Human Activity Recognition: A Comparative Study of Validation Methods and Impact of Feature Extraction in Wearable Sensors
Abstract
1. Introduction and Background
Background
2. Dataset and Methodology
2.1. Dataset
Collection
2.2. Methodology
2.2.1. Data Preprocessing
2.2.2. Feature Engineering and Exploratory Data Analysis
2.2.3. Feature Segmentation and Extraction
2.2.4. Feature Selection
2.2.5. Modeling and Classification
2.3. Evaluation
- (i)
- K-fold cross-validation involves splitting the dataset into k parts. While one part is reserved for testing, the other will be used in training. This is repeated k times, and a different part is used each time. This method reports higher accuracy but struggles with generalization.
- (ii)
- Leave-One-Subject-Out (LOSO) cross-validation is a variant of k-fold cross-validation, but one subject is left out of the entire fold for testing. The approach employs a testing subset of size p and a training subset of size n − p, where p retains all samples from a specific subject together. This process is iterated n times, ensuring that a given subject is not simultaneously present in both testing and training sets. This approach facilitates model generalization by incorporating data from diverse subjects.
3. Results
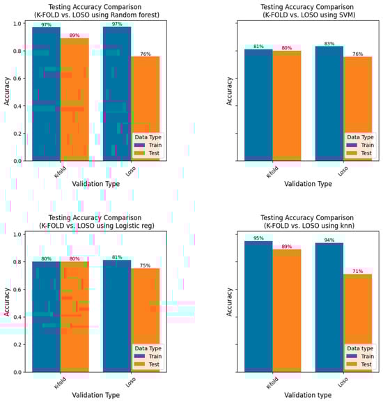
3.1. Performance of k-Fold and LOSO Methods Across Models
3.2. Performance of Raw Data Models and Extracted HC Feature Models
- (i)
- Its ensemble learning property, which combines the predictions of multiple decision trees, allowing it to adapt well to different activity characteristics, even where they may exhibit complex and diverse patterns.
- (ii)
- Its measure of feature importance, selecting the most relevant features that contribute more to the model’s predictive performance. Where features are crucial to distinguishing between activities, it assigns higher importance to these features.
- (iii)
4. Discussion
5. Conclusions and Future Work
Author Contributions
Funding
Data Availability Statement
Conflicts of Interest
References
- Weiser, M. The computer for the 21st Century. IEEE Pervasive Comput. 2002, 1, 19–25. [Google Scholar] [CrossRef]
- Jiang, S.; Shull, P.B.; Lv, B.; Sheng, X.; Zhang, C.; Wang, H. Development of a real-time hand gesture recognition wristband based on sEMG and IMU sensing. In Proceedings of the 16 IEEE International Conference on Robotics and Biomimetics (ROBIO), Qingdao, China, 3–7 December 2016; Available online: https://ieeexplore.ieee.org/document/7866498 (accessed on 8 December 2023).
- Bulling, A.; Blanke, U.; Schiele, B. A tutorial on human activity recognition using body-worn inertial sensors. ACM Comput. Surv. 2014, 46, 1–33. [Google Scholar] [CrossRef]
- Bragança, H.; Colonna, J.G.; Oliveira, H.A.B.F.; Souto, E. How Validation Methodology Influences Human Activity Recognition Mobile Systems. Sensors 2022, 22, 2360. [Google Scholar] [CrossRef] [PubMed]
- Wang, D.; Candinegara, E.; Hou, J.; Tan, A.-H.; Miao, C. Robust Human Activity Recognition Using Lesser Number of Wearable Sensors. In Proceedings of the 2017 International Conference on Security, Pattern Analysis, and Cybernetics (SPAC), Shenzhen, China, 15–17 December 2017; Available online: https://ink.library.smu.edu.sg/sis_research/5468/ (accessed on 5 December 2023).
