Next Article in Journal
Human Activity Recognition: A Comparative Study of Validation Methods and Impact of Feature Extraction in Wearable Sensors
Previous Article in Journal
Handling Exponentially Growing Strategies in Spatial Cooperative Games: The Case of the European Union
 
 
Font Type:
Arial Georgia Verdana
Font Size:
Aa Aa Aa
Line Spacing:
Column Width:
Background:
Article

Optimization of Distribution Network Current Protection for Inverter-Based Distributed Power Access

1
Marketing Service Centre of State Grid Shanxi Electric Power Company, Taiyuan 030032, China
2
Taiyuan University of Science and Technology, Taiyuan 030024, China
*
Author to whom correspondence should be addressed.
Algorithms 2024, 17(12), 555; https://doi.org/10.3390/a17120555
Submission received: 15 October 2024 / Revised: 19 November 2024 / Accepted: 30 November 2024 / Published: 4 December 2024
(This article belongs to the Section Parallel and Distributed Algorithms)

Abstract

In light of the accelerated development of renewable energy, inverter-based distributed power supply (IIDG) is assuming an increasingly pivotal role in contemporary power systems. This paper investigates the impact of inverter-based distributed power access on current protection in distribution networks and proposes an optimization method. Firstly, the IIDG power model is introduced for the purpose of analyzing the impact of distributed power supply access to an urban distribution network on the current magnitude of the distribution network. Subsequently, the issue of protection sensitivity following IIDG access is examined in the context of time-limited current flow protection and fixed-time overcurrent protection, respectively. To address the issue of inadequate sensitivity, a refined enhancement strategy for the real-time monitoring of the line current and modifying the action setting values is put forth. Finally, the proposed protection methodology is validated through PSCAD simulation, thereby verifying the effectiveness of the proposed optimization and improvement solutions in the real-time monitoring of the line current and adjustment of the action setting values.

1. Introduction

In light of the evolving global energy landscape and the growing awareness of environmental protection, the development and utilization of renewable energy sources have emerged as a pivotal trend in social development. As a pivotal technology linking renewable energy and contemporary power grids, inverter-type distributed power supply (IIDG) is instrumental in enhancing energy utilization efficiency, optimizing grid operations, and reinforcing the resilience of power systems.
However, the introduction of IIDGs also presents a significant challenge to the protection strategies of traditional distribution grids, particularly in the context of short circuit fault detection and handling. There is a pressing need to develop new protection methods that can adapt to this change [1].
The calculation of fault currents and the formulation of protection strategies in inverter-based DG systems is a challenging undertaking. This complexity arises from the nonlinear relationship between the output currents of the IGBTs and the voltage at the grid connection point. Furthermore, the control strategies of IIDGs, such as maximum power tracking, low-voltage ride-through, negative sequence elimination, and harmonic suppression, also influence the characteristics of the fault currents. It is therefore important to study and develop fault-adaptive optimization methods that are tailored to the specific characteristics of IIDGs [2].
A review of the existing literature reveals that scientists have conducted extensive studies on the effects of IIDG access to the distribution network. Study [3] introduces a method for automatically adjusting protection setting values. Such an adjustment is essential to accommodate alterations in the system’s operational mode and the types of faults that may occur. This is achieved by incorporating coefficients specific to the type of fault in question. Furthermore, the method entails the instantaneous determination of impedance. The impedance in question is calculated between the location of the protection installation and the equivalent power source. In study [4], an enhanced adaptive overcurrent protection algorithm was put forth. The algorithm determines the fault type by detecting the positive and negative sequence content in the fault current. The objective of this detection is to facilitate the real-time adjustment of the current protection setting value. As a result, the algorithm is capable of responding in an appropriate manner to different types of faults as they occur. The concept of adaptive current protection for microgrids was first introduced in the literature [5,6,7]. In study [5], the calculation of equivalent impedance, which is a crucial parameter, was addressed by employing the intersection of three impedance circles method. Study [6] presented a method for converting the real-time topology of microgrids into a tree node path diagram, which was then searched using a tree node search method and node path algorithm. Based on the search results, the setting value of the protection device within the microgrid was adaptively adjusted. In order to facilitate the real-time analysis of microgrid topology, study [6] employs the conversion of these data into tree node path graphs. This is then subjected to adaptive adjustment through the utilization of tree node search methods and node path algorithms. Study [7] further proposes the integration of machine learning into the adaptive protection scheme, thereby leveraging the vast datasets inherent to intelligent microgrids. In a further contribution to the field, study [8] puts forward an adaptive positive sequence current interruption protection scheme for IBDG-containing distribution networks, which represents a significant enhancement in terms of protection performance. Study [9] proposes a new adaptive overcurrent protection scheme. This scheme is based on the amount of current mutation to address the impact of load self-starting on overcurrent protection in distribution networks. It is particularly aimed at the period following the removal of external faults along the line. Study [10] employs artificial intelligence to enhance protection, although this may be susceptible to power system oscillations. In study [11], the suggestion is made that a convolutional neural network (CNN) and a long short-term memory (LSTM) unit should be used to create a deep learning model for the purpose of identifying power system faults and making intelligent decisions. In study [6], the suggestion is made that an LSTM should be used for processing time series data in the power system. This results in enhanced protection system sensitivity, reliability, and stability. Nevertheless, the deep learning model has yet to achieve complete adaptation to the dynamics and nonlinear characteristics inherent to the power system. In study [12], adaptive technology is employed to enhance the efficacy of power system relay protection. The protection device is made more adaptable and capable of handling faults through the utilization of switching information, real-time information, substation-integrated information, and remote information. However, the information in question must be provided in a timely and reliable manner. The literature proposes a novel three-phase inverter for photovoltaic (PV) systems and employs energy-efficient control methodologies to mitigate common mode voltage. Study [13] presents a graphical representation of the distribution network protection control system, based on dynamic topology analysis, which offers a solution to enhance the adaptive capability of protection control. In their study, study [14] proposed an adaptive protection scheme based on the principle of directional blocking. This scheme has been demonstrated to meet the requisite standards for protection in radial active distribution networks. Nevertheless, the majority of studies focus on the control strategy of IIDG and the macroscopic impact of the grid, with relatively few investigations dedicated to the fault current characteristics and their influence on the sensitivity of current protection. In particular, the real-time output parameters of IIDGs must be combined in order to enable the dynamic adjustment of protection setting values and enhance the selectivity and sensitivity of protection in practical engineering applications. This is a pressing issue that requires immediate attention.
In order to address the aforementioned issues, this study proposes an adaptive current protection optimization strategy based on the real-time output parameters of the IIDG for dynamic adjustment.
The remainder of the paper is structured as follows: Section 2 presents a comprehensive overview of the power model for inverter-based distributed generation (IIDG), elucidating the intricacies of the system design and control scheme. Section 3 provides an analysis of the characteristics of high-capacity distributed power and its impact on the connection to the urban distribution grid. Section 4 will examine the particular impact of IIDG access to the distribution grid on current protection sensitivity, including the issues of time-limited current interruption protection and fixed-time overcurrent protection. Section 5 will present the optimization approach proposed in this paper, which is based on the real-time output parameters of the IIDG. The aim is to dynamically adjust the protection setpoints in order to improve protection sensitivity. Section 6 will provide a summary of the paper and propose avenues for future research. These include further theoretical analysis of the current protection range at different outputs of the IIDG and consideration of transient processes during faults. This will further validate the practicality and effectiveness of the proposed scheme.

