The Effect of Crown Dimensions on Stem Profile for Dahurian Larch, Korean Spruce, and Manchurian Fir in Northeast China
Abstract
1. Introduction
2. Materials and Methods
2.1. Data Description
2.2. Taper Model
2.3. Model Derivation
2.4. Parameter Estimation/Model Fitting
2.5. Model Comparisons
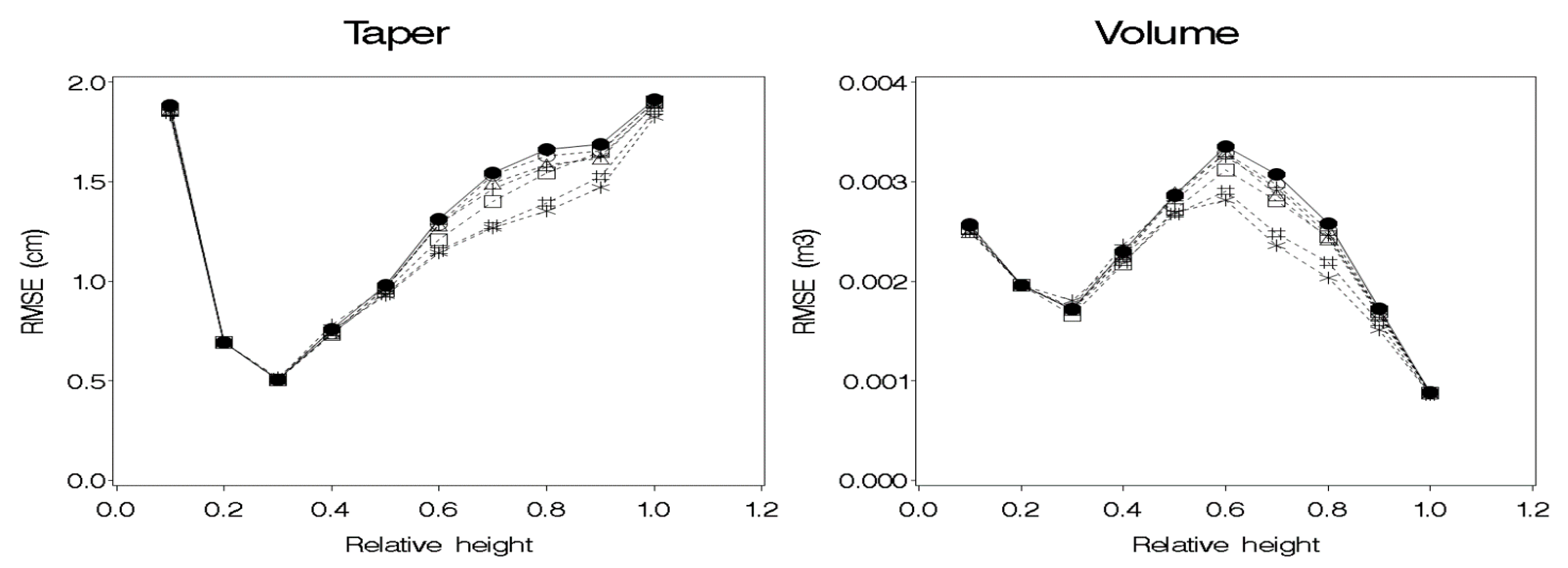
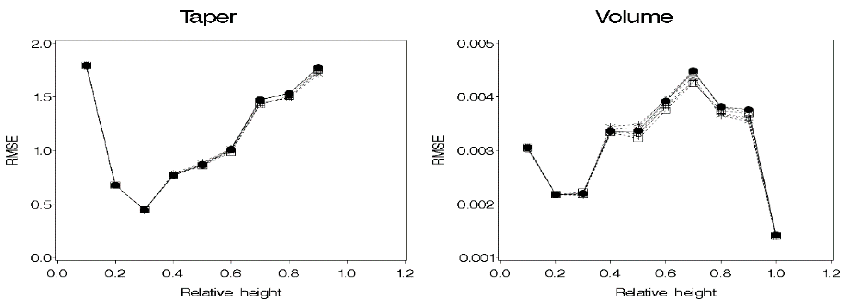
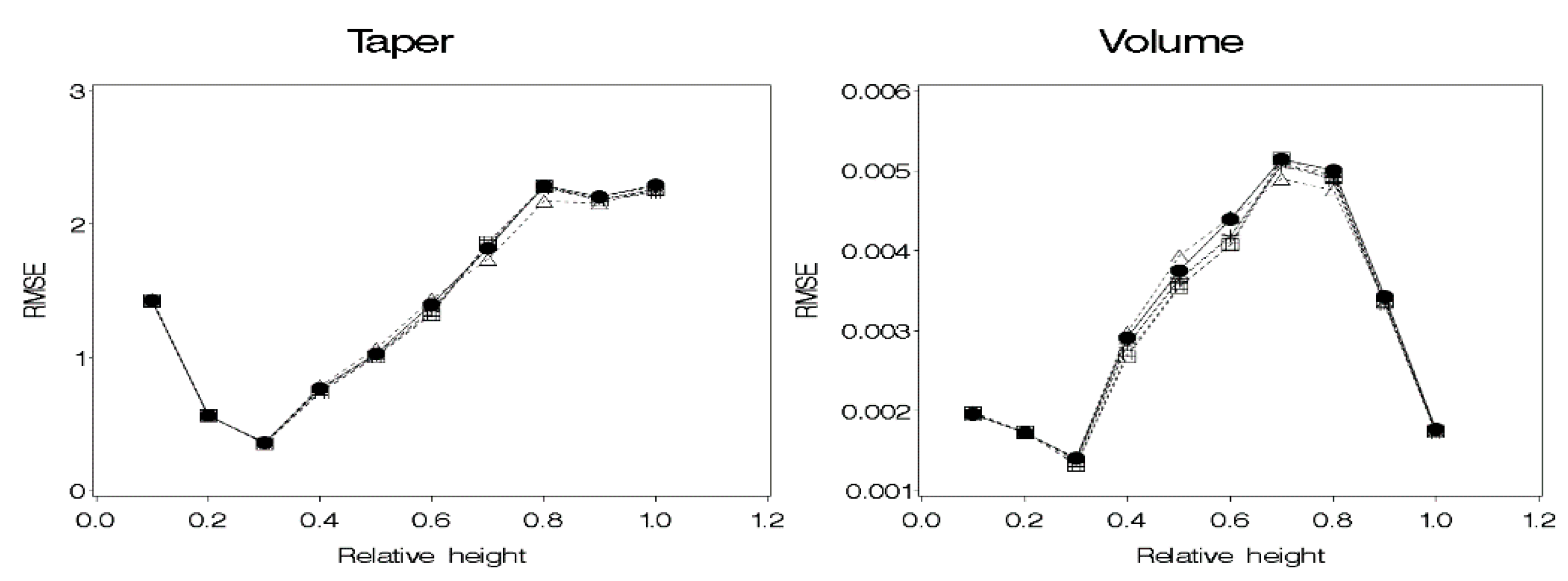
