Influence of Canopy Interception and Rainfall Kinetic Energy on Soil Erosion under Forests
Abstract
1. Introduction
2. Material and Methods
2.1. Study Area
2.2. Data Collection and Calculation
2.2.1. Open Rainfall and Canopy Interception
2.2.2. Raindrop Sampling and Measurement
2.2.3. Raindrop Velocity
2.2.4. Kinetic Energy of Drops and Soil Loss
3. Results
3.1. Influence of Canopy on Rainfall Re-Distribution
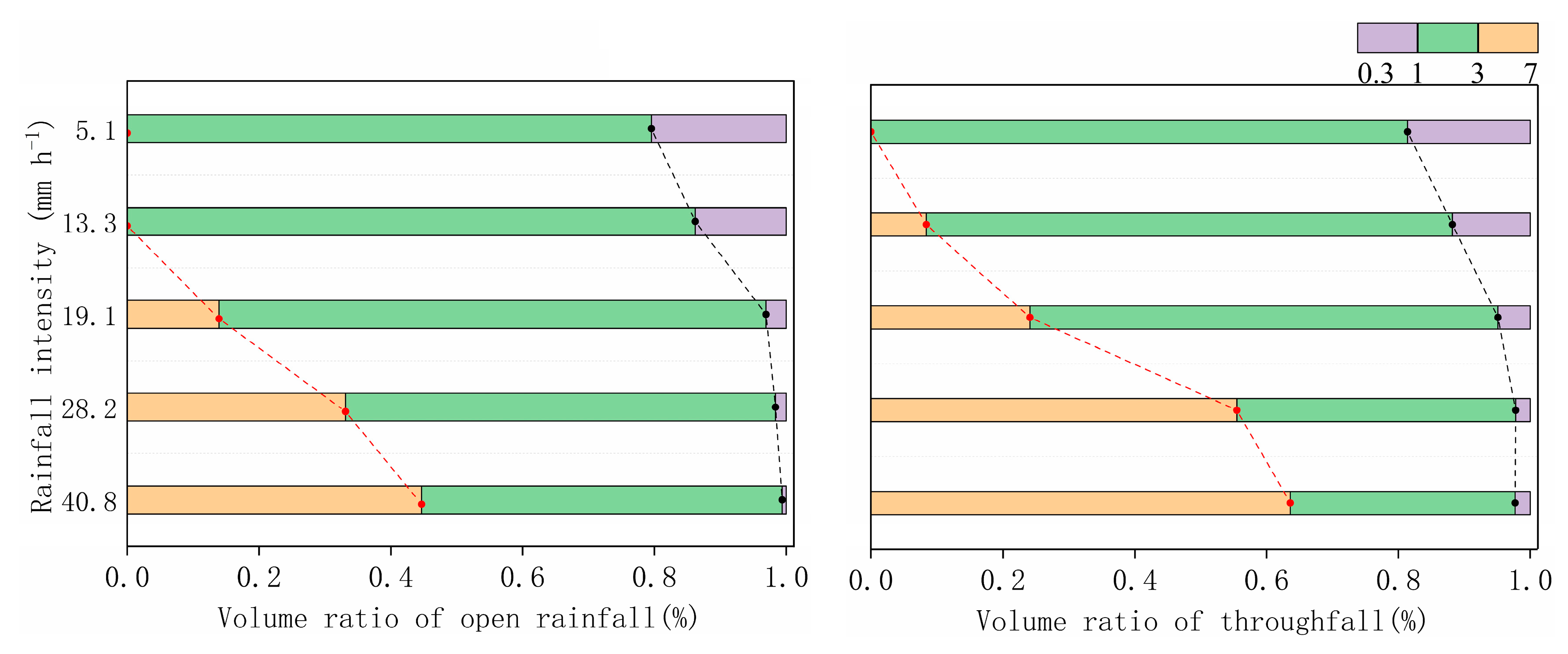
3.2. Influence of the Canopy on Characteristics of Raindrops
3.3. Influence of Canopy on Rainfall Kinetic Energy
3.4. Comparison of Soil Loss Inside and Outside the Forest
4. Discussion
4.1. Influence of masson pine’s Canopy on TKE
4.2. Effect of masson pine Forest on Sediment Reduction
5. Conclusions
Author Contributions
Funding
Acknowledgments
Conflicts of Interest
References
- Liang, Y.; Li, D.C.; Lu, X.X.; Yang, X.; Pan, X.Z.; Mu, H.; Shi, D.; Zhang, B. Soil erosion changes over the past five decades in the red soil region of southern China. J. Mt. Sci. 2010, 7, 92–99. [Google Scholar] [CrossRef]
- Li, C.K. Red Soils of China; Science Press: Beijing, China, 1983; pp. 74–127. (In Chinese) [Google Scholar]
- Zhang, M.K.; Xu, J.M. Restoration of surface soil fertility of an eroded red soil in southern China. Soil Tillage Res. 2005, 80, 13–21. [Google Scholar] [CrossRef]
- Zhao, Q.G. Some considerations for present soil and water conservation and ecology security of south China. Bull. Soil Water Conserv. 2006, 26, 1–8. [Google Scholar]
- Wang, W.H.; Ma, X.Q.; Nizami, S.M.; Tian, C.; Guo, F.T. Anthropogenic and biophysical factors associated with vegetation restoration in Changting, China. Forests 2018, 9, 306. [Google Scholar] [CrossRef]
- Morgan, R.P.C. Soil Erosion and Conservation, 3rd ed.; Blackwell Publishing: Oxford, UK, 2005. [Google Scholar]
- Geißler, C.; Kühn, P.; Böhnke, M.; Bruelheide, H.; Shi, X.; Scholten, T. Splash erosion potential under tree canopies in subtropical SE China. Catena 2012, 174, 596–601. [Google Scholar] [CrossRef]
- Guerra-De la Cruz, V.; Galicia, L. Tropical and highland temperate forest plantations in Mexico: Pathways for climate change mitigation and ecosystem services delivery. Forests 2017, 8, 489. [Google Scholar] [CrossRef]
- Karamage, F.; Shao, H.; Chen, X.; Ndayisaba, F.; Nahayo, L.; Kayiranga, A.; Omifolaji, K.J.; Liu, T.; Zhang, C. Deforestation effects on soil erosion in the Lake Kivu Basin, D.R. congo–rwanda. Forests 2016, 7, 281. [Google Scholar] [CrossRef]