2. IIDG Power Models

The field of distributed generation (DG) encompasses a range of technologies, the majority of which can be classified into two primary categories based on their connection to the grid. The first category encompasses direct-drive motor-type technologies, while the second category includes inverter-type technologies, which are converted by an inverter. Inverter-based DG represents a crucial link between renewable energy sources and the grid, making it an ideal solution for clean energy forms, such as photovoltaic and wind power. Consequently, the study of inverter-based distributed generation (IIDG) is of paramount importance.
The equivalent circuit diagram of the inverter grid-connected system can be found in Figure 1. Currently, the majority of inverter grid-connected systems are connected to the grid using the pulse width modulation (PWM) technique. This study is concerned with the inverse control method with low-voltage ride-through capability, which is based on grid voltage-directed vector control. A brief overview of the control process is provided below.
The inverter detects the phase of the grid voltage through phase-locked loop technology and adjusts its output current using a vector control strategy orientated to the grid voltage to achieve a synchronous grid connection with the grid. E d p and E q p are obtained by means of the dq-transform. In the majority of cases, the d-axis is set to be phase-aligned with the phase of E g p , thereby ensuring that the E g p component on the q-axis, E q p , is equal to zero. In accordance with the aforementioned information, the positive sequence reference currents, I d p r e f and I q p r e f , on the d-axis and q-axis can be derived as illustrated in Equations (1) and (2).
I d p r e f = P r e f 1.5 E d p
I q p r e f = Q r e f 1.5 E d p
The inverter will no longer generate negative sequence currents after implementing a control method for suppressing them. The d-axis and q-axis negative sequence reference currents I d n r e f = 0 and I q n r e f = 0 of the inverter will satisfy specific conditions.
I d n r e f = 0 , I q n r e f = 0
In typical operational circumstances, the active power reference of the IIDG is typically set to the maximum output power determined by the maximum power point tracking (MPPT) module. Conversely, the reactive power reference Q r e f is generally maintained at zero. In the event of a grid fault, the output power of the IIDG will be regulated by the low-voltage ride-through (LVRT) module.
In the event of a fault, the reference currents, I d n r e f and I q n r e f , in the d- and q-axes are determined by the voltage outer loop control or LVRT module. Subsequently, the output reference voltages U c d r e f and U c q r e f of the inverter’s d-axis and q-axis can be calculated according to the control algorithm. The control strategy guarantees the stable operation of the IIDG in diverse grid conditions while preserving grid stability in the event of grid faults [14].
U c d r e f = E g d + s w L I d + ( K p + ( K S ) 1 ) ( I d I d r e f ) s w L I q U c q r e f = E g d + s w L I d + ( K p + ( K S ) 1 ) ( I q I q r e f ) s w L I d
where K p and K S are the proportional gain and differential gain coefficients, respectively; L is the rectifier inductance; and I d and I q are the actual d q current. Next, U c a r e f , U c b r e f , and U c c r e f are obtained through d q 0 a b c transformation, which completes the PQ decoupling control.
This section provides the theoretical basis and background for the control strategies in the next section, explaining how the IIDG controls its output in response to changes in grid conditions, and the next section applies the control strategies discussed in the next section to a real grid fault scenario, analyzing how these strategies affect the short circuit current characteristics of the distribution network.

3. Characteristics of Large-Capacity Distributed Power Sources and Their Impact on Access to Urban Distribution Networks

In the context of the distribution grid, the current of an inverter-based distributed generation system (IIDG) is subject to adjustment in the event of a fault, which is in accordance with the prevailing IIDG current within the distribution grid. This adjustment is made in accordance with the prevailing IIDG current within the distribution grid and is further subject to further adjustment in accordance with the IIDG current. It is of the utmost importance that this dynamic adjustment mechanism is in place to ensure the stability and reliability of the grid in the event of an abnormal occurrence [15].

3.1. When the Positive Sequence Voltage at the Shunt Point Is Greater than 0.9 Times the Rated Voltage ( E g p > 0.9 E N )

In constant power output mode, the inverter-based distributed generation system (IIDG) is capable of maintaining a stable and unaffected output power, despite the occurrence of grid faults. The implementation of a negative sequence suppression control strategy ensures that the output current of the IIDG maintains three-phase symmetry, even in the event of a fault. This control strategy ensures that the output current adheres to a specific mathematical model, thereby guaranteeing the equilibrium and stability of the power system.

3.2. When the Positive Sequence Voltage at the Shunt Point Is Between 0.2 and 0.9 Times the Rated Voltage ( 0.2 E N < E g p < 0.9 E N )

Upon transitioning to a voltage support state, an inverter-based distributed generation system (IIDG) initiates reactive power output, thereby assisting in the stabilization of grid voltage. In this state, the IIDG plays a role in maintaining grid voltage stability by supplying the requisite reactive power, thereby enhancing the grid’s resilience to voltage fluctuations. This function is of paramount importance for the stable operation of the grid, particularly in situations in which there is a risk of voltage fluctuations. The d-axis and q-axis positive sequence reference currents, I d _ r e f and I q _ r e f , output from the IIDG are shown in Equations (5) and (6).
I q _ r e f = k 1 ( U N E g p U N ) P r e f 3 U N
I d _ r e f = min [ k 2 2 ( P max 3 U N ) 2 I q 2 , P r e f 1.5 E d p ]
where k 1 determines the reactive power support capacity during the IIDG fault; k 2 is the IIDG current limiting factor; and the output is generally not greater than 1.2 times of the rated current.

