Consistency and Convergence Properties of 20 Recent and Old Numerical Schemes for the Diffusion Equation
Abstract
1. Introduction
2. The Analyzed Numerical Methods
- The UPFD method is proposed by Chen-Charpentier and Kojouharov [41] for the linear diffusion–advection–reaction PDE. It is a non-standard combination of the explicit and implicit Euler discretizations, where only the actual node is considered implicitly and the neighbors explicitly. In the case of Equation (1) it reads:
- 2.
- 3.
- The CpC method [31] is the organization of the CNe scheme into a two-stage algorithm. The first stage is a fractional time step with length with the CNe formula:
- 4.
- CpCC: We now make an attempt to improve the accuracy of the CpC method by iterating one more time using the values obtained by the CpC method as predictors. So, after executing Formula (5) in the CpC method, we set and then calculate Formula (5) again.
- 5.
- The two-stage linear-neighbor (LNe or Lne2) method [32] starts with taking a full-size time step with the CNe method to obtain the predictor values , which are valid at the end of the current time step. Using these values, a quantity can be introduced:
- 6.
- The LNe3 method is a three-stage algorithm [32] whose first two stages are the same as the LNe schemes. At the end of its second stage, based on the corrector values in Equation (6), one can set , recalculate the slopes and then repeat (6) to obtain new corrector results. This procedure gives a three-stage scheme altogether. This algorithm is still second-order, but more accurate than LNe2.
- 7.
- The LNe4 method is a four-stage algorithm, which is obtained by repeating the procedure explained in the previous point after the calculations of the LNe3 method.
- 8.
- The CLL method [33] is very similar to the LNe3 method, but it applies fractional time steps at the first and second stages with step sizes . Due to these, it achieves third-order convergence in the time step size, but only if . If the length of the second stage is not fixed to this value, then low-order expressions with coefficient appear in the truncation errors, which make the method second-order only. In this paper, we fixed and keep p as a free parameter. Therefore, the first stage applies the following formula:
- 9.
- The pseudo-implicit (PI) two-stage method was developed in our previous publication [14] (Algorithm 5 there) for the conduction–convection–radiation equation. Here, we apply it only to the pure diffusion Equation (1) with parameter , which means that a half time step is taken to obtain the predictor values and then a full time step for the corrector values. The formulas are the following:Stage 1:Stage 2: ,
- 10.
- The alternating direction explicit (ADE) scheme is a known [26,43] but non-conventional method for which the condition of consistency is also known. We include it here for comparison purposes. In a one-dimensional equidistant mesh, one splits the calculation, i.e., first sweeps the mesh from the left to right, and then vice versa. In the case of Dirichlet boundary conditions at nodes 0 and N, one sets:
- 11.
- The Dufort–Frankel (DF) method [44] (p. 313) is the textbook example of explicit and unconditionally stable methods. It is a one-stage but two-step algorithm with the formula:
- 12.
- The original odd–even hopscotch (OOEH) algorithm has been used for half a century [45]. The structure of this algorithm is shown in Figure 1a. It uses the usual FTCS formula (based on explicit Euler time discretization) at the first stage (labels ‘1’ in the orange boxes in the figure) and the backward time central space (BTCS) formula (implicit Euler time discretization, labels ‘2’ in the figure) at the second stage, which are the following:FTCS: ,implicit Euler: .
- 13.
- The RH, or reversed (odd–even) hopscotch scheme [28], applies the same structure as the OOEH method, but the order of the formulas are interchanged, so the implicit formula comes first followed by the explicit one. One might think that this algorithm cannot be explicit, since the new values of the neighbors are not known when first-stage calculations start. To resolve this, the implicit formula is applied with the UPFD trick, which means the neighbors are treated not implicitly, but explicitly; thus, the first-stage formulas are:
- 14.
- The OEH-CNe (odd–even hopscotch with CNe) applies the same structure as the OOEH method again, but uses only the CNe formulas (4) appropriately.
- 15.
- The shifted-hopscotch (SH) algorithm [29] uses the theta formulas:where the ‘old’ and ‘latest’ labels refer to the appropriate time levels, which can be seen in Figure 1b. We always use the values which are proven to yield the most effective version (S4 algorithm in [29]). More concretely, is used at the first stage and in the second, third and fourth, while is used at the fifth stage. When the length of the stage is halved, and thus r must be divided by 2 as well in (12).
