Intra-Annual Identification of Local Deforestation Hotspots in the Philippines Using Earth Observation Products
Abstract
:1. Introduction
2. Materials and Methods
2.1. Study Area
2.2. Method Overview
2.3. Deforestation Data Sources
2.4. Hotspot Mapping and Assessment
3. Results
3.1. Hotspot Maps and Analysis
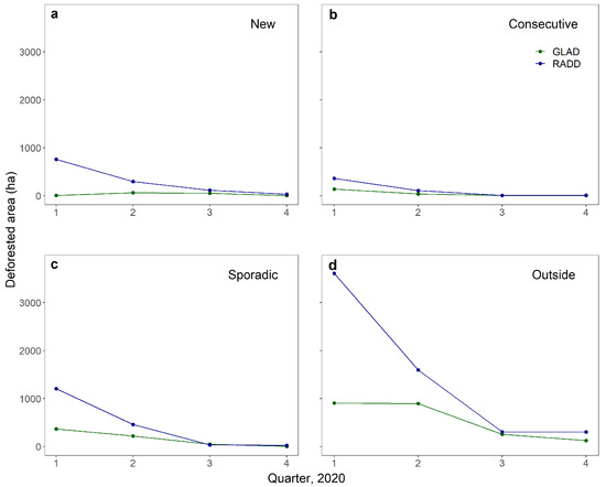
3.2. Deforestation in the Year 2020
4. Discussion
4.1. Hotspot Mapping and Deforestation Detection
4.2. Deforestation in the Year 2020
4.3. The Usefulness of the Hotspot Maps
4.4. Updating of the Hotspot Maps
5. Conclusions
Author Contributions
Funding
Data Availability Statement
Acknowledgments
Conflicts of Interest
Appendix A

Appendix B
| Headline | Main Driver | Scale | News Date | Source | Link |
|---|---|---|---|---|---|
| Illegal logging continues in MIMAROPA despite Luzon lockdown | Slash-and-burn; charcoal making; illegal logging | Local, study area | 3 April 2020 | Inquirer | https://www.rappler.com/nation/illegal-logging-continues-mimaropa-despite-luzon-lockdown |
| DENR seizes illegal logs in Central Luzon operations | Illegal logging | Local, study area | 18 June 2020 | SunStar | https://www.sunstar.com.ph/article/1860555/Pampanga/Local-News/DENR-seizes-illegal-logs-in-Central-Luzon-operations |
| Illegal logging in ‘protected areas’ persists during ECQ | Illegal logging | Local, study area | 29 May 2020 | Business Mirror | https://businessmirror.com.ph/2020/05/29/illegal-logging-in-protected-areas-persists-during-ecq/ |
| Authorities seize illegally cut logs in Cagayan | Illegal logging | Local, study area | 10 September 2020 | Manila Bulletin | https://mb.com.ph/2020/09/10/authorities-seize-illegally-cut-logs-in-cagayan/ |
| PENRO names illegal logging hotspots in Cagayan | Illegal logging | Local, study area | 12 October 2020 | Philippine Information Agency | https://pia.gov.ph/news/articles/1055748 |
| Illegal mining in Cagayan due to lapses in law enforcement – Palace | Mining | Local, study area | 17 November 2020 | PressOne | https://pressone.ph/illegal-mining-in-cagayan-due-to-lapses-in-law-enforcement-palace/ |
| Bald strips on Cagayan Valley mountains show traces of illegal logging, says police | Illegal logging | Local, study area | 20 November 2020 | MSN | https://www.msn.com/en-ph/news/national/bald-strips-on-cagayan-valley-mountains-show-traces-of-illegal-logging-says-police/ar-BB1bcZLu |
| Global forest losses accelerated despite the pandemic, threatening world’s climate goals | Illegal logging, agricultural expansion | Global | 30 March 2021 | Washington post | https://www.washingtonpost.com/climate-environment/2021/03/31/climate-change-deforestation/ |
| llegal logging in ‘protected areas’ persists during ECQ | Illegal logging | Global | 19 May 2020 | BBC | https://www.bbc.com/future/article/20200518-why-lockdown-is-harming-the-amazon-rainforest |
Appendix C

References