3.3. When the Positive Sequence Voltage at the Shunt Point Is Less than 0.2 Times the Rated Voltage ( E g p < 0.2 E N )

Upon transitioning to a voltage support state, an inverter-based distributed generation system (IIDG) initiates reactive power output, thereby assisting in the stabilization of grid voltage. In this state, the IIDG plays a crucial role in maintaining grid voltage stability by supplying the necessary reactive power, thereby enhancing the grid’s resilience to voltage fluctuations. This function is of paramount importance for the stable operation of the grid, particularly in situations in which there is a risk of voltage fluctuations.
I q _ r e f = k 2 P r e f 3 U N
I d _ r e f = 0
In the event of a fault in the grid, an inverter-based distributed generation system (IIDG) injects reactive power into the grid-connected point, thereby effectively boosting the voltage level at that point. The impact of the reactive power injection on the fault current is subject to significant geographical variation, which must be taken into account when assessing the effectiveness of such a system in different locations. In the event of a fault occurring in the downstream region of the IIDG, the short circuit current detected by the downstream protection device will be greater than that which would be observed in the absence of IIDG involvement. This is due to the voltage enhancement that occurs as a result of the IIDG’s involvement in the fault. Conversely, if the point of the fault is located upstream of the IIDG, the fault current will be reduced as a result of the reactive power support effect of the IIDG. The extent of this reduction is directly proportional to the output power of the IIDG [16]. The following sections will examine the optimization and analysis of the protection strategy of the distribution network following the connection of the IIDG to the distribution network. This will entail the combination of traditional current protection methods in order to accommodate the changes brought about by this new type of power generation [17].

4. Analysis of the Impact of IIDG Access Location on Stage-Based Protection

A typical line of a single-supply radial distribution network is shown in Figure 2.

4.1. Setting of Current Interruption Protection

In the event of a fault occurring on line AB, it is anticipated that Protective Device 2 will respond without delay. Similarly, if the fault occurs on line BC, Protective Device 1 should act expeditiously. It is essential to consider the issue of selective action when designing the protective device. In particular, it is anticipated that current flow interrupting Protection 2 will be triggered in the event of a short circuit at point K1, while Protection 2 should remain deactivated in the case of a short circuit at point K2. To accomplish this, the configuration of current flow interrupting Protection 2 must consider the prevailing current conditions in order to prevent a short circuit at the exit of the downstream line. Consequently, a reliability factor is introduced: K r e l .
The magnitude of the short circuit current can generally be expressed as follows:
I K = K K E S Z S + β Z L
where K K is the fault type factor; Z S is the system impedance; Z L is the line impedance, which affects the distribution of fault currents in the line; and β is a scaling factor indicating the ratio of the distance from the fault point to the start of the line to the length of the entire line.
The efficacy of the flow-disconnect protection is reflected in its rapid response to faults within the line and is typically quantified by the percentage of the total line length covered. It is of paramount importance to evaluate the coverage of the protection system when the grid is operating at its least loaded state and a two-phase short circuit occurs [18]. If the protective device in question is able to meet or exceed the predefined value, even under such extreme conditions, it can be considered to have an adequate level of sensitivity to faults. This guarantees that even in unfavorable circumstances, the current failure protection is capable of effectively isolating the fault and maintaining the safety and stability of the grid.
Following the connection of an inverter-based distributed generation system (IIDG) to the distribution network, theoretical analysis indicates that the impact of varying IIDG output levels on the current of the protection device is insignificant. This suggests that the IIDG has a minimal effect on the functionality of the upstream current flow interruption protection [19]. Therefore, irrespective of the output power of the IIDG, it does not significantly impinge upon the fault identification and response capability of the protection device, thereby ensuring the reliability of the grid protection system [20].

4.2. Time-Limited Current Interruption Protection Calibration

A time-limited current flow interruption protection device has been designed to respond rapidly to and isolate fault points that fall outside the current flow interruption protection area. Moreover, it serves as a supplementary component to the current flow disconnect protection, establishing an optimal time delay for the interaction with the current flow disconnect protection, thereby forming an effective protection mechanism. The aforementioned delay mechanism ensures that the protection device will operate in a predetermined sequence in the event of a fault, thus enhancing the stability and reliability of the power system [21].
The design of the power system enables the rapid and systematic isolation of faults in response to a range of fault scenarios, thereby reducing the impact of faults on system operation. The time-limited current flow interruption rectification value of Protection 2 is given as follows
I a c t 2 = K r e l I a c t 1
where K s e n is the sensitivity factor, as follows:
K s e n = I k B min I a c t 2
The impact of an inverter-based distributed generation system (IIDG) connected to the distribution network on the fault current is contingent upon its output power. Theoretical derivations indicate that when the output power of an inverter-based distributed generation system (IIDG) reaches its rated value, the fault current through the protective device will demonstrate a decreasing trend [22]. This suggests that the output power level of an IIDG has a direct impact on the monitoring of fault currents and the response of protective devices.

4.3. Fixed-Time Limit Overcurrent Protection Setting

In order to ensure that overcurrent protective devices will not be activated incorrectly under normal operating conditions, it is essential that the settings adhere to a fundamental principle: that the operating current of the protective device is set at a level that is higher than the current of the grid under peak load conditions [23]. This criterion ensures that the overcurrent protective device does not falsely activate the action signal even under normal fluctuating conditions such as load transients.
I a c t = K r e l K m S K r e I L max
where K r e l is the reliability factor; K m S is the self-starting factor; and K r e l is the current relay return factor.
The incorporation of inverter-based distributed generation (IIDG) systems into distribution networks has a discernible impact on the short circuit current characteristics of the grid. In particular, the introduction of IIDG may result in a reduction of short circuit currents in upstream lines during faults. This may consequently impact the sensitivity of time-limited current fast-break protection and time-limited overcurrent protection on these lines. This effect is particularly significant when the output power of the IIDG exceeds the downstream load, which may result in the protection devices being unable to act in a timely manner when required to do so.
In order to address this challenge, it is proposed that an optimization strategy based on real-time monitoring and dynamic adjustment be implemented. In particular, the short circuit current at the protection point can be calculated in real time through the monitoring of the output parameters of the photovoltaic power system. The real-time calculation not only reflects the immediate state of the grid but also provides accurate set values for the protection devices, thus ensuring optimal performance. By adjusting these set values in real time, it is possible to significantly enhance the sensitivity of the current protection system for both upstream and downstream lines, thereby optimizing the protection performance of the grid [24].
The implementation of this methodology ensures that the grid protection system can continue to respond promptly and accurately to faults, thereby guaranteeing the stable operation of the grid in the event of IIDG access to the distribution network. This is of considerable significance for enhancing the reliability and security of distribution networks.

