scots pine and Norway spruce litter. Best fit of linear, exponential and power functions are given. Bold text indicates a significant relationship. Modified from [31].
We have focused on three main recognized factors influencing limit values, viz. initial concentrations of AUR, N and Mn as these may represent causal relationships.
Scots pine litter. Natural Scots pine litter was decomposed until an average limit value of 81.1% accumulated mass loss. Average initial N concentration was 3.96 mg g−1 and average Mn concentration was on average 1.29 mg g−1 (Table 1). There was a relationship with initial Mn concentration at p < 0.01 and one with AUR concentration (p < 0.05) (Table 2) but no significant relationship to N. In an earlier work [33] using backward elimination and 56 litter decomposition studies (five pine species), the factors MAT, MAP, and concentrations of AUR, N, P, K, Ca, and Mg were eliminated and Mn was selected as the single element that determined the limit value.
Norway spruce litter. Natural Norway spruce litter was decomposed until an average limit value of 74.1% accumulated mass loss (Table 2). There was a significant relationship with AUR (p < 0.05) but none with Mn and none with N.
3.5.2. What May Decide the Level of the Limit Value?
The initial concentrations of Mn, N and AUR in newly shed litter have been used when we analyzed the possible relationship for limit values.
Nitrogen and AUR. Concentrations of N and AUR increase approximately linearly with accumulated mass loss [54]. The initial concentrations of N and AUR may thus be indices for their concentrations at higher accumulated mass loss. The different suggested mechanisms for a retardation are related to N concentration; one being a set of new compounds created by reactive N and, e.g., lignin residues as suggested by Nömmik and Vahtras [62] and demonstrated by Knicker [63] creating a chemical barrier against microbial and enzymatic attack. An alternative mechanism could be that N compounds act as suppressing agents in lignin-degrading fungi, e.g., [20]. In decomposing litter, N and AUR are not independent as reactive N compounds progressively become incorporated in AUR. In fact, Berg and Theander [64] found that a third of the litter’s N was bound to the AUR fraction.
Manganese concentrations. In contrast to those of N and AUR, Mn concentrations in decomposing litter are highly variable [24,32] and we may speculate that the initial Mn level may be determining for the ingrowth of lignin-degrading fungi. The fact that the limit value is based on an extrapolation of the accumulated mass loss vs. time and results in an asymptote when the mass-loss rate becomes zero may mean that a level of available Mn has been reached which is low enough not to support further decomposition. Such a conclusion may be valid within the species. Berg and Ekbohm [14] found that the Mn-richer litter of lodgepole pine decomposed further than that of Scots pine with average limit values of 94.1 and 82.7%, respectively, and average initial Mn concentrations of 2.4 and 1.6 mg/g, respectively. This appears to fit the mechanism suggested by Keiluweit et al. [59], namely, that the Mn2+ is oxidized to the reactive Mn3+, which is chelated by, e.g., oxalate. Part of this reactive Mn returns to Mn2+ and part is further oxidized to Mn4+ and becomes insoluble and inactive. The available Mn2+ is thus consumed.
We may conclude that there was a clear distinction between the species as regards the influence on the limit values of N, Mn and AUR. The relationship to Mn for Scots pine litter was in contrast to the lack of such a relationship for Norway spruce. There was a significant relationship with AUR (p < 0.05) for natural Norway spruce needle litter but none with Mn and none with N.
4. Concluding Remarks
We may conclude that there appear to be two different decomposition pathways for Scots pine and Norway spruce needle litter. The annual mass losses were regulated by (i) differing levels of lignification creating a three-phase (early, lignin-dominated and limit value stage) and a two-phase process (lignin-dominated and limit value stage), (ii) decomposition in the lignified phases was in part influenced by different factors such as a strong negative influence by N for Scots pine but not for Norway spruce. As regards Mn concentration, there was no influence on decomposition for Scots pine litter but a significant influence for Norway spruce litter, (iii) the level of the limit value is determined by Mn for Scots pine and by AUR for Norway spruce. The suggestion of two different decomposition pathways is thus a reasonable conclusion.
