Next Article in Journal
Enhancing Energy Microgrid Sizing: A Multiyear Optimization Approach with Uncertainty Considerations for Optimal Design
Previous Article in Journal
Optimizing Investment Portfolios with Bacterial Foraging and Robust Risk Management
 
 
Font Type:
Arial Georgia Verdana
Font Size:
Aa Aa Aa
Line Spacing:
Column Width:
Background:
Article

Optimized Travel Itineraries: Combining Mandatory Visits and Personalized Activities

1
Department of Industrial Engineering, Faculty of Engineering, Chiang Mai University, Chiang Mai 50200, Thailand
2
Department of Technical Education and Technology, Faculty of Engineering, Rajamangala University of Technology Lanna, Chiang Mai 50300, Thailand
3
Department of Industrial Engineering, Faculty of Engineering, Rajamangala University of Technology Lanna, Tak 63000, Thailand
*
Author to whom correspondence should be addressed.
Algorithms 2025, 18(2), 110; https://doi.org/10.3390/a18020110
Submission received: 22 January 2025 / Revised: 8 February 2025 / Accepted: 12 February 2025 / Published: 17 February 2025
(This article belongs to the Section Algorithms for Multidisciplinary Applications)

Abstract

Tourism refers to the activity of traveling for pleasure, recreation, or leisure purposes. It encompasses a wide range of activities and experiences, from sightseeing to cultural exploration. In today’s digital age, tourists often organize their excursions independently by utilizing information available on websites. However, due to constraints in designing customized tour routes such as travel time and budget, many still require assistance with vacation planning to optimize their experiences. Therefore, this paper proposes an algorithm for personalized tourism planning that considers tourists’ preferences. For instance, the algorithm can recommend places to visit and suggest activities based on tourist requirements. The proposed algorithm utilizes an extended model of the team orienteering problem with time windows (TOPTW) to account for mandatory locations and activities at each site. It offers trip planning that includes a set of locations and activities designed to maximize the overall score accumulated from visiting these locations. To solve the proposed model, the Adaptive Neighborhood Simulated Annealing (ANSA) algorithm is applied. ANSA is an enhanced version of the well-known Simulated Annealing algorithm (SA), providing an adaptive mechanism to manage the probability of selecting neighborhood moves during the SA search process. The computational results demonstrate that ANSA performs well in solving benchmark problems. Furthermore, a real-world attractive location in Tak Province, Thailand, is used as the case study in this paper to illustrate the effectiveness of the proposed model.

1. Introduction

Tourism refers to the activity of traveling to and staying in places outside one’s usual environment for leisure, business, or other purposes. It encompasses the services and industries that cater to travelers, including transportation, accommodations, food and beverage, entertainment, and attractions. Tourism can be domestic, where travelers explore their own country, or international, where they visit foreign destinations. Industry plays a significant role in the global economy, providing jobs and generating revenue for local communities [1,2]. Recently, independent travel has grown in popularity, especially among youths. Independent tourists do not follow only the common touristy places and use predefined travel packages but seek more adventures. They choose the unconventional routes, experience other cultures, seek adventure in a wide variety of environments, learn about foreign places, and plan excursions independently. These travelers favor custom travel plans over the usual tour packages offered by travel agencies [3]. Consequently, online travel information is highly beneficial for tourists organizing their own trips. However, this process is quite complex as collecting information and assessing travel itineraries demands a significant amount of time and effort [4,5,6]. Additionally, the conflicting objectives of tourists, due to their individual interests, make planning even more challenging [7]. This issue is known as the “tourist trip design problem” (TTDP), which involves creating tour routes for tourists to maximize their satisfaction while adhering to numerous constraints [8,9].
Tourists that visit an area for a short period are unable to see every location available due to time and budget constraints. Tourists need to choose what they consider to be the most valuable Points of Interest (POI) [10]. Travelers might not have difficulty aside from scheduling their own itineraries. However, group travelers might need to compromise with their preference, especially in the large urban areas with many POIs. They need to determine sequences of POIs during a specific period to be included in the plan and determine modes of transportation systems [11]. Nowadays, although tourists are comfortably planning their trips using the information available on the website, they still need the trip plan advisory services. As a result, there are numerous platforms addressing the tour planning problem, aiming to design a trip that includes the maximum number of POIs while staying within various budget and time constraints [12]. Some of the examples of these platforms include Personalized electronic tourist guides (PETs), Recommender Systems (RSs), TRIPBUILDER, and eCOMPASS. Each of these platforms uses different models to create personalized routes. PETs are a platform that determines the profile of the tourist and their restrictions. Combining this information with knowledge about local attractions, PETs provide a personalized route for the tourists [13]. This platform is available on mobile hand-held devices [14]. RSs are among platforms that have been widely used to manage the information overload and provide travel recommendations to tourists. These systems are tailored for mobile device users and offer a significant enhancement to tourist experiences by recommending diverse multimedia content, context-aware services, and reviews ratings from other users, among other features [15]. TRIPBUILDER is a framework designed for creating personalized sightseeing tours in cities. It models the task as a Generalized Maximum Coverage (GMC) problem, aiming to maximize the measure of personal interest based on the user’s preferences and time budget for visiting [16]. Another example is eCOMPASS, an application available on both websites and mobile devices. eCOMPASS creates personalized multimodal tours based on chosen urban attractions and is unique as it is the only commercial tour planner that helps tourists navigate using public transit [17].
In this study, we propose the extension of the team orienteering problem with the time windows (TOPTW) model to illustrate the TTDP. The proposed model provides the personalized tourism itineraries with activity selection based on a set of different POIs that need to be visited within the time constraint. Each POI is associated with a score which shows the location attractiveness and service time, which accommodate the opening and closing time of the associated location. In addition, some locations may be mandatory visits, meaning they must be included in the tour. The goal is to maximize the total reward, or score, collected from the visited locations, while respecting the time windows and ensuring that all mandatory locations are included in the tour. To address this, an Adaptive Neighborhood Simulated Annealing algorithm (ANSA) is introduced. ANSA is a heuristic optimization method that adapts its search strategy based on the neighborhood structure of the solution space. It combines the principles of simulated annealing with adaptive techniques to effectively explore and optimize solutions for complex problems like the TOPTW with mandatory visits and activity selection.
The rest of this study is structured as follows: Section 2 offers a comprehensive review of literature on the TTDP and related subjects and outlines the detailed problem definition and mathematical model. Section 3 introduces the framework for the proposed method. Section 4 examines a case study to assess the effectiveness of the proposed approach. Finally, Section 5 concludes the study and suggests several possible avenues for future research.