- Xu, J.; Han, J.; Nie, F.; Li, X. Multi-view Scaling Support Vector Machines for Classification and Feature Selection. IEEE Trans. Knowl. Data Eng. 2019, 32, 1419–1430. [Google Scholar] [CrossRef]
- Arlot, S.; Celisse, A. A survey of cross-validation procedures for model selection. Stat. Surv. 2010, 4, 40–79. [Google Scholar] [CrossRef]
- Ferrari, A.; Micucci, D.; Mobilio, M.; Napoletano, P. Trends in human activity recognition using smartphones. J. Reliab. Intell. Environ. 2021, 7, 189–213. [Google Scholar] [CrossRef]
- Little, M.A.; Varoquaux, G.; Saeb, S.; Lonini, L.; Jayaraman, A.; Mohr, D.C.; Kording, K.P. Using and understanding cross-validation strategies. Perspectives on Saeb et al. GigaScience 2017, 6, gix020. [Google Scholar] [CrossRef] [PubMed]
- Hammerla, N.Y.; Plötz, T. Let’s (not) stick together: Pairwise similarity biases cross-validation in activity recognition. In Proceedings of the 2015 ACM International Joint Conference on Pervasive and Ubiquitous Computing, Osaka, Japan, 7–11 September 2015. [Google Scholar] [CrossRef]
- Widhalm, P.; Leodolter, M.; Brändle, N. Top in the Lab, Flop in the Field? Evaluation of a sensor-based travel activity classifier with the SHL dataset. In Proceedings of the 2018 ACM International Joint Conference and 2018 International Symposium on Pervasive and Ubiquitous Computing and Wearable Computers, Singapore, 8–12 October 2018. [Google Scholar] [CrossRef]
- Dehghani, A.; Glatard, T.; Shihab, E. Subject Cross Validation in Human Activity Recognition. arXiv 2019. [Google Scholar] [CrossRef]
- Tello, A.; Degeler, V.; Lazovik, A. Too Good to Be True: Performance overestimation in (re)current practices for Human Activity Recognition. arXiv 2023. [Google Scholar] [CrossRef]
- He, K.; Zhang, X.; Ren, S.; Sun, J. Deep residual learning for image recognition. In Proceedings of the IEEE Conference on Computer Vision and Pattern Recognition, Las Vegas, NV, USA, 27–30 June 2016; pp. 770–778. [Google Scholar]
- Yang, C.; An, Z.; Zhu, H.; Hu, X.; Zhang, K.; Xu, K.; Li, C.; Xu, Y. Gated convolutional networks with hybrid connectivity for image classification. In Proceedings of the AAAI Conference on Artificial Intelligence, New York, NY, USA, 7–12 February 2020; Volume 34, pp. 12581–12588. [Google Scholar]
- Reiss, A. PAMAP2 Physical Activity Monitoring [Dataset]. UCI Machine Learning Repository. 2012. [CrossRef]
- Caruso, C.; Quarta, F. Interpolation methods comparison. Comput. Math. Appl. 1998, 35, 109–126. [Google Scholar] [CrossRef]
- Hunter, J.D. Matplotlib: A 2D graphics environment. Comput. Sci. Eng. 2007, 9, 90–95. [Google Scholar] [CrossRef]
- Gholamiangonabadi, D.; Kiselov, N.; Grolinger, K. Deep Neural Networks for Human Activity Recognition with Wearable Sensors: Leave-One-Subject-Out Cross-Validation for Model Selection. IEEE Access 2020, 8, 133982–133994. Available online: https://ieeexplore.ieee.org/abstract/document/9144538 (accessed on 5 December 2023). [CrossRef]
- Ambati, L.S.; El-Gayar, O. Human Activity Recognition: A Comparison of Machine Learning Approaches. J. Midwest Assoc. Inf. Syst. (JMWAIS) 2021, 2021, 4. [Google Scholar] [CrossRef]
- Andreu-Perez, J.; Leff, D.R.; Ip, H.M.D.; Yang, G.-Z. From Wearable Sensors to Smart Implants Toward Pervasive and Personalized Healthcare. IEEE Trans. Biomed. Eng. 2015, 62, 2750–2762. [Google Scholar] [CrossRef]
- Asghari, P.; Nazerfard, E. Activity Recognition Using Hierarchical Hidden Markov Models on Streaming Sensor Data. In Proceedings of the 2018 9th International Symposium on Telecommunications (IST), Tehran, Iran, 17–19 December 2018. [Google Scholar] [CrossRef]
- Baldominos, A.; Isasi, P.; Saez, Y. Feature selection for physical activity recognition using genetic algorithms. In Proceedings of the 2017 IEEE Congress on Evolutionary Computation (CEC), Donostia, Spain, 5–8 June 2017; Available online: https://ieeexplore.ieee.org/document/7969569 (accessed on 5 December 2023).