A further conclusion is that the decomposition process of the main part of the litter is not influenced by mean annual temperature over the interval studied, namely, from c −1 up to 7 °C, and we conclude that an expected increase in temperature of 2 degrees as a consequence of climate change is not important for decomposition rates of these litter types. A possible consequence could be that an increased precipitation retards mass-loss rate for spruce litter.
Supplementary Materials
The following supporting information can be downloaded at: https://www.mdpi.com/article/10.3390/f13010125/s1, Supplement Table S1. List of sites with litter decomposition studies, their geographic location, altitude, mean annual precipitation (MAP), and mean annual temperature (MAT). The tree species are Scots pine and Norway spruce in monocultures. Paired stands are indicated. The site numbers are those used in previous publications.
Author Contributions
Conceptualization; Software, M.L.; writing—review and editing, B.B. All authors have read and agreed to the published version of the manuscript.
Funding
This research received no external funding.
Data Availability Statement
Not applicable.
Conflicts of Interest
The authors declare no conflict of interest.
References
- Meentemeyer, V. The Geography of Organic Decomposition Rates. Ann. Assoc. Am. Geogr. 1984, 74, 551–560. [Google Scholar] [CrossRef]
- Berg, B.; Berg, M.; Bottner, P.; Box, E.; Breymeyer, A.; de Anta, R.C.; Couteaux, M.; Gallardo, A.; Escudero, A.; Kratz, W.; et al. Litter mass loss in pine forests of Europe and Eastern United States as compared to actual evapotranspiration on a European scale. Biogeochemistry 1993, 20, 127–153. [Google Scholar] [CrossRef]
- Berg, B.; Matzner, E. Effect of N deposition on decomposition of plant litter and soil organic matter in forest systems. Environm. Rev. 1997, 5, 1–25. [Google Scholar] [CrossRef]
- Johansson, M.-B.; Berg, B.; Meentemeyer, V. Litter mass-loss rates in late stages of decomposition in a climatic transect of pine forests. Long-term decomposition in a Scots pine forest. IX. Can. J. Bot. 1995, 73, 1509–1521. [Google Scholar] [CrossRef]
- Berg, B.; Johansson, M.-B.; Meentemeyer, V. Litter decomposition in a transect of Norway spruce forests: Substrate quality and climate control. Can. J. For. Res. 2000, 30, 1136–1147. [Google Scholar] [CrossRef]
- Berg, B.; McClaugherty, C. Plant Litter. Decomposition. Humus Formation. Carbon Sequestration, 3rd ed.; Springer: Heidelberg/Berlin, Germany, 2014; p. 317. [Google Scholar]
- Berg, B.; McClaugherty, C. Plant Litter. Decomposition. Humus Formation. Carbon Sequestration, 4th ed.; Springer Nature: Cham, Switzerland, 2020; p. 332. [Google Scholar]
- Berg, B.; Staaf, H. Decomposition rate and chemical changes of Scots pine needle litter. II. Influence of chemical composition. Ecol. Bull. 1980, 32, 373–390. [Google Scholar]
- Berg, B.; Kjønaas, J.; Johansson, M.-B.; Erhagen, B.; Åkerblom, S. Late stage pine litter decomposition: Relationships to litter N, Mn and acid unhydrolyzable residue (AUR) concentrations and climatic factors. For. Ecol. Manag. 2015, 358, 41–47. [Google Scholar] [CrossRef]