2. Literature Reviews

Tourism industries have traditionally relied on travel agencies and mass advertising to sell their products and services, aiming to affect customers at an early stage. The advancement of technology changes the way tourists plan and execute their trip. Personalized trip planning has gained significant attention from both academics and practitioners in recent years. Researchers have developed recommendation systems to assist tourists in organizing their trips. Some of the examples of these platforms include PETs [13], RSs [15], TRIPBUILDER [16], and eCOMPASS [17].
Additionally, others have concentrated on creating algorithms to address the problem. Souffriau et al. [18] introduced the mobile tourist guides for mobile devices that integrate artificial intelligence and metaheuristic methods to tackle tourist trip design problems. Garcia et al. [13] presented an intelligent routing system for planning tourist trips. Their system operates in three steps: recommendation, route generation, and route customization. The problem was formulated as an integer linear programming model and solved using heuristic methods. Vansteenwegen et al. [19] introduced the City Trip Planner—a tool designed to plan routes for tourists in Belgium. They offer a web application that facilitates trip planning and features a fast and efficient planning algorithm. Abbaspour and Samadzadegan [11] addressed the issue of time-dependent tour planning in urban areas. This problem involves determining the sequence of attractive points to visit during a specific time using various modes of transportation. They used two modified genetic algorithms to solve this problem.
The TTDP uses a specific model to generate a tailored route or path. The Modified Traveling Salesman Problem (TSP) is used to design one day tour that maximize total POIs visited [20]. The TTDP is also modeled as TSP with three goals related to rationality, economy, and convenience. The rationality is determined by the break time during the tour. The economy is computed using the expenses of travel, food, and housing, as well as the costs of trips to the POIs. The user’s convenience is assessed based on the amount of time spent at each POI, moving between POIs, eating, and staying in hotels. The Generalized Maximum Coverage (GMC) model is used to represent the Trip Cover Problem which analyzes route planning for tourists who are visiting a region for the first time and do not know the hours and length of the trip in each POI [21]. The outdoor activity tour suggestion problem (OATSP) entails finding a closed path with the highest attractiveness in a transportation network graph [22]. Total route attractiveness is calculated by adding the average arc attractiveness and the total of the path’s vertex score. Later, Ref. [23] created a mixed-integer nonlinear programming (MINLP) model for route planning for disabilities. They consider four objectives, including reducing the risk factor, reducing physical fatigue due to walking activities, maximizing the smoothness of the routes based on the location of POIs in the area, and reduce crossings at arcs. Another model that may be used for TTDP is the Prize-Collecting Rural Postman problem (PRPP), which maximizes the gap between profit and journey [24].
In addition to advancements in tourist trip systems, there has been growing interest in modeling the TTDP by applying different variants of the orienteering problem (OP). A variety of exact and heuristic approaches have also been proposed [18,25,26,27,28,29]. The original OP is inspired by the game of orienteering. Its objective is to find the route that maximizes the total points collected from visiting various locations [30]. Vansteenwegen et al. [31] offer an in-depth review of the OP and its various extensions. Tang and Miller-Hooks [32] provide a detailed examination of the published solution methods for OP. Gunawan et al. [33] present a thorough survey of the OP, covering proposed solution approaches. More recently, Vansteenwegen and Gunawan [34] introduce a tutorial on routing problems with profit, encompassing OP and its extensions.
Regarding solution methods, various algorithms have been employed to address these problems, including exact methods [35,36] and metaheuristics. Metaheuristics are evolutionary computing techniques used to find near-optimal solutions within a reasonable timeframe. The examples of metaheuristic approaches are Tabu Search [32], Ant Colony Optimization (ACO) [37,38] Variable Neighborhood Search (VNS) [39,40], Iterated Local Search Heuristic (ILS) [41], Simulated Annealing (SA) [28,42], Particle Swarm Optimization (PSO) [29] and the hybrid approach [43]. These methods have proven effective for solving specific problems.

2.1. Problem Definition

Recent literature has introduced TOPTW, which incorporates time windows as a constraint. In TOPTW, each location or customer must be visited within a specified time interval, defined by the earliest and latest times for service. For the TTDP, this means that some attractions may have specific opening and closing times, requiring tourists to plan their visits within these designated time periods.
In this study, the optimization model for the personalized tourism itineraries with mandatory visit and activity selection is proposed. It is an extension of the TOPTW and partial scores (TOPTW-PS), introduced by Yu et al. [44] and the TOPTW with mandatory visits (TOPTW-MV) [45]. The proposed model is primarily implemented in TTDP, where each location in the itinerary includes an associated activity that can be attended. For example, these activities may encompass cultural explorations, religious experiences, and other related engagements. Additionally, some locations are designated as mandatory, meaning they must be visited as part of the trip. The objective of the proposed model is to determine the trip that maximizes the total collected score from visiting locations without violating their constraints. For the mathematical model formulation, we define:
  • A set N = { N 0 N c } is a set of all locations. N 0 is a set of location 0 that is designated as the starting and ending point, N 0 = { 0 } . N c is a set of the attractive locations, N c = { 1 , 2 , 3 , , | N c | } . N m is a set of mandatory locations that can be visited any time in the trip, N m N c .   N d is a set of mandatory locations that should be visit every day, ex. restaurant, N d N c and N d N m . Let P is a set of paths (or days), P = { 1,2 , 3 , . . . , | P | } . For example, P = 1 refers to a sequence of locations for Day 1. Set A is a set of activities provided in each location, A = { 1,2 , 3 , . . . , | A | } . A m is a set of preferred activities A m A .
  • A partial score S i , a is assigned to a location i N c based on the activity a A . w i , a represents the service time associated with location i during the activity a .
  • A travel time t i , j refers to the duration required to move from location i to j ( i , j N ).
  • Each location i N c can be visited at most once in the time interval [ O i , E i ] . Additionally, not all locations can be visited due to the constraints of the available time Tmax.
  • At least l location in N m should be visited.
  • At least n location in N d should be visited.
  • At least o location in A m should be visited.

2.2. Decision Variables

  • a i , a = 1 If   an   activity   a   is   selected   by   a   visit   to   location   i 0   Otherwise
  • x i , j , p = 1 If   in   path   p ,   a   visit   to   location   i   is   followed   by   a   visit   to   location   j 0   Otherwise
  • y i , p = 1 If   in   path   p ,   a   location   i   is   visited 0   Otherwise
  • v i = Total visiting time of a visit to location i
  • s i , p = Starting time of a visit to location i in path p

2.3. Objective Function

max p P i N c a A S i , a a i , a y i , p

2.4. Constraints

p P j N c x 0 , j , p = p P i N c x i , 0 , p = | P |
i N , i k x i , k , p = j N , k j x k , j , p = y k , p k N c , p P
p P y i , p 1 i N c
a A a i , a A i N c , p P
a A w i , a a i , a v i i N c , p P
s i , p + v i + t i , j s j , p M ( 1 x i , j , p ) i N , j N c , p P
O i s i , p i N c , p P
s i , p E i i N c , p P
s i , p + t i , 0 x i , 0 , p T max i N c , p P
s j , p t 0 , j , v y j , p j N c , p P
x i , j , p 0 , 1 i , j N , p P
a i , a 0 , 1 i N , p P
y i , p 0 , 1 i , j N , p P
Constraint (2) ensures that each route starts and ends at location 0. This means that the travel itinerary is structured such that the journey begins and concludes at a designated starting point, typically a central location or a point of origin. Constraint (3) is the connectivity of each path. Constraint (4) ensures that each location is visited at most once. This restriction prevents duplicate visits to any location within the itinerary. Constraint (5) ensures that at each location, a maximum of |A| activities can be selected. Constraint (6) involves calculating the total visiting time for each location. This means summing up the service times for all activities selected at a given location to ensure that the itinerary respects the time constraints and accurately reflects the duration required at each location.
Constraint (7) defines the timeline for each path, ensuring that the scheduling of visits follows a logical sequence within the given time constraints. Constraints (8) and (9) restrict the start of the service to the time window. The route is limited by T max is ensured in Constraint (10). In addition, Constraint (11) stipulates that the visiting time at the first location must be greater than the travel time from the starting location (0) to that location j. This ensures that there is enough time allocated for the visit at the first location after accounting for the time spent traveling from the starting point. Finally, Constraints (12)–(14) are the integrality constraints for the decision variables.
i N m p P y i , p l
i N d y i , p n p P
a A m i N c a i , a o
Constraint (15) ensures that at least l location in N m can be visited any time in the trip. Constraint (16) confirms that n locations in N d should be visited every day. Finally, constraint (17), at least o activity in A m should be visited in the trip.