- 16.
- The shifted-hopscotch–CNe (SH-CNe) algorithm [29] applies the same space-time structure as the SH method, but uses only the CNe formulas (4) appropriately. For example, the calculation at the first stage is the following:
- 17.
- The asymmetric-hopscotch (ASH) method [46] is similar to the SH one, but with only three stages. As is shown in Figure 1c, there are two half and one full time step size stages with the formula, which together span one full time step for all nodes. Based on numerical experiments, the algorithms have optimal performance if is used at the first, at the second, and at the third stage (A1 algorithm in [46]).
- 18.
- The asymmetric-hopscotch–CNe (ASH-CNe) algorithm applies the same structure as the SH method, but uses the CNe Formulas (13) and (4) appropriately.
- 19.
- 20.
3. Analytical Results
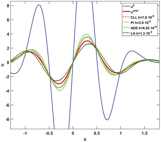
4. Numerical Experiments
5. Discussion and Summary
Author Contributions
Funding
Institutional Review Board Statement
Informed Consent Statement
Data Availability Statement
Conflicts of Interest
Appendix A
- UPFD
- CNe
- CpC. If the parameter p is kept, we have:
- 4.
- CpCC: Let us keep p as a free parameter. However, during the calculations, p cancels out from all the considered terms and we obtain:
- 5.
- LNe:
- 6.
- LNe3:
- 7.
- LNe4:
- 8.
- CLL:
- 9.
- PI:
- 10.
- ADE: If we analyze the core Formulas (9) and (10), where only nearest neighbors are taken into account, we obtain:
- 11.
- DF: We have to face a similar problem as in the case of the ADE method. If the core formulas are the starting point, we obtain different expressions for τ and ɛ:
- 12.
- OOEH:
- 13.
- RH:
- 14.
- OEH-CNe:
- 15.
- SH:
- 16.
- SH-CNe:
- 17.
- ASH:
- 18.
- ASH-CNe:
- 19.
- LH. In this case, one cannot distinguish individual time steps and the stages of the whole calculations are entangled. We made an attempt to calculate the truncation errors, but we do not think this issue was solved by our tentative work. Similarly to the ADE and DF schemes, we examined only the diamond-shaped core formula and obtained:
- 20.
- LH-CNe: the problems are similar, but here at least the τ and ɛ errors are the same.
References
- Hundsdorfer, W.H.; Verwer, J.G. Numerical Solution of Time-Dependent Advection-Diffusion-Reaction Equations; Springer: Berlin, Germany, 2003. [Google Scholar]
- Acton, Q.A. Issues in Biophysics and Geophysics Research and Application: 2011 Edition; ScholarlyEditions: Atlanta, GA, USA, 2012; ISBN 9781464964299. [Google Scholar]
- Zhokh, A.; Strizhak, P. Advection–diffusion in a porous medium with fractal geometry: Fractional transport and crossovers on time scales. Meccanica 2022, 57, 833–843. [Google Scholar] [CrossRef]
- Yu, H.; Yao, L.; Ma, Y.; Hou, Z.; Tang, J.; Wang, Y.; Ni, Y. The Moisture Diffusion Equation for Moisture Absorption of Multiphase Symmetrical Sandwich Structures. Mathematics 2022, 10, 2669. [Google Scholar] [CrossRef]
- Zimmerman, R.W. The Imperial College Lectures in Petroleum Engineering; World Scientific Publishing: Singapore; London, UK, 2018; ISBN 9781786345004. [Google Scholar]
- Savović, S.M.; Djordjevich, A. Numerical solution of diffusion equation describing the flow of radon through concrete. Appl. Radiat. Isot. 2008, 66, 552–555. [Google Scholar] [CrossRef] [PubMed]
- Suárez-Carreño, F.; Rosales-Romero, L. Convergency and stability of explicit and implicit schemes in the simulation of the heat equation. Appl. Sci. 2021, 11, 4468. [Google Scholar] [CrossRef]