- Canadell, J.G.; Raupach, M.R. Managing Forests for Climate Change Mitigation. Science 2008, 320, 1456–1457. [Google Scholar] [CrossRef] [Green Version]
- Brookhuis, B.; Hein, L. The value of the flood control service of tropical forests: A case study for Trinidad. For. Policy Econ. 2016, 62, 118–124. [Google Scholar] [CrossRef]
- Ravenel, R.M.; Granoff, I.M.; Magee, C.A. Illegal Logging in the Tropics: Strategies for Cutting Crime; CRC Press: Boca Raton, FL, USA, 2005; Volume 19. [Google Scholar]
- Glastra, R. Cut and Run: Illegal Logging and Timber Trade in the Tropics; Idrc: Ottawa, ON, USA, 2014. [Google Scholar]
- Pendrill, F.; Persson, U.M.; Godar, J.; Kastner, T.; Moran, D.; Schmidt, S.; Wood, R. Agricultural and forestry trade drives large share of tropical deforestation emissions. Glob. Environ. Chang. 2019, 56, 1–10. [Google Scholar] [CrossRef]
- Sy, V.D.; Herold, M.; Achard, F.; Avitabile, V.; Baccini, A.; Carter, S.; Clevers, J.G.P.W.; Lindquist, E.; Pereira, M.; Verchot, L. Tropical deforestation drivers and associated carbon emission factors derived from remote sensing data. Environ. Res. Lett. 2019, 14, 094022. [Google Scholar] [CrossRef] [Green Version]
- Tapia-Armijos, M.F.; Homeier, J.; Espinosa, C.I.; Leuschner, C.; de la Cruz, M. Deforestation and Forest Fragmentation in South Ecuador since the 1970s—Losing a Hotspot of Biodiversity. PLoS ONE 2015, 10, e0133701. [Google Scholar] [CrossRef] [Green Version]
- Hansen, M.C.; Wang, L.; Song, X.P.; Tyukavina, A.; Turubanova, S.; Potapov, P.V.; Stehman, S.V. The fate of tropical forest fragments. Sci. Adv. 2020, 6, eaax8574. [Google Scholar] [CrossRef] [PubMed] [Green Version]
- Guiang, E.S. Impacts and effectiveness of logging bans in natural forests: Philippines. Chapter 2001, 4, 103–136. [Google Scholar]
- Boquet, Y. Environmental Challenges in the Philippines. In Springer Geography; Springer International Publishing: Berlin/Heidelberg, Germany, 2017; pp. 779–829. [Google Scholar] [CrossRef]
- Apan, A.; Suarez, L.A.; Maraseni, T.; Castillo, J.A. The rate, extent and spatial predictors of forest loss (2000–2012) in the terrestrial protected areas of the Philippines. Appl. Geogr. 2017, 81, 32–42. [Google Scholar] [CrossRef]
- Estoque, R.C.; Murayama, Y.; Lasco, R.D.; Myint, S.W.; Pulhin, F.B.; Wang, C.; Ooba, M.; Hijioka, Y. Changes in the landscape pattern of the La Mesa Watershed—The last ecological frontier of Metro Manila, Philippines. For. Ecol. Manag. 2018, 430, 280–290. [Google Scholar] [CrossRef]
- Perez, G.J.; Comiso, J.C.; Aragones, L.V.; Merida, H.C.; Ong, P.S. Reforestation and Deforestation in Northern Luzon, Philippines: Critical Issues as Observed from Space. Forests 2020, 11, 1071. [Google Scholar] [CrossRef]
- Chowdhury, R.R. Driving forces of tropical deforestation: The role of remote sensing and spatial models. Singap. J. Trop. Geogr. 2006, 27, 82–101. [Google Scholar] [CrossRef]