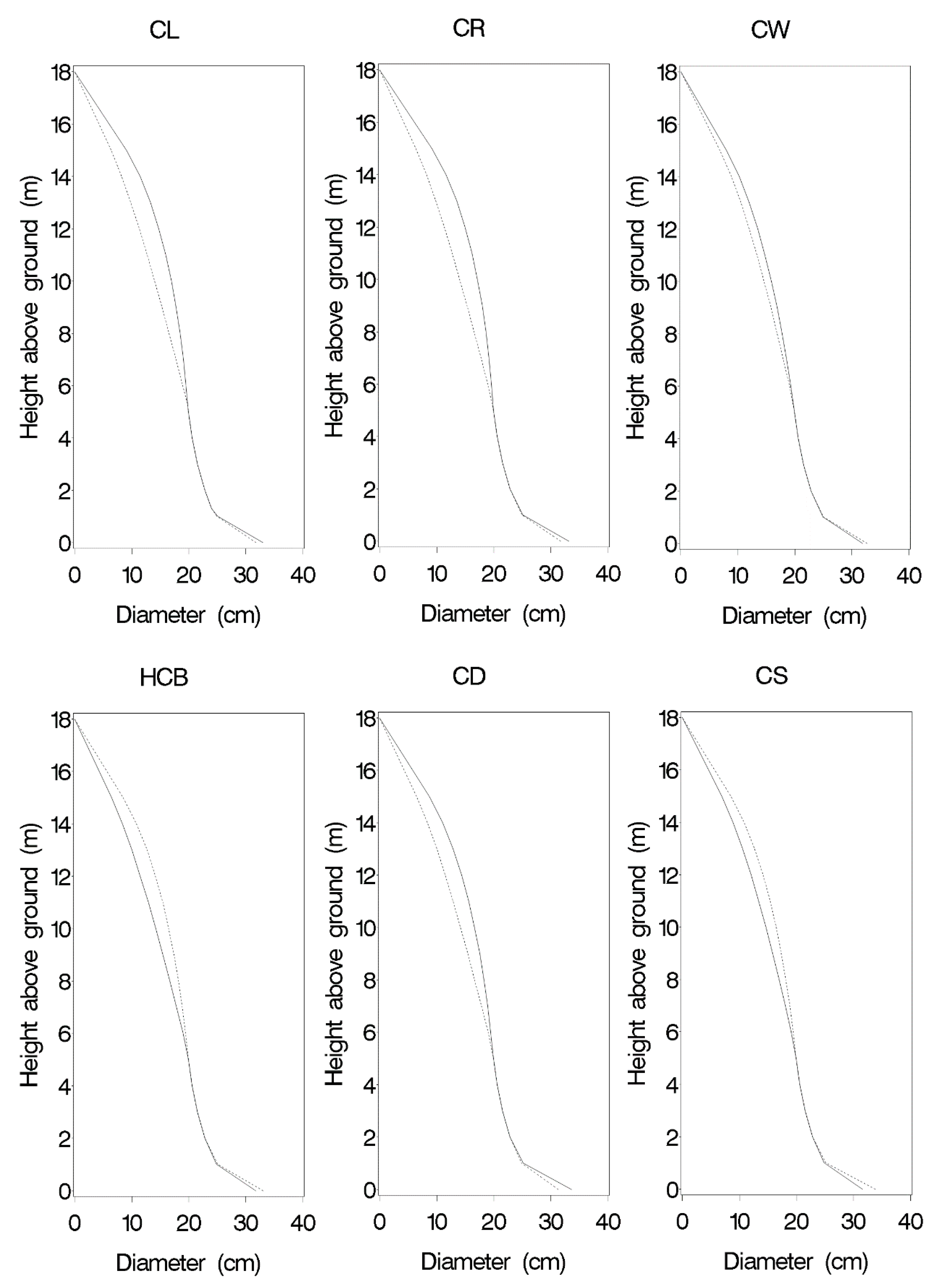
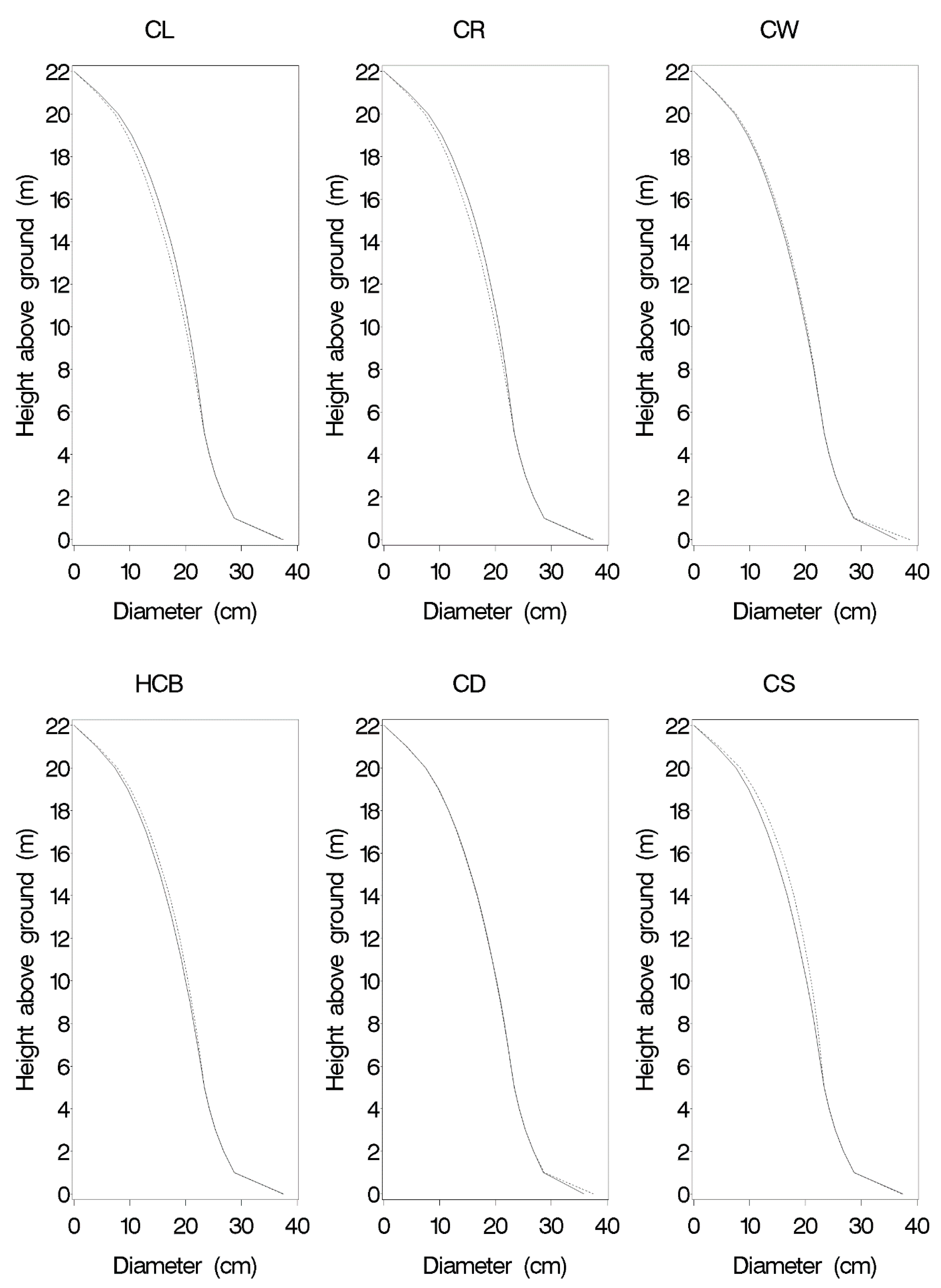
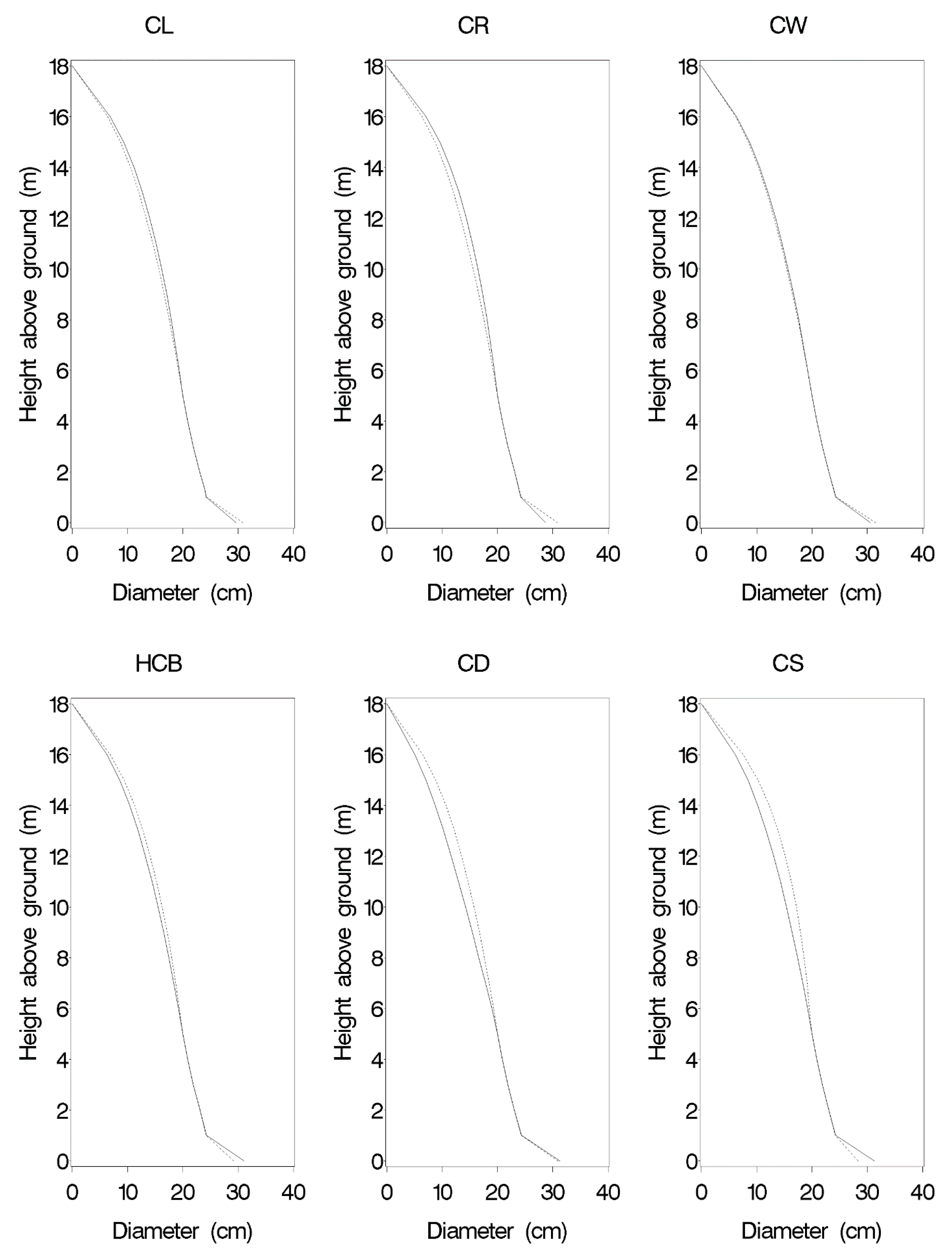
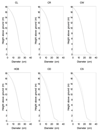
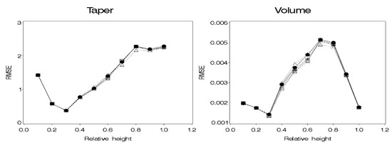
3. Results
4. Discussion
5. Conclusions
Author Contributions
Funding
Institutional Review Board Statement
Informed Consent Statement
Data Availability Statement
Acknowledgments
Conflicts of Interest
References
- Zhang, Y.; Liang, S. Changes in forest biomass and linkage to climate and forest disturbances over Northeastern China. Glob. Chang. Biol. 2014, 20, 2596–2606. [Google Scholar] [CrossRef]
- Shi, F.; Li, J.; Koike, T.; Nie, S. Resources of the white birch (Betula platyphylla) for sap production and its ecological charac-teristics in northeast China. Eurasian J. For. Res. 2001, 2, 31–38. [Google Scholar]
- Cai, H.; Zhang, S.; Yang, X. Forest Dynamics and Their Phenological Response to Climate Warming in the Khingan Mountains, Northeastern China. Int. J. Environ. Res. Public Health 2012, 9, 3943–3953. [Google Scholar] [CrossRef]
- Xu, J.; Xie, S.; Han, A.; Rao, R.; Huang, G.; Chen, X.; Hu, J.; Liu, Q.; Yang, X.; Zhang, L. Forest Resources in China—The 9th National Forest Inventory; National Forestry and Grassland Administration: Beijing, China, 2019; p. 29.