- Hundsdorfer, W.; Verwer, J. Numerical Solution of Time-Dependent Advection-Diffusion-Reaction Equations; Springer Series in Computational Mathematics; Springer: Berlin/Heidelberg, Germany, 2003; Volume 33, ISBN 978-3-642-05707-6. [Google Scholar]
- Lima, S.A.; Kamrujjaman, M.; Islam, M.S. Numerical solution of convection-diffusion-reaction equations by a finite element method with error correlation. AIP Adv. 2021, 11, 1–12. [Google Scholar] [CrossRef]
- Ndou, N.; Dlamini, P.; Jacobs, B.A. Enhanced Unconditionally Positive Finite Difference Method for Advection–Diffusion–Reaction Equations. Mathematics 2022, 10, 2639. [Google Scholar] [CrossRef]
- Appau, P.O.; Dankwa, O.K.; Brantson, E.T. A comparative study between finite difference explicit and implicit method for predicting pressure distribution in a petroleum reservoir. Int. J. Eng. Sci. Technol. 2019, 11, 23–40. [Google Scholar] [CrossRef]
- Zhang, J.; Zhao, C. Sharp error estimate of BDF2 scheme with variable time steps for molecular beam expitaxial models without slop selection. J. Math. 2021, 41, 1–19. [Google Scholar]
- Mbroh, N.A.; Munyakazi, J.B. A robust numerical scheme for singularly perturbed parabolic reaction-diffusion problems via the method of lines. Int. J. Comput. Math. 2021, 99, 1139–1158. [Google Scholar] [CrossRef]
- Jalghaf, H.K.; Kovács, E.; Majár, J.; Nagy, Á.; Askar, A.H. Explicit stable finite difference methods for diffusion-reaction type equations. Mathematics 2021, 9, 3308. [Google Scholar] [CrossRef]
- Singh, M.K.; Rajput, S.; Singh, R.K. Study of 2D contaminant transport with depth varying input source in a groundwater reservoir. Water Sci. Technol. Water Supply 2021, 21, 1464–1480. [Google Scholar] [CrossRef]
- Ji, Y.; Zhang, H.; Xing, Y. New Insights into a Three-Sub-Step Composite Method and Its Performance on Multibody Systems. Mathematics 2022, 10, 2375. [Google Scholar] [CrossRef]
- Essongue, S.; Ledoux, Y.; Ballu, A. Speeding up mesoscale thermal simulations of powder bed additive manufacturing thanks to the forward Euler time-integration scheme: A critical assessment. Finite Elem. Anal. Des. 2022, 211, 103825. [Google Scholar] [CrossRef]
- Reguly, I.Z.; Mudalige, G.R. Productivity, performance, and portability for computational fluid dynamics applications. Comput. Fluids 2020, 199. [Google Scholar] [CrossRef]
- Gagliardi, F.; Moreto, M.; Olivieri, M.; Valero, M. The international race towards Exascale in Europe. CCF Trans. High Perform. Comput. 2019, 1, 3–13. [Google Scholar] [CrossRef]
- Appadu, A.R. Performance of UPFD scheme under some different regimes of advection, diffusion and reaction. Int. J. Numer. Methods Heat Fluid Flow 2017, 27, 1412–1429. [Google Scholar] [CrossRef]
- Sanjaya, F.; Mungkasi, S. A simple but accurate explicit finite difference method for the advection-diffusion equation. J. Phys. Conf. Ser. 2017, 909, 1–5. [Google Scholar] [CrossRef]
- Pourghanbar, S.; Manafian, J.; Ranjbar, M.; Aliyeva, A.; Gasimov, Y.S. An efficient alternating direction explicit method for solving a nonlinear partial differential equation. Math. Probl. Eng. 2020, 2020, 1–12. [Google Scholar] [CrossRef]
- Al-Bayati, A.; Manaa, S.; Al-Rozbayani, A. Comparison of Finite Difference Solution Methods for Reaction Diffusion System in Two Dimensions. AL-Rafidain J. Comput. Sci. Math. 2011, 8, 21–36. [Google Scholar] [CrossRef][Green Version]
- Nwaigwe, C. An Unconditionally Stable Scheme for Two-Dimensional Convection-Diffusion-Reaction Equations. 2022. Available online: https://www.researchgate.net/publication/357606287_An_Unconditionally_Stable_Scheme_for_Two-Dimensional_Convection-Diffusion-Reaction_Equations (accessed on 14 September 2022).