5. Current Protection Optimization Enhancement Program

The setting value I s e t c of the conventional current interruption protection is set according to the current flowing I F max through the protection during a three-phase short circuit at the end of the line in the case of avoidance of the maximum mode of operation, i.e., the following equation:
I s e t c = K r e l I F max = K k E Z S min + α Z L
where E is the phase electromotive force of the equivalent power supply of the system; Z S min is the minimum impedance between the protection installation to the equivalent power supply of the system; Z L is the impedance of the protected line; and K r e l is the reliability coefficient, which is generally taken as 1.2~1.3. Set in the line αL at the occurrence of a short circuit fault (0 ≤ α ≤ 1, L is the length of the line), the short circuit current is as follows:
I F = K k E Z S + α Z L
where Z S is the actual impedance between the protection installation and the equivalent power supply of the system, and K k is the short circuit type coefficient, which is taken as 1 in the case of a three-phase short circuit and 3/2 in the case of a two-phase short circuit. The actual protection range α can be obtained as follows:
α = K k ( Z S min + Z L ) K r e l Z S K r e l Z L
α max = 1 K r e l ( K r e l 1 ) Z S min K r e l Z L < 1
Further observation of the formula reveals that the level of protection sensitivity is insufficient to safeguard the entire length of the line. It is therefore evident that more sophisticated methodologies must be put forth to enhance the sensitivity.
In order to adjust the action setting value in real time and enhance the protection sensitivity, the method proposed in this paper employs the continuous monitoring of real-time load current fluctuations, identifies the RMS value of the fundamental wave of Protection 1, and incorporates an adaptive threshold value. This protection method has the potential to significantly enhance protection sensitivity by enabling real-time adjustments to the action setting value.
The sole parameter to be acquired in real time is the root mean square (RMS) value of the fundamental wave of the line current at the current protection, with the remaining parameters predetermined. The following section outlines the methodology for enhancing the sensitivity of adaptive current protection for distribution grids with distributed power access [16].

5.1. Judgment 1

In distribution networks, access to distributed power sources changes the current characteristics during short circuit faults. Based on this phenomenon, an adaptive threshold I h 1 can be introduced to optimize the protection mechanism. This approach can improve the response speed and accuracy of the protection system while reducing the risk of false operation.
Through the real-time monitoring and dynamic adjustment of threshold I h 1 , the characteristics of the fault current can be captured more accurately, thus realizing the efficient protection of the distribution network. The criterion is considered to be satisfied if the line current exceeds I h 1 , as follows:
I h 1 = K r e l I l o a d
where I l o a d is the real-time load current, which can be represented by a dynamic monitoring system that continuously tracks and reflects the current load flowing in the grid; K r e l is the reliability factor, I h 1 ; and the initial value is K r e l I l o a d (note: I l o a d N is the I l o a d rated value). In order to prevent transient fluctuations in the current from triggering unnecessary adaptive adjustments, a condition is set that the adaptive threshold is adjusted accordingly only if the load current varies by more than 5%.
In summary, the adjustment of the adaptive threshold can be defined by the following expression:
| I load n e w     I load o l d | I load o l d > 5 %
I h 1 = K r e l I l o a d n e w
where I load o l d is the load current before the change, and I load n e w is the load current after the change.
According to Equation (17), it is only 1.3 times the line current, so I h 1 is significantly smaller than I s e t c and I s e t z from the sensitivity formula. When the line current decreases, the optimization method can improve its protection sensitivity.

5.2. Judgment 2

Although Criterion 1 has the potential to extend the protection range to the entire length of the line by relying on threshold Ih1, which is lower than the traditional setting value and is not affected by the system operation mode and fault type, the low setting value is susceptible to causing a short circuit in the neighboring line, thereby triggering the protection error in this interval. Therefore, relying on Criterion 1 in isolation is an inadequate method of ensuring the selectivity of the protection action. It is thus proposed that Criterion 2 be implemented in order to enhance the selectivity of the proposed protection method.
Figure 3 depicts a representative distribution network wiring schematic, with the BC section line serving as a case study. In a state of normal operation, the line’s current relationship is theoretically consistent with the conditions set forth in Equation (20).
| I 1 | = | I 2 + I 3 |
Satisfaction Δ I B C is calculated as follows:
Δ I B C = | I 1 ( I 2 + I 3 ) |
In a state of normal operation, the current values of the BC section lines are relatively low. However, in the event of a short circuit fault occurring at a given point along the BC section line, the value of the current in question will increase significantly. Concurrently, the current difference observed in the remaining normal operating intervals will remain at a low level. In light of the aforementioned principle, the current difference of the intervals can be defined in accordance with the expression detailed in Equation (22).
Δ I i = | I i i n ( I i o u t ) |
where I i i n denotes the sum of the currents in the inflow zone, and I i o u t denotes the sum of the currents in the outflow zone.
Let the condition threshold I h 2 be satisfied as follows:
I h 2 = K 2 I i i n
In summary, Criterion 2 can be expressed as follows: once Criterion 1 has been satisfied, if the current difference between the existing intervals exceeds the set threshold, it is deemed that a fault has occurred in the interval and that the protection of the interval is initiated. Conversely, if the threshold is not exceeded, it is considered that the system is operating normally and that the protection is not activated. This is illustrated in (24).
Δ I i < I h 2 , protection   does   not   operate Δ I i > I h 2 , protection   action ,   output   I h 1
Finally, the real-time adjustment factor K 0 can be derived from Equation (25).
K 0 = I s e t c ( Z S min + Z L ) E = K r e l I h 1 I l o a d

5.3. Adaptive Full Line Current Protection Sensitivity Adjustment Logic

The flow of the adaptive full line current protection method proposed in this paper is illustrated in Figure 4. The protection process is as follows:
(1) The line current is monitored in real time. In the event of a change in the line current that does not exceed the threshold value of Criterion 1, the threshold value is adjusted in accordance with Equations (17) and (23).
(2) In the event that the increased line current exceeds the threshold value of Criterion 1, the current difference between each section must be calculated in accordance with Equation (21). Thereafter, Criterion 2 must be satisfied, as defined by Equation (24).
(3) In the event that Criterion 2 is not satisfied, the threshold value shall be adaptively adjusted in accordance with Equations (17) and (23). Conversely, if Criterion 2 is satisfied, the sensitivity shall be outputted in accordance with Equation (25).