- Hobbie, S.E.; Eddy, W.C.; Buyarski, C.R.; Adair, E.C.; Ogdahl, M.L.; Weisenhorn, P. Response of decomposing litter and its microbial community to multiple forms of nitrogen enrichment. Ecol. Monogr. 2012, 82, 389–405. [Google Scholar] [CrossRef]
- Fogel, R.; Cromack, K. Effect of habitat and substrate quality on Douglas fir litter decomposition in western Oregon. Can. J. Bot. 1977, 55, 1632–1640. [Google Scholar] [CrossRef]
- Meentemeyer, V. Macroclimate and lignin control of litter decomposition rates. Ecology 1978, 59, 465–472. [Google Scholar] [CrossRef] [Green Version]
- Berg, B.; Wessen, B. Changes in organic-chemical components and ingrowth of fungal mycelium in decomposing birch leaf litter as compared to pine needles. Pedobiologia 1984, 26, 285–298. [Google Scholar]
- Berg, B.; Ekbohm, G. Decomposing needle litter in Lodgepole pine (Pinus contorta) and Scots pine (Pinus sylvestris) monocultural systems. Is there a maximum mass loss? Scand. J. For. Res. 1993, 8, 457–465. [Google Scholar] [CrossRef]
- Preston, C.; Nault, J.R.; Trofymow, J.A.; Smyth, C.; CIDET Working Group. Chemical changes during 6 years of decomposition of 11 litters in some Canadian forest sites. Part 1. Elemental composition, tannins, phenolics, and proximate fractions. Ecosystems 2009, 12, 1053–1077. [Google Scholar] [CrossRef]
- Preston, C.; Nault, J.R.; Trofymow, J.A. Chemical changes during 6 years of decomposition of 11 litters in some Canadian forest sites. Part 2. 13C abundance, solid-state 13C NMR spectroscopy and the meaning of ‘lignin’. Ecosystems 2009, 12, 1078–1102. [Google Scholar] [CrossRef]
- Keyser, P.; Kirk, T.K.; Zeikus, I.G. Ligninolytic enzyme of Phanerochaete chrysosporium: Synthesized in the absence of lignin in response to nitrogen starvation. J. Bacteriol. 1978, 15, 790–797. [Google Scholar] [CrossRef] [PubMed] [Green Version]
- Kirk, K.; Chang, H.; Lorenz, L.F. Topochemistry of the fungal degradation of lignin in birch wood as related to the distribution of guaiacyl and syringyl lignins. Wood Sci. Technol. 1975, 9, 81–86. [Google Scholar] [CrossRef]
- Perez, J.; Jeffries, T.W. Roles of manganese and organic acid chelators in regulating lignin degradation and biosynthesis of peroxidases by Phanerochaete chrysosporium. Appl. Environm. Microbiol. 1992, 58, 2402–2409. [Google Scholar] [CrossRef] [PubMed] [Green Version]
- Hatakka, A. Biodegradation of lignin. In Lignin, Humic Substances and Coal; Hofrichter, M., Steinbüchel, A., Eds.; Wiley-VCH: Weinheim, Germany, 2001; Volume 1, pp. 129–180. [Google Scholar]
- Berg, B.; Steffen, K.; McClaugherty, C. Litter decomposition rates as dependent on litter Mn concentration. Biogeochemistry 2007, 85, 29–39. [Google Scholar] [CrossRef]
- Trum, F.; Titeux, H.; Ponette, Q.; Berg, B. Influence of manganese on decomposition of common beech (Fagus sylvatica L.) leaf litter during field incubation. Biogeochemistry 2015, 126, 349–358. [Google Scholar] [CrossRef]
- Davey, M.; Berg, B.; Emmett, B.; Rowland, P. Controls of foliar litter decomposition and implications for C sequestration in oak woodlands. Can. J. Bot. 2007, 85, 16–24. [Google Scholar] [CrossRef]
- Berg, B.; Erhagen, B.; Johansson, M.-B.; Vesterdal, L.; Faituri, M.; Sanborn, P.; Nilsson, M. Manganese dynamics in decomposing foliar litter–a synthesis. Can. J. For. Res. 2013, 43, 1127–1136. [Google Scholar] [CrossRef]