- Lynch, J.; Maslin, M.; Balzter, H.; Sweeting, M. Choose satellites to monitor deforestation. Nature 2013, 496, 293–294. [Google Scholar] [CrossRef] [Green Version]
- Tanase, M.A.; Ismail, I.; Lowell, K.; Karyanto, O.; Santoro, M. Detecting and Quantifying Forest Change: The Potential of Existing C- and X-Band Radar Datasets. PLoS ONE 2015, 10, e0131079. [Google Scholar] [CrossRef] [PubMed]
- Reiche, J.; Hamunyela, E.; Verbesselt, J.; Hoekman, D.; Herold, M. Improving near-real time deforestation monitoring in tropical dry forests by combining dense Sentinel-1 time series with Landsat and ALOS-2 PALSAR-2. Remote Sens. Environ. 2018, 204, 147–161. [Google Scholar] [CrossRef]
- Hansen, M.C.; Potapov, P.V.; Moore, R.; Hancher, M.; Turubanova, S.A.; Tyukavina, A.; Thau, D.; Stehman, S.V.; Goetz, S.J.; Loveland, T.R.; et al. High-Resolution Global Maps of 21st-Century Forest Cover Change. Science 2013, 342, 850–853. [Google Scholar] [CrossRef] [Green Version]
- Vieilledent, G.; Grinand, C.; Rakotomalala, F.A.; Ranaivosoa, R.; Rakotoarijaona, J.R.; Allnutt, T.F.; Achard, F. Combining global tree cover loss data with historical national forest cover maps to look at six decades of deforestation and forest fragmentation in Madagascar. Biol. Conserv. 2018, 222, 189–197. [Google Scholar] [CrossRef]
- Hansen, M.C.; Krylov, A.; Tyukavina, A.; Potapov, P.V.; Turubanova, S.; Zutta, B.; Ifo, S.; Margono, B.; Stolle, F.; Moore, R. Humid tropical forest disturbance alerts using Landsat data. Environ. Res. Lett. 2016, 11, 034008. [Google Scholar] [CrossRef]
- Moffette, F.; Alix-Garcia, J.; Shea, K.; Pickens, A.H. The impact of near-real-time deforestation alerts across the tropics. Nat. Clim. Chang. 2021, 11, 172–178. [Google Scholar] [CrossRef]
- Reddy, C.S.; Pasha, S.V.; Jha, C.; Diwakar, P.; Dadhwal, V. Development of national database on long-term deforestation (1930–2014) in Bangladesh. Glob. Planet. Chang. 2016, 139, 173–182. [Google Scholar] [CrossRef]
- Harris, N.L.; Goldman, E.; Gabris, C.; Nordling, J.; Minnemeyer, S.; Ansari, S.; Lippmann, M.; Bennett, L.; Raad, M.; Hansen, M.; et al. Using spatial statistics to identify emerging hot spots of forest loss. Environ. Res. Lett. 2017, 12, 024012. [Google Scholar] [CrossRef]
- Gandhi, S.; Jones, T. Identifying Mangrove Deforestation Hotspots in South Asia, Southeast Asia and Asia-Pacific. Remote Sens. 2019, 11, 728. [Google Scholar] [CrossRef] [Green Version]
- Jardeleza, J.M.; Gotangco, C.K.; Guzman, M.A.L. Simulating National-scale Deforestation in the Philippines Using Land Cover Change Models. Philipp. J. Sci. 2019, 148, 597–608. [Google Scholar]
- Sanchez-Cuervo, A.M.; Aide, T.M. Identifying hotspots of deforestation and reforestation in Colombia (2001–2010): Implications for protected areas. Ecosphere 2013, 4, art143. [Google Scholar] [CrossRef]
- Watch, G.F. Global Forest Watch; World Resources Institute: Washington, DC, USA, 2002; Available online: http://www.globalforestwatch.org (accessed on 1 March 2021).