- Cao, L.X.; Liang, Y.; Wang, Y.; Lu, H.Z. Runoff and soil loss from Pinus massoniana forest in southern China after simulated rainfall. Catena 2015, 129, 1–8. [Google Scholar] [CrossRef]
- Zhang, W.T.; Yu, D.S.; Shi, X.Z.; Tan, M.Z.; Liu, L.S. Variation of sediment concentration and its drivers under different soil management systems. Pedosphere 2010, 20, 578–585. [Google Scholar] [CrossRef]
- Li, G.; Liang, Y.; Cao, L.X. Effects of different vegetation restoration patterns on soil erosion in secondary Pinus massoniana pure forest. Sci. Soil Water Conserv. 2012, 10, 25–31. (In Chinese) [Google Scholar]
- Gu, Z.J.; Wu, X.X.; Zhou, F.; Luo, H.; Shi, X.Z.; Yu, D.S. Estimating the effect of Pinus massoniana Lamb plots on soil and water conservation during rainfall events using vegetation fractional coverage. Catena 2013, 109, 225–233. [Google Scholar] [CrossRef]
- Nanko, K.; Hotta, N.; Suzuki, M. Evaluating the influence of canopy species and meteorological factors on throughfall drop size distribution. J. Hydrol. 2006, 329, 422–431. [Google Scholar] [CrossRef]
- Zhou, G.Y.; Wei, X.H.; Yan, J.H. Impacts of eucalyptus (Eucalyptus exserta) plantation on sediment yield in Guangdong Province, southern China–a kinetic energy approach. Catena 2002, 49, 231–251. [Google Scholar] [CrossRef]
- Liu, J.Q.; Liu, W.J.; Li, W.X.; Jiang, X.J.; Wu, J.E. Effects of rainfall on the spatial distribution of the throughfall kinetic energy on a small scale in a rubber plantation. Hydrol. Sci. J. 2018, 63, 1–13. [Google Scholar] [CrossRef]
- Brandt, C.J. Simulation of the size distribution and erosivity of raindrops and throughfall drops. Earth Surf. Process. Landf. 1990, 15, 687–698. [Google Scholar] [CrossRef]
- Chapman, G. Size of raindrops and their striking force at the soil surface in a red pine plantation. Eos Trans. Am. Geophys. Union. 1948, 29, 664–670. [Google Scholar] [CrossRef]
- Mosley, M.P. The effect of a New Zealand beech forest canopy on the kinetic energy of water drops and on surface erosion. Earth Surf. Process. Landf. 1982, 7, 103–107. [Google Scholar] [CrossRef]
- Nanko, K.; Onda, Y.; Ito, A.; Moriwaki, H. Effect of canopy thickness and canopy saturation on the amount and kinetic energy of throughfall: An experimental approach. Geophys. Res. Lett. 2008, 35, L05401. [Google Scholar] [CrossRef]