- Berg, B.; McClaugherty, C. Plant Litter. Decomposition. Humus Formation. Carbon Sequestration, 2nd ed.; Springer: Heidelberg/Berlin, Germany, 2009; p. 338. [Google Scholar]
- Wieder, R.K.; Lang, G.E. A critique of the analytical methods used in examining decomposition data obtained from litter bags. Ecology 1982, 63, 1636–1642. [Google Scholar] [CrossRef] [Green Version]
- Berg, B.; Ekbohm, G.; Johansson, M.-B.; McClaugherty, C.; Rutigliano, F.; De Santo, A.V. Maximum decomposition limits of forest litter types; a synthesis. Can. J. Bot. 1996, 74, 659–672. [Google Scholar] [CrossRef]
- Berg, B. Litter decomposition and organic matter turnover in northern forest soils. For. Ecol. Manag. 2000, 133, 13–22. [Google Scholar] [CrossRef]
- Osono, T.; Takeda, H. Limit values for decomposition and convergence process of lignocellulose fraction in decomposing leaf litter of 14 tree species in a cool temperate forest. Ecol. Res. 2005, 20, 51–58. [Google Scholar] [CrossRef]
- Akselsson, C.; Berg, B.; Meentemeyer, V.; Westling, O. Carbon sequestration rates in organic layers of boreal and temperate forest soils-Sweden as a case study. Glob. Ecol. Biogeogr. 2005, 14, 77–84. [Google Scholar] [CrossRef]
- Berg, B.; Lönn, M.; Ni, X.; Sun, T.; Dong, L.; Gaitnieks, T.; De Santo, A.V.; Johansson, M.-B. Pine and spruce needle litter decomposition rates in early and late stages. Influence of nutrients and climate over a climate gradient. Appl. Soil Ecol. 2021. submitted. [Google Scholar]
- Berg, B.; Erhagen, B.; Nilsson, M.; Stendahl, J.; Trum, F.; Vesterdal, L.; Johansson, M.-B. Manganese in the litter fall-forest floor continuum of boreal and temperate pine and spruce forest ecosystems-A review. For. Ecol. Manag. 2015, 358, 248–260. [Google Scholar] [CrossRef]
- Berg, B. Decomposition patterns for foliar litter–a theory for influencing factors. Soil Biol. Biochem. 2014, 78, 222–232. [Google Scholar] [CrossRef]
- Berg, B.; De Marco, A.; Davey, M.; Emmett, B.; Hobbie, S.; Liu, C.; McClaugherty, C.; Norell, L.; Johansson, M.-B.; Rutigliano, F.; et al. Limit values for foliar litter decomposition–pine forests. Biogeochemistry 2010, 100, 57–73. [Google Scholar] [CrossRef]
- Berg, B. Initial rates and limit values for decomposition of Scots pine and Norway spruce needle litter-a synthesis for N-fertilized forest stands. Can. J. For. Res. 2000, 30, 122–135. [Google Scholar] [CrossRef]
- Laskowski, R.; Berg, B.; Johansson, M.; McClaugherty, C. Release pattern for potassium from decomposing forest leaf litter. Long-term decomposition in a Scots pine forest XI. Can. J. Bot. 1995, 73, 2019–2027. [Google Scholar] [CrossRef]
- Berg, B.; Tamm, C.O. Decomposition and nutrient dynamics of litter in long-term optimum nutrition experiments. II. Nutrient concentration changes in decomposing Norway spruce (Picea abies) needle litter. Scand. J. For. Res. 1994, 9, 99–105. [Google Scholar] [CrossRef]
- Berg, B.; McClaugherty, C.; Johansson, M. Litter mass-loss rates in late stages of decomposition at some climatically and nutritionally different pine sites. Long-term decomposition in a Scots pine forest VIII. Can. J. Bot. 1993, 71, 680–692. [Google Scholar] [CrossRef]
