Intelligent Fault Diagnosis for Rotating Mechanical Systems: An Improved Multiscale Fuzzy Entropy and Support Vector Machine Algorithm
Abstract
1. Introduction
- Variable entropy algorithms exhibit the disadvantage of difficult hyperparameter adjustment, which undermines the generalization ability and adaptability of such algorithms [17]. Even when the tuning time for the optimization of hyperparameters is reduced, the time required for the model to implement responsive tuning strategies in response to different vibration signals remains unavoidable.
- In order to conduct research across multiple time scales, commonly used coarse-graining techniques may result in the loss of local variations within the signals. When the scale factor is large, the original data length is significantly reduced. This can lead to issues such as insufficient smoothness in feature generation, bias in feature extraction, and the neglect of certain signal features.
- The widely used multiscale entropy calculates the average entropy values of coarse-grained sequences at different scale factors, which can lead to overfitting [18]. Due to the presence of many similar patterns within vibration signals, averaging the entropy values of various subsequences may introduce redundant information. This causes the model to become dependent on these redundant features, hindering its ability to accurately capture subtle changes and trends in the signals, thereby affecting the algorithm’s generalization capability.
- FE is extended to multiple time scales through the method of shifted coarse-graining to handle data uncertainty and fuzziness. The advantage of this shifted coarse-graining approach is that the vibration signals are utilized multiple times. Consequently, each window can capture more subtle changes and trends, thereby reducing abrupt variations between different windows and accurately reflecting the local features of the original signal.
- To avoid overfitting caused by redundant features, a non-parametric feature extraction method named improved multiscale fuzzy entropy (IMFE) is proposed. This method utilizes the nonlinear dynamic model of IMFE to quantify temporal complexity, circumventing the issue of hyperparameter tuning time. Comparative experimental results demonstrate that IMFE exhibits superior robustness.
- An intelligent fault diagnosis method for rotating machinery is proposed, consisting of four modules: data decomposition, feature extraction, feature dimensionality reduction, and fault diagnosis. First, the empirical mode decomposition (EMD) method is used to perform three-layer decomposition on the data, yielding three intrinsic mode functions. Then, the signal features extracted using IMFE are input into linear discriminant analysis (LDA) for dimensionality reduction. Finally, the support vector machine (SVM) algorithm is employed as the classifier to achieve fault diagnosis, with K-fold cross-validation methods utilized to evaluate the diagnostic model’s performance [19].
- The proposed method is validated using open-source data from rotating mechanical rolling bearings. The results indicate that the proposed method outperforms other comparative methods.
2. Multiscale Entropy Theory
- A downsampled signal of the vibration data is constructed. Given a signal of , the downsampled sequence () at a time scale of is constructed as follows:where and is the size of the time window.
- The constructed signal is used to calculate the sample entropy. For each downsampled signal (), the sample entropy is calculated using two parameters: m (the embedding dimension) and r (the similarity tolerance). A vector () of length m of the following sequence is constructed: . Then, the distance between the elements of the vector is determined (). The similarity ratio () is defined, which is calculated as follows:where is the indicator function. The value is 1 when x exceeds 0 and 0 otherwise.The approximation ratio () is calculated, and the likelihood ratio is the ratio of the approximate number to the total number. It is calculated as follows:Then, the dimension is increased by 1 to become , and the above steps are repeated to obtain . It is calculated as follows:Finally, the sample entropy is defined as follows:
- Finally, the ME is calculated. For each value of , the corresponding SampEn is calculated to obtain the ME. It is calculated as follows:
3. Proposed Method
3.1. EMD Construction
- Step 1:
- For the input signal (), the maximum and minimum points of the original signal are fitted using spline interpolation to construct the upper and lower envelope curves. The mean envelope () is then calculated, and the original signal is subtracted from this mean to obtain a new signal (). This process can be expressed as follows:
- Step 2:
- The new signal () is evaluated to determine whether it satisfies the conditions of an IMF. If the conditions are satisfied, is designated as the first IMF component. If does not meet the conditions, the process continues in a loop using Step 1 until fulfills the feature conditions of an IMF.
- Step 3:
- The first IMF () is separated from the original vibration signal to obtain (). The new signal can be expressed as .
- Step 4:
- The process is repeated until the K-th IMF is obtained. The final result of the EMD can be expressed as follows:where denotes the residue, which represents the central tendency of the vibration signal.
