Analysis of Surface Deformation and Physical and Mechanical Parameters of Soils on Selected Skid Trails in the Gorce National Park
Abstract
1. Introduction
2. Materials and Methods
3. Results
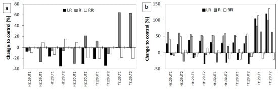
3.1. Moisture Content and Bulk Density of Soil
3.2. Soil Compactness
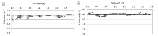
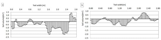
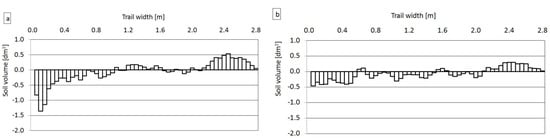
3.3. Surface Relief of Skid Trails
4. Discussion
5. Conclusions
Author Contributions
Funding
Acknowledgments
Conflicts of Interest
References
- Lotfalian, M.; Khosrozadeh, S.; Hosseini, S.A.; Kazemi, M.; Zare, N. Determination of forest skid trail density in Caspian forests, Iran. J. For. Sci. 2016, 62, 80–87. [Google Scholar] [CrossRef]
- Pentek, T.; Nevečerel, H.; Poršinsky, T.; Pičman, D.; Lepoglavec, K.; Potočnik, I. Methodology for development of secondary forest traffic infrastructure cadastre. Croat. J. For. Eng. 2008, 9, 75–83. [Google Scholar]
- Ozturk, T.; Sevgi, O.; E Akay, A. Impact assessment of log skidding on soil condition of skid roads during ground-based logging in a plantation forest in Istanbul, Turkey. Bosque (Valdivia) 2017, 38, 41–46. [Google Scholar] [CrossRef][Green Version]
- Plewniak, J.; Gołąb, J. Gospodarczo-techniczne uwarunkowania procesu projektowania szlaków zrywkowych w lasach górskich. (Economic and technical determinants of the process of designing skidding trails in mountain forests). Infr. Ekol. Ter. Wiejskich 2017, 1, 85–99. [Google Scholar]
- Hroššo, B.; Mezei, P.; Potterf, M.; Majdák, A.; Blaženec, M.; Korolyova, N.; Jakuš, R. Drivers of Spruce Bark Beetle (Ips typographus) Infestations on Downed Trees after Severe Windthrow. Forests 2020, 11, 1290. [Google Scholar] [CrossRef]
- Wermelinger, B. Ecology and management of the spruce bark beetle Ips typographus—a review of recent research. For. Ecol. Manag. 2004, 202, 67–82. [Google Scholar] [CrossRef]
- Nowak, A. Kornik drukarz Ips typographus (L)—naturalny składnik ekosystemów leśnych Puszczy Białowieskiej, czy ich zagrożenie? (The spruce bark beetle Ips typographus (L)—A natural component of the forest ecosystems of the Białowieża Primeval Forest, or is it a threat?). Manag. Environ. Prot. For. 2021, 10, 41–63. [Google Scholar] [CrossRef]
- Grodzki, W.; Michalski, J.B. Historia gradacji kornika drukarza. (History of the spruce bark beetle outbreak). In Kornik Drukarz i Jego Rola w Ekosystemach Leśnych; OWRLP: Bedoń, Poland, 2013; pp. 109–122. [Google Scholar]
- Solgi, A.; Najafi, A.; Ezzati, S.; Ferencik, M. Assessment of ground-based skidding impacts on the horizontally rate and extent of soil disturbance along the margin of the skid trail. Ann. For. Sci. 2016, 73, 513–522. [Google Scholar] [CrossRef]
- Zenner, E.K.; Fauskee, J.T.; Berger, A.L.; Puettmann, K.J. Impacts of Skidding Traffic Intensity on Soil Disturbance, Soil Recovery, and Aspen Regeneration in North Central Minnesota. North. J. Appl. For. 2007, 24, 177–183. [Google Scholar] [CrossRef]
- Ilintsev, A.; Nakvasina, E.; Aleynikov, A.; Tretyakov, S.; Koptev, S.; Bogdanov, A. Middle-term changes in topsoils properties on skidding trails and cutting strips after long-gradual cutting: A case study in the boreal forest of the north-east of Russia. Croat. J. For. Eng. 2018, 39, 71–83. [Google Scholar]