- Waskom, M.; Botvinnik, O.; O’Kane, D.; Hobson, P.; Lukauskas, S.; Gemperline, D.C.; Augspurger, T.; Halchenko, Y.; Cole, J.B.; Warmenhoven, J.; et al. Mwaskom/Seaborn; v0.8.1. Zenodo: Brussel Belgium, 2017. Available online: https://doi.org/10.5281/zenodo.883859 (accessed on 5 December 2023).
- Scikit-learn.org. 1. Supervised Learning—Scikit-Learn 0.21.3 Documentation. 2019. Available online: https://scikit-learn.org/stable/supervised_learning.html#supervised-learning (accessed on 5 December 2023).
- Dargie, W. Analysis of Time and Frequency Domain Features of Accelerometer Measurements. In Proceedings of the 18th International Conference on Computer Communications and Networks, San Francisco, CA, USA, 3–6 August 2009; Available online: https://ieeexplore.ieee.org/document/5235366 (accessed on 5 December 2023).
- Aguirre, P.L.; Torres, L.A.; Lemos, A.P. Autoregressive modeling of wrist attitude for feature enrichment in human activity recognition. In Proceedings of the Congresso Brasileiro de Inteligência Computacional, Niterói, RJ, Brazil, 30 October–1 November 2017. [Google Scholar]
- Banos, O.; Galvez, J.-M.; Damas, M.; Pomares, H.; Rojas, I. Window Size Impact in Human Activity Recognition. Sensors 2014, 14, 6474–6499. [Google Scholar] [CrossRef]
- Bock, M.; Hölzemann, A.; Moeller, M.; Laerhoven, K. Tutorial on Deep Learning for Human Activity Recognition. 2021. Available online: https://arxiv.org/pdf/2110.06663.pdf (accessed on 5 December 2023).
- Module 4: Frequency Domain Signal Processing and Analysis. Available online: https://www.ccee.ncsu.edu/ccli-sensors/wp-content/uploads/sites/4/2015/09/Module-4.pdf (accessed on 5 December 2023).
- Feng, Z.; Mo, L.; Li, M. A Random Forest-based Ensemble Method for Activity Recognition. In Proceedings of the 2015 37th Annual International Conference of the IEEE Engineering in Medicine and Biology Society (EMBC), Milan, Italy, 25–29 August 2015. [Google Scholar] [CrossRef]
- Lara, O.D.; Labrador, M.A. A Survey on Human Activity Recognition using Wearable Sensors. IEEE Commun. Surv. Tutor. 2013, 15, 1192–1209. [Google Scholar] [CrossRef]
- Gupta, A.; Gupta, K.; Gupta, K.; Gupta, K. A Survey on Human Activity Recognition and Classification. In Proceedings of the 2020 International Conference on Communication and Signal Processing (ICCSP), Chennai, India, 28–30 July 2020; Available online: https://ieeexplore.ieee.org/document/9182416 (accessed on 5 December 2023).