- Calder, I.R.; Hall, R.L.; Prasannab, K.T. Hydrological impact of Eucalyptus plantation in India. J. Hydrol. 1993, 150, 635–648. [Google Scholar] [CrossRef]
- Levia, D.F.; Hudson, S.A.; Llorens, P.; Nanko, K. Throughfall drop size distributions: a review and prospectus for future research. Wiley Interdiscip. Rev. Water 2017, 4, e1225. [Google Scholar] [CrossRef]
- Zabret, K.; Rakovec, J.; Mikoš, M.; Šraj, M. Influence of raindrop size distribution on throughfall dynamics under Pine and Birch trees at the rainfall event level. Atmosphere 2017, 8, 240. [Google Scholar] [CrossRef]
- Nanko, K.; Giambelluca, T.W.; Sutherland, R.A.; Mudd, R.G.; Nullet, M.A.; Ziegler, A.D. Erosion potential under miconia calvescens stands on the island of Hawai‘i. Land Degrad. Dev. 2015, 26, 218–226. [Google Scholar] [CrossRef]
- Goebes, P.; Schmidt, K.; Hardtle, W.; Seitz, S.; Stumpf, F.; Von Oheimb, F.; Scholten, T. Rule–based analysis of throughfall kinetic energy to evaluate biotic and abiotic factor thresholds to mitigate erosive power. Prog. Phys. Geogr. 2016, 40, 431–449. [Google Scholar] [CrossRef]
- Wiesner, J. Beiträge zur kentniss der grösze des tropischen regens. Akademie der Wissenschaften Mathematika-Naturwissenschaften Klasse 1895, 104, 1397–1434. (In German) [Google Scholar]
- Nanko, K.; Onda, Y.; Ito, A.; Moriwaki, H. Spatial variability of throughfall under a single tree: Experimental study of rainfall amount, raindrops, and kinetic energy. Agric. For. Meteorol. 2011, 151, 1173–1182. [Google Scholar] [CrossRef]
- Van Dijk, A.I.J.M.; Bruijnzeel, L.A.; Rosewell, C.J. Rainfall intensity–kinetic energy relationships: A critical literature appraisal. J. Hydrol. 2002, 261, 1–23. [Google Scholar] [CrossRef]
- Wang, P.K.; Pruppacher, H.R. Acceleration to terminal velocity of cloud and raindrops. J. Appl. Meteorol. 1977, 16, 275–280. [Google Scholar] [CrossRef]
- Xu, R. Kinetic energy calculation method for natural rainfall and artificial rainfall. Sci. Soil Water Conserv. 1983, 3, 37–39. (In Chinese) [Google Scholar]
- Tsukamoto, Y. Raindrops under forest canopies and splash erosion (in Japanese with an English summary). Bull. Exp. For. Tokyo Univ. Agric. Technol. 1966, 5, 65–77. [Google Scholar]
- Kinnell, P.I.A. Rainfall intensity–kinetic energy relationships for soil loss prediction. Soil Sci. Soc. Am. Proc. 1980, 45, 153–155. [Google Scholar] [CrossRef]