- Wałdykowski, P. Wpływ dróg górskich na dynamikę procesów morfogenetycznych w rejonie Turbacza. (The influence of mountain roads on dynamic of morphogenetic processes in the Turbacz region). J. Prot. West. Beskids Publ. House Gorczański Natl. Park Poręba Wielka Polska 2006, 1, 67–79. [Google Scholar]
- Appendix 1. Plan ochrony dla gorczańskiego parku narodowego. (Protection Plan for the Gorce National Park); Annex to the ordinance of the Minister of the Environment of Poland of 15 January 2018; Minister of the Environment of Poland: Warsaw, Poland, 2018; pp. 1–141. [Google Scholar]
- Duka, A.; Grigolato, S.; Papa, I.; Pentek, T.; Poršinsky, T. Assessment of timber extraction distance and skid road network in steep karst terrain. iForest Biogeosci. For. 2017, 10, 886–894. [Google Scholar] [CrossRef]
- Rudov, S.E.; Voronova, A.M.; Chemshikova, J.M.; Teterevleva, E.V.; Kruchinin, I.N.; Dondokov, Y.Z.; Khaldeeva, M.N.; Burtseva, I.A.; Danilov, V.V.; Grigorev, I.V. Theoretical Approaches to Logging Trail Network Planning: Increasing Efficiency of Forest Machines and Reducing Their Negative Impact on Soil and Terrain. Asian J. Water Environ. Pollut. 2019, 16, 61–75. [Google Scholar] [CrossRef]
- Košir, B.; Marenče, J. Assessing maximum loads when skidding wood uphill with tractors. Zbor. Goz. Les. 2008, 86, 21–31. [Google Scholar]
- Kormanek, M.; Dvořák, J. Ground Pressure Changes Caused by MHT 8002HV Crawler Harvester Chassis. Croat. J. For. Eng. 2021, 42, 201–211. [Google Scholar] [CrossRef]
- Kulak, D.; Szewczyk, G.; Stańczykiewicz, A. Rozmiar i rozmieszczenie naruszeń wierzchnich warstw gleby przy zrywce konnej w trzebieżach wczesnych drzewostanów jodłowych. (Extension and distribution of injuries to upper soil layers during horse skidding in early fir stands’ thinning). Nauka Przyr. Technol. 2014, 8, 1–5. [Google Scholar]
- Najafi, A.; Solgi, A.; Sadeghi, S.H. Soil disturbance following four-wheel rubber skidding logging on the steep road in the north mountainous forest of Iran. Soil Till. Res. 2009, 103, 165–169. [Google Scholar] [CrossRef]
- Lotfalian, M.; Fallah, A.; Moafi, M.; Nobakht, A. Determining the maximum allowable cross slope of skid trails for rubber-tired skidder Timberjack 450C. Ann. Biol. Res. 2012, 3, 3805–3810. [Google Scholar]
- Sakai, H.; Nordfjell, T.; Saudicani, K.; Talbot, B.; Bollehuus, E. Soil compaction on forest soils from different kinds of tires and tracks and possibility of accurate estimate. Croat. J. For. Eng. 2008, 29, 15–27. [Google Scholar]
- Kremers, J.; Boosten, M. Soil compaction and deformation in forest exploitation. Am. J. Altern. Agric. 2018, 7, 25–31. [Google Scholar]
- Prameswari, D.; Supriyanto; Saharjo, B.H.; Wasis, B.; Pamoengkas, P. Effects of biopore infiltration holes and cross drain on soil properties on skidding roads and natural production forest. IOP Conf. Ser. Earth Environ. Sci. 2020, 533. [Google Scholar] [CrossRef]
- Croke, J.; Hairsine, P.; Fogarty, P. Soil recovery from track construction and harvesting changes in surface infiltration, erosion and delivery rates with time. For. Ecol. Manag. 2001, 143, 3–12. [Google Scholar] [CrossRef]
- Najafi, A.; Solgi, A.; Sadeghi, S.H. Effects of skid trail slope and ground skidding on soil disturbance. Caspian J. Env. Sci. 2010, 8, 13–23. [Google Scholar]
- Kulak, D.; Stańczykiewicz, A.; Szewczyk, G.; Lubera, A.; Strojny, T. Factors affecting the changes in penetration resistance of forest soils during timber harvesting. Sylwan 2015, 159, 318–325. [Google Scholar]