IMFE Design
- Step 1:
- The signal samples are input from the equipment, and set the coarse-graining scale factor sequence is set to , where .
- Step 2:
- The offset factor is set to . When the scale factor is , it increments from 1 until it equals . At each distinct k, coarse-graining is performed to obtain a signal, the fuzzy entropy of which is calculated. This process is repeated for each subsequent scale factor.
- Step 3:
- The fuzzy entropy is calculated [28]. Given an N-dimensional signal (), the phase space dimension () and similarity tolerance (r) are defined. Then, the phase space is reconstructed aswhere . The fuzzy membership function is calculated bywhere and . The maximum absolute distance between window vectors and is obtained asTaking the average for each i yields , and is defined byThe fuzzy entropy of the original signal is denoted byIn the case of a finite dataset, the fuzzy entropy can be estimated as . The combination of all fuzzy entropy is the improved multiscale fuzzy entropy, and the output entropy matrix is .
3.2. LDA Applied
- Step 1:
- The signal data are input (), where any sample () is an n-dimensional vector and represents the fault-class label.
- Step 2:
- The mean vector () for each class in the dataset and the overall mean vector () are calculated. The within-class scatter matrix () and the total scatter matrix () are computed, and the between-class scatter matrix () is computed.
- Step 3:
- Eigenvalue decomposition is performed on matrix , and the eigenvalues are sorted in descending order. The feature vectors corresponding to the top k eigenvalues are selected, and the n-dimensional samples are reduced to k dimensions using the feature matrix ().
3.3. SVM Adopted
- Step 1:
- The vibration signal data are input (), where any sample () is an n-dimensional vector, with . Let represent the fault class label, where .
- Step 2:
- A penalty parameter () is selected, and a convex quadratic programming minimization problem is constructed, denoted as , subject to the constraints of and . This problem is solved to obtain the optimal solution ().
- Step 3:
- is computed; then, a component () that satisfies the condition of is selected, and is calculated.
- Step 4:
- The separating hyperplane defined by is obtained, and the classification decision function is set as .
3.4. Overall Framework of the Proposed Method
- Step 1:
- Vibration signal data are collected from the rotating machinery system. First, the signals are decomposed using the EMD method to extract fault features. This process decomposes complex nonlinear and non-stationary signals into a series of IMFs, with each IMF representing a specific frequency component in the signal, thereby obtaining IMFs that reflect the system’s condition.
- Step 2:
- The IMFs obtained from EMD are applied to the IMFE algorithm. IMFE is a nonlinear dynamics technique, extending the fuzzy entropy approach to multiple time scales. Through the IMFE algorithm, finer vibration data features can be captured across different time scales, addressing the limitations of traditional MFE in handling vibration data with insufficient granularity.
- Step 3:
- After multiscale feature extraction, LDA is applied to reduce the dimensionality of the features. This produces a set of features with enhanced classification performance, reducing feature redundancy and improving diagnostic efficiency.
- Step 4:
- Using the extracted and dimensionally reduced features, an SVM model is trained. This model is designed to accurately recognize various fault types in the elevator rotating machinery system. Finally, K-fold cross-validation is applied to assess the effectiveness of the proposed algorithm.
