Improving the Robustness of AI-Based Malware Detection Using Adversarial Machine Learning
Abstract
:1. Introduction
2. Theoretical Background
2.1. Malware and Types of Malware
2.2. Malware Analysis
- Statics Analysis—This includes examining a program’s or software’s source code without running it. The static information from the source code is extracted in this procedure to see if it contains any dangerous code. Debuggers, de-compilers, de-assemblers, code analyzers, and other tools are used for this type of analysis. File format extraction, string extraction, fingerprinting, AV scanning, and disassembly are some of the methods used to do perform static analysis with the help of these tools.
- Dynamic Analysis—The functionality of the software or a program is examined using this method, which involves running the source code. In other words, a software’s behavior is examined, and the software’s intents or purpose are deduced from these observations. This is commonly done in a virtual environment with a sandbox, simulator, emulators, RegShot, a process explorer, and other tools. This strategy makes malware detection simple.
2.3. Malware Detection Techniques
- Signature-based detection technique: When malware is created, it has a signature, which may determine which malware family it belongs to. The majority of antivirus solutions use a signature-based identifying mechanism. The antivirus software decodes the corrupted file code and looks for malware-related sequences. Signatures of malware are stored in a database and are compared later during the detection process. This type of identification technique is also known as scanning or matching string or pattern. It could be static, dynamic, or hybrid in nature.
- Heuristic-based detection technique: Heuristic-based identification detects or distinguishes between a system’s normal and abnormal activities, allowing known and suspected malware threats to be identified and resolved. The heuristic-based detection technique is divided into two parts. In the first stage, the behavior of the mechanism is observed in the absence of an attack, and a record of essential details is kept that may be confirmed and tested in the event of an assault. This disparity is noted in the second phase to detect malware from a certain family. The action detector in the heuristic-based methodology is made up of the three basic components listed below.
- (a)
- Data collection: Under this component, the data collection is performed with either static or dynamic techniques.
- (b)
- Interpretation: This component turns the data obtained by the data collection component into the intermediate form after interpretation.
- (c)
- Matching algorithm: This component is used to match the transformed information to the behavior signature in the interpretation component.
- Specification-based detection techniques: Applications are managed according to their parameters and controls for normal and abnormal behavior in specification-based detection approaches. This methodology is derived from a heuristic technique. The key difference is that heuristic detection techniques use machine learning and AI to identify a legitimate program’s valid and invalid behavior. In contrast, specification-based detection techniques study the actions defined in the system specification. This method is more of a manual comparison of the system’s typical operations. It solves the flaws of heuristic-based techniques by lowering the number of false positives and increasing the number of erroneous negatives. Each malware detection technique might be static, dynamic, or hybrid. Figure 1 shows an overview of the different malware detection techniques.
2.4. Need for Artificial Intelligence
3. Malware Detection and Classification with Machine Learning
4. Challenges
5. Adversarial Machine Learning
5.1. Adversarial Attacks
- Linf—This effectively reduces the maximum amount of disturbance that every feature is subjected to;
- L0—On the other hand, this reduces the number of characteristics that are affected;
- L2—This lowers the ED between the initial and altered samples on average.
Different Adversarial Attacks
- L-BFGS: This attack method uses the L2 Distance Metric. To reduce the number of perturbations applied to the pictures, the L-BFGS optimization is utilized [20]. This approach is quite good at generating adversarial instances. However, it is computationally rigorous, because this attack approach is categorized as an optimization method with box constraints.
- FGSM: This assault technique uses the Distance Metric LinF. In this assault technique, flat perturbations are applied to every feature in the direction of the gradient. This assault technique saves time in terms of computing. The main disadvantage of this assault approach is that perturbations are produced even when they are not needed and are applied to every feature.
- JSMA: This assault tactic uses the Distance Metric L0. Flat perturbations are applied to features in decreasing order in this attack approach, depending on their saliency value. Because just a few characteristics are disrupted, this attack technique is highly successful. It is, nevertheless, more computationally expensive than FGSM.
- Deepfool: Distance Metric L2 is used for this attack strategy. This attack strategy estimates decision boundaries between the classes, and the perturbations are added iteratively. This strategy is highly effective at producing adversarial examples. This strategy, however, is computationally more intensive than FGSM and JSMA, and adversarial examples likely produced may not be optimal.