- Solgi, A.; Naghdi, R.; Tsioras, P.A.; Ilstedt, U.; Salehi, A.; Nikooy, M. Combined effects of skidding direction, skid trail slope and traffic frequency on soil disturbance in North Mountainous Forest of Iran. Croat. J. For. Eng. 2017, 38, 97–106. [Google Scholar]
- Han, H.-S.; Page-Dumroese, D.; Han, S.-K.; Tirocke, J. Effects of Slash, Machine Passes, and Soil Moisture on Penetration Resistance in a Cut-to-length Harvesting. Int. J. For. Eng. 2006, 17, 11–24. [Google Scholar] [CrossRef]
- Allman, M.; Jankovský, M.; Messingerová, V.; Allmanová, Z. Soil moisture content as a predictor of soil disturbance caused by wheeled forest harvesting machines on soils of the Western Carpathians. J. For. Res. 2017, 28, 283–289. [Google Scholar] [CrossRef]
- Williamson, J.R.; Neilsen, W.A. The influence of forest site on rate and extent of soil compaction and profile disturbance of skid trails during ground-based harvesting. Can. J. For. Res. 2000, 30, 1196–1205. [Google Scholar] [CrossRef]
- Makineci, E.; Demir, M.; Comez, A.; Yilmaz, E. Chemical characteristics of the surface soil, herbaceous cover and organic layer of a compacted skidding road in a fir (Abies bornmulleriana Mattf.) forest. Transp. Res. Part D 2007, 12, 453–459. [Google Scholar] [CrossRef]
- Kucharzyk, S. Dawne oraz współczesne drogi leśne i szlaki zrywkowe w waloryzacji naturalności ekosystemów leśnych w Bieszczadzkim Parku Narodowym (Former and modern forest roads and skid trails in forest naturalness assessment in the Bieszczady National Park). Roczniki Bieszczadzkie 2015, 23, 95–109. [Google Scholar]
- Szabla, K. Praktyczna Realizacja Strategii Ograniczania Liczebności Kornika Drukarza na Przykładzie Świerczyn Beskidu Śląskiego i Żywieckiego w latach 2007–2010. (Practical Implementation of the Strategy of Reducing the Number of the Spruce Bark Beetle on the Example of the Spruce Forests of the Silesian Beskids and Żywiecki in the Years 2007–2010). In Kornik Drukarz i Jego Rola w Ekosystemach Leśnych; OWRLP: Bedoń, Poland, 2013; pp. 161–178. [Google Scholar]
- Standard PN-EN ISO 14688. Badania Geotechniczne—Oznaczanie i Klasyfikowanie Gruntów—Część 2: Zasady Klasyfikowania (Geotechnical Research Soil Identification and Classification—Part 2: Classification Rules); Polish Committee for Standardization: Warsaw, Polska, 2018; pp. 1–12. [Google Scholar]
- Standard PN-ISO 11465. Jakość Gleby—Oznaczanie Zawartości Suchej Masy Gleby i Wody w Glebie w Przeliczeniu na Suchą Masę Gleby—Metoda Wagowa. (Soil Quality—Determination of Soil Dry Weight and Soil Water Based on Soil Dry Weight—Weight Method); Polish Committee for Standardization: Warsaw, Polska, 1999; pp. 1–4. [Google Scholar]
- Herrick, J.E.; Jones, T.L. A dynamic cone penetrometer for measuring soil penetration resistance. Soil Sci. Soc. Am. J. 2002, 66, 1320–1324. [Google Scholar] [CrossRef]
- ASAE Standards. Soil Cone Penetrometer; ASAE: Washington, DC, USA, 1998; pp. 820–821. [Google Scholar]
- Kozłowski, R. Przestrzenne zróżnicowanie opadu podokapowego w drzewostanie jodłowo-bukowym w centralnej części Gór Świętokrzyskich. (Spatial differentiation of the throughfall in the Fir-Beech forest stand in the central part of the Świętokrzyskie Mountains). Regional Monitoring of the Natural Environment Report. State Environ. 2003, 4, 99–106. [Google Scholar]
- Available online: http://www.gorczanskipark.pl (accessed on 23 February 2021).