6. Calculus Analysis

The 10 kV distribution network simulation model shown in Figure 5 is constructed in PSCAD X4 (v4.6) simulation software.
The present study is concerned with the impact of the factor under examination on the sensitivity and stability of the protective device. In the process of performing short circuit current calculations, the following specific parameters of the system power supply, lines, and loads were selected:
(1) System power parameters
In this study, the standard rated voltage value of 10.5 kV of the 10 kV distribution network was selected as the reference value of the system side voltage.
In this study, the standard rated voltage of 10.5 kV was selected as the reference value for system voltage in the 10 kV distribution network. To guarantee the precision and comprehensiveness of the analysis, the system impedance values of this distribution network in both maximum and minimum operational modes are taken into account in this study. This method allows for a comprehensive evaluation of the characteristics of the grid under different operating states.
(2) Line parameters
In the 10 kV distribution network, the line types are primarily classified into two categories: overhead and underground cables. Given that the nature of faults on underground cable lines is typically persistent, automatic reclosing equipment is typically not installed on these lines. In contrast, overhead lines are commonly equipped with protection measures, including three-stage current protection, as well as pre-accelerated automatic reclosing devices, with the objective of increasing the speed of system recovery. In contrast, the protection configuration of cable lines is more straightforward, relying primarily on a single current protection mechanism. The selection of overhead lines is as follows: X = 0.347   Ω / km ,   R = 0.27   Ω / km . The selection of cable lines is as follows: R = 0.259   Ω / km , X = 0.093   Ω / km .
In this study, line segments AB and BC are designated as overhead transmission lines, with a length of 2 km each, while segments CD and DE are set as underground cable transmission lines, reaching an extended length of 7 km vs. 14 km, respectively. The distributed power sources are connected at bus C of the grid. A table of specific parameters for each line segment is derived from the unit parameters using a calculation. This table (Table 1) provides the necessary data to support the analysis and design of the distribution network.
Protection 1 is installed upstream of IIDG. The setting value of the line BC in conjunction with the line CD Current Section II protection is I s e t . 1 I I = 2.85   kA . In the distribution network protection design, the third section current protection of line BC (often referred to as time-limited overcurrent protection) is rectified according to a reliability factor of 1.3, and its setting value is determined as follows: I s e t . 1 I I I = 1.69   kA .
The transient currents generated by inverters typically decline rapidly to a stable level within a few grid IF cycles. Consequently, the set action times of the time-limited current interruption protection and the fixed-time overcurrent protection are considerably longer than the rapid decay of the transient currents [25]. This configuration guarantees that the protective apparatus is able to make determinations and take actions based on a more enduring current state subsequent to the dissipation of the transient current’s effects. Accordingly, this study excludes the impact of transient currents on the system [26].

6.1. Simulation Analysis of the Effect of IIDG Access on BC and CD Segments of Stage Current Protection

6.1.1. Analysis of the Effect of Different Outputs of IIDG on the Protection of Electrical Flow Rate Disconnection

In the event of a fault on line L1, the inverter-based distributed generation system (IIDG) is to be situated downstream of the protection device. The results of the simulation experiments provided further confirmation that the current impact of the inverter-based distributed generation system (IIDG) at different power output states on the Protection Device 1 is negligible in the event of a single-phase ground or two-phase short circuit fault occurring at several critical locations along the line BC (e.g., at 30%, 50%, and 80% of the line length). This finding is of significant importance in the evaluation of the influence of IIDG grid integration on the functionality of distribution network protection systems. The findings of this study indicate that the impact of inverter-based distributed generation systems (IIDGs) on the current interruption protection function of upstream protection devices is minimal and largely inconsequential.

6.1.2. Analysis of the Effect of Different Outputs of IIDG on the Protection of Time-Limited Electric Flow Rate Disconnection

Through simulation, the RMS value I p r o t e c t 1 _ r m s of the fundamental current at Protection 1 is measured to evaluate the specific impact of different PV power plant output levels on the performance of time-limited flow current disconnection protection. The objective of this experimental design is to conduct a quantitative analysis of the impact of inverter-type distributed generation (IIDG) power fluctuations on the sensitivity of the flow current disconnection protection system. The findings will then be used to inform the optimization of distribution network protection strategies.
The current flowing through Protective Device 1 demonstrates a declining trend as the output power of the inverter-based distributed generation system (IIDG) reaches its rated value. The time-limited current-failure protection of Protection Device 1 demonstrates high sensitivity in the absence of IIDG integration into the grid. This observation suggests that IIDG access may have a significant potential impact on current protection performance [24,25,27], providing a new perspective for understanding the impact of IIDG on the performance of distribution network protection systems. The sensitivity in the absence of IIDG access is as follows:
K s e n . 1 I I = I I s e t . 1 I I = 1.30
Following the establishment of a connection with IIDG, the alteration in the sensitivity of Protection 1 in the event of a fault at the BC end of the line is illustrated in Figure 6. Figure 6 presents the sensitivity curve of Protection 1, which is a fixed-time overcurrent protection.
The analytical results presented in Figure 7 clearly indicate the effect of the output power of the inverter-based distributed generation system (IIDG) on the fault current and its protection sensitivity at Protection Device 1. This study reveals that the IIDG output power enhancement leads to decreasing sensitivity of time-limited current-failure protection at Protection Device 1, with a significant problem when the sensitivity is below the 1.3 threshold, and it continues to decrease. This phenomenon indicates that the IIDG output power enhancement has a significant negative impact on the sensitivity of the protection device, which emphasizes the need for further optimization of the protection system to ensure that it maintains its effectiveness under all operating conditions.