3. Methodology

This study proposes a modified version of SA, Adaptive Neighborhood Simulated Annealing algorithm (ANSA). SA and its variants are selected for their robustness and proven ability to deliver fast and near-optimal results across various optimization problems. This technique is effective for exploring large solution spaces and finding high-quality solutions within a reasonable timeframe [46,47,48,49,50,51,52,53,54].
ANSA was introduced by Vincent et al. [44]. It is a single-solution-based search; each iteration focuses on altering a single candidate solution to reach a superior solution. The ANSA method is divided into three steps in the current study: initial solution generation, solution improvement using three neighborhood movements, and computation and evaluation of the objective value. The ANSA provides an adaptive mechanism to manage the probability of selecting neighborhood moves during the SA search process. This adaptation is based on the algorithm’s performance history, allowing for dynamic adjustments to enhance search efficiency.

3.1. Solution Representation

The solution representation for the proposed problem is separated into two parts: Sol 1 and Sol 2 (Figure 1). Sol 1 is a route representation, represented by a permutation of | N c | locations {1, …, | N c | }, followed by | P | 1 zeros. The zeros are used to indicate breaks or separations in the route for each day, indicating that the route ends and that the traveler should return to the origin location. The total dimension for the routes is | N c | + | P | 1 . For example, if the problem consists of 25 locations (|Nc| = 25), and three days (|P| = 3), 27 dimensions are created in Sol 1 (Figure 2). Moreover, to represent the activity selected in each location, Sol 2 is created, and |Nc| dimensions are used.
In Sol 2, the value in each dimension is assigned from 1 to 2 | A | 1 , considering a maximum of four activities. Each number corresponds to a four-bit pattern, known as a binary-coded decimal (BCD), which represents a specific set of selected activities. Table 1 illustrates these activity selection patterns. For example, in Figure 3, there are 25 dimensions to represent the selected activities for 25 locations. The assigned number for each dimension indicates the set of selected activities. In this case, with four activities considered, the assigned number ranges from 1 to 15. The first dimension represents the set of activities for Location 1. If the assigned number is 7, referring to Table 1, the binary-coded decimal is [0, 1, 1, 1], meaning that in Location 1, Activities 3, 2, and 1 are selected.

3.2. Route Construction and Activity Selection

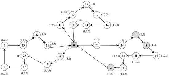
To illustrate the solution and route construction, we provide an example involving a small instance consisting of 25 locations, three days, and three activities. The solution representation is shown in Figure 4. This solution is generated from the proposed algorithm. Location 1, 4, and 5 are elements of N d . Location 2, 7, and 8 are elements of N m . Moreover, Activity 1 is the preferred activity.
Figure 5 illustrates a solution where the trip is divided into 3 distinct routes. Each route is part of the overall itinerary and represents a segment of the journey, detailing the sequence of locations to be visited and potentially the associated activities and travel times. The first route starts from location 13 and then locations 17, 18, 19, 16, 14, and 1, terminated by a zero. The second route starts from Location 20 and then locations 24, 7, 8, 10, 11, 12, 4, and 2. The third route starts from locations 5, 3, 25, 15, 9, 6, 23, 22, and 21. The locations 1, 4, and 5 are separately visited by each route. Locations 2, 7, and 8, which can be visited any time on the trip, are visited by the second route.
For the activity selection, in the first route, when tourists visit the location 13, 17, 18, 19, 16, 14, and 1, the integer value in the 13th, 17th,18th, 19th, 16th, 14th, and 1st dimension of the Sol 2 is 7, except in 18th dimension, the integer value is 4. This means that, for Location 13, 17, 19, 16, 14, and 1, all activities are selected. For Location 18, only activity 3 is attended. The procedure of activity selection is subsequently used for the second and third route.

3.3. Adaptive Neighborhood Simulated Annealing Algorithm (ANSA)

3.3.1. ANSA Parameters

The proposed ANSA algorithm requires five parameters, like those used in SA: Iiter, T0, Tf, α , and K. The explanations are as follows:
  • The number of iterations (Iiter) performed at a particular temperature. This parameter dictates how many solutions are evaluated and updated before the temperature is reduced according to the cooling schedule. It impacts the depth of the search at each temperature level and helps balance exploration and exploitation.
  • Initial Temperature (T0) is the starting point for the annealing process. It determines the initial level of randomness or the likelihood of accepting worse solutions early in the search. A higher initial temperature allows for more exploration of the solution space, while a lower temperature restricts the search more quickly.
  • Final Temperature (Tf) is the threshold temperature at which the algorithm terminates. Once the temperature drops below this value, the search process ends, and the algorithm finalizes the best solution found.
  • α is a coefficient that defines how quickly the temperature decreases over time. It controls the rate at which the algorithm transitions from exploration to exploitation. A slower cooling rate allows for more thorough exploration of the solution space, while a faster cooling rate accelerates convergence but may miss better solutions.
  • Finally, K is the Boltzmann constant used in the calculation of the probability of accepting a worse solution in ANSA.

3.3.2. ANSA Procedure

The ANSA methodology includes a mechanism to control the probability of selecting neighborhood moves during the search phase. The main notion behind this technique is that if the neighborhood was successful in producing quality results in the prior search, it will be more likely to be chosen in the subsequent search.
The ANSA primary steps are described in Algorithm 1. The search technique begins with an initial solution. The initial step in the ANSA search procedure is to set the current temperature T to the initial temperature T0. The best solution Xbest and the current solution X are set to be the initial solution. The objective value of the solution X is predetermined to be the best objective value.
In ANSA, Rt represents the probability of selecting the neighborhood mechanism t, t  {1, 2, 3, …, E}. This probability is dynamically adjusted based on the performance history of the neighborhood mechanisms during the search process. Initially, Rt is set to be 1/E, where E is the total number of neighborhood mechanisms available. This means that each neighborhood mechanism is given an equal probability at the start of the search process. Next, a neighborhood mechanism t is chosen based on the current probability Rt. The selected neighborhood mechanism t is used to produce a new solution Y from the current solution X. Then, the objective value of the solution Y is added to Ot, the sum of objective values of the solutions obtained by neighborhood move t.
Nt represents the number of times neighborhood move t has been used. After each iteration where neighborhood move t is selected and applied to generate a new solution Nt is incremented by 1. The Δ is the different objective between Y and X. If Δ < 0, then Y is better than X; thus, Y replaces X as the current solution; otherwise, the new neighborhood solution is accepted with a probability calculated by the Boltzmann function, exp ( Δ / K T ) .
After completing all iterations at the current temperature, the probability Rt of choosing each neighborhood mechanism t is updated based on its performance. The update formula typically takes the form R t = O ¯ t / O , where O ¯ t is the average objective value of the solutions obtained using neighborhood mechanism t, and O is the sum of the average objective values of the solutions obtained using all neighborhood mechanisms. If a neighborhood mechanism t has not been selected at the current temperature, then Ot is set to be Fworst and Nt is set to be 1. Note that Fworst represents the objective value of the worst solution found so far during the search process. The selection of neighborhood mechanism is subsequently used these updated probabilities at each iteration of the following temperature αT. When the current temperature is lower than or equal to the final temperature Tf, the algorithm terminates.
Algorithm 1 ANSA
1:
Input: Iiter, T0, Tf, α , K, InitialSolution;
2:
Output: Objective = Fbest;
3:
I = 0; T = T0; Fbest = obj (X); X = InitialSolution; Xbest = X; E = 5;
4:
Rt = 1/E for each t in {1, 2, 3, …, 5},
5:
While T > Tf;
6:
  I = 1; Nt = 0 for all t; Ot = 0 for all t; Fworst = 0;
7:
  While IIiter;
8:
  r ← random (0, 1);
9:
   If (rR1) then
10:
    Generate a new solution Y from X by mechanism 1, t = 1;
11:
    N1 = N1+1; O1 = O1 + obj (Y);
12:
   Else if (R1 < rR1 + R2) then
13:
    Generate a new solution Y from X by mechanism 2, t = 2;
14:
    N2 = N2 + 1; O2 = O2 + obj (Y);
15:
   Else if (R2 < rR1 + R2 + R3) then
16:
    Generate a new solution Y from X by mechanism 3, t = 3;
17:
    N3 = N3 + 1; O3 = O3 + obj (Y);
18:
   Else if (R3 < rR1 + R2 + R3 + R4) then
19:
    Generate a new solution Y from X by mechanism 4, t = 4;
20:
    N4 = N4 + 1; O4 = O3 + obj (Y);
21:
   Else
22:
    Generate a new solution Y from X by mechanism 5, t = 5;
23:
    N5 = N5 + 1; O5 = O5 + obj (Y);
24:
   End if
25:
   Δ = obj (Y) − obj (X);
26:
   If (Δ ≤ 0) then X = Y;
27:
   Else r = random (0, 1);
28:
     If (r < exp(−∆/KT)) then X = Y; End if
29:
   End if
30:
   If (obj (X) < Fbest) then Xbest = X; Fbest = obj (X); End if
31:
   If (Fworst < obj (Y)) then Fworst = obj (Y); End if
32:
   I = I + 1;
33:
End while
34:
For each t in {1, 2, 3, 4, 5};
35:
   If (Nt == 0) then Ot = Fworst; Nt = 1; End if
36:
    O ¯ t =  O t / N t ; O = O ¯ t ; R t = O ¯ t / O
37:
End for
38:
  T = α T;
39:
End while