- Zdravevski, E.; Lameski, P.; Trajkovik, V.; Kulakov, A.; Chorbev, I.; Goleva, R.; Pombo, N.; Garcia, N. Improving Activity Recognition Accuracy in Ambient-Assisted Living Systems by Automated Feature Engineering. IEEE Access 2017, 5, 5262–5280. [Google Scholar] [CrossRef]
- Jain, A.; Kanhangad, V. Human Activity Classification in Smartphones Using Accelerometer and Gyroscope Sensors. IEEE Sens. J. 2018, 18, 1169–1177. [Google Scholar] [CrossRef]
- Li, K.; Habre, R.; Deng, H.; Urman, R.; Morrison, J.; Gilliland, F.D.; Ambite, J.L.; Stripelis, D.; Chiang, Y.Y.; Lin, Y. Applying multivariate segmentation methods to human activity recognition from wearable sensors’ data. JMIR Mhealth Uhealth 2019, 7, e11201. [Google Scholar] [CrossRef]
- Quigley, B.; Donnelly, M.; Moore, G.; Galway, L. A Comparative Analysis of Windowing Approaches in Dense Sensing Environments. Proceedings 2018, 2, 1245. [Google Scholar] [CrossRef]
- Ferrari, A.; Micucci, D.; Mobilio, M.; Napoletano, P. On the Personalization of Classification Models for Human Activity Recognition. IEEE Access 2020, 8, 32066–32079. Available online: https://ieeexplore.ieee.org/abstract/document/8995531 (accessed on 5 December 2023). [CrossRef]
- Sztyler, T.; Stuckenschmidt, H.; Petrich, W. Position-aware activity recognition with wearable devices. Pervasive Mob. Comput. 2017, 38, 281–295. [Google Scholar] [CrossRef]
- Lane, N.D.; Xu, Y.; Lu, H.; Hu, S.; Choudhury, T.; Campbell, A.T.; Zhao, F. Enabling large-scale human activity inference on smartphones using community similarity networks (csn). In Proceedings of the 13th International Conference on Ubiquitous Computing, Beijing China, 17–21 September 2011. [Google Scholar] [CrossRef]
- Mannini, A.; Sabatini, A.M. Machine Learning Methods for Classifying Human Physical Activity from On-Body Accelerometers. Sensors 2010, 10, 1154–1175. [Google Scholar] [CrossRef]
- McKhann, G.; Drachman, D.; Folstein, M.; Katzman, R.; Price, D.; Stadlan, E.M. Clinical diagnosis of Alzheimer’s disease: Report of the NINCDS-ADRDA Work Group* under the auspices of Department of Health and Human Services Task Force on Alzheimer’s Disease. Neurology 2010, 34, 939. [Google Scholar] [CrossRef]
- Micucci, D.; Mobilio, M.; Napoletano, P. UniMiB SHAR: A Dataset for Human Activity Recognition Using Acceleration Data from Smartphones. Appl. Sci. 2017, 7, 1101. [Google Scholar] [CrossRef]
- Nweke, H.F.; Teh, Y.W.; Al-garadi, M.A.; Alo, U.R. Deep Learning Algorithms for Human Activity Recognition Using Mobile and Wearable Sensor networks: State of the Art and Research Challenges. Expert Syst. Appl. 2018, 105, 233–261. [Google Scholar] [CrossRef]
- Lara, O.D.; Pérez, A.J.; Labrador, M.A.; Posada, J.D. Centinela: A human activity recognition system based on acceleration and vital sign data. Pervasive Mob. Comput. 2012, 8, 717–729. [Google Scholar] [CrossRef]
- Perez, A.J.; Zeadally, S. Recent Advances in Wearable Sensing Technologies. Sensors 2021, 21, 6828. [Google Scholar] [CrossRef]
- Reyes-Ortiz, J.L.; Anguita, D.; Ghio, A.; Parra, X. Human Activity Recognition Using Smartphones Dataset. 2012. Available online: https://archive.ics.uci.edu/dataset/240/human+activity+recognition+using+smartphones (accessed on 5 December 2023).