6.1.3. Analysis of the Effect of Different Output Power of IIDG on Fixed-Time Overcurrent Protection

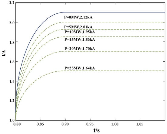
In the simulation experiment, the end of line L2 was set to experience a three-phase short circuit fault. In this fault scenario, the RMS value I p r o t e c t 1 _ r m s of the fault steady state fundamental current at Protection 1 was measured. These data are essential for evaluating the performance of the protection device under real fault conditions, as shown in Figure 8.
The data presented in Figure 8 unambiguously demonstrate the inverse relationship between the output level of the inverter-based distributed generation system (IIDG) and the fault current at Protection Device 1. In particular, an increase in the output of the IIDG is accompanied by a corresponding increase in the reduction of the fault current [21]. Furthermore, the precise quantification of the sensitivity of Protective Device 1 when it is employed as a backup time-limited overcurrent protection for a CD line, absent the IIDG being connected to the grid, remains undetermined. Nevertheless, further investigation is required to ascertain the precise influence of IIDG access on the sensitivity of the protection device, with a view to ensuring that the protection system maintains its optimal performance in all circumstances.
K s e n . 1 I I = I I s e t . 1 I I I = 1.30
After connecting to the IIDG, the fixed-time overcurrent protection sensitivity curves for different PV generation outputs can be plotted when a fault occurs at the end of the line CD, as demonstrated in Figure 9.
Figure 9 analyzes that the grid connection of the inverter-based distributed generation system (IIDG) reduces the fixed-time overcurrent protection sensitivity of the upstream Protection Device 1. When the output power of IIDG reaches the maximum, the fixed-time overcurrent protection sensitivity of Protection Device 1 drops to below 0.97, which is far from the required sensitivity threshold K s e n . 1 I I I > 1.2 , highlighting the necessity of optimizing and adjusting the protection system.
The simulation analysis supports the rationality of the theoretical analysis and reveals that there is a positive correlation between the output power of the IIDG and the reduction of the upstream line current during the fault period after the IIDG is integrated into the distribution network. In order to improve the protection sensitivity, it is recommended to dynamically adjust the current action setting value of the protection device using the real-time output parameters of the PV system to optimize the current protection performance of the BC and CD sections [26,28,29]. The accuracy of the theoretical analysis is verified by PSCAD simulation, and the simulation of the optimization method is carried out below to compare the optimized results with the non-optimized results.

6.2. Verification of Current Sensitivity Before and After Adjustment at Different Output Forces

In order to validate the backup protection sensitivity enhancement strategy proposed in this study, the algorithm described in Section 5 is written in this paper using MATLAB software. Through simulation implementation, we are able to evaluate the effectiveness of the algorithm to enhance the backup protection sensitivity in distribution networks.
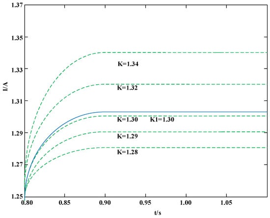
Figure 10 illustrates the impact of varying IIDG output power on the sensitivity adjustment of the Current II section. In the absence of IIDG output power, namely, when the distribution line is not connected to the distributed power supply, the sensitivity adjustment remains unaltered. As the IIDG output power increases, the sensitivity declines. At this point, the threshold is adjusted using the methodology outlined in Section 5, resulting in a notable enhancement in the adjusted sensitivity. This validates the efficacy of the aforementioned methodology within the context of the Current II section.
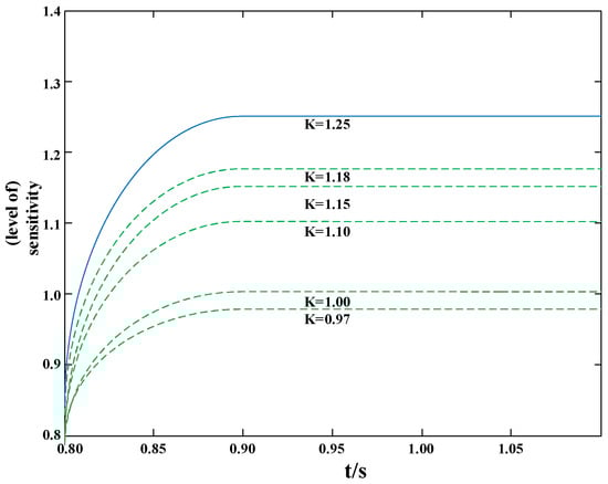
Figure 11 shows the sensitivity adjustment of the Current III section at different IIDG outputs. As the IIDG output increases, the sensitivity decreases faster than the Current II section sensitivity, and especially, the curve is steeper and decreases faster when exceeding 50% of the IIDG-rated current. Using the method in Section 5 for threshold adjustment, the adjusted sensitivity also increased significantly, verifying the effectiveness of the method in the Current III segment.
Based on the analysis above, the technique proposed in this study can significantly enhance the response speed of fast-action protection in the Current II section and continuous overcurrent protection in the Current III section under different output conditions, thus optimizing the effectiveness of the protection system.

7. Conclusions

This paper aims to provide insight into the impact of inverter-based distributed generation (IIDG) access on current Protections II and III in the upstream stage of the distribution network through simulation analysis. To this end, a distribution network model incorporating IIDGs has been constructed, enabling a comparison of the sensitivity of upstream protection at varying IIDG output levels. The findings indicate that IIDG access does indeed reduce the overcurrent sensitivity of upstream protection, which, in turn, affects the effectiveness of current Protections II and III.
The findings of this study substantiate the hypothesis that the integration of IIDGs into the distribution network results in a reduction in the sensitivity of the upstream protection devices, which is attributable to their impact on fault currents. This finding is consistent with the existing literature on the impact of distributed generation on distribution network protection. The increase in the output power of the IIDG results in a decrease in the current detected by the upstream protection device during faults, which, in turn, affects the sensitivity and response time of the protection device.
To solve this problem, this paper proposes an innovative approach to dynamically adjust the protection values according to the changes in the load current. The core of this method is to use real-time data to optimize the protection settings to adapt to the changes in the IDDG output, thus improving the sensitivity and selectivity of the protection system. Simulation results show that the method can effectively improve the response sensitivity of the fast disconnection protection in the Current II section and the fixed-time overcurrent protection in the Current III section, thus improving the current protection capability of urban distribution networks. The key advantage of the methodology employed in this study is its capacity to adapt to fluctuations in IDDG outputs without necessitating extensive modifications to existing protection devices. The implementation of this method not only enhances the sensitivity of the protection system but also preserves the stability and selectivity of the protection, which is crucial to guarantee the reliability and security of the distribution network.
While this study offers valuable insights, future research should aim to further enhance the theoretical analyses in order to explore the range of current protection under different IIDG outputs. Furthermore, the construction of more accurate IIDG models and the consideration of transient processes during fault occurrence will facilitate the validation of the proposed scheme in practice. Future work will also investigate the applicability of the method in diverse types of distribution networks and under varying operational conditions, as well as its integration with other sophisticated protection techniques.
In conclusion, this study not only demonstrates the influence of IIDG access on distribution network current protection but also presents a practical solution for protection optimization in distribution networks, namely, a novel protection value adjustment method. It is anticipated that as distributed generation resources gain in popularity, the findings and methods presented here will have a significant impact on the stable operation of distribution networks and the development of protection strategies.