3.3.3. Neighborhood Mechanism

Five neighborhood structures are incorporated into the proposed algorithm to investigate various route combinations. The following is an explanation of the neighborhood structures:
  • Mechanism 1: Swap (Sol 1) operation
    The swap procedure commences by selecting the ith and jth positions of a solution at random and systematically swapping the integers in these positions. This operation is exclusively executed in Sol 1.
  • Mechanism 2: Reverse (Sol 1)
    The reverse procedure operates by reversing the direction between two randomly chosen positions, ith and jth, within a solution in Sol 1.
  • Mechanism 3: Random Insertion (Sol 1)
    The ith and jth positions of Sol 1 are randomly chosen, and an ith number is inserted in front of the jth position to implement this neighborhood operator.
  • Mechanism 4: Mandatory Insertion (Sol 1)
    This operator is executed by randomly selecting the ith in mandatory list ( N m N d ) and jth positions of Sol 1 and then inserting an ith number in front of the jth position.
  • Mechanism 5: Random Change (Sol 2)
    The ith position in sol 2 is chosen. Then, the assigned number in this position is replaced by the random value from 1 to 2 | A | 1 , while |A| is the number of activities.

3.3.4. Feasibility Checking and Route Improvement

To check the feasibility of a generated solution, three conditions in the checking process should be satisfied. Firstly, the solution is checked for whether the mandatory location in Nd appears in each route. Secondly, the mandatory location in Nm should be visited at least once in a plan. Finally, the mandatory activity should be selected at least once.

4. Computational Study

The proposed algorithm has been coded in Python and performed on a PC (3.6 GHz processor, 16 GB of RAM, and Windows 8 operating system). In this study, the proposed ANSA algorithm is tested on two sets of problems. The first set of problems is the test instances of Team Orienteering Problem with Time Windows and Partial Scores (TOPTW-PS) instances designed by Yu et al. [28]. The second set is the modified TOPTW-PS instances based on the real case instances from Tak City, Thailand.

4.1. TOPTW-PS Instances

The TOPTW-PS instances, designed by Yu et al. [28], are derived from Solomon (1987) datasets, which include six different classes: R1, R2, C1, C2, RC1, and RC2. These datasets feature instances with varying numbers of vertices (100, 50, and 25) and no depot, with each class containing a total of 56 instances. In this experiment, ANSA is applied to a set of 100 instances from these datasets. The goal is to evaluate the performance of ANSA in terms of computational time and compare the results with those obtained using the Selective D-PSO (Discrete Particle Swarm Optimization) algorithm. This comparison helps assess the efficiency and effectiveness of ANSA in solving the TOPTW-PS instances.
According to the results in Table 2 and Table 3, The Average CPU shown that ANSA achieves its objectives more quickly than S-DPSO. This implies that ANSA converges to a satisfactory or optimal solution quicker than S-DPSO under the given experimental conditions.
From the experiment, both ANSA and S-DPSO algorithms perform well when applied to solve the problem. However, ANSA tends to be slightly faster. This advantage may be attributed to the simulated annealing component, which introduces a stochastic element that allows ANSA to accept worse solutions during certain iterations. This flexibility helps ANSA escape local optima more effectively. In contrast, S-DPSO may struggle with this drawback, as its swarm can converge too quickly, limiting its ability to explore the solution space.

4.2. Real Case Instances from Tak, Thailand

In this real case, we generated instances based on the actual geographical distances of Tak Province, Thailand. Tak Province is in western Thailand, approximately 492 km from the capital, Bangkok. The province is filled with the allure of vast forests, which serve as a source of natural diversity. Moreover, it is a destination where tourists can enjoy a variety of experiences with several types of activities including nature-based activities, Budda-based activities, leisure activities, and culture-based activities.
To test the algorithm, 30 datasets are generated, each containing 108 locations ( N = { N 0 N c } ). There are four activities considered in each location: nature-based activities, Budda-based activities, leisure activities, and culture-based activities. The mandatory locations that should be visit everyday ( N d ) is 44 locations, N d N c . The mandatory location in N m and the mandatory activity in A m is randomly generated for each dataset. The score or POIs ( S i , a ) of each location is derived from the review scores displayed on Google Maps. During a visit to a location, participants may choose various activities, each of which takes a specific amount of time and yields a distinct score. However, the total score collected in each location is not more than the review score.
The datasets were tested with two versions of ANSA. The first version sets the probability of choosing the neighborhood mechanism to remain constant throughout the running process, ANSA-1. In this case, there are five neighborhood mechanisms. Therefore, the R t is set to be R t = 1 5 for all neighborhood mechanism t, t = {1, 2, 3, …, 5}. The second version utilizes the proposed ANSA methodology with the adaptive mechanism to control the probability of selecting neighborhood moves during the search, ANSA-2.