- Dong, L.; Jin, X.; Pukkala, T.; Li, F.; Liu, Z. How to manage mixed secondary forest in a sustainable way? Eur. J. For. Res. 2019, 138, 789–801. [Google Scholar] [CrossRef]
- Macfarlane, D.W.; Weiskittel, A.R. A new method for capturing stem taper variation for trees of diverse morphological types. Can. J. For. Res. 2016, 46, 804–815. [Google Scholar] [CrossRef]
- Hou, J.; Yin, R.; Wu, W. Intensifying Forest Management in China: What does it mean, why, and how? For. Policy Econ. 2019, 98, 82–89. [Google Scholar] [CrossRef]
- Li, R.; Weiskittel, A.R. Comparison of model forms for estimating stem taper and volume in the primary conifer species of the North American Acadian Region. Ann. For. Sci. 2010, 67, 302. [Google Scholar] [CrossRef]
- Liu, Y.; Yue, C.; Wei, X.; Blanco, J.A.; Trancoso, R. Tree profile equations are significantly improved when adding tree age and stocking degree: An example for Larix gmelinii in the Greater Khingan Mountains of Inner Mongolia, northeast China. Eur. J. For. Res. 2020, 139, 443–458. [Google Scholar] [CrossRef]
- Gomat, H.Y.; Deleporte, P.; Moukini, R.; Mialounguila, G.; Ognouabi, N.; Saya, A.R.; Vigneron, P.; Saint-Andre, L. What factors influence the stem taper of Eucalyptus: Growth, environmental conditions, or genetics? Ann. For. Sci. 2011, 68, 109–120. [Google Scholar] [CrossRef]
- Sharma, M.; Zhang, S. Variable-exponent taper equations for jack pine, black spruce, and balsam fir in eastern Canada. For. Ecol. Manag. 2004, 198, 39–53. [Google Scholar] [CrossRef]
- Calama, R.; Montero, G. Stand and tree-level variability on stem form and tree volume in Pinus pinea L.: A multilevel random components approach. Investig. Agrar. Sist. Y Recur. For. 2006, 15, 24–41. [Google Scholar] [CrossRef]
- Schneider, R.; Franceschini, T.; Fortin, M.; Saucier, J.-P. Climate-induced changes in the stem form of 5 North American tree species. For. Ecol. Manag. 2018, 427, 446–455. [Google Scholar] [CrossRef]
- Tasissa, G.; Burkhart, H.E. An application of mixed effects analysis to modeling thinning effects on stem profile of loblolly pine. For. Ecol. Manag. 1998, 103, 87–101. [Google Scholar] [CrossRef]
- Brooks, J.R.; Jiang, L.; Özçelik, R. Compatible stem volume and taper equations for Brutian pine, Cedar of Lebanon, and Cilicica fir in Turkey. For. Ecol. Manag. 2008, 256, 147–151. [Google Scholar] [CrossRef]
- Larson, P.R. Stem Form Development of Forest Trees. For. Sci. 1963, 9, a0001-42. [Google Scholar] [CrossRef]
- Panzou, G.J.L.; Feldpausch, T.R. Measuring Crown Dimensions for Tropical Forest Trees a Field Manual; NERC: Exeter, UK, 2020. [Google Scholar]
- Leites, L.P.; Robinson, A.P. Improving taper equations of loblolly pine with crown dimensions in a mixed-effects modeling framework. For. Sci. 2004, 50, 204–212. [Google Scholar]
- Bronisz, K.; Zasada, M. Comparison of Fixed—and Mixed-effects Approaches to Taper Modeling for Scots Pine in West Poland. Forests 2019, 10, 975. [Google Scholar] [CrossRef]
- Burkhart, H.E.; Walton, S.B. Incorporating crown ratio into taper equations for loblolly pine trees. For. Sci. 1985, 31, 478–484. [Google Scholar]
- Valenti, M.A.; Cao, Q.V. Use of crown ratio to improve loblolly pine taper equations. Can. J. For. Res. 1986, 16, 1141–1145. [Google Scholar] [CrossRef]
- Muhairwe, C.K.; Lemay, V.M.; Kozak, A. Effects of adding tree, stand, and site variables to Kozak’s variable-exponent taper equation. Can. J. For. Res. 1994, 24, 252–259. [Google Scholar] [CrossRef]
- Larocque, G.R.; Marshall, P.L. Crown development in red pine stands. I. Absolute and relative growth measures. Can. J. For. Res. 1994, 24, 762–774. [Google Scholar] [CrossRef]