Author Contributions

Conceptualization, C.X. and Q.C.; Methodology, Q.C.; Software, Y.R.; Verification, Y.R., C.X. and Q.C.; Formal analysis, C.X.; Investigation, C.X.; Resources, C.X.; Data management, X.H.; Writing—First draft preparation, X.H.; Writing—Review and Editing, X.H.; Visualization, X.H.; Supervision, X.H.; Project management, X.H.; Funding acquisition, X.H. All authors have read and agreed to the published version of the manuscript.

Funding

State Grid Shanxi Electric Power Company Science and Technology Project Grant (52051L230103); Project title: Research on Active Distribution Grid Situational Awareness and Fault Analysis Technology Taking into Account Distributed Photovoltaics.

Data Availability Statement

The data presented in this study are not publicly available due to laboratory confidentiality agreements and proprietary restrictions. The data contain sensitive information about ongoing research projects and experimental protocols that are subject to confidentiality requirements.

Conflicts of Interest

Author Chun Xiao, Qiong Cao and Yulu Ren was employed by the company Marketing Service Centre of State Grid Shanxi Electric Power Company. The remaining authors declare that the research was conducted in the absence of any commercial or financial relationships that could be construed as a potential conflict of interest.

References

  1. Qin, T. Measurement and Simulation Analysis of the Impact of Distributed Photovoltaic Power Generation Connected to Distribution Grids. Master’s Thesis, Shandong University, Jinan, China, 2019. [Google Scholar] [CrossRef]
  2. Li, L.; Wu, G. Impact of distributed power supply access to distribution network on relay protection and case analysis. In Jiangsu Electrical Engineering Society Professional Committee of Urban Electricity Supply and Use, Proceedings of the Smart City Electric Power Science and Technology Forum (2014 Series 1 Total 176); Nanjing Power Supply Company: Nanjing, China, 2014; p. 4. [Google Scholar]
  3. Ge, Y. Adaptive relay protection and its future prospects. Power Syst. Autom. 1997, 9, 42–46. [Google Scholar]
  4. Khalid, H.; Shobole, A. Existing developments in adaptive smart grid protection: A review. Electr. Power Syst. Res. 2021, 191, 106901. [Google Scholar] [CrossRef]
  5. Bhattarai, B.P.; Bak-Jensen, B.; Chaudhary, S. Distribution grid. In Proceedings of the 2015 IEEE Eindhoven PowerTech, Eindhoven, The Netherlands, 29 June–2 July 2015; pp. 1–6. [Google Scholar]
  6. Gao, S.; Cao, W.; Zhang, X. Anovel adaptive overcurrent protection method for a distribution network. Power Syst. Prot. Control 2021, 49, 110–119. [Google Scholar]
  7. Ouyang, J.; Yu, J.; Long, X. Adaptive overload protection method considering the dynamic thermal characteristics of a transmission line. Power Syst. Prot. Control 2022, 50, 40–48. [Google Scholar]
  8. Huang, F.; Mei, Y.; Zhou, J.; Lei, A.; Xu, Q. Adaptive threshold differential protection scheme for wind power integration based on positive sequence current. Power Syst. Prot. Control 2022, 50, 117–124. [Google Scholar]
  9. Chen, Y.; Huang, J.; Ding, J. The principle of self-adaptive current protection in microgrid and its new algorithm research. Power Syst. Prot. Control 2017, 45, 22–27. [Google Scholar]
  10. Zhang, H. Research on Line Protection Method of Distribution Network Containing Inverter-Type Distributed Power. Master’s Thesis, Xi’an University of Science and Technology, Xi’an, China, 2022. [Google Scholar] [CrossRef]
  11. Gou, H. Research on relay protection fault diagnosis method based on deep learning. Electr. Technol. Econ. 2024, 10, 370–372. [Google Scholar]
  12. Fang, X.; Zhong, C.; Shen, F. Adaptive current protection based on artificial neural network. Relay 2000, 5, 16–19+54. [Google Scholar]
  13. Jia, Q.; Sun, L.; Wang, M.; Yang, W. An adaptive protection method for micro-grid based on node searching. Proc. CSEE 2014, 34, 1650–1657. [Google Scholar]
  14. Lin, H.; Sun, K.; Tan, Z.H.; Liu, C.; Guerrero, J.M.; Vasquez, J.C. Adaptive protection combined with machine learning for microgrids. IET Gener. Transm. Distrib. 2019, 13, 770–779. [Google Scholar] [CrossRef]
  15. Yuan, Z.; Xu, Q.; Xu, G.; Lei, J.; Yu, R.; Lin, Y. Optimization scheme of distribution network current protection containing large-capacity distributed power supply access. Grid Technol. 2021, 45, 1862–1869. [Google Scholar] [CrossRef]
  16. Hu, L. Research on Adaptive Protection Strategy for Active Distribution Network. Master’s Thesis, Guizhou University, Guiyang, China, 2023. [Google Scholar] [CrossRef]
  17. Li, H.; Deng, C.; Zhang, Z.; Liang, Y.; Wang, G. An adaptive fault-component-based current differential protection scheme for distribution networks with inverter-based distributed generators. Int. J. Electr. Power Energy Syst. 2021, 128, 106719. [Google Scholar] [CrossRef]
  18. Su, X. Impact analysis of distributed photovoltaic power supply on relay protection configuration of distribution system. In China Electric Power Technology Market Association, 2023 Proceedings of the Exchange Meeting of Technical Supervision Work in Electric Power Industry and Professional and Technical Forum (PreviousVolume); National Energy Group Inner Mongolia Power Company Limited: Inner Mongolia, China, 2023; p. 6. [Google Scholar]
  19. Liu, S. Research on Distribution Network Protection with Distributed Power Supply. Master’s Thesis, Tianjin University, Tianjin, China, 2007. [Google Scholar]
  20. Wang, H. Research on Relay Protection Improvement Scheme for Distributed Photovoltaic Access System. Master’s Thesis, Xi’an University of Technology, Xi’an, China, 2017. [Google Scholar]
  21. Li, W.; San, G.; Mao, Q. Fault characterization of wind farm and its short circuit current calculation model. In China Electric Power Research Institute, Proceedings of 2017 Smart Grid Informatization Construction Workshop, State Key Laboratory of New Energy Power System (North China Electric Power University); Inner Mongolia Power Company Tuning Center: Inner Mongolia, China, 2017; p. 5. [Google Scholar]