4.2.1. Parameter Setting and Computational Results

Parameter setting in the context of ANSA refers to the process of determining and configuring the values of various parameters that control the behavior and performance of the algorithm. The proposed ANSA algorithm requires five parameters, Iiter, T0, Tf, α , and K. Experimentation and tuning are often required to identify the best parameter settings for a specific problem. Each parameter are set at low and high levels, shown in Table 4. Therefore, the 32 sets of parameter combinations are used to find the best choices for this problem. Figure 5 and Figure 6 illustrate the results in terms of objective values and computational times for all combinations of parameters.
Figure 6 and Figure 7 display the results obtained by running the model under various testing conditions. To assess the impact of the parameters on the results, we used the analysis of variance (ANOVA) to determine the relative significance of each main factor, Iiter, T0, Tf, α , and K. The Pareto chart in Figure 8 quantifies the size and significance of each effect. It displays the absolute values of the standardized effects in descending order, where the standardized effects represent t-statistics that test whether an effect is zero, corresponding to the null hypothesis. In this chart, the factors B, B*C, and E are represented by bars that cross the reference line at 12.71, indicating statistical significance at the 0.05 level. This means that parameters Iiter and α have a significant effect on the objective value. Consequently, adjusting these parameters could lead to improved outcomes in the studied phenomenon. However, when we analyze in terms of the computational time in Figure 9, both Iiter and α significant factors affect computational time as well.
Therefore, careful consideration is needed when optimizing these parameters to balance improvements in outcomes and computational efficiency. In this study, the results of parameter settings showed that the parameter setting No.9, which are Iiter = 20,000, T0 = 5, Tf = 0.01, α = 0.8, and K = 1, obtained the best objective value compared to other settings. However, it requires high computational time. This parameter setting is used in the subsequent experiment.
Table 5 provides a comparison between the ANSA-1 and ANSA-2 with p = 1, 2, and 3 for 30 datasets. The ANSA-2 can obtain a better solution in terms of percentage of gap, G a p ( % ) = ( A N S A _ 1 A N S A _ 2 ) A N S A _ 1 × 100 . The ANSA-2 can obtain a better solution 37.88%, 6.78% and 1.5 for all p.

4.2.2. Example of the Travel Itinerary Obtained by the Proposed Algorithm

From the Tak case study, we provide an example of the results from the dataset Tak1. In this dataset, there are 108 locations. The mandatory locations that must be visited every day ( N d ) consists of 44 locations, N d = 65 ,   66 ,   ,   108 . There are also three mandatory locations that can be visited at any time during the trip, N m = 28 ,   46 ,   49 . Additionally, the mandatory activity in A m is the nature-based activities, A m = 1 . In this case, at least one location in N m and N d should be visited (l = 1 and n = 1).
The results from the model suggest a travel itinerary for tourists on a one-day trip, as illustrated in Table 6 and the route in Figure 10.
The proposed itinerary begins and ends at the Shrine of King Taksin. Following this, tourists are suggested to visit the Astonishing Hill for nature-based activities. For lunch, they will dine at Ban Tong Kitchen. The itinerary continues with a visit to the Bhumibol Dam in the early afternoon, providing visitors with an extended opportunity to appreciate the scenic natural environment. As evening approaches, tourists will enjoy a meal at Mae Bang Hua Deet Noodles before making a final visit to the Shrine of King Taksin. Overall, the itinerary is structured to maximize enjoyment and efficiency.
In this trip, all constraints of the proposed algorithm are satisfied. Ban Tong Kitchen (Location 86) and Mae Bang Hua Deet Noodles (Location 66) are part of the set of mandatory locations that must be visited every day. The Bhumibol Dam (Location 28) is included as a requested mandatory location that can be visited at any time during the trip. Furthermore, the selected locations, Location 86 and Location 66, are considered suitable for nature-based activities.

5. Conclusions

This paper presents an innovative algorithm for personalized tourism planning that effectively addresses the challenges faced by modern travelers. By integrating an extended model of the team orienteering problem with time windows (TOPTW), the algorithm accommodates mandatory locations and activities while tailoring suggestions based on tourist preferences. The application of the Adaptive Neighborhood Simulated Annealing (ANSA) algorithm enhances the solution process, allowing for efficient optimization of itineraries. The computational results validate ANSA’s effectiveness in solving benchmark problems, highlighting its capability to navigate complex scenarios. Furthermore, the case study in Tak Province, Thailand, demonstrates the practical applicability and effectiveness of the proposed model.
Future work can focus on enhancing the model by incorporating sustainability indicators, such as minimizing environmental impacts and boosting local economies, while optimizing itineraries. By integrating these considerations, the algorithm can promote responsible tourism practices that benefit both travelers and local communities. This approach could include analyzing carbon footprints for transportation options, recommending eco-friendly activities, and prioritizing local businesses in itinerary planning. Ultimately, expanding the model aims to create a more holistic framework that balances traveler satisfaction with social and environmental responsibility, enriching the tourism planning experience.

Author Contributions

Conceptualization, P.J. and W.N.; methodology, P.J.; software, P.J.; validation, P.J., P.N. and W.N.; formal analysis, P.J.; investigation, P.J.; resources, P.J.; data curation, P.J.; writing—original draft preparation, P.J.; writing—review and editing, P.J., S.P. and P.N.; visualization, P.J.; supervision, P.J.; project administration, P.N.; funding acquisition, P.J. All authors have read and agreed to the published version of the manuscript.

Funding

This research was partially supported by Chiang Mai University, Thailand.

Data Availability Statement

The data is available upon request.

Acknowledgments

The authors gratefully acknowledge Chiang Mai University for covering the article processing charges (APC) and providing financial incentives. The authors also thank the Department of Industrial Engineering, Chiang Mai University for fostering a supportive research environment.

Conflicts of Interest

The authors declare no conflicts of interest.