- Berg, B.; Tamm, C.O. Decomposition and nutrient dynamics of litter in long-term optimum nutrition experiments. I. Organic matter decomposition in Norway spruce (Picea abies) needle litter. Scand. J. For. Res. 1991, 6, 305–321. [Google Scholar] [CrossRef]
- Berg, B.; Johansson, M.-B.; Lundmark, J.-E. Site descriptions for forest sites-a compilation. In Reports from the Department for Forest Ecology and Forest Soils; Report 1997. 73; Swedish University of Agricultural Sciences: Uppsala, Sweden, 1977; p. 43. ISSN 0348-3398. [Google Scholar]
- Berg, B.; Booltink, H.G.W.; Breymeyer, A.; Ewertsson, A.; Gallardo, A.; Holm, B.; Johansson, M.-B.; Koivuoja, S.; Meentemeyer, V.; Nyman, P.; et al. Data on Needle Litter Decomposition and Soil Climate as well as Site Characteristics for Some Coniferous Forest Sites, 2nd ed.; Section 1. Data on Site Characteristics; Uppsala Report 1991a, No 41; Swedish University of Agricultural Sciences: Uppsala, Sweden, 1991. [Google Scholar]
- Berg, B.; Hannus, K.; Popoff, T.; Theander, O. Changes in organic-chemical components during decomposition. Long-term decomposition in a Scots pine forest I. Can. J. Bot. 1982, 60, 1310–1319. [Google Scholar] [CrossRef]
- Berg, B.; Booltink, H.G.W.; Breymeyer, A.; Ewertsson, A.; Gallardo, A.; Holm, B.; Johansson, M.-B.; Koivuoja, S.; Meentemeyer, V.; Nyman, P.; et al. Data on Needle Litter Decomposition and Soil Climate as well as Site Characteristics for Some Coniferous Forest Sites, 2nd ed.; Section 2. Data on Needle Litter Decomposition; Department of Ecology and Environmental Research. Report 1991b, No 42; Swedish University of Agricultural Sciences: Uppsala, Sweden, 1991. [Google Scholar]
- Nihlgård, B. Plant biomass, primary production and distribution of chemical elements in a beech and a planted spruce forest in South Sweden. Oikos 1972, 23, 69–81. [Google Scholar] [CrossRef]
- Pawluk, S. Soil analysis by atomic absorption spectrophotometry. At. Absorpt. Newsl. 1967, 6, 53–56. [Google Scholar]
- Bethge, P.O.; Rådeström, R.; Theander, O. Kvantitativ Kolhydratbestämning—En Detaljstudie; Communication; Swedish Forest Product Research Laboratory: Stockholm, Sweden, 1971; Volume 63B. (In Swedish) [Google Scholar]
- Berg, B.; Tamm, C.O. Decomposition and Nutrient Dynamics of Norway Spruce Needle Litter in a Long-Term Optimum Nutrition Experiment; Department of Ecology and Environmental Sciences, Report 1991b; No 39; Swedish University of Agricultural Sciences: Uppsala, Sweden, 1991. [Google Scholar]
- Berg, B.; Lundmark, J.-E. Decomposition of Needle and Root Litter in Lodgepole Pine and Scots Pine Monocultural Systems; Department of Forest Ecology and Forest Soils, Research notes 1985, No 53; Swedish University of Agricultural Sciences: Uppsala, Sweden, 1985; p. 76. [Google Scholar]
- Berg, B.; Lundmark, J.-E. Decomposition of needle litter in lodgepole pine and Scots pine monocultures-a comparison. Scand. J. For. Res. 1987, 2, 3–12. [Google Scholar] [CrossRef]
- De Rosario-Martinez, H. Phia: Post-Hoc Interaction Analysis. R Package Version 0.2-1. 2015. Available online: https://CRAN.R-project.org/package=phia (accessed on 23 January 2020).
- R Core Team. R: A Language and Environment for Statistical Computing; R Foundation for Statistical Computing: Vienna, Austria, 2020; Available online: https://www.R-project.org/ (accessed on 23 January 2020).