- Reyes-Ortiz, J.L.; Oneto, L.; Samà, A.; Parra, X.; Anguita, D. Transition-Aware Human Activity Recognition Using Smartphones. Neurocomputing 2016, 171, 754–767. [Google Scholar] [CrossRef]
- Saez, Y.; Baldominos, A.; Isasi, P. A Comparison Study of Classifier Algorithms for Cross- Person Physical Activity Recognition. Sensors 2016, 17, 66. [Google Scholar] [CrossRef] [PubMed]
- Tapia, E.M.; Intille, S.S.; Haskell, W.; Larson, K.; Wright, J.; King, A.; Friedman, R. Real-Time Recognition of Physical Activities and Their Intensities Using Wireless Accelerometers and a Heart Rate Monitor. In Proceedings of the 2007 11th IEEE International Symposium on Wearable Computers, Boston, MA, USA, 11–13 October 2007. [Google Scholar] [CrossRef]







| Feature | Domain |
|---|---|
| Mean | Time |
| Median | Time |
| Max/min | Time |
| Kurtosis | Time |
| Standard deviation | Time |
| Variance | Time |
| Covariance between axes | Frequency |
| Energy | Frequency |
| Entropy | Time |
| Accuracy | Precision | Recall | Model | |
|---|---|---|---|---|
| 0 | 0.890995 | 0.901599 | 0.893519 | random forest |
| 1 | 0.890338 | 0.911733 | 0.892361 | random forest |
| 2 | 0.895080 | 0.914623 | 0.896021 | random forest |
| 3 | 0.873740 | 0.899322 | 0.875867 | random forest |
| 4 | 0.882039 | 0.890860 | 0.886018 | random forest |
| 5 | 0.880261 | 0.897396 | 0.877654 | random forest |
| 6 | 0.889152 | 0.909028 | 0.891709 | random forest |
| 7 | 0.882632 | 0.907564 | 0.885401 | random forest |
| Model | Subject | Accuracy | Precision | Recall | F1-Score |
|---|---|---|---|---|---|
| Rf_model | 1 | 0.684866 | 0.693740 | 0.684866 | 0.667359 |
| 2 | 0.812204 | 0.825516 | 0.812204 | 0.808839 | |
| 3 | 0.770006 | 0.785704 | 0.770006 | 0.759448 | |
| 4 | 0.755187 | 0.784565 | 0.755187 | 0.753585 | |
| 5 | 0.623815 | 0.579001 | 0.623815 | 0.583957 | |
| 6 | 0.772970 | 0.780498 | 0.772970 | 0.768426 | |
| 7 | 0.783175 | 0.810397 | 0.783175 | 0.784631 | |
| 8 | 0.852401 | 0.862090 | 0.852401 | 0.854501 |
| Precision | Recall | F1 Score | Support | |
|---|---|---|---|---|
| 1 | 0.89 | 0.72 | 0.79 | 1893 |
| 2 | 0.69 | 0.76 | 0.73 | 1819 |
| 3 | 0.77 | 0.78 | 0.77 | 1868 |
| 4 | 0.89 | 0.73 | 0.80 | 1629 |
| 7 | 0.00 | 0.00 | 0.00 | 59 |
| 12 | 0.57 | 0.64 | 0.60 | 1138 |
| 13 | 0.75 | 0.56 | 0.64 | 1017 |
| 16 | 0.79 | 0.83 | 0.81 | 1721 |
| 17 | 0.73 | 0.90 | 0.80 | 2353 |
| accuracy | 0.76 | 13,497 | ||
| macro avg | 0.68 | 0.66 | 0.66 | 13,497 |
| weighted avg | 0.76 | 0.76 | 0.76 | 13,497 |
| Precision | Recall | F1 Score | Support | |
|---|---|---|---|---|
| 1 | 0.98 | 0.91 | 0.95 | 1893 |
| 2 | 0.91 | 0.87 | 0.89 | 1819 |
| 3 | 0.83 | 0.89 | 0.86 | 1868 |
| 4 | 0.96 | 0.93 | 0.95 | 1629 |
| 7 | 0.97 | 1.00 | 0.98 | 59 |
| 12 | 0.88 | 0.82 | 0.85 | 1138 |
| 13 | 0.92 | 0.76 | 0.83 | 1017 |
| 16 | 0.89 | 0.86 | 0.88 | 1721 |
| 17 | 0.80 | 0.94 | 0.86 | 2353 |
| Accuracy | 0.89 | 13,497 | ||
| Macro avg | 0.90 | 0.89 | 0.89 | 13,497 |
| Weighted avg | 0.89 | 0.89 | 0.89 | 13,497 |
| Model | Subject | Accuracy | Precision | Recall | F1 Score |
|---|---|---|---|---|---|
| Rf_model | 1 | 0.684866 | 0.693740 | 0.684866 | 0.667359 |
| 2 | 0.812204 | 0.825516 | 0.812204 | 0.808839 | |