4. Experimental Validation
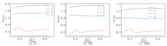
4.1. CASE 1: Performance Verification of IMFE Algorithm
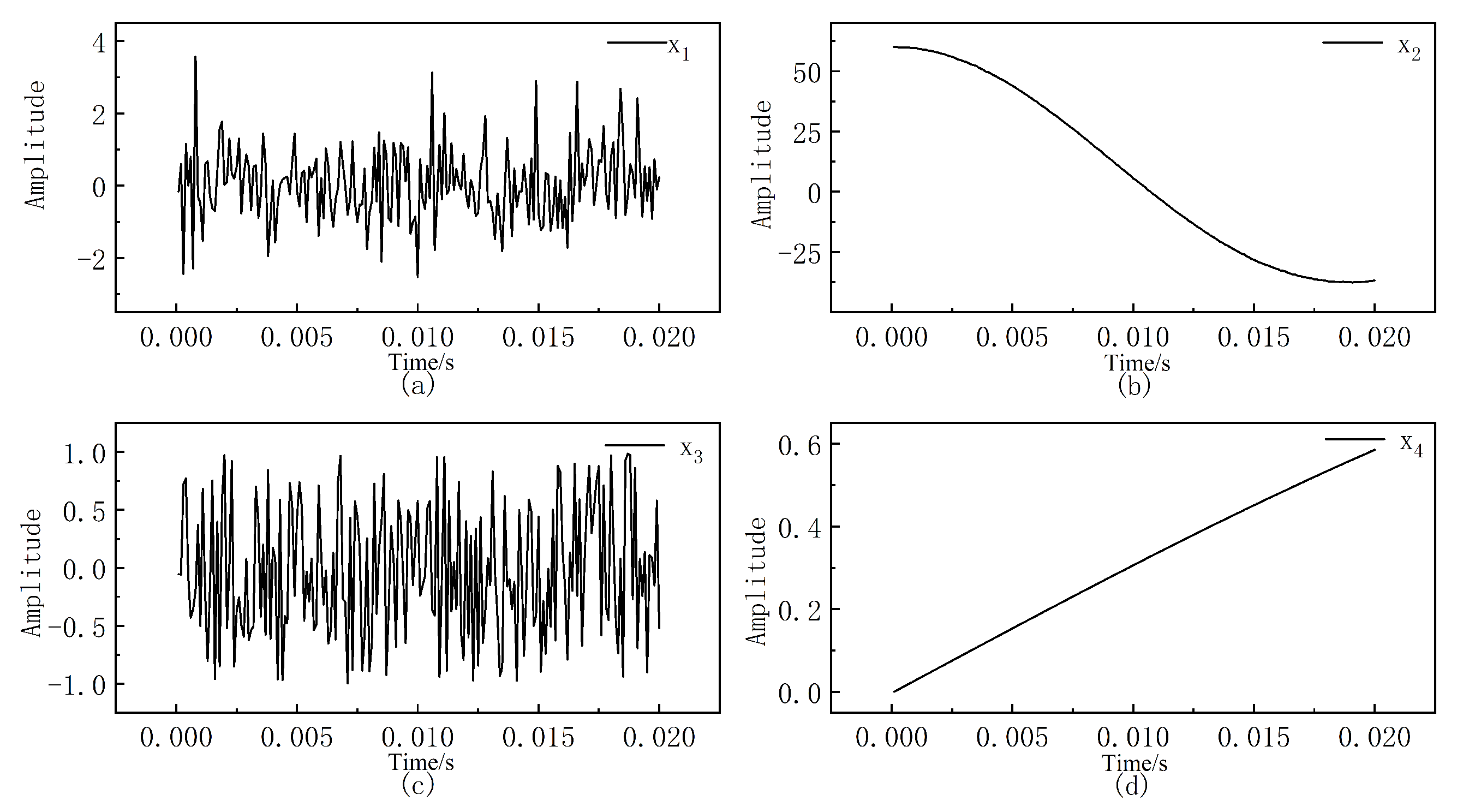
4.1.1. The Selection of a Vibration Signal
4.1.2. Performance Experiment
4.2. CASE 2: Fault Diagnosis of a Roller Bearing Unit
4.2.1. Fault Data Description of Roller Bearing
4.2.2. Comparative Analysis of Experimental Results
5. Conclusions
Author Contributions
Funding
Data Availability Statement
Conflicts of Interest
Abbreviations
| RMS | Rotating mechanical system |
| IMFE-SVM | Improved multiscale fuzzy entropy and support vector machine |
| EMD | Empirical mode decomposition |
| IMFE | Improved multiscale fuzzy entropy |
| LDA | Linear discriminant analysis |
| SVM | Support vector machine |
| SE | Sample entropy |
| FE | Fuzzy entropy |
| MPE | Multiscale permutation entropy |
| CNN | Convolutional neural network |
| ME | Multiscale entropy |
| IMFs | Intrinsic mode functions |
| MFE | Multiscale fuzzy entropy |
| FDA | Fisher discriminant analysis |
| CWRU | Case Western Reserve University |
References
- Shao, H.; Jiang, H.; Zhang, H.; Liang, T. Electric locomotive bearing fault diagnosis using a novel convolutional deep belief network. IEEE Trans. Ind. Electron. 2017, 65, 2727–2736. [Google Scholar] [CrossRef]
- Zhu, Z.; Lei, Y.; Qi, G.; Chai, Y.; Mazur, N.; An, Y.; Huang, X. A review of the application of deep learning in intelligent fault diagnosis of rotating machinery. Measurement 2023, 206, 112346. [Google Scholar] [CrossRef]
- Heng, A.; Zhang, S.; Tan, A.C.; Mathew, J. Rotating machinery prognostics: State of the art, challenges and opportunities. Mech. Syst. Signal Process. 2009, 23, 724–739. [Google Scholar] [CrossRef]
- Maione, F.; Lino, P.; Maione, G.; Giannino, G. A Machine Learning Framework for Condition-Based Maintenance of Marine Diesel Engines: A Case Study. Algorithms 2024, 17, 411. [Google Scholar] [CrossRef]
- Li, Q.; Liang, S.Y. Degradation trend prediction for rotating machinery using long-range dependence and particle filter approach. Algorithms 2018, 11, 89. [Google Scholar] [CrossRef]
- Shen, S.; Lu, H.; Sadoughi, M.; Hu, C.; Nemani, V.; Thelen, A.; Webster, K.; Darr, M.; Sidon, J.; Kenny, S. A physics-informed deep learning approach for bearing fault detection. Eng. Appl. Artif. Intell. 2021, 103, 104295. [Google Scholar] [CrossRef]
- Li, C.; Li, S.; Zhang, A.; He, Q.; Liao, Z.; Hu, J. Meta-learning for few-shot bearing fault diagnosis under complex working conditions. Neurocomputing 2021, 439, 197–211. [Google Scholar] [CrossRef]
- Badihi, H.; Zhang, Y.; Jiang, B.; Pillay, P.; Rakheja, S. A comprehensive review on signal-based and model-based condition monitoring of wind turbines: Fault diagnosis and lifetime prognosis. Proc. IEEE 2022, 110, 754–806. [Google Scholar] [CrossRef]
- Md Nor, N.; Che Hassan, C.R.; Hussain, M.A. A review of data-driven fault detection and diagnosis methods: Applications in chemical process systems. Rev. Chem. Eng. 2020, 36, 513–553. [Google Scholar] [CrossRef]