- Kozak, A. A variable-exponent taper equation. Can. J. For. Res. 1988, 18, 1363–1368. [Google Scholar] [CrossRef]
- Max, T.A.; Burkhart, H.E. Segmented Polynomial Regression Applied to Taper Equations. For. Sci. 1976, 22, 283–289. [Google Scholar]
- Jiang, L.; Brooks, J.R.; Hobbs, G.R. Using crown ratio in yellow-poplar compatible taper and volume equations North. J. Appl. For. 2007, 24, 271–275. [Google Scholar]
- Özcelik, R.; Bal, C. Effects of adding crown variables in stem taper and volume predictions for black pine. Turk. J. Agric. For. 2013, 37, 231–242. [Google Scholar] [CrossRef]
- Jiang, L.-C.; Liu, R.-L. Segmented taper equations with crown ratio and stand density for Dahurian Larch (Larix gmelinii) in Northeastern China. J. For. Res. 2011, 22, 347–352. [Google Scholar] [CrossRef]
- Burkhart, H.E.; Tomé, M. Modeling Forest Trees and Stands; Springer Science & Business Media: Berlin/Heidelberg, Germany, 2012. [Google Scholar]
- Sharma, M. Incorporating stand density effects in modeling the taper of red pine plantations. Can. J. For. Res. 2020, 50, 751–759. [Google Scholar] [CrossRef]
- Weiskittel, A.R.; Hann, D.W.; Kershaw, J.A.; Vanclay, J.K. Forest Growth and Yield Modeling; Wiley: Hoboken, NJ, USA, 2011. [Google Scholar]
- Trincado, G.; Burkhart, H.E. A generalized approach for modeling and localizing stem profile curves. For. Sci. 2006, 52, 670–682. [Google Scholar] [CrossRef]
- Cao, Q.V.; Wang, J. Evaluation of Methods for Calibrating a Tree Taper Equation. For. Sci. 2015, 61, 213–219. [Google Scholar] [CrossRef]
- Clark, A. Stem Profile Equations for Southern Tree Species; Southeastern Forest Experiment Station: Asheville, NC, USA, 1991; Volume 282. [Google Scholar]
- Tan, K.; Piao, S.; Peng, C.; Fang, J. Satellite-based estimation of biomass carbon stocks for northeast China’s forests between 1982 and 1999. For. Ecol. Manag. 2007, 240, 114–121. [Google Scholar] [CrossRef]
- Burger, D.; Shidong, Z. An Introductory Comparison of Forest Ecological Conditions in Northeast China and Ontario, Canada. For. Chron. 1988, 64, 105–115. [Google Scholar] [CrossRef][Green Version]
- Burkhart, H.E.; Avery, T.E.; Bullock, B.P. Forest Measurements, 6th ed.; Waveland Press: Long Grove, IL, USA, 2019; p. 434. [Google Scholar]
- SAS Institute Inc. SAS/STAT® 9.2 User’s Guide; SAS Institute Inc.: Cary, NC, USA, 2008; p. 2876. [Google Scholar]
- Hussain, A.; Shahzad, M.K.; He, P.; Jiang, L. Stem taper equations for three major conifer species of Northeast China. Scand. J. For. Res. 2020, 35, 562–576. [Google Scholar] [CrossRef]
- Figueiredo-Filho, A.; Borders, B.E.; Hitch, K.L. Taper equations for Pinus taeda plantations in Southern Brazil. For. Ecol. Manag. 1996, 83, 39–46. [Google Scholar] [CrossRef]
- Özçelik, R.; Brooks, J.R. Compatible volume and taper models for economically important tree species of Turkey. Ann. For. Sci. 2012, 69, 105–118. [Google Scholar] [CrossRef]
- Grégoire, T.G.; Schabenberger, O.; Barrett, J.P. Linear modelling of irregularly spaced, unbalanced, longitudinal data from permanent-plot measurements. Can. J. For. Res. 1995, 25, 137–156. [Google Scholar] [CrossRef]
- Smith, D.M.; Larson, B.C.; Kelty, M.J.; Ashton, P.M.S. The Practice of Silviculture: Applied Forest Ecology, 9th ed; John Wiley and Sons Inc.: New York, NY, USA, 1997. [Google Scholar]
- Pressler, M.R. Das Gesetz der Stammbildung; Arnoldische Buchhandlung: Leipzig, Germany, 1864. [Google Scholar]
- Hann, D.W.; Walters, D.K.; Scrivani, J.A. Incorporating crown ratio into prediction equations for Douglas-fir stem volume. Can. J. For. Res. 1987, 17, 17–22. [Google Scholar] [CrossRef]