- C&W: This assault plan employs all distance measurements, L0, L2, and Linf. This attack technique is similar to the L-BFGS attack (i.e., optimization problem), except it does not need box restrictions and has different objective functions. Although this method is computationally more rigorous and demanding than other attack tactics, such as FGSM, JSMA, and Deepfool, it is highly successful at creating adversarial instances and can quickly overcome various adversarial defenses.
- GAN/WGAN: This assault tactic employs no distance metric. This approach entails training two neural networks, one for generating samples and the other for distinguishing between actual and produced samples. This approach is quite good at producing samples that are not the same as those used in training. However, training a GAN requires a lot of computing power and can be quite unstable.
- ZOO: This assault tactic uses the Distance Metric L2. This approach predicts the gradient and hessian by querying the target model with updated individual characteristics and utilizing Adam or Newton’s technique to minimize perturbations. Its effectiveness is comparable to that of the C&W assault. This assault strategy’s sole disadvantage is that it necessitates a high number of requests to the target classifier.
5.2. Adversarial Defenses
- Adversarial Training: This method integrates hostile instances (adversarial example) into the training set or the model’s loss function, making it easy to use. When assaults during deployment are identical to those in training, it is the most successful defense technique. The only downside is that this method requires retraining the classifier in use, and it may be ineffective against assaults not listed above [20].
- Gradient Masking: This entails employing strategies that cause the attacker to become perplexed regarding the model’s gradient, causing them to underestimate it. If attacks are transferable across various models, this defense technique will fail.
- Defensive Distillation: This requires creating and training a new network with the last structure, using neural network distillation. However, the C&W attack appeared to have defeated them. Aside from that, it necessitates the training of a completely new model, which is another drawback of this defense.
- Feature Squeezing: This is a collection of techniques that classify data using compressed characteristics and features. It is best for working with images because it is only beneficial in specific cases where compression is achievable without considerable data loss.
- Transferability Block: As part of this defense mechanism, the model is trained with new labels (NULL) with values proportional to the amount of noise in the sample. This is one of the most effective strategies for finding conflicting instances. It is, on the other hand, unable to recognize an antagonistic sample’s original labels.
- Universal perturbation defense method: This method employs a network that takes features from adversarial instances and trains another model that recognizes and identifies these adversarial samples. This does not necessitate the training of new models and works in the same way as other defense mechanisms, but attacks with different parameters can have identical effects.
- MagNet: With reconstruction error, this method trains an autoencoder to recognize adversarial examples and then utilizes a different one to produce non-adversarial samples for classification on a separate classifier. It necessitates autoencoders, which might be difficult to train at times, which is a disadvantage of this technique.
6. Implementation
6.1. Proposed Flow of Research Work
6.2. Data Collection
About the Dataset
6.3. Algorithms Used
6.3.1. Machine Learning
- K random data points are chosen at random from the dataset.
- The decision trees that are related to the specified data points are built.
- Choose the number N for the decision trees that need to be built.
- Repeat steps 1 and 2 as needed.
6.3.2. Deep Learning
Convolutional Neural Networks
EfficientNet B0
6.4. Adversarial Sample Generation
- Take an input image
- Make predictions using a trained model on the image
- Computation of loss of prediction based on the true class label
- Calculations of the gradients of loss for the input image
- Computation of the sign of the gradient
- Use the signed gradient to construct the output adversarial image
6.5. Adversarial Defense Mechanism
7. Results
7.1. Results Obtained before Performing Adversarial Attacks
- Random Forest: The results obtained after the dataset training show that the random forest classifier was able to achieve an accuracy of 93%. The confusion matrix below shows that the classifier could classify the images correctly for classes like Vilsel, where a total number of 71 images were given to the model. It was able to classify them with 100% accuracy, as no image was misclassified into any other class. Along with Vilsel, the images belonging to the Amonetize, Hlux, Neoreklami, Regrun, Sality, and VBA classes were also classified with 100% accuracy. Dinwood and Adposhel followed this with only one misclassified image, whereas images from the Neshta class were highly misclassified. Figure 12 shows the confusion matrix for CNN.