- Savović, S.; Drljača, B.; Djordjevich, A. A comparative study of two different finite difference methods for solving advection–diffusion reaction equation for modeling exponential traveling wave in heat and mass transfer processes. Ric. Mat. 2021, 71, 245–252. [Google Scholar] [CrossRef]
- Liu, H.; Leung, S. An Alternating Direction Explicit Method for Time Evolution Equations with Applications to Fractional Differential Equations. Methods Appl. Anal. 2020, 26, 249–268. [Google Scholar] [CrossRef]
- Saleh, M.; Nagy, Á.; Kovács, E. Part 1: Construction and investigation of new numerical algorithms for the heat equation. Multidiszcip. Tudományok 2020, 10, 323–338. [Google Scholar] [CrossRef]
- Saleh, M.; Nagy, Á.; Kovács, E. Part 3: Construction and investigation of new numerical algorithms for the heat equation. Multidiszcip. Tudományok 2020, 10, 349–360. [Google Scholar] [CrossRef]
- Nagy, Á.; Saleh, M.; Omle, I.; Kareem, H.; Kovács, E. New stable, explicit, shifted-hopscotch algorithms for the heat equation. Math. Comput. Appl. 2021, 26, 61. [Google Scholar] [CrossRef]
- Nagy, Á.; Omle, I.; Kareem, H.; Kovács, E.; Barna, I.F.; Bognar, G. Stable, Explicit, Leapfrog-Hopscotch Algorithms for the Diffusion Equation. Computation 2021, 9, 92. [Google Scholar] [CrossRef]
- Kovács, E.; Nagy, Á.; Saleh, M. A set of new stable, explicit, second order schemes for the non-stationary heat conduction equation. Mathematics 2021, 9, 2284. [Google Scholar] [CrossRef]
- Kovács, E. A class of new stable, explicit methods to solve the non-stationary heat equation. Numer. Methods Partial Differ. Equ. 2020, 37, 2469–2489. [Google Scholar] [CrossRef]
- Kovács, E.; Nagy, Á.; Saleh, M. A New Stable, Explicit, Third-Order Method for Diffusion-Type Problems. Adv. Theory Simul. 2022, 5, 2100600. Available online: https://onlinelibrary.wiley.com/doi/10.1002/adts.202100600 (accessed on 14 September 2022). [CrossRef]
- Holmes, M.H. Introduction to Numerical Methods in Differential Equations; Springer: New York, NY, USA, 2007; ISBN 978-0387-30891-3. [Google Scholar]
- Morton, K.W.; Mayers, D.F. Numerical Solution of Partial Differential Equations, 2nd ed.; Cambridge University Press: Cambridge, MA, USA, 2005; ISBN 978-0-521-60793-3. [Google Scholar]
- Özişik, M.N. Finite Difference Methods in Heat Transfer; CRC Press: Boca Raton, FL, USA, 2017; ISBN 69781482243468. [Google Scholar]
- Richtmyer, R.D.; Morton, K.W. Difference Methods for Initial Value Problems, 2nd ed.; Wiley: New York, NY, USA, 1967. [Google Scholar]
- Mitchell, A.R.; Griffiths, D.F. The Finite Difference Method in Partial Differential Equations; Wiley: Chichester, UK, 1980; ISBN 0-471-27811-3. [Google Scholar]
- Saleh, M.; Kovács, E.; Barna, I.F.; Mátyás, L. New Analytical Results and Comparison of 14 Numerical Schemes for the Diffusion Equation with Space-Dependent Diffusion Coefficient. Mathematics 2022, 10, 2813. [Google Scholar] [CrossRef]
- Iserles, A. A First Course in the Numerical Analysis of Differential Equations; Cambridge University Press: Cambridge, MA, USA, 2009; ISBN 9788490225370. [Google Scholar]
- Chen-Charpentier, B.M.; Kojouharov, H.V. An unconditionally positivity preserving scheme for advection-diffusion reaction equations. Math. Comput. Model. 2013, 57, 2177–2185. [Google Scholar] [CrossRef]
- Kovács, E. New Stable, Explicit, First Order Method to Solve the Heat Conduction Equation. J. Comput. Appl. Mech. 2020, 15, 3–13. [Google Scholar] [CrossRef]