- Dash, C.J.; Adhikary, P.P.; Das, N.K.; Alarm, N.M.; Mandal, U.; Mishra, P.K. Comparison of rainfall kinetic energy–intensity relationships for Eastern Ghats Highland region of India. Nat. Hazards 2018, 93, 547–558. [Google Scholar] [CrossRef]
- Hall, L.R. Interception loss as a function of rainfall and forest types: Stochastic modeling for tropical canopies revised. J. Hydrol. 2003, 280, 1–12. [Google Scholar] [CrossRef]
- Levia, D.F.; Nanko, K.; Amasaki, H.; Giambelluca, T.W.; Hotta, N.; Iida, S.; Mudd, R.G.; Nullet, M.A.; Sakai, N.; Shinohara, Y.; et al. Throughfall partitioning by trees. Hydrol. Process. 2019, 33, 1698–1708. [Google Scholar] [CrossRef]
- Hall, R.L.; Calder, I.R. Drop size modification by forest canopies: measurements using a disdrometer. J. Geophys. Res. 1993, 98, 18465–18470. [Google Scholar] [CrossRef]
- Song, Z.; Seitz, S.; Zhu, P.; Goebes, P.; Shi, X.Z.; Xu, S.X.; Wang, M.Y.; Schmidt, K.; Scholten, T. Spatial distribution of LAI and its relationship with throughfall kinetic energy of common tree species in a Chinese subtropical forest plantation. For. Ecol. Manag. 2018, 425, 189–195. [Google Scholar] [CrossRef]
- Brandt, J. The transformation of rainfall energy by a tropical rain forest canopy in relation to soil erosion. J. Biogeogr. 1988, 15, 41–48. [Google Scholar] [CrossRef]
- Linsley, R.K.; Kohler, M.A.; Paulhus, J.L.H. Hydrology for Engineers, 2nd ed.; McGraw–Hill: New York, NY, USA, 1975; pp. 399–401. [Google Scholar]
- Shainberg, I.; Mamedov, A.I.; Levy, G.J. Role of wetting rate and rain energy in seal formation and erosion. Soil Sci. 2003, 168, 54–62. [Google Scholar] [CrossRef]
- Xiao, H.; Liu, G.; Abd-Elbasit, M.A.M.; Zhang, A.C.; Liu, P.L.; Zheng, F.L.; Zhang, J.Q.; Hu, F.N. Effects of slaking and mechanical breakdown on disaggregation and splash erosion. Eur. J. Soil Sci. 2017, 68, 795–796. [Google Scholar] [CrossRef]
- Hyunwook, C.; Ka–Hyun, P.; Jongmook, W.; Susan, B. Resistance of coarse–grained particles against raindrop splash and its relation with splash erosion. Soil Tillage Res. 2018, 184, 1–10. [Google Scholar]
- Fang, N.F.; Shi, Z.H.; Li, L.; Guo, Z.L.; Liu, Q.J.; Ai, L. The effects of rainfall regimes and land use changes on runoff and soil loss in a small mountainous watershed. Catena 2012, 99, 1–8. [Google Scholar] [CrossRef]
- Wei, W.; Jia, F.Y.; Yang, L.; Chen, L.D.; Zhang, H.D.; Yu, Y. Effects of surficial condition and rainfall intensity on runoff in a loess hilly area, China. J. Hydrol. 2014, 513, 115–126. [Google Scholar] [CrossRef]