- Yang, Y.; Huang, S.; Trincado, G.; Meng, S.X. Nonlinear mixed-effects modeling of variable-exponent taper equations for lodgepole pine in Alberta, Canada. Eur. J. For. Res. 2009, 128, 415–429. [Google Scholar] [CrossRef]
- McTague, J.P.; Weiskittel, A.R. Evolution, history, and use of stem taper equations: A review of their development, application, and implementation. Can. J. For. Res. 2021, 51, 210–235. [Google Scholar] [CrossRef]
- Dean, T.J.; Roberts, S.D.; Gilmore, D.W.; Maguire, D.A.; Long, J.N.; O’Hara, K.L.; Seymour, R.S. An evaluation of the uniform stress hypothesis based on stem geometry in selected North American conifers. Trees 2002, 16, 559–568. [Google Scholar] [CrossRef]







| Species | Variables | Mean | SD | Minimum | Maximum |
|---|---|---|---|---|---|
| Dahurian larch No. trees 110 | D (cm) | 24.37 | 5.64 | 8.6 | 40.2 |
| H (m) | 18.68 | 2.57 | 8.9 | 24.6 | |
| d (cm) | 17.61 | 8.89 | 1.0 | 54.4 | |
| h (m) | 7.90 | 6.03 | 0.3 | 24.0 | |
| Korean spruce No. trees 103 | D (cm) | 29.21 | 7.36 | 10.8 | 49.5 |
| H (m) | 22.00 | 3.61 | 10.0 | 30.7 | |
| d (cm) | 22.01 | 10.08 | 1.0 | 75.3 | |
| h (m) | 10.37 | 7.30 | 0.3 | 1.3 | |
| Manchurian fir No. trees 64 | D (cm) | 26.10 | 6.01 | 5.5 | 40.2 |
| H (m) | 19.99 | 2.98 | 7.3 | 25.9 | |
| d (cm) | 19.13 | 9.25 | 1.1 | 47.4 | |
| h (m) | 9.52 | 6.66 | 0.3 | 25.9 |
| Species | Random Parameters | AIC (Smaller Is Better) | BIC (Smaller Is Better) | −2Ln(L) (Smaller Is Better) |
|---|---|---|---|---|
| Dahurian larch | None * | 8580 | 8620 | 8566 |
| 8014 | 8036 | 7998 | ||
| , | 7194 | 7221 | 7174 | |
| Korean spruce | None * | 9028 | 9069 | 9014 |
| 8497 | 8518 | 8481 | ||
| , | 7666 | 7693 | 7647 | |
| Manchurian fir | None * | 5469 | 5506 | 5455 |
| 4832 | 4850 | 4816 | ||
| , | 4595 | 4616 | 4575 |
| b1 | b2 | b3 | b4 | b5 | b6 | λ2 | λ6 | |
|---|---|---|---|---|---|---|---|---|
| Dahurian Larch | ||||||||
| Clark model without crown | 25.488 (1.736) | 0.768 (0.015) | 509.46 (130.8) | 6.483 (0.935) | 0.764 (0.015) | 2.490 (0.094) | ||
| Clark model with CL | 25.127 (1.682) | 0.920 (0.059) | 357.755 (141.4) | 6.495 (0.866) | 0.782 (0.013) | 4.626 (0.266) | −0.014 (0.005) | −0.195 (0.019) |
| Clark model with CR | 25.238 (1.692) | 0.943 (0.063) | 416.651 (133.3) | 6.495 (0.877) | 0.776 (0.013) | 4.689 (0.286) | −0.321 (0.112) | −4.040 (0.433) |
| Clark model with CW | 25.533 (1.732) | 0.692 (0.051) | 597.44 (144.2) | 6.484 (0.926) | 0.768 (0.014) | 3.114 (0.191) | 0.011 * (0.007) | −0.095 (0.023) |
| Clark model with HCB | 25.4212 (1.716) | 0.632 (0.052) | 545.94 (130.8) | 6.491 (0.905) | 0.766 (0.014) | 1.221 (0.170) | 0.014 (0.005) | 0.138 (0.019) |
| Clark model with CD | 25.257 (1.708) | 0.9939 (0.068) | 234.08* (150.5) | 6.496 (0.908) | 0.772 (0.014) | 3.806 (0.243) | −0.011 (0.003) | −0.067 (0.010) |
| Clark model with CS | 25.404 (1.718) | 0.626 (0.040) | 459.27 (131.6) | 6.487 (0.920) | 0.769 (0.015) | 1.872 (0.144) | 0.231 (0.059) | 1.019 (0.218) |
| Korean Spruce | ||||||||
| Clark model without crown | 43.445 (2.014) | 0.721 (0.015) | 1509.32 (262.1) | 6.737 (1.275) | 0.926 (0.005) | 8.612 (0.506) | ||
| Clark model with CL | 43.464 (2.008) | 0.681 (0.040) | 1573.14 (269.0) | 6.771 (1.261) | 0.929 (0.005) | 10.466 (0.724) | 0.003 * (0.002) | −0.112 (0.025) |
| Clark model with CR | 43.437 (2.006) | 0.679 (0.039) | 1464.28 (263.9) | 6.765 (1.261) | 0.928 (0.005) | 10.509 (0.737) | 0.073 * (0.065) | −2.946 (0.664) |
| Clark model with CW | 43.436 (2.012) | 0.551 (0.061) | 2009.01 (318.9) | 6.737 (1.274) | 0.926 (0.005) | 8.278 (0.645) | 0.021 (0.007) | 0.045 * (0.061) |
| Clark model with HCB | 43.405 (2.007) | 0.732 (0.035) | 1470.63 (281.9) | 6.757 (1.265) | 0.927 (0.005) | 7.665 (0.503) | −0.001 * (0.002) | 0.103 (0.025) |