References

  1. Sylejmani, K.; Dorn, J.; Musliu, N. Planning the trip itinerary for tourist groups. Inf. Technol. Tour. 2017, 17, 275–314. [Google Scholar] [CrossRef]
  2. Zheng, W.; Ji, H.; Lin, C.; Wang, W.; Yu, B. Using a heuristic approach to design personalized urban tourism itineraries with hotel selection. Tour. Manag. 2020, 76, 103956. [Google Scholar] [CrossRef]
  3. Lim, K.H.; Chan, J.; Leckie, C.; Karunasekera, S. Personalized tour recommendation based on user interests and points of interest visit durations. In Proceedings of the Twenty-Fourth International Joint Conference on Artificial Intelligence, Buenos Aires, Argentina, 25–31 July 2015; pp. 1778–1784. [Google Scholar]
  4. Chen, L.; Zhang, L.; Cao, S.; Wu, Z.; Cao, J. Personalized itinerary recommendation: Deep and collaborative learning with textual information. Expert Syst. Appl. 2020, 144, 113070. [Google Scholar] [CrossRef]
  5. Hassannia, R.; Vatankhah Barenji, A.; Li, Z.; Alipour, H. Web-Based Recommendation System for Smart Tourism: Multiagent Technology. Sustainability 2019, 11, 2323. [Google Scholar] [CrossRef]
  6. Mehmood, F.; Ahmad, S.; Kim, D. Design and development of a real-time optimal route recommendation system using big data for tourists in Jeju Island. Electronics 2019, 8, 506. [Google Scholar] [CrossRef]
  7. Lim, K.H.; Chan, J.; Karunasekera, S.; Leckie, C. Tour recommendation and trip planning using location-based social media: A survey. Knowl. Inf. Syst. 2019, 60, 1247–1275. [Google Scholar] [CrossRef]
  8. Gionis, A.; Lappas, T.; Pelechrinis, K.; Terzi, E. Customized tour recommendations in urban areas. In Proceedings of the WSDM 2014—7th ACM International Conference on Web Search and Data Mining, New York, NY, USA, 24–28 February 2014; pp. 313–322. [Google Scholar]
  9. Vansteenwegen, P. Planning in tourism and public transportation. 4OR 2008, 7, 293. [Google Scholar] [CrossRef]
  10. Souffriau, W.; Vansteenwegen, P. Tourist trip planning functionalities: State-of-the-art and future. In Current Trends in Web Engineering; Lecture Notes in Computer Science; Springer: Berlin/Heidelberg, Germany, 2010; pp. 474–485. [Google Scholar]
  11. Abbaspour, R.A.; Samadzadegan, F. Time-dependent personal tour planning and scheduling in metropolises. Expert Syst. Appl. 2011, 38, 12439–12452. [Google Scholar] [CrossRef]
  12. Zhu, C.; Hu, J.Q.; Wang, F.; Xu, Y.; Cao, R. On the tour planning problem. Ann. Oper. Res. 2012, 192, 67–86. [Google Scholar] [CrossRef]
  13. Garcia, A.; Arbelaitz, O.; Linaza, M.T.; Vansteenwegen, P.; Souffriau, W. Personalized tourist route generation. In Current Trends in Web Engineering; Lecture Notes in Computer Science; Springer: Berlin/Heidelberg, Germany, 2010; Volume 6385, pp. 486–497. [Google Scholar]
  14. Garcia, A.; Vansteenwegen, P.; Arbelaitz, O.; Souffriau, W.; Linaza, M.T. Integrating public transportation in personalized electronic tourist guides. Comput. Oper. Res. 2013, 40, 758–774. [Google Scholar] [CrossRef]
  15. Gavalas, D.; Konstantopoulos, C.; Mastakas, K.; Pantziou, G. Mobile recommender systems in tourism. J. Netw. Comput. Appl. 2014, 39, 319–333. [Google Scholar] [CrossRef]
  16. Brilhante, I.R.; Macedo, J.A.; Nardini, F.M.; Perego, R.; Renso, C. On planning sightseeing tours with TripBuilder. Inf. Process. Manag. 2015, 51, 1–15. [Google Scholar] [CrossRef]
  17. Gavalas, D.; Kasapakis, V.; Konstantopoulos, C.; Pantziou, G.; Vathis, N.; Zaroliagis, C. The eCOMPASS multimodal tourist tour planner. Expert Syst. Appl. 2015, 42, 7303–7316. [Google Scholar] [CrossRef]
  18. Souffriau, W.; Vansteenwegen, P.; Vertommen, J.; Vanden Berghe, G.; Van Oudheusden, D. A personalized tourist trip design algorithm for mobile tourist guides. Appl. Artif. Intell. 2008, 22, 964–985. [Google Scholar] [CrossRef]
  19. Vansteenwegen, P.; Souffriau, W.; Vanden Berghe, G.; Van Oudheusden, D. The City Trip Planner: An expert system for tourists. Expert Syst. Appl. 2011, 38, 6540–6546. [Google Scholar] [CrossRef]
  20. Godart, J.-M. Combinatorial Optimization Based Decision Support System for Trip Planning. In Information and Communication Technologies in Tourism 1999; Buhalis, D., Schertler, W., Eds.; Springer: Vienna, Austria, 1999; pp. 318–327. [Google Scholar]
  21. Brilhante, I.; Macedo, J.A.; Nardini, F.M.; Perego, R.; Renso, C. Where shall we go today? In Proceedings of the 22nd ACM International Conference on Information & Knowledge Management, San Francisco, CA, USA, 27 October–1 November 2013; pp. 757–762. [Google Scholar]
  22. Maervoet, J.; Brackman, P.; Verbeeck, K.; De Causmaecker, P.; Vanden Berghe, G. Tour suggestion for outdoor activities. In Proceedings of the 12th International Symposium on Web and Wireless Geographical Information Systems, Banff, AB, Canada, 4–5 April 2013; pp. 54–63. [Google Scholar]
  23. Ntakolia, C.; Iakovidis, D.K. A route planning framework for smart wearable assistive navigation systems. SN Appl. Sci. 2021, 3, 104. [Google Scholar] [CrossRef]
  24. Trachanatzi, D.; Rigakis, M.; Taxidou, A.; Marinaki, M.; Marinakis, Y.; Matsatsinis, N. A novel solution encoding in the differential evolution algorithm for optimizing tourist trip design problems. In Learning and Intelligent Optimization; Springer: Cham, Switzerland, 2020; pp. 253–267. [Google Scholar]
  25. Schilde, M.; Doerner, K.F.; Hartl, R.F.; Kiechle, G. Metaheuristics for the bi-objective orienteering problem. Swarm Intell. 2009, 3, 179–201. [Google Scholar] [CrossRef]
  26. Vansteenwegen, P.; Van Oudheusden, D. The Mobile Tourist Guide: An OR Opportunity. OR Insight 2007, 20, 21–27. [Google Scholar] [CrossRef]
  27. Wang, X.; Golden, B.L.; Wasil, E.A. Using a Genetic Algorithm to Solve the Generalized Orienteering Problem. In The Vehicle Routing Problem: Latest Advances and New Challenges; Springer: New York, NY, USA, 2008; pp. 263–274. [Google Scholar]
  28. Yu, V.F.; Jewpanya, P.; Lin, S.-W.; Redi, A.A.N.P. Team orienteering problem with time windows and time-dependent scores. Comput. Ind. Eng. 2019, 127, 213–224. [Google Scholar] [CrossRef]
  29. Yu, V.F.; Redi, A.A.N.P.; Jewpanya, P.; Gunawan, A. Selective discrete particle swarm optimization for the team orienteering problem with time windows and partial scores. Comput. Ind. Eng. 2019, 138, 106084. [Google Scholar] [CrossRef]
  30. Chao, I.-M.; Golden, B.L.; Wasil, E.A. A fast and effective heuristic for the orienteering problem. Eur. J. Oper. Res. 1996, 88, 475–489. [Google Scholar] [CrossRef]
  31. Vansteenwegen, P.; Souffriau, W.; Van Oudheusden, D. The orienteering problem: A survey. Eur. J. Oper. Res. 2011, 209, 1–10. [Google Scholar] [CrossRef]
  32. Tang, H.; Miller-Hooks, E. A tabu search heuristic for the team orienteering problem. Comput. Oper. Res. 2005, 32, 1379–1407. [Google Scholar] [CrossRef]
  33. Gunawan, A.; Lau, H.C.; Vansteenwegen, P. Orienteering Problem: A survey of recent variants, solution approaches, and applications. Eur. J. Oper. Res. 2016, 255, 315–332. [Google Scholar] [CrossRef]
  34. Vansteenwegen, P.; Gunawan, A. Other Orienteering Problem Variants. In Orienteering Problems: Models and Algorithms for Vehicle Routing Problems with Profits; Springer International Publishing: Berlin/Heidelberg, Germany, 2019; pp. 95–112. [Google Scholar]
  35. Boussier, S.; Feillet, D.; Gendreau, M. An exact algorithm for team orienteering problems. 4OR 2007, 5, 211–230. [Google Scholar] [CrossRef]
  36. Fischetti, M.; González, J.J.S.; Toth, P. Solving the Orienteering Problem through Branch-and-Cut. INFORMS J. Comput. 1998, 10, 133–148. [Google Scholar] [CrossRef]
  37. Ke, L.; Archetti, C.; Feng, Z. Ants can solve the team orienteering problem. Comput. Ind. Eng. 2008, 54, 648–665. [Google Scholar] [CrossRef]
  38. Montemanni, R.; Gambardella, L.M. An ant colony system for team orienteering problems with time windows. Found. Comput. Decis. Sci. 2009, 34, 287–306. [Google Scholar]
  39. Campbell, A.M.; Gendreau, M.; Thomas, B.W. The orienteering problem with stochastic travel and service times. Ann. Oper. Res. 2011, 186, 61–81. [Google Scholar] [CrossRef]
  40. Tricoire, F.; Romauch, M.; Doerner, K.F.; Hartl, R.F. Heuristics for the multi-period orienteering problem with multiple time windows. Comput. Oper. Res. 2010, 37, 351–367. [Google Scholar] [CrossRef]
  41. Vansteenwegen, P.; Souffriau, W.; Vanden Berghe, G.; Van Oudheusden, D. Iterated local search for the team orienteering problem with time windows. Comput. Oper. Res. 2009, 36, 3281–3290. [Google Scholar] [CrossRef]
  42. Lin, S.-W.; Yu, V.F. A simulated annealing heuristic for the team orienteering problem with time windows. Eur. J. Oper. Res. 2012, 217, 94–107. [Google Scholar] [CrossRef]
  43. Labadie, N.; Melechovský, J.; Wolfler Calvo, R. Hybridized evolutionary local search algorithm for the team orienteering problem with time windows. J. Heuristics 2011, 17, 729–753. [Google Scholar] [CrossRef]
  44. Yu, V.F.; Jewpanya, P.; Redi, A.A.N.P.; Tsao, Y.-C. Adaptive neighborhood simulated annealing for the heterogeneous fleet vehicle routing problem with multiple cross-docks. Comput. Oper. Res. 2021, 129, 105205. [Google Scholar] [CrossRef]