- Convolutional Neural Network (CNN): Convolutional neural network gave an accuracy of 92.3% after training the images from the MaleVis Dataset. The confusion matrix shows that the images belonging to Amonetize, Fasong, HackKMS, Hlux, InstallCore, Regrun, Stantinko, Snarasite, VBA, and Visel were correctly classified by the CNN classifier. Compared to random forest, CNN was able to give 100% accuracy to more classes. The Neshta class of the malware family had the least accuracy. Out of the total 88 images fed into the classifier, only 52 were classified correctly as Neshta, whereas 9 images were classified as benign images and 8 were classified into Sality class. After Neshta, the Expiro class had the least accuracy of 72.22%. Figure 13 shows the confusion matrix for CNN model and Figure 14 displays the training and testing loss curves.
- EfficientNet B0: The model developed using EfficientNet-B0 was able to achieve an accuracy of 93.7%. The classes with 100% accuracy were HackKMS, InstallCore, Multiplug, Regrun, Snarasite, VBA, VBKrypt, and Vilsel. Similar to random forest and CNN, this classifier also performed poorly for Neshta with an accuracy of 64.94%. Figure 15 shows the confusion matrix for the random forest model, and Figure 16 displays the training and testing loss curves.
7.2. Results Obtained after Performing Adversarial Attack
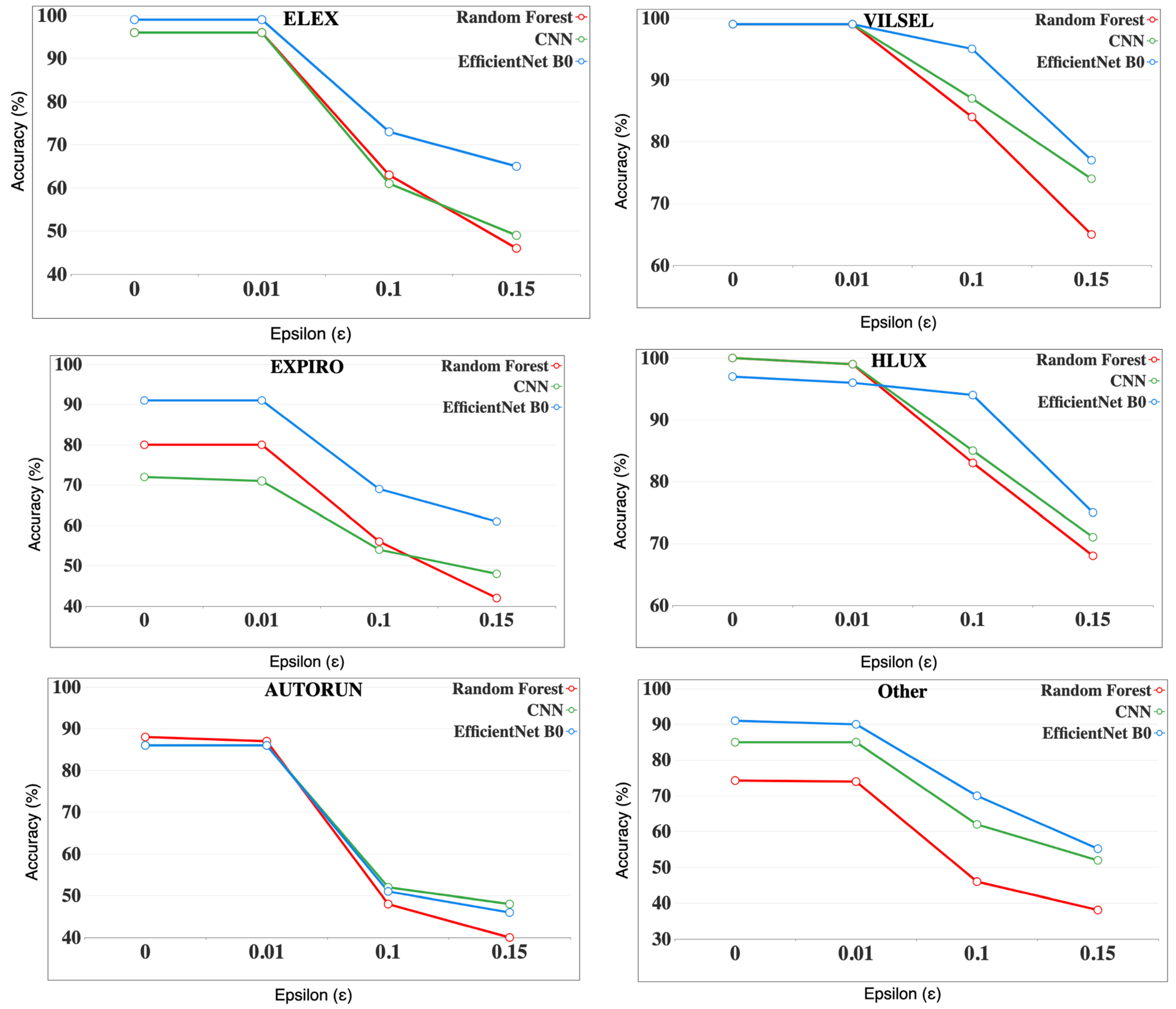
- Random Forest: The random forest classifier was observed to be relatively more affected by the FGSM attack with an epsilon value of 0.1 and above. With the 0.01 epsilon value of the model, the confidence level was significantly dropped but did not misclassify for maximum classes. There were some classes, such as like Nestha and Other, for which the images were misclassified with a confidence level of 46% and 53%, respectively. The Vilsel class, which was classified with 100% accuracy before the attack, had a confidence level of 68% for the epsilon value of 0.01. The overall accuracy for the class for the epsilon value 0.1 was dropped by around 16% from 100% to 84.52%, whereas the Hlux class’ accuracy was observed to be 83.66%, which was 100% before attack. The attack performed with 0.15 epsilon proved fatal as the average accuracy drop was 40%.