- Cieszkowski, M. Geologiczne walory naukowe Gorczańskiego Parku Narodowego i jego otoczenia. (Scientific geological atractions of Gorce National Park and its surroundings). J. Prot. Western Beskids Publ. House Gorczański Natl. Park. 2006, 1, 45–57. [Google Scholar]
- Kondracki, J. Geografia regionalna Polski. (Regional geography of Poland); Polish Scientific Publishers: Warszawa, Polska, 2011; pp. 420–444. [Google Scholar]
- Mocek, A.; Drzymała, S. Geneza analiza i klasyfikacja gleb. (Genesis, Soil Analysis and Classification); Publishing House of the University of Poznań: Poznań, Polska, 2010; pp. 1–418. [Google Scholar]
- Solgi, A.; Naghdi, R.; Marchi, E.; Laschi, A.; Behjou, F.K.; Hemmati, V.; Masumian, A. Impact Assessment of Skidding Extraction: Effects on Physical and Chemical Properties of Forest Soils and on Maple Seedling Growing along the Skid Trail. Forests 2019, 10, 134. [Google Scholar] [CrossRef]
- Achilles, F.; Tischer, A.; Bernhardt-Römermann, M.; Chmara, I.; Achilles, M.; Michalzik, B. Effects of Moderate Nitrate and Low Sulphate Depositions on the Status of Soil Base Cation Pools and Recent Mineral Soil Acidification at Forest Conversion Sites with European Beech (“Green Eyes”) Embedded in Norway Spruce and Scots Pine Stands. Forests 2021, 12, 573. [Google Scholar] [CrossRef]
- Potter, C.; Hugny, C. Wildfire effects on permafrost and soil moisture in spruce forests of interior Alaska. J. For. Res. 2020, 31, 553–563. [Google Scholar] [CrossRef]
- Jourgholami, M. Effects of soil compaction on growth variables in Cappadocian maple (Acer cappadocicum) seedlings. J. For. Res. 2017, 29, 1–10. [Google Scholar] [CrossRef]
- Rab, M.A. Recovery of soil physical properties from compaction and soil profile disturbance caused by logging of native forest in Victorian Central Highlands. Aust. For. Ecol. Manag. 2004, 191, 329–340. [Google Scholar] [CrossRef]
- Stańczykiewicz, A.; Szewczyk, G.; Kulak, D. Damage to advance growth resulting from timber harvesting during final cuttings. Balt. For. 2015, 21, 143–150. [Google Scholar]
- Dudek, T.; Rejman, B. Wpływ turystyki jeździeckiej na środowisko leśne na przykładzie nadleśnictwa Leżajsk. (Impact of equestrian tourism on the forest environment based on the Leżajsk forest district). Acta Sci. Pol. Silv. Colendar. Ratio Ind. Lignar. 2019, 18, 245–250. [Google Scholar]












| Trail | Ht129U | Ht129L | Ht130U | Ht130L | Tt129U | Tt129L |
|---|---|---|---|---|---|---|
| Slope | 28.8% | 26.4% | 33.4% | 29.4% | 11.4% | 11.3% |
| Habitat type | Fresh mixed mountain forest | |||||