- van der Ploeg, J.; Masipiqueña, A.; van Weerd, M.; Persoon, G. Illegal logging in the Northern Sierra Madre Natural Park, the Philippines. Conserv. Soc. 2011, 9, 202. [Google Scholar] [CrossRef]
- Phil-WAVES. Philippines: WAVES Country Report 2016; Technical Report; The World Bank Group: Washington, DC, USA, 2016. [Google Scholar]
- Turubanova, S.; Potapov, P.V.; Tyukavina, A.; Hansen, M.C. Ongoing primary forest loss in Brazil, Democratic Republic of the Congo, and Indonesia. Environ. Res. Lett. 2018, 13, 074028. [Google Scholar] [CrossRef] [Green Version]
- Finer, M.; Novoa, S.; Weisse, M.J.; Petersen, R.; Mascaro, J.; Souto, T.; Stearns, F.; Martinez, R.G. Combating deforestation: From satellite to intervention. Science 2018, 360, 1303–1305. [Google Scholar] [CrossRef] [PubMed]
- Galiatsatos, N.; Donoghue, D.N.; Watt, P.; Bholanath, P.; Pickering, J.; Hansen, M.C.; Mahmood, A.R. An Assessment of Global Forest Change Datasets for National Forest Monitoring and Reporting. Remote Sens. 2020, 12, 1790. [Google Scholar] [CrossRef]
- Reiche, J.; Mullissa, A.; Slagter, B.; Gou, Y.; Tsendbazar, N.E.; Odongo-Braun, C.; Vollrath, A.; Weisse, M.J.; Stolle, F.; Pickens, A.; et al. Forest disturbance alerts for the Congo Basin using Sentinel-1. Environ. Res. Lett. 2021, 16, 024005. [Google Scholar] [CrossRef]
- UNFCCC. Part two: Action taken by the Conference of the Parties. Volume II. In Proceedings of the Conference of the Parties on its Seventh Session, Marrakesh, Morocco, 29 October–10 November 2001. [Google Scholar]
- Ord, J.K.; Getis, A. Local Spatial Autocorrelation Statistics: Distributional Issues and an Application. Geogr. Anal. 2010, 27, 286–306. [Google Scholar] [CrossRef]
- Milodowski, D.T.; Mitchard, E.T.A.; Williams, M. Forest loss maps from regional satellite monitoring systematically underestimate deforestation in two rapidly changing parts of the Amazon. Environ. Res. Lett. 2017, 12, 094003. [Google Scholar] [CrossRef] [Green Version]
- Bouvet, A.; Mermoz, S.; Ballère, M.; Koleck, T.; Toan, T.L. Use of the SAR Shadowing Effect for Deforestation Detection with Sentinel-1 Time Series. Remote Sens. 2018, 10, 1250. [Google Scholar] [CrossRef] [Green Version]
- Suarez, R.K.; Sajise, P.E. Deforestation, swidden agriculture and Philippine biodiversity. Philipp. Sci. Lett. 2010, 3, 91–99. [Google Scholar]
- Saavedra, S. Is Global Deforestation Under Lockdown? 2020. Available online: https://papers.ssrn.com/sol3/papers.cfm?abstract_id=3668029 (accessed on 1 March 2021).
- Etter, A.; McAlpine, C.; Phinn, S.; Pullar, D.; Possingham, H. Characterizing a tropical deforestation wave: A dynamic spatial analysis of a deforestation hotspot in the Colombian Amazon. Glob. Chang. Biol. 2006, 12, 1409–1420. [Google Scholar] [CrossRef]
- Dressler, W.; Pulhin, J. The shifting ground of swidden agriculture on Palawan Island, the Philippines. Agric. Hum. Values 2009, 27, 445–459. [Google Scholar] [CrossRef]








| EO Product | Spatial Resolution (m) | Temporal Coverage | Frequency of Update | Description | Reference | Access Link |
|---|---|---|---|---|---|---|
| GFC forest loss | 30 | 2001–2019 | 1–2 years | Uses a collection of Landsat 7 and 8 images and a supervised classification algorithm to detect possible forest cover loss when a previously tree cover (5 m tall) is disturbed by anthropogenic and natural factors | [20] | http://earthenginepartners.appspot.com/science-2013-global-forest (accessed on 1 March 2021) |