- Barakat, H.Z.; Clark, J.A. On the solution of the diffusion equations by numerical methods. J. Heat Transfer 1966, 88, 421–427. [Google Scholar] [CrossRef]
- Hirsch, C. Numerical Computation of Internal and External Flows, Volume 1: Fundamentals of Numerical Discretization; Wiley: Hoboken, NJ, USA, 1988. [Google Scholar]
- Gourlay, A.R.; McGuire, G.R. General Hopscotch Algorithm for the Numerical Solution of Partial Differential Equations. IMA J. Appl. Math. 1971, 7, 216–227. [Google Scholar] [CrossRef]
- Saleh, M.; Kovács, E. New Explicit Asymmetric Hopscotch Methods for the Heat Conduction Equation. Comput. Sci. Math. Forum 2021, 2, 22. [Google Scholar]
- Ferziger, J.H.; Perić, M. Computational Methods for Fluid Dynamics; Springer: Berlin, Germany, 1996. [Google Scholar]
- Mátyás, L.; Barna, I.F. General Self-Similar Solutions of Diffusion Equation and Related Constructions. Rom. J. Phys. 2022, 67, 101. [Google Scholar]

















| Abbrev. | Name of the Method | Recent | Known LTE | O | Conv. Comb. | |
|---|---|---|---|---|---|---|
| 1. | UPFD | Uncond. positive finite difference | - | + | 1 | + |
| 2. | CNe | Constant neighbor | + | + | 1 | + |
| 3. | CpC | Two-stage iterated CNe | + | - | 2 | + |
| 4. | CpCC | Three-stage iterated CNe | new | - | 1 | + |
| 5. | LNe | Two-stage Linear neighbor | + | + | 2 | + |
| 6. | LNe3 | Three-stage iterated CNe | + | - | 2 | + |
| 7. | LNe4 | Four-stage iterated CNe | + | - | 2 | + |
| 8. | CLL | Const.-Lin.-Lin. neighbor fract. step | + | + | 3 | - |
| 9. | PI | Pseudo-implicit | + | - | 2 | - |
| 10 | ADE | Alternating direction explicit | - | + | 2 | - |
| 11 | DF | Dufort-Frankel | - | + | 2 | - |
| 12 | OOEH | Original odd–even hopscotch | - | ? | 2 | - |
| 13 | RH | Reversed hopscotch | + | - | 2 | - |
| 14 | OEH-CNe | OEH structure with CNe formulas | + | - | 2 | + |
| 15 | SH | Shifted hopscotch | + | - | 2 | - |
| 16 | SH-CNe | SH structure with CNe formulas | + | - | 2 | + |
| 17 | ASH | Asymmetric hopscotch | + | - | 2 | - |
| 18 | ASH-CNe | ASH structure with CNe formulas | + | - | 2 | + |
| 19 | LH | Leapfrog-hopscotch | + | - | 2 | - |
| 20 | LH-CNe | LH structure with CNe formulas | + | - | 2 | + |
Publisher’s Note: MDPI stays neutral with regard to jurisdictional claims in published maps and institutional affiliations. |
© 2022 by the authors. Licensee MDPI, Basel, Switzerland. This article is an open access article distributed under the terms and conditions of the Creative Commons Attribution (CC BY) license (https://creativecommons.org/licenses/by/4.0/).
Share and Cite
Nagy, Á.; Majár, J.; Kovács, E. Consistency and Convergence Properties of 20 Recent and Old Numerical Schemes for the Diffusion Equation. Algorithms 2022, 15, 425. https://doi.org/10.3390/a15110425
Nagy Á, Majár J, Kovács E. Consistency and Convergence Properties of 20 Recent and Old Numerical Schemes for the Diffusion Equation. Algorithms. 2022; 15(11):425. https://doi.org/10.3390/a15110425
Chicago/Turabian StyleNagy, Ádám, János Majár, and Endre Kovács. 2022. "Consistency and Convergence Properties of 20 Recent and Old Numerical Schemes for the Diffusion Equation" Algorithms 15, no. 11: 425. https://doi.org/10.3390/a15110425
APA StyleNagy, Á., Majár, J., & Kovács, E. (2022). Consistency and Convergence Properties of 20 Recent and Old Numerical Schemes for the Diffusion Equation. Algorithms, 15(11), 425. https://doi.org/10.3390/a15110425