| Stand Abundance, age | 5 beech, 3 fir, 2 spruce 255 m3·ha−1; 110 years | 8 beech, 1 spruce, 1 fir 311 m3·ha−1; 130 years | 5 beech, 3 fir, 2 spruce 255 m3·ha−1; 110 years | |||
| Undergrowth | Lack | Braun’s holly fern Polystichum braunii (Spenn.) | Lack | |||
| Granulometric composition [34] | Sa/Si/Cl [%] 70.3/25.0/4.7 | Sa/Si/Cl [%] 71.8/24.1/4.1 | Sa/Si/Cl [%] 68.2/26.8/4.7 | Sa/Si/Cl [%] 68.7/26.3/5.1 | Sa/Si/Cl [%] 48.0/43.0/9.0 | Sa/Si/Cl [%] 59.6/33.9/6.4 |
| Soil type | Leached brown | |||||
| Skid Trail | Number of Loaded Transport Passes (3 Months) | Average Volume of a Single Wood Load [m3] | Total Volume of Skidded Wood [m3] |
|---|---|---|---|
| Ht129 | 20 | 0.6 ± 0.04 | 12.1 |
| Ht130 | 10 | 0.6 ± 0.02 | 6.0 |
| Ht129 | 51 | 3.5 ± 0.30 | 180.1 |
| Trail | Date | Moisture MC (g∙g−1) | Dry Bulk Density BD (g∙cm−3) | ||||||
|---|---|---|---|---|---|---|---|---|---|
| LR | R | RR | Contr | LR | R | RR | Contr | ||
| Ht129U | T1 | 0.462 a ±0.37 | 0.435 b ±0.038 | 0.450 c ±0.040 | 0.499 d ±0.036 | 0.880 b ±0.062 | 1.123 d ±0.080 | 0.973 c ±0.069 | 0.692 a ±0.049 |
| T2 | 0.660 a ±0.053 | 0.471 b ±0.044 | 0.728 c ±0.058 | 0.670 a ±0.054 | 0.840 b ±0.060 | 1.083 c ±0.077 | 1.010 c ±0.062 | 0.678 a ±0.048 | |
| Ht129L | T1 | 0.416 a ±0.04 | 0.465 b ±0.042 | 0.466 b ±0.039 | 0.499 c ±0.040 | 0.872 b ±0.062 | 0.980 c ±0.070 | 0.943 c ±0.067 | 0.631 a ±0.045 |
| T2 | 0.384 a ±3.1 | 0.557 b ±0.050 | 0.678 c ±0.061 | 0.590 d ±0.047 | 0.896 b ±0.055 | 1.011 c ±0.062 | 0.978 c ±0.069 | 0.662 a ±0.047 | |
| Ht130U | T1 | 0.660 a ±0.053 | 0.471 b ±0.038 | 0.728 c ±0.058 | 0.670 a ±0.054 | 0.878 b ±0.054 | 1.028 c ±0.063 | 1.014 c ±0.062 | 0.673 a ±0.046 |
| T2 | 0.366 a ±0.033 | 0.635 b ±0.006 | 0.422 c ±0.004 | 0.525 d ±0.042 | 0.838 b ±0.051 | 0.988 c ±0.060 | 1.026 c ±0.063 | 0.651 a ±0.048 | |
| Ht130L | T1 | 0.386 a ±0.035 | 0.546 c ±0.005 | 0.391 a ±0.004 | 0.491 b ±0.039 | 0.889 b ±0.063 | 1.045 c ±0.064 | 1.020 c ±0.062 | 0.685 a ±0.042 |
| T2 | 0.344 a ±0.031 | 0.468 b ±0.006 | 0.456 b ±0.005 | 0.519 c ±0.042 | 0.849 b ±0.060 | 1.005 c ±0.071 | 1.052 c ±0.075 | 0.669 a ±0.041 | |
| Ht129U | T1 | 0.533 d ±0.029 | 0.127 a ±0.048 | 0.165 b ±0.003 | 0.325 c ±0.026 | 1.300 b ±0.108 | 1.345 c ±0.082 | 1.379 c ±0.097 | 0.741 a ±0.045 |
| T2 | 0.591 d ±0.032 | 0.161 a ±0.053 | 0.187 b ±0.023 | 0.363 c ±0.029 | 1.276 b ±0.112 | 1.305 c ±0.088 | 1.379 c ±0.103 | 0.717 a ±0.051 | |
| Ht129L | T1 | 0.130 a ±0.018 | 0.137 a ±0.025 | 0.131 a ±0.018 | 0.183 b ±0.023 | 1.341 b ±0.122 | 1.859 c ±0.095 | 1.342 b ±0.132 | 0.914 a ±0.065 |
| T2 | 0.165 a ±0.021 | 0.162 a ±0.019 | 0.165 a ±0.022 | 0.214 b ±0.025 | 1.301 b ±0.121 | 1.819 c ±0.098 | 1.302 b ±0.129 | 0.874 a ±0.062 | |