  45. Lin, S.-W.; Vincent, F.Y. Solving the team orienteering problem with time windows and mandatory visits by multi-start simulated annealing. Comput. Ind. Eng. 2017, 114, 195–205. [Google Scholar] [CrossRef]
  46. da Silva, R.; Filho, E.V.; Alves, A. A thorough study of the performance of simulated annealing in the traveling salesman problem under correlated and long-tailed spatial scenarios. Physica A 2021, 577, 126067. [Google Scholar] [CrossRef]
  47. Haznedar, B.; Kalinli, A. Training ANFIS structure using simulated annealing algorithm for dynamic systems identification. Neurocomputing 2018, 302, 66–74. [Google Scholar] [CrossRef]
  48. Li, Y.; Hao, J.-K. Multi-neighborhood simulated annealing for personalized user project planning. Appl. Soft Comput. 2022, 119, 108566. [Google Scholar] [CrossRef]
  49. Lukovac, V.; Pamučar, D.; Popović, M.; Đorović, B. Portfolio model for analyzing human resources: An approach based on neuro-fuzzy modeling and the simulated annealing algorithm. Expert Syst. Appl. 2017, 90, 318–331. [Google Scholar] [CrossRef]
  50. Maghfiroh, M.F.N.; Hanaoka, S. Multi-period evacuation shelter selection considering dynamic hazards assessment. Indones. J. Comput. Eng. Des. 2019, 1, 64. [Google Scholar] [CrossRef]
  51. Redi, A.A.N.P.; Jewpanya, P.; Kurniawan, A.C.; Persada, S.F.; Nadlifatin, R.; Dewi, O.A. A simulated annealing algorithm for solving two-echelon vehicle routing problem with locker facilities. Algorithms 2020, 13, 218. [Google Scholar] [CrossRef]
  52. Reinaldi, M.; Redi, A.A.; Prakoso, D.F.; Widodo, A.W.; Wibisono, M.R.; Supranartha, A.; Liperda, R.I.; Nadlifatin, R.; Prasetyo, Y.T.; Sakti, S. Solving the two-echelon vehicle routing problem using simulated annealing algorithm considering drop box facilities and emission cost: A case study of reverse logistics application in Indonesia. Algorithms 2021, 14, 259. [Google Scholar] [CrossRef]
  53. Wang, K.; Li, X.; Gao, L.; Li, P.; Gupta, S.M. A genetic simulated annealing algorithm for parallel partial disassembly line balancing problem. Appl. Soft Comput. 2021, 107, 107404. [Google Scholar] [CrossRef]
  54. Yu, V.F.; Jewpanya, P.; Redi, A.A.N.P. Open vehicle routing problem with cross-docking. Comput. Ind. Eng. 2016, 94, 6–17. [Google Scholar] [CrossRef]
Figure 1. Solution representation construction.
Figure 1. Solution representation construction.
Algorithms 18 00110 g001
Figure 2. Example of Sol 1 for 25 locations, 3 days.
Figure 2. Example of Sol 1 for 25 locations, 3 days.
Algorithms 18 00110 g002
Figure 3. Example of Sol 2 for 25 locations, 4 activities.
Figure 3. Example of Sol 2 for 25 locations, 4 activities.
Algorithms 18 00110 g003
Figure 4. Example of the solution.
Figure 4. Example of the solution.
Algorithms 18 00110 g004
Figure 5. Example of the route construction and activity selection.
Figure 5. Example of the route construction and activity selection.
Algorithms 18 00110 g005
Figure 6. Objective values of each parameter settings.
Figure 6. Objective values of each parameter settings.
Algorithms 18 00110 g006
Figure 7. Computational time (second) of each parameter settings.
Figure 7. Computational time (second) of each parameter settings.
Algorithms 18 00110 g007
Figure 8. Pareto chart of the effect of objective value.
Figure 8. Pareto chart of the effect of objective value.
Algorithms 18 00110 g008
Figure 9. Pareto chart of the effect of Computational Time.
Figure 9. Pareto chart of the effect of Computational Time.
Algorithms 18 00110 g009
Figure 10. The one-day trip from the dataset Tak1.
Figure 10. The one-day trip from the dataset Tak1.
Algorithms 18 00110 g010
Table 1. Selected activities patterns.
Table 1. Selected activities patterns.
ActivitiesAssigned Number
0123456789101112131415
40000000011111111
30000111100001111
20011001100110011
10101010101010101
Table 2. Results for 100-TOPTW-PS instances (p = 1).
Table 2. Results for 100-TOPTW-PS instances (p = 1).
NameObjectiveCPUNameObjectiveCPU
Value(Seconds)Value(Seconds)
S-DPSOANSA S-DPSOANSA
c101_ACS33414091c201_ACS8459061
c102_ACS3698656c202_ACS89212190
c103_ACS399154161c203_ACS88698130
c104_ACS409186150c204_ACS92012591
c105_ACS348254245c205_ACS885114165
c106_ACS35510190c206_ACS906174156
c107_ACS370132120c207_ACS914126120
c108_ACS374180153c208_ACS92312596
c109_ACS383135100r201_ACS7439990
r101_ACS19995101r202_ACS826158146
r102_ACS271250182r203_ACS884157123
r103_ACS28296108r204_ACS999190156
r104_ACS29788115r205_ACS848115100
r105_ACS237154111r206_ACS901211169
r106_ACS280130106r207_ACS94610299
r107_ACS282157166r208_ACS996199180
r108_ACS3019880r209_ACS865179166
r109_ACS2708765r210_ACS880166145
r110_ACS275150142r211_ACS931148169
r111_ACS288256161rc201_ACS753132163
r112_ACS28689152rc202_ACS86315898
rc101_ACS2198690rc203_ACS917101120
rc102_ACS258131152rc204_ACS100812995
rc103_ACS254209226rc205_ACS802158120
rc104_ACS28490121rc206_ACS79315585
rc105_ACS235150121rc207_ACS8699379
rc106_ACS248122129rc208_ACS950153114
rc107_ACS2688590Average CPU 140123
rc108_ACS283270156
Average CPU299144129
Table 3. Results for 100-TOPTW-PS instances (p = 2).
Table 3. Results for 100-TOPTW-PS instances (p = 2).
NameObjectiveCPU NameObjectiveCPU
Value(Seconds) Value(Seconds)
S-DPSOANSA S-DPSOANSA
c101_ACS612192.5216.3c201_ACS1384320263
c102_ACS673195.2195.3c202_ACS1386184176
c103_ACS681102.5122.1c203_ACS1363165156
c104_ACS695278.3265.2c204_ACS1366200199
c105_ACS619180.9179.2c205_ACS1395190180
c106_ACS623215.8201.2c206_ACS1420220231
c107_ACS662178.6155.2c207_ACS1401165146
c108_ACS644210.1200.6c208_ACS1426184168
c109_ACS708256.2269.2r201_ACS1124360256
r101_ACS350175.8169.8r202_ACS1212155147
r102_ACS442160.3136.2r203_ACS1279162157
r103_ACS476170.2142.1r204_ACS1323260222
r104_ACS499186.2169.3r205_ACS1244200199
r105_ACS425286.2250.1r206_ACS1319162146
r106_ACS469136.9132.2r207_ACS1305183165
r107_ACS499126.3122.8r208_ACS1357125185
r108_ACS501146.2136.2r209_ACS1307220265
r109_ACS474210.1210.3r210_ACS1292206166
r110_ACS495246.3242.9r211_ACS1329174165
r111_ACS506354.2299.1rc201_ACS1282196189
r112_ACS489214.9212.5rc202_ACS1309165166
rc101_ACS420245.1254.1rc203_ACS1400175172
rc102_ACS462213.5189.7rc204_ACS1566196186
rc103_ACS495152.6162.4rc205_ACS1271274198
rc104_ACS532165.5154.2rc206_ACS1402291215
rc105_ACS452180.4178.5rc207_ACS1384268217
rc106_ACS467285.6185.2rc208_ACS1490188174
rc107_ACS495220164.4Average CPU 207189
rc108_ACS505206.5168.7
Average CPU 203.2189.1
Table 4. Parameter settings.
Table 4. Parameter settings.
ParametersLow LevelHigh Level
Iiter10,00020,000
T058
Tf0.010.1
α 0.40.8
K0.51
Table 5. Results for Tak Instances.
Table 5. Results for Tak Instances.
NameObjective Value
p = 1Gap (%)p = 2Gap (%)p = 3Gap (%)
ANSA-1ANSA-2ANSA-1ANSA-2ANSA-1ANSA-2
Tak17.6310.6940.1043.944.661.7369.7975.317.91
Tak212.7411.71−8.0846.8643.12−7.9868.5469.631.59
Tak37.5110.6141.2846.2648.795.4777.0572.92−5.36
Tak412.8415.7822.9043.8245.53.8367.8571.976.07
Tak59.0610.1512.0344.2948.559.6270.8371.310.68
Tak610.218.5782.0642.757.5234.7171.5367.38−5.80
Tak79.1713.9351.9149.6349.2−0.8775.9370.92−6.60
Tak87.0412.7681.2544.7951.7415.5270.9190.5927.75
Tak97.048.9627.2749.8353.096.5474.472.46−2.61
Tak1015.3213.11−14.4343.6549.6613.7776.5480.264.86
Tak1113.1512.76−2.9743.8145.934.8466.9366.47−0.69
Tak1214.5317.1618.1051.7655.276.7868.9870.652.42
Tak139.079.211.5442.859.7739.6574.4273.34−1.45
Tak149.8710.132.6344.3149.9212.6678.973.14−7.30
Tak156.937.58.2348.0250.655.4874.4581.859.94
Tak165.9714.56143.8940.8952.8529.2571.7367.7−5.62
Tak1711.989.86−17.7040.6148.1118.4776.0476.590.72
Tak1811.6316.0738.1847.9744.17−7.9273.275.533.18
Tak196.110.3169.0241.5744.497.0270.3374.15.36
Tak207.5811.5852.7754.8740.99−25.3079.8168.22−14.52
Tak216.2710.8573.0546.7344.09−5.6574.0175.752.35
Tak224.189.88136.3647.5948.552.0271.1769.44−2.43
Tak2314.7214.860.9547.0346.76−0.5773.1371.15−2.71
Tak2410.476.56−37.3449.0347.35−3.4367.6671.756.04
Tak254.5812.11164.4146.8949.966.5570.8578.9211.39
Tak266.2414.2127.5646.2347.232.1683.171.71−13.71
Tak2712.910.12−21.5550.8162.2322.4876.2771.43−6.35
Tak289.059.889.1744.4546.614.8672.5370.54−2.74
Tak295.795.973.1147.5151.869.1672.5178.558.33
Tak3013.1617.230.7051.0447.25−7.4372.9590.7624.41
Average 37.88 6.78 1.50
Table 6. The travel itinerary for tourists on a one-day trip from the dataset Tak1.
Table 6. The travel itinerary for tourists on a one-day trip from the dataset Tak1.
Sequence of LocationsLocations No.Location DetailEstimate Arrival TimeEstimate Visiting Time
NameActivityScoreOpening and Closing Times
10Shrine of King Taksin 24 h6.00 a.m.-
232Astonishing hillNature-based activities1.8324 h8.00 a.m.1 h
386Ban Tong KitchenRestaurant2.9710.00 a.m.–9.00 p.m.11.30 a.m.1 h
428Bhumibol DamNature-based activities2.986.00 a.m.–6.00 p.m.13.00 a.m.2 h
566Mae Bang Hua Deet NoodlesRestaurant2.916.00 a.m.–8.00 p.m.17.00 p.m.1 h
60Shrine of King Taksin 24 h18.00 p.m.-
Total Score10.69
Disclaimer/Publisher’s Note: The statements, opinions and data contained in all publications are solely those of the individual author(s) and contributor(s) and not of MDPI and/or the editor(s). MDPI and/or the editor(s) disclaim responsibility for any injury to people or property resulting from any ideas, methods, instructions or products referred to in the content.