- Fox, J.; Weisberg, S. An R Companion to Applied Redression, 3rd ed.; Sage: Thousand Oaks, CA, USA, 2019; Available online: http://tinyurl.com/carbook (accessed on 14 February 2020).
- Fox, J.; Weisberg, S. Visualizing Fit and Lack of Fit in Complex Regression Models with Predictor Effect Plots and Partial Residuals. J. Stat. Softw. 2018, 87, 1–27. Available online: https://www.jstatsoft.org/v087/i09 (accessed on 14 February 2020). [CrossRef]
- Berg, B.; McClaugherty, C. Plant Litter. Decomposition. Humus Formation. Carbon Sequestration; Springer: Heidelberg/Berlin, Germany, 2003; p. 296. [Google Scholar]
- Jansson, P.E.; Berg, B. Temporal variation of litter decomposition in relation to simulated soil climate. Long-term decomposition in a Scots pine forest V. Can. J. Bot. 1985, 63, 1008–1016. [Google Scholar] [CrossRef]
- Couteaux, M.-M.; McTiernan, K.; Berg, B.; Szuberla, D.; Dardennes, P. Chemical composition and carbon mineralisation potential of Scots pine needles at different stages of decomposition. Soil Biol. Biochem. 1998, 30, 583–595. [Google Scholar] [CrossRef]
- Hofrichter, M. Review: Lignin conversion by manganese peroxidase (MnP). Enzym. Microbiol. Technol. 2002, 30, 454–466. [Google Scholar] [CrossRef]
- Keiluweit, M.; Nico, P.; Harmon, M.E.; Mao, J.D.; Pett-Ridge, J.; Kleber, M. Long-term 1978. Proc. Natl. Acad. Sci. USA 2015, 112, E5253–E5260. [Google Scholar] [CrossRef] [PubMed] [Green Version]
- Jones, M.E.; LaCroix, R.E.; Zeigler, J.; Ying, S.C.; Nico, P.S.; Keiluweit, M. Enzymes, Manganese, or Iron? Drivers of Oxidative Organic Matter Decomposition in Soils. Environ. Sci. Technol. 2020, 54, 14114–14123. [Google Scholar] [CrossRef] [PubMed]
- Bradford, M.A.; Berg, B.; Maynard, D.S.; Wieder, W.R.; Wood, S.A. Understanding the dominant controls on litter decomposition. J. Ecol. 2016, 104, 229–238. [Google Scholar] [CrossRef]
- Currie, W.S.; Harmon, M.E.; Burke, I.C.; Hart, C.; Parton, J.W.; Silver, W. Cross-biome transplants of plant litter show decomposition models extend to a broader climatic range but lose predictability at the decadal time scale. Glob. Chang. Biol. 2010, 16, 1744–1761. [Google Scholar] [CrossRef] [Green Version]
- Nömmik, H.; Vahtras, K. Retention and fixation of ammonium and ammonia in soils. In Nitrogen in Agricultural Soils; Stevenson, F.J., Ed.; Agronomy Monographs, 1982, no 22; American Society of Agronomy: Madison, WI, USA, 1982; pp. 123–171. [Google Scholar]
- Knicker, N. Stabilization of N-compounds in soil and organic-matter-rich sediments–what is the difference? Marine Chem. 2004, 92, 167–195. [Google Scholar] [CrossRef] [Green Version]
- Berg, B.; Theander, O. The dynamics of some nitrogen fractions in decomposing Scots pine needles. Pedobiologia 1984, 27, 161–167. [Google Scholar]
Publisher’s Note: MDPI stays neutral with regard to jurisdictional claims in published maps and institutional affiliations. |
© 2022 by the authors. Licensee MDPI, Basel, Switzerland. This article is an open access article distributed under the terms and conditions of the Creative Commons Attribution (CC BY) license (https://creativecommons.org/licenses/by/4.0/).