- Dai, Q.H.; Peng, X.D.; Wang, P.J.; Li, C.L.; Shao, H.B. Surface erosion and underground leakage of yellow soil on slopes in karst regions of southwest China. Land Degrad. Dev. 2018, 29, 2438–2448. [Google Scholar] [CrossRef]
- Elwell, H.A.; Stocking, M.A. Vegetal cover to estimate soil erosion hazard in Rhodesia. Geoderma 1976, 15, 61–70. [Google Scholar] [CrossRef]
- Feng, Q.; Zhao, W.W.; Wang, J.; Zhang, X.; Zhao, M.Y.; Zhong, L.; Liu, Y.X.; Fang, X.N. Effects of different land-use types on soil erosion under natural rainfall in the loess plateau, China. Pedosphere 2016, 26, 243–256. [Google Scholar] [CrossRef]
- Miyata, S.; Kosugi, K.; Gomi, T.; Mizuyama, T. Effects of forest floor coverage on overland flow and soil erosion on hillslopes in Japanese cypress plantation forests. Water Resour. Res. 2009, 45, 192–200. [Google Scholar] [CrossRef]









| Rainfall Events | Average Rainfall Intensity/mm h−1 | Rainfall/mm | Rainfall Duration/min | Throughfall/mm | Stem Flow/mm | Canopy Interception/mm |
|---|---|---|---|---|---|---|
| 1 | 2.1 | 2.1 | 60 | 0.7 | 0.0 | 1.4 |
| 2 | 2.4 | 3.1 | 78 | 1.4 | 0.0 | 1.7 |
| 3 | 3.5 | 4.1 | 70 | 1.8 | 0.1 | 2.2 |
| 4 | 4.8 | 30.1 | 375 | 24.0 | 0.6 | 5.6 |
| 5 | 5.1 | 5.1 | 60 | 3.0 | 0.1 | 2.1 |
| 6 | 5.3 | 14.0 | 160 | 9.7 | 0.2 | 4.1 |
| 7 | 6.8 | 3.4 | 30 | 2.0 | 0.0 | 1.4 |
| 8 | 13.3 | 10.0 | 45 | 6.5 | 0.2 | 3.3 |
| 9 | 14.4 | 16.8 | 70 | 12.3 | 0.3 | 4.2 |
| 10 | 16.7 | 12.5 | 45 | 7.5 | 0.2 | 4.8 |
| 11 | 19.1 | 9.6 | 30 | 6.1 | 0.2 | 3.3 |
| 12 | 20.3 | 11.9 | 35 | 8.1 | 0.2 | 3.6 |
| 13 | 28.2 | 16.4 | 35 | 10.8 | 0.2 | 5.4 |
| 14 | 31.3 | 23.5 | 45 | 17.8 | 0.4 | 5.3 |
| 15 | 40.8 | 13.6 | 20 | 10.0 | 0.2 | 3.4 |
| Tree Age/a | Tree Height/m | Diameter at Breast Height/cm | Height at the Middle of Crown/m | Crown Width/m×m | |
|---|---|---|---|---|---|
| 1 | 10 | 7.6 | 7.4 | 5.4 | 3.2 m × 3.5 m |
| 2 | 10 | 7.5 | 6.9 | 4.8 | 3.1 m × 3.1 m |
| 3 | 10 | 7.3 | 7.1 | 5.2 | 3.1 m × 3.2 m |
| Rainfall Intensity/mm h−1 | Drop Number | DSD Range | D50/mm | |||
|---|---|---|---|---|---|---|
| Open | Throughfall | Open/mm | Throughfall/mm | Open/mm | Throughfall/mm | |
| 5.1 | 2990 | 2560 | 0.59~2.60 | 0.35~2.89 | 1.28 | 1.64 |
| 13.3 | 2681 | 2264 | 0.66~2.75 | 0.56~3.14 | 1.47 | 1.75 |
| 19.1 | 1986 | 1697 | 0.70~3.63 | 0.58~4.62 | 1.88 | 2.20 |