  22. He, J.; Mu, R.; Li, B.; Li, Y.; Zhou, B.; Xie, Z.; Wang, W. Applicability boundary calculation for directional current protection in distribution networks with accessed PV power sources. Appl. Energy 2024, 370, 123520. [Google Scholar] [CrossRef]
  23. Li, H. Fault Localization and Recovery Reconfiguration of Distribution Networks Containing Distributed Power Sources. Master’s Thesis, South China University of Technology, Guangzhou, China, 2023. [Google Scholar]
  24. Xu, L.L. Research on Fault Segment Localization and Recovery Method of Distribution Network Containing Distributed Power Supply. Master’s Thesis, Guizhou University, Guiyang, China, 2022. [Google Scholar] [CrossRef]
  25. Wang, D. Research on Fault Analysis and Protection of Distribution Network Containing Distributed Photovoltaic Power. Master’s Thesis, Xi’an Petroleum University, Xi’an, China, 2021. [Google Scholar] [CrossRef]
  26. Orozco-Álvarez, J.; Herrera-Orozco, A.; Mora-Flórez, J. Communication-less adaptive directional overcurrent protection strategy considering islanded mode detection in active distribution networks. Results Eng. 2023, 20, 101538. [Google Scholar] [CrossRef]
  27. Ju, S. Calculation of Short-Circuit Current in Distribution Networks Containing Distributed Power Sources. Master’s Thesis, Xi’an Petroleum University, Xi’an, China, 2023. [Google Scholar]
  28. Wang, H.; Ye, X.; Zhang, C.; Li, H.; Zhang, J. Fault characterization and protection of microgrids containing distributed photovoltaic and energy storage converters. J. Power Supply 2020, 18, 59–69. [Google Scholar] [CrossRef]
  29. Yang, C. Research on distribution automation and relay protection cooperation strategy with distributed power supply access. In Zhejiang Association of Science and Technology, Shanghai Association of Science and Technology, Jiangsu Association of Science and Technology. Marine Economy and Electric Power Development—Proceedings of the Tenth Yangtze River Delta Electric Machinery and Electric Power Science and Technology Sub-Forum; Yangzhou Power Supply Company: Yangzhou, China, 2013; p. 4. [Google Scholar]
Figure 1. Equivalent circuit of IIDG access to grid.
Figure 1. Equivalent circuit of IIDG access to grid.
Algorithms 17 00555 g001
Figure 2. Single-source radial distribution network.
Figure 2. Single-source radial distribution network.
Algorithms 17 00555 g002
Figure 3. Schematic diagram of a standard distribution network configuration.
Figure 3. Schematic diagram of a standard distribution network configuration.
Algorithms 17 00555 g003
Figure 4. Adaptive full line current protection action logic diagram.
Figure 4. Adaptive full line current protection action logic diagram.
Algorithms 17 00555 g004
Figure 5. Diagram of a 10 kV distribution network in a certain city.
Figure 5. Diagram of a 10 kV distribution network in a certain city.
Algorithms 17 00555 g005
Figure 6. Comparison of minimum three-phase short circuit currents at different output levels (at the end of line BC).
Figure 6. Comparison of minimum three-phase short circuit currents at different output levels (at the end of line BC).
Algorithms 17 00555 g006
Figure 7. Sensitivity variations of time-limited overcurrent protection with different IIDG outputs.
Figure 7. Sensitivity variations of time-limited overcurrent protection with different IIDG outputs.
Algorithms 17 00555 g007
Figure 8. Minimum two-phase fault currents at the termination of line CD across different IIDG power outputs.
Figure 8. Minimum two-phase fault currents at the termination of line CD across different IIDG power outputs.
Algorithms 17 00555 g008
Figure 9. Comparison of sensitivity before and after adjustment of Phase II current protection under different output conditions of IIDG.
Figure 9. Comparison of sensitivity before and after adjustment of Phase II current protection under different output conditions of IIDG.
Algorithms 17 00555 g009
Figure 10. Comparison of sensitivity before and after adjustment of Phase II current protection under different output conditions of IIDG.
Figure 10. Comparison of sensitivity before and after adjustment of Phase II current protection under different output conditions of IIDG.
Algorithms 17 00555 g010
Figure 11. Comparison of sensitivity before and after adjustment of Phase III current protection under different output conditions of IIDG.
Figure 11. Comparison of sensitivity before and after adjustment of Phase III current protection under different output conditions of IIDG.
Algorithms 17 00555 g011
Table 1. Impedance values of various line sections.
Table 1. Impedance values of various line sections.
Bus RouteImpedance Value (Ω)
AB0.53 + j0.695
BC0.53 + j0.695
CD1.812 + j0.6
DE3.627 + j1.303
Disclaimer/Publisher’s Note: The statements, opinions and data contained in all publications are solely those of the individual author(s) and contributor(s) and not of MDPI and/or the editor(s). MDPI and/or the editor(s) disclaim responsibility for any injury to people or property resulting from any ideas, methods, instructions or products referred to in the content.

Share and Cite

MDPI and ACS Style

Xiao, C.; Cao, Q.; Ren, Y.; Han, X. Optimization of Distribution Network Current Protection for Inverter-Based Distributed Power Access. Algorithms 2024, 17, 555. https://doi.org/10.3390/a17120555

AMA Style

Xiao C, Cao Q, Ren Y, Han X. Optimization of Distribution Network Current Protection for Inverter-Based Distributed Power Access. Algorithms. 2024; 17(12):555. https://doi.org/10.3390/a17120555

Chicago/Turabian Style

Xiao, Chun, Qiong Cao, Yulu Ren, and Xiaoqing Han. 2024. "Optimization of Distribution Network Current Protection for Inverter-Based Distributed Power Access" Algorithms 17, no. 12: 555. https://doi.org/10.3390/a17120555

APA Style

Xiao, C., Cao, Q., Ren, Y., & Han, X. (2024). Optimization of Distribution Network Current Protection for Inverter-Based Distributed Power Access. Algorithms, 17(12), 555. https://doi.org/10.3390/a17120555

Note that from the first issue of 2016, this journal uses article numbers instead of page numbers. See further details here.

Article Metrics

Back to TopTop