Share and Cite

MDPI and ACS Style

Jewpanya, P.; Nuangpirom, P.; Pitjamit, S.; Nakkiew, W. Optimized Travel Itineraries: Combining Mandatory Visits and Personalized Activities. Algorithms 2025, 18, 110. https://doi.org/10.3390/a18020110

AMA Style

Jewpanya P, Nuangpirom P, Pitjamit S, Nakkiew W. Optimized Travel Itineraries: Combining Mandatory Visits and Personalized Activities. Algorithms. 2025; 18(2):110. https://doi.org/10.3390/a18020110

Chicago/Turabian Style

Jewpanya, Parida, Pinit Nuangpirom, Siwasit Pitjamit, and Warisa Nakkiew. 2025. "Optimized Travel Itineraries: Combining Mandatory Visits and Personalized Activities" Algorithms 18, no. 2: 110. https://doi.org/10.3390/a18020110

APA Style

Jewpanya, P., Nuangpirom, P., Pitjamit, S., & Nakkiew, W. (2025). Optimized Travel Itineraries: Combining Mandatory Visits and Personalized Activities. Algorithms, 18(2), 110. https://doi.org/10.3390/a18020110

Note that from the first issue of 2016, this journal uses article numbers instead of page numbers. See further details here.

Article Metrics

Back to TopTop