- Huo, Z.; Martínez-García, M.; Zhang, Y.; Shu, L. A multisensor information fusion method for high-reliability fault diagnosis of rotating machinery. IEEE Trans. Instrum. Meas. 2021, 71, 3500412. [Google Scholar] [CrossRef]
- Zhang, L.; Zhang, Y.; Li, G. Fault-diagnosis method for rotating machinery based on SVMD entropy and machine learning. Algorithms 2023, 16, 304. [Google Scholar] [CrossRef]
- Guan, Z.; Liao, Z.; Li, K.; Chen, P. A precise diagnosis method of structural faults of rotating machinery based on combination of empirical mode decomposition, sample entropy, and deep belief network. Sensors 2019, 19, 591. [Google Scholar] [CrossRef]
- Ma, J.; Li, Z.; Li, C.; Zhan, L.; Zhang, G.Z. Rolling bearing fault diagnosis based on refined composite multi-scale approximate entropy and optimized probabilistic neural network. Entropy 2021, 23, 259. [Google Scholar] [CrossRef]
- Chang, C.K.; Boyanapalli, B.K.; Wu, R.N. Application of fuzzy entropy to improve feature selection for defect recognition using support vector machine in high voltage cable joints. IEEE Trans. Dielectr. Electr. Insul. 2020, 27, 2147–2155. [Google Scholar] [CrossRef]
- Ge, J.; Niu, T.; Xu, D.; Yin, G.; Wang, Y. A rolling bearing fault diagnosis method based on EEMD-WSST signal reconstruction and multi-scale entropy. Entropy 2020, 22, 290. [Google Scholar] [CrossRef] [PubMed]
- Li, H.; Huang, J.; Yang, X.; Luo, J.; Zhang, L.; Pang, Y. Fault diagnosis for rotating machinery using multiscale permutation entropy and convolutional neural networks. Entropy 2020, 22, 851. [Google Scholar] [CrossRef]
- Yang, L.; Shami, A. On hyperparameter optimization of machine learning algorithms: Theory and practice. Neurocomputing 2020, 415, 295–316. [Google Scholar] [CrossRef]
- Zhang, L.; Dong, H.; Jia, L.; Wang, B. Multi-scale Siamese Network for Few-Shot Fault Diagnosis of Bogie Component. In Proceedings of the International Conference on Electrical and Information Technologies for Rail Transportation, Beijing, China, 19–21 October 2023; Springer: Berlin/Heidelberg, Germany, 2023; pp. 638–646. [Google Scholar]
- Dutschmann, T.M.; Kinzel, L.; Ter Laak, A.; Baumann, K. Large-scale evaluation of k-fold cross-validation ensembles for uncertainty estimation. J. Cheminform. 2023, 15, 49. [Google Scholar] [CrossRef] [PubMed]
- Humeau-Heurtier, A. The multiscale entropy algorithm and its variants: A review. Entropy 2015, 17, 3110–3123. [Google Scholar] [CrossRef]
- Costa, M.; Goldberger, A.L.; Peng, C.K. Multiscale entropy analysis of complex physiologic time series. Phys. Rev. Lett. 2002, 89, 068102. [Google Scholar] [CrossRef] [PubMed]
- Boudraa, A.O.; Cexus, J.C. EMD-based signal filtering. IEEE Trans. Instrum. Meas. 2007, 56, 2196–2202. [Google Scholar] [CrossRef]