| 28.2 | 2116 | 1792 | 0.76~5.01 | 0.62~5.49 | 2.60 | 3.12 |
| 40.8 | 1498 | 1127 | 0.95~5.71 | 0.63~6.08 | 2.94 | 3.90 |
| Rainfall Intensity/mm h−1 | Bare Plot | Masson Pine Forest Plot | ||||||||
|---|---|---|---|---|---|---|---|---|---|---|
| Total KE/J m−2 | Soil Loss/g | Total KE/J m−2 | Soil Loss/g | |||||||
| <1 mm | 1–3 mm | >3 mm | Total | <1 mm | 1–3 mm | >3 mm | Total | |||
| 5.1 | 5.68 | 65.26 | 0.00 | 70.94 | 95.2 ± 1.10 | 2.71 | 42.38 | 0.00 | 45.09 | 47.3 ± 1.04 |
| 13.3 | 7.78 | 145.62 | 0.00 | 153.40 | 403.8 ± 1.61 | 4.21 | 91.80 | 14.30 | 110.31 | 149.7 ± 3.12 |
| 19.1 | 1.84 | 155.61 | 47.80 | 205.25 | 2027.4 ± 2.12 | 1.70 | 82.66 | 41.18 | 125.54 | 620.1 ± 8.10 |
| 28.2 | 1.68 | 250.10 | 209.06 | 460.84 | 3967.9 ± 1.82 | 1.33 | 89.71 | 170.64 | 261.68 | 1118.0 ± 10.79 |
| 40.8 | 0.59 | 186.09 | 230.71 | 417.38 | 5825.9 ± 17.93 | 1.26 | 65.93 | 183.61 | 250.80 | 2678.0 ± 6.68 |
| Total KE/J m−2 | Soil Loss in Bare Plot/g | Soil Loss in Forest Plot/g |
|---|---|---|
| Small raindrops (<1 mm) | y = 5950.5 exp (−0.474x), R2 = 0.72 | y = 3672.3 exp (−0.967x), R2 = 0.56 |
| Medium raindrops (1–3 mm) | y = 31.0 exp (0.022x), R2 = 0.76 | y = 38.7 exp (0.032x), R2 = 0.17 |
| Large raindrops (>3 mm) | y = 671.2 exp (0.009x), R2 = 0.94 | y = 110.5 exp (0.016x), R2 = 0.80 |
© 2019 by the authors. Licensee MDPI, Basel, Switzerland. This article is an open access article distributed under the terms and conditions of the Creative Commons Attribution (CC BY) license (http://creativecommons.org/licenses/by/4.0/).
Share and Cite
Li, G.; Wan, L.; Cui, M.; Wu, B.; Zhou, J. Influence of Canopy Interception and Rainfall Kinetic Energy on Soil Erosion under Forests. Forests 2019, 10, 509. https://doi.org/10.3390/f10060509
Li G, Wan L, Cui M, Wu B, Zhou J. Influence of Canopy Interception and Rainfall Kinetic Energy on Soil Erosion under Forests. Forests. 2019; 10(6):509. https://doi.org/10.3390/f10060509
Chicago/Turabian StyleLi, Guijing, Long Wan, Ming Cui, Bin Wu, and Jinxing Zhou. 2019. "Influence of Canopy Interception and Rainfall Kinetic Energy on Soil Erosion under Forests" Forests 10, no. 6: 509. https://doi.org/10.3390/f10060509
APA StyleLi, G., Wan, L., Cui, M., Wu, B., & Zhou, J. (2019). Influence of Canopy Interception and Rainfall Kinetic Energy on Soil Erosion under Forests. Forests, 10(6), 509. https://doi.org/10.3390/f10060509