| Clark model with CD | 43.442 (2.015) | 0.685 (0.061) | 1632.88 (332.1) | 6.745 (1.275) | 0.927 (0.005) | 9.078 (0.666) | 0.001 * (0.002) | −0.016 * (0.015) |
| Clark model with CS | 43.416 (2.007) | 0.733 (0.029) | 1498.20 (262.8) | 6.765 (1.262) | 0.928 (0.005) | 7.695 (0.516) | −0.021 * (0.042) | 2.063 (0.486) |
| Manchurian Fir | ||||||||
| Clark model without crown | 49.283 (3.048) | 0.648 (0.014) | 272.64 (81.87) | 4.011 (1.595) | 0.858 (0.012) | 4.057 (0.254) | ||
| Clark model with CL | 49.980 (3.063) | 0.446 (0.056) | 344.53 (86.00) | 4.005 (1.584) | 0.865 (0.012) | 5.217 (0.531) | 0.013 (0.003) | −0.065 (0.026) |
| Clark model with CR | 50.064 (3.035) | 0.319 (0.065) | 315.37 (81.71) | 3.943 (1.573) | 0.866 (0.011) | 5.697 (0.611) | 0.439 (0.086) | −2.007 (0.654) |
| Clark model with CW | 49.365 (3.050) | 0.571 (0.059) | 286.65 (82.98) | 4.015 (1.596) | 0.859 (0.012) | 4.259 (0.521) | 0.013 * (0.009) | −0.029 * (0.073) |
| Clark model with HCB | 49.868 (3.029) | 0.754 (0.027) | 257.67 (80.21) | 3.913 (1.576) | 0.863 (0.011) | 3.690 (0.278) | −0.019 (0.004) | 0.084 (0.030) |
| Clark model with CD | 49.109 (3.031) | 0.689 (0.063) | 254.32 (86.66) | 3.998 (1.575) | 0.864 (0.012) | 2.333 (0.417) | −0.002 * (0.002) | 0.073 (0.017) |
| Clark model with CS | 49.807 (3.060) | 0.757 (0.041) | 325.83 (84.68) | 4.006 (1.587) | 0.861 (0.012) | 3.353 (0.389) | −0.278 (0.098) | 1.885 (0.838) |
| Species and Models | RMSE | FI |
|---|---|---|
| Dahurian Larch | ||
| Clark model without crown | 1.1886 | 0.9822 |
| Clark model with CL | 1.1573 | 0.9831 |
| Clark model with CR | 1.1614 | 0.9830 |
| Clark model with CW | 1.1841 | 0.9823 |
| Clark model with HCB | 1.1739 | 0.9826 |
| Clark model with CD | 1.1746 | 0.9826 |
| Clark model with CS | 1.1794 | 0.9825 |
| Korean Spruce | ||
| Clark Model without crown | 1.2048 | 0.9857 |
| Clark Model with CL | 1.2001 | 0.9859 |
| Clark Model with CR | 1.2000 | 0.9859 |
| Clark Model with CW | 1.2032 | 0.9858 |
| Clark Model with HCB | 1.2011 | 0.9858 |
| Clark Model with CD | 1.2049 | 0.9858 |
| Clark Model with CS | 1.2006 | 0.9859 |
| Manchurian Fir | ||
| Clark Model without crown | 1.1360 | 0.9850 |
| Clark Model with CL | 1.1292 | 0.9852 |
| Clark Model with CR | 1.1232 | 0.9854 |
| Clark Model with CW | 1.1360 | 0.9850 |
| Clark Model with HCB | 1.1252 | 0.9853 |
| Clark Model with CD | 1.1292 | 0.9852 |
| Clark Model with CS | 1.1317 | 0.9851 |
Publisher’s Note: MDPI stays neutral with regard to jurisdictional claims in published maps and institutional affiliations. |
© 2021 by the authors. Licensee MDPI, Basel, Switzerland. This article is an open access article distributed under the terms and conditions of the Creative Commons Attribution (CC BY) license (http://creativecommons.org/licenses/by/4.0/).
Share and Cite
Hussain, A.; Shahzad, M.K.; Jiang, L. The Effect of Crown Dimensions on Stem Profile for Dahurian Larch, Korean Spruce, and Manchurian Fir in Northeast China. Forests 2021, 12, 398. https://doi.org/10.3390/f12040398
Hussain A, Shahzad MK, Jiang L. The Effect of Crown Dimensions on Stem Profile for Dahurian Larch, Korean Spruce, and Manchurian Fir in Northeast China. Forests. 2021; 12(4):398. https://doi.org/10.3390/f12040398
Chicago/Turabian StyleHussain, Amna, Muhammad Khurram Shahzad, and Lichun Jiang. 2021. "The Effect of Crown Dimensions on Stem Profile for Dahurian Larch, Korean Spruce, and Manchurian Fir in Northeast China" Forests 12, no. 4: 398. https://doi.org/10.3390/f12040398
APA StyleHussain, A., Shahzad, M. K., & Jiang, L. (2021). The Effect of Crown Dimensions on Stem Profile for Dahurian Larch, Korean Spruce, and Manchurian Fir in Northeast China. Forests, 12(4), 398. https://doi.org/10.3390/f12040398