- Wang, K.; Xu, Z.J.; Gong, Y.; Du, K.L. Mechanical Fault Prognosis through Spectral Analysis of Vibration Signals. Algorithms 2022, 15, 94. [Google Scholar] [CrossRef]
- Zheng, J.; Su, M.; Ying, W.; Tong, J.; Pan, Z. Improved uniform phase empirical mode decomposition and its application in machinery fault diagnosis. Measurement 2021, 179, 109425. [Google Scholar] [CrossRef]
- Chen, W.; Xiao, Y. An improved ABC algorithm and its application in bearing fault diagnosis with EEMD. Algorithms 2019, 12, 72. [Google Scholar] [CrossRef]
- Azami, H.; Fernández, A.; Escudero, J. Refined multiscale fuzzy entropy based on standard deviation for biomedical signal analysis. Med. Biol. Eng. Comput. 2017, 55, 2037–2052. [Google Scholar] [CrossRef] [PubMed]
- Wang, Z.; Chen, H.; Yuan, Z.; Wan, J.; Li, T. Multiscale Fuzzy Entropy-Based Feature Selection. IEEE Trans. Fuzzy Syst. 2023, 31, 3248–3262. [Google Scholar] [CrossRef]
- Versaci, M.; Morabito, F.C. Image edge detection: A new approach based on fuzzy entropy and fuzzy divergence. Int. J. Fuzzy Syst. 2021, 23, 918–936. [Google Scholar] [CrossRef]
- Xu, Y.; Yang, J.Y.; Jin, Z. A novel method for Fisher discriminant analysis. Pattern Recognit. 2004, 37, 381–384. [Google Scholar] [CrossRef]
- Xanthopoulos, P.; Pardalos, P.M.; Trafalis, T.B.; Xanthopoulos, P.; Pardalos, P.M.; Trafalis, T.B. Linear discriminant analysis. In Robust Data Mining; Springer: New York, NY, USA, 2013; pp. 27–33. [Google Scholar]
- Vishwanathan, S.; Murty, M.N. SSVM: A simple SVM algorithm. In Proceedings of the 2002 International Joint Conference on Neural Networks, IJCNN’02 (Cat. No. 02CH37290), Honolulu, HI, USA, 12–17 May 2002; IEEE: Piscataway, NJ, USA, 2002; Volume 3, pp. 2393–2398. [Google Scholar]
- Cervantes, J.; Garcia-Lamont, F.; Rodríguez-Mazahua, L.; Lopez, A. A comprehensive survey on support vector machine classification: Applications, challenges and trends. Neurocomputing 2020, 408, 189–215. [Google Scholar] [CrossRef]
- Wang, X.; Si, S.; Li, Y. Variational embedding multiscale diversity entropy for fault diagnosis of large-scale machinery. IEEE Trans. Ind. Electron. 2021, 69, 3109–3119. [Google Scholar] [CrossRef]
- Chen, F.; Zhang, L.; Liu, W.; Zhang, T.; Zhao, Z.; Wang, W.; Chen, D.; Wang, B. A fault diagnosis method of rotating machinery based on improved multiscale attention entropy and random forests. Nonlinear Dyn. 2024, 112, 1191–1220. [Google Scholar] [CrossRef]
- Li, Y.; Wang, X.; Si, S.; Huang, S. Entropy based fault classification using the Case Western Reserve University data: A benchmark study. IEEE Trans. Reliab. 2019, 69, 754–767. [Google Scholar] [CrossRef]










| Correlation Coefficient | FE | MPE | IMFE |
|---|---|---|---|
| 0.9219 | 0.9091 | 0.8911 | |
| 0.0709 | 0.6306 | 0.1901 | |
| 0.8380 | 0.7203 | 0.6845 | |
| 0.2189 | 0.3634 | 0.3069 |
| Standard Deviation | FE | MPE | IMFE |
|---|---|---|---|
| 0.0536 | 0.0305 | 0.0164 | |
| 0.0596 | 0.0541 | 0.0462 | |
| 0.0156 | 0.0156 | 0.0109 | |
| 0.0026 | 0.0029 | 0.0028 |