| 3 | 0.770006 | 0.785704 | 0.770006 | 0.759448 | |
| 4 | 0.755187 | 0.784565 | 0.755187 | 0.753585 | |
| 5 | 0.623815 | 0.579001 | 0.623815 | 0.583957 | |
| 6 | 0.772970 | 0.780498 | 0.772970 | 0.768426 | |
| 7 | 0.783175 | 0.810397 | 0.783175 | 0.784631 | |
| 8 | 0.852401 | 0.862090 | 0.852401 | 0.854501 | |
| knn_model | 1 | 0.613650 | 0.589627 | 0.613650 | 0.594988 |
| 2 | 0.732227 | 0.744817 | 0.732227 | 0.724324 | |
| 3 | 0.710136 | 0.714393 | 0.710136 | 0.698735 | |
| 4 | 0.768820 | 0.783423 | 0.768820 | 0.768041 | |
| 5 | 0.548578 | 0.520800 | 0.548578 | 0.520092 | |
| 6 | 0.724956 | 0.729998 | 0.724956 | 0.717539 | |
| 7 | 0.778436 | 0.785914 | 0.778436 | 0.778748 | |
| 8 | 0.804979 | 0.806358 | 0.804979 | 0.804501 | |
| lr_model | 1 | 0.736499 | 0.741289 | 0.736499 | 0.727663 |
| 2 | 0.803318 | 0.808627 | 0.803318 | 0.792767 | |
| 3 | 0.743331 | 0.766390 | 0.743331 | 0.732931 | |
| 4 | 0.800830 | 0.817979 | 0.800830 | 0.801867 | |
| 5 | 0.592417 | 0.545891 | 0.592417 | 0.561564 | |
| 6 | 0.772377 | 0.784693 | 0.772377 | 0.770848 | |
| 7 | 0.718009 | 0.673292 | 0.718009 | 0.677105 | |
| 8 | 0.836989 | 0.847843 | 0.836989 | 0.836116 | |
| svm_model | 1 | 0.719288 | 0.705113 | 0.719288 | 0.700663 |
| 2 | 0.816351 | 0.824913 | 0.816351 | 0.808968 | |
| 3 | 0.765857 | 0.796976 | 0.765857 | 0.758134 | |
| 4 | 0.794309 | 0.816359 | 0.794309 | 0.793946 | |
| 5 | 0.599526 | 0.563832 | 0.599526 | 0.569796 | |
| 6 | 0.789567 | 0.798942 | 0.789567 | 0.787912 | |
| 7 | 0.704976 | 0.657929 | 0.704976 | 0.664564 | |
| 8 | 0.859514 | 0.861714 | 0.859514 | 0.859766 |
Disclaimer/Publisher’s Note: The statements, opinions and data contained in all publications are solely those of the individual author(s) and contributor(s) and not of MDPI and/or the editor(s). MDPI and/or the editor(s) disclaim responsibility for any injury to people or property resulting from any ideas, methods, instructions or products referred to in the content. |
© 2024 by the authors. Licensee MDPI, Basel, Switzerland. This article is an open access article distributed under the terms and conditions of the Creative Commons Attribution (CC BY) license (https://creativecommons.org/licenses/by/4.0/).
Share and Cite
Rehman, S.U.; Ali, A.; Khan, A.M.; Okpala, C. Human Activity Recognition: A Comparative Study of Validation Methods and Impact of Feature Extraction in Wearable Sensors. Algorithms 2024, 17, 556. https://doi.org/10.3390/a17120556
Rehman SU, Ali A, Khan AM, Okpala C. Human Activity Recognition: A Comparative Study of Validation Methods and Impact of Feature Extraction in Wearable Sensors. Algorithms. 2024; 17(12):556. https://doi.org/10.3390/a17120556
Chicago/Turabian StyleRehman, Saeed Ur, Anwar Ali, Adil Mehmood Khan, and Cynthia Okpala. 2024. "Human Activity Recognition: A Comparative Study of Validation Methods and Impact of Feature Extraction in Wearable Sensors" Algorithms 17, no. 12: 556. https://doi.org/10.3390/a17120556
APA StyleRehman, S. U., Ali, A., Khan, A. M., & Okpala, C. (2024). Human Activity Recognition: A Comparative Study of Validation Methods and Impact of Feature Extraction in Wearable Sensors. Algorithms, 17(12), 556. https://doi.org/10.3390/a17120556