| Trail | Date | Penetration Resistance PR [MPa] | |||||||||||
|---|---|---|---|---|---|---|---|---|---|---|---|---|---|
| Depth p1: 0.0–10.0 cm | Depth p2: 10.1–20.0 cm | Depth p3: 20.1–30.0 cm | |||||||||||
| LR | R | RR | Contr | LR | R | RR | Contr | LR | R | RR | Contr | ||
| Ht129U | T1 | 2.42 a ±1.68 | 4.24 b ±2.01 | 4.94 b ±1.26 | 2.24 a ±1.05 | 1.74 a ±0.76 | 2.81 ab ±0.86 | 3.80 b ±2.55 | 1.74 a ±1.49 | 2.72 a ±0.68 | 4.48 b ±1.35 | 2.74 a ±2.20 | 3.13 a ±1.88 |
| T2 | 2.16 a ±0.99 | 5.83 b ±4.66 | 5.30 b ±1.54 | 2.12 a ±0.62 | 1.62 a ±0.92 | 2.75 b ±0.85 | 3.03 b ±1.12 | 1.55 a ±0.95 | 2.67 a ±0.88 | 4.44 b ±1.31 | 2.25 a ±0.62 | 3.09 a ±1.64 | |
| Ht129L | T1 | 2.50 ab ±0.66 | 3.07 a ±2.13 | 3.48 a ±1.85 | 2.06 ab ±0.73 | 2.13 a ±0.95 | 4.74 b ±1.18 | 4.77 b ±2.17 | 1.62 a ±0.89 | 1.35 a ±0.68 | 3.20 a ±2.33 | 2.84 a ±2.20 | 2.74 a ±0.97 |
| T2 | 2.48 ab ±0.62 | 2.86 a ±1.64 | 3.19 a ±1.00 | 1.92 b ±0.64 | 2.28 a ±1.24 | 5.00 b ±1.54 | 4.86 b ±2.36 | 1.66 a ±0.92 | 1.19 a ±0.66 | 2.79 b ±0.90 | 2.23 b ±0.49 | 2.73 b ±0.92 | |
| Ht130U | T1 | 2.24 a ±0.96 | 6.87 b ±3.26 | 4.44 a ±4.07 | 2.21 a ±1.01 | 1.62 a ±0.98 | 7.39 b ±2.00 | 1.49 a ±0.26 | 1.74 a ±1.49 | 2.40 a ±0.78 | 5.60 b ±2.69 | 7.56 c ±5.12 | 3.09 a ±1.58 |
| T2 | 2.29 a ±1.40 | 7.40 b ±3.91 | 3.68 a ±1.26 | 2.47 a ±2.01 | 1.82 a ±1.12 | 7.30 b ±1.99 | 1.84 a ±0.69 | 1.32 a ±0.45 | 2.65 a ±0.19 | 5.37 a ±2.72 | 7.85 b ±4.57 | 3.09 a ±1.58 | |
| Ht130L | T1 | 2.09 a ±0.48 | 3.54 a ±1.72 | 4.71 b ±3.61 | 2.02 a ±0.56 | 3.38 a ±2.01 | 7.20 b ±5.36 | 8.84 b ±3.98 | 2.91 a ±0.91 | 1.59 a ±0.38 | 5.50 b ±6.10 | 4.95 a ±3.49 | 1.30 a ±0.32 |
| T2 | 2.12 a ±0.46 | 3.72 bc ±2.42 | 5.18 c ±3.59 | 2.52 ab ±1.32 | 2.92 a ±1.01 | 8.54 b ±5.32 | 8.54 c ±3.81 | 3.05 a ±1.12 | 1.69 a ±0.38 | 5.55 b ±6.00 | 5.22 a ±3.70 | 1.36 a ±0.70 | |
| Tt129U | T1 | 3.42 a ±1.04 | 7.92 b ±2.66 | 3.57 a ±1.12 | 2.12 a ±1.05 | 4.31 a ±0.88 | 8.29 b ±2.43 | 6.38 b ±1.99 | 1.97 a ±1.49 | 3.74 a ±1.32 | 5.66 a ±0.86 | 6.49 b ±4.83 | 4.08 a ±2.14 |
| T2 | 3.92 a ±1.17 | 7.63 b ±2.72 | 3.59 a ±1.12 | 2.15 a ±1.1 | 4.51 a ±0.88 | 8.48 c ±2.22 | 6.09 b ±1.99 | 2.42 a ±1.73 | 3.54 a ±1.39 | 6.10 b ±0.86 | 6.59 b ±4.83 | 4.02 a ±1.98 | |
| Tt129L | T1 | 4.23 a ±2.22 | 6.18 a ±1.95 | 4.71 a ±2.04 | 2.42 b ±3.55 | 5.85 a ±1.87 | 6.34 b ±1.97 | 5.35 ab ±2.16 | 1.75 c ±0.47 | 4.08 a ±1.66 | 4.89 a ±1.56 | 5.05 a ±1.79 | 5.67 b ±3.21 |
| T2 | 3.83 ab ±2.13 | 6.26 b ±2.04 | 4.83 ab ±2.05 | 2.51 a ±4.32 | 4.51 a ±1.85 | 6.43 ab ±2.05 | 5.49 b ±2.15 | 1.78 c ±0.39 | 4.18 a ±1.66 | 4.75 a ±1.56 | 4.90 a ±2.01 | 5.82 b ±3.4 | |