| Variation | FE | MPE | IMFE |
|---|---|---|---|
| 0.00287 | 0.00093 | 0.00027 | |
| 0.00356 | 0.00292 | 0.00214 | |
| 0.00024 | 0.00024 | 0.00012 | |
| 0.0000069 | 0.0000087 | 0.0000077 |
| Number | Fault (Yes/No) | Fault Location | Fault Diameter (Inches) | Abbreviation |
|---|---|---|---|---|
| Class 1 | No | / | / | Nor |
| Class 2 | Yes | Inner ring | 0.007 | IR7 |
| Class 3 | Yes | Rolling element | 0.007 | RE7 |
| Class 4 | Yes | Outer ring | 0.007 | OR7 |
| Class 5 | Yes | Inner ring | 0.014 | IR14 |
| Class 6 | Yes | Rolling element | 0.014 | RE14 |
| Class 7 | Yes | Outer ring | 0.014 | OR14 |
| Class 8 | Yes | Inner ring | 0.021 | IR21 |
| Class 9 | Yes | Rolling element | 0.021 | RE21 |
| Class 10 | Yes | Outer ring | 0.021 | OR21 |
| Model | Average Accuracy | Max Accuracy | Min Accuracy |
|---|---|---|---|
| Method 1 (EMD(3) & FE & SVM) | 88.88% | 91.42% | 85.41% |
| Method 2 (EMD(7) & FE & SVM) | 94.54% | 96.14% | 92.70% |
| Method 3 (EMD(7) & FE + WF(FE) & SVM) | 94.83% | 96.12% | 93.10% |
| Method 4 (EMD(7) & FE + WF(FE) & CV(FE) & SVM | 94.71% | 96.12% | 93.10% |
| Method 5 (EMD(3) & MFE & SVM) | 85.40% | 87.55% | 83.69% |
| Method 6 (EMD(3) & IMFE & LDA & SVM, proposed method) | 98.41% | 99.14% | 97.42% |
Disclaimer/Publisher’s Note: The statements, opinions and data contained in all publications are solely those of the individual author(s) and contributor(s) and not of MDPI and/or the editor(s). MDPI and/or the editor(s) disclaim responsibility for any injury to people or property resulting from any ideas, methods, instructions or products referred to in the content. |
© 2024 by the authors. Licensee MDPI, Basel, Switzerland. This article is an open access article distributed under the terms and conditions of the Creative Commons Attribution (CC BY) license (https://creativecommons.org/licenses/by/4.0/).
Share and Cite
Pan, Y.; Chen, Y.; Fei, X.; Wang, K.; Fang, T.; Wang, J. Intelligent Fault Diagnosis for Rotating Mechanical Systems: An Improved Multiscale Fuzzy Entropy and Support Vector Machine Algorithm. Algorithms 2024, 17, 588. https://doi.org/10.3390/a17120588
Pan Y, Chen Y, Fei X, Wang K, Fang T, Wang J. Intelligent Fault Diagnosis for Rotating Mechanical Systems: An Improved Multiscale Fuzzy Entropy and Support Vector Machine Algorithm. Algorithms. 2024; 17(12):588. https://doi.org/10.3390/a17120588
Chicago/Turabian StylePan, Yuxin, Yinsheng Chen, Xihong Fei, Kang Wang, Tian Fang, and Jing Wang. 2024. "Intelligent Fault Diagnosis for Rotating Mechanical Systems: An Improved Multiscale Fuzzy Entropy and Support Vector Machine Algorithm" Algorithms 17, no. 12: 588. https://doi.org/10.3390/a17120588
APA StylePan, Y., Chen, Y., Fei, X., Wang, K., Fang, T., & Wang, J. (2024). Intelligent Fault Diagnosis for Rotating Mechanical Systems: An Improved Multiscale Fuzzy Entropy and Support Vector Machine Algorithm. Algorithms, 17(12), 588. https://doi.org/10.3390/a17120588