| GLAD alerts | 30 | 2020–2021 | 7 days | Deforestation alert in near-real time that uses pre-processed and quality-checked Landsat 7 and 8 bands and their vegetation indices to determine whether changes in new images are >50% probable in comparison with the previous three years | [18] | http://glad-forest-alert.appspot.com/ (accessed on 1 April 2021) |
| RADD alerts | 10 | 2020–2021 | 6–12 days | Near-real time deforestation alerts produced using a probability-based detection method applied to a time series of Sentinel 1 images in the humid tropics every 6–12 days | [33] | http://radd-alert.wur.nl; https://nrtwur.users.earthengine.app/view/raddalert (accessed on 1 April 2021) |
| Class | Description | Time Step (Years) | |||||||||||||||||||
|---|---|---|---|---|---|---|---|---|---|---|---|---|---|---|---|---|---|---|---|---|---|
| 1 | 2 | 3 | 4 | 5 | 6 | 7 | 8 | 9 | 10 | 11 | 12 | 13 | 14 | 15 | 16 | 17 | 18 | 19 | 20 | ||
| New | 1-km hotspot bins that are statistically significant (>95%) only in 2020 | x | |||||||||||||||||||
| Consecutive | 1-km hotspot bin that are statistically significant (>95%) only in recent years | x | x | x | |||||||||||||||||
| Sporadic | 1-km hotspot bins with discontinuity in statistical significance over the years (on-and-off hotspot) | x | x | x | x | x | x | x | x | ||||||||||||
| Persistent | 1-km bins with statistical significance in 18 out of 20 years | x | x | x | x | x | x | x | x | x | x | x | x | x | x | x | x | x | x | ||
| Intensifying | Same with persistent but recent years have increasing deforestation | x | x | x | x | x | x | x | x | x | x | x | x | x | x | x | x | x | x | ||
| Non-hotspot | 1-km hotspot bin without statistical significance in the past 2 decades | ||||||||||||||||||||
| Hotspot Class | Count | % Inside Primary Forest | % Inside PAs | |||
|---|---|---|---|---|---|---|
| GLAD | RADD | GLAD | RADD | GLAD | RADD | |
| New | 57 | 189 | 100 | 100 | 72 | 40 |
| Consecutive | 765 | 802 | 72 | 73 | 25 | 26 |
| Sporadic | 1156 | 1255 | 82 | 83 | 27 | 29 |
| Total | 1978 | 2246 | 79 | 81 | 27 | 29 |
Publisher’s Note: MDPI stays neutral with regard to jurisdictional claims in published maps and institutional affiliations. |
© 2021 by the authors. Licensee MDPI, Basel, Switzerland. This article is an open access article distributed under the terms and conditions of the Creative Commons Attribution (CC BY) license (https://creativecommons.org/licenses/by/4.0/).
Share and Cite
Araza, A.B.; Castillo, G.B.; Buduan, E.D.; Hein, L.; Herold, M.; Reiche, J.; Gou, Y.; Villaluz, M.G.Q.; Razal, R.A. Intra-Annual Identification of Local Deforestation Hotspots in the Philippines Using Earth Observation Products. Forests 2021, 12, 1008. https://doi.org/10.3390/f12081008
Araza AB, Castillo GB, Buduan ED, Hein L, Herold M, Reiche J, Gou Y, Villaluz MGQ, Razal RA. Intra-Annual Identification of Local Deforestation Hotspots in the Philippines Using Earth Observation Products. Forests. 2021; 12(8):1008. https://doi.org/10.3390/f12081008
Chicago/Turabian StyleAraza, Arnan B., Gem B. Castillo, Eric D. Buduan, Lars Hein, Martin Herold, Johannes Reiche, Yaqing Gou, Maya Gabriela Q. Villaluz, and Ramon A. Razal. 2021. "Intra-Annual Identification of Local Deforestation Hotspots in the Philippines Using Earth Observation Products" Forests 12, no. 8: 1008. https://doi.org/10.3390/f12081008
APA StyleAraza, A. B., Castillo, G. B., Buduan, E. D., Hein, L., Herold, M., Reiche, J., Gou, Y., Villaluz, M. G. Q., & Razal, R. A. (2021). Intra-Annual Identification of Local Deforestation Hotspots in the Philippines Using Earth Observation Products. Forests, 12(8), 1008. https://doi.org/10.3390/f12081008