| Measurement Variant | Average/Maximum Slope Calculated for Profiles I and III (%) | |||||
|---|---|---|---|---|---|---|
| Ht129U | Ht129L | Ht130U | Ht130L | Tt129U | Tt129L | |
| Before skidding | 35.3/42.8 | 29.3/34.2 | 60.1/68.6 | 26.4/36.2 | 11.4/24.8 | 8.1/17.2 |
| After skidding | 40.4/44.6 | 26.0/31.8 | 50.3/58.8 | 26.9/35.2 | 25.2/39.0 | 3.1/19.2 |
| Change (%) | 14.2/4.2 | −11.3/−7.0 | −16.3/−14.3 | 1.8/−2.8 | −121.2/57.3 | −61.4/11.6 |
| Measurement Variant | Average/Maximum Depth on the Trail Calculated for Profiles I, II, and III (cm) | |||||
|---|---|---|---|---|---|---|
| Ht129U | Ht129L | Ht130U | Ht130L | Tt129U | Tt129L | |
| Before skidding | 10.5/22.4 | 14.4/28.2 | 41.8/67.9 | 31.9/49.8 | 128.5/142.9 | 36.9/46.0 |
| After skidding | 11.4/23.4 | 14.0/28.1 | 42.4/68.9 | 33.4/51.7 | 134.8/146.2 | 40.8/51.0 |
| Change (%) | 8.7/4.6 | −2.5/−0.6 | 1.4/1.5 | 4.8/3.9 | 4.9/2.3 | 10.5/10.8 |
| Soil Kind | Soil Volume (m3) for 10-m Trail Length | |||||
|---|---|---|---|---|---|---|
| Ht129U | Ht129L | Ht130U | Ht130L | Tt129U | Tt129L | |
| (lo) | 0.418 | 0.129 | 0.394 | 0.312 | 1.563 | 0.675 |
| (ap) | 0.028 | 0.158 | 0.274 | 0.119 | 0.249 | 0.241 |
| (lo) + (ap) | 0.446 | 0.288 | 0.669 | 0.431 | 1.812 | 0.917 |
| (lo) − (ap) | 0.390 | −0.029 | 0.120 | 0.194 | 1.314 | 0.434 |
| (lo)/(ap) *100 (%) | 1479.0 | 81.6 | 143.8 | 263.3 | 626.9 | 279.7 |
Publisher’s Note: MDPI stays neutral with regard to jurisdictional claims in published maps and institutional affiliations. |
© 2021 by the authors. Licensee MDPI, Basel, Switzerland. This article is an open access article distributed under the terms and conditions of the Creative Commons Attribution (CC BY) license (https://creativecommons.org/licenses/by/4.0/).
Share and Cite
Kormanek, M.; Gołąb, J. Analysis of Surface Deformation and Physical and Mechanical Parameters of Soils on Selected Skid Trails in the Gorce National Park. Forests 2021, 12, 797. https://doi.org/10.3390/f12060797
Kormanek M, Gołąb J. Analysis of Surface Deformation and Physical and Mechanical Parameters of Soils on Selected Skid Trails in the Gorce National Park. Forests. 2021; 12(6):797. https://doi.org/10.3390/f12060797
Chicago/Turabian StyleKormanek, Mariusz, and Janusz Gołąb. 2021. "Analysis of Surface Deformation and Physical and Mechanical Parameters of Soils on Selected Skid Trails in the Gorce National Park" Forests 12, no. 6: 797. https://doi.org/10.3390/f12060797
APA StyleKormanek, M., & Gołąb, J. (2021). Analysis of Surface Deformation and Physical and Mechanical Parameters of Soils on Selected Skid Trails in the Gorce National Park. Forests, 12(6), 797. https://doi.org/10.3390/f12060797