- CNN: Compared with the random forest classifier, CNN was relatively less affected by the attack for an epsilon value of 0.1 and above. Still, for 0.01, it was similar to random forest classifier. Only the confidence level dropped for classes such as Amonetize, Fasong, InstallCore, Regrun, Stantinko, Visel, etc., which had very high accuracy before attack. However, the classes which had very poor accuracy were misclassified even with a 0.01 epsilon value, such as Expiro and Neshta, whose accuracy dropped from 59.09 to 39% and 72.22 to 63.40%, respectively. For an epsilon value of 0.1, the most affected classes were Autorun, whose accuracy dropped from 86.36% to 52.42%, and Neshta, whose accuracy dropped to 31.58%. The accuracy for each class was dropped around 30–35% for the epsilon value of 0.15.
- EfficientNet B0: This classifier proved to be least affected by the attack as compared to the previous two models. Only the Neshta class was seen to have misclassification for 0.01 epsilon values. During the attack with 0.1 epsilon, the classes were significantly impacted in terms of misclassification. The most affected classes were Elex, Expiro, and Other (Benign), with 72.34%, 68.42%, and 70.22% accuracy. As seen earlier in the before the attack section and after attack, Neshta is the only class with the highest misclassification rate for all classifiers developed by the authors. The 0.15 epsilon caused a 30% drop on average in the accuracies of all classes of the dataset.
7.3. Results Obtained after Performing Adversarial Defense
7.4. Anamoly Detection
8. Discussion
9. Conclusions and Future Scope
Author Contributions
Funding
Institutional Review Board Statement
Informed Consent Statement
Data Availability Statement
Conflicts of Interest
References
- Lallie, H.S.; Shepherd, L.A.; Nurse, J.R.; Erola, A.; Epiphaniou, G.; Maple, C.; Bellekens, X. Cyber security in the age of COVID-19: A timeline and analysis of cyber-crime and cyber-attacks during the pandemic. Comput. Secur. 2021, 105, 102248. [Google Scholar] [CrossRef]
- Anderson, R.; Barton, C.; Böhme, R.; Clayton, R.; van Eeten, M.J.G.; Levi, M.; Moore, T.; Savage, S. Measuring the Cost of Cybercrime. In The Economics of Information Security and Privacy; Springer: Berlin/Heidelberg, Germany, 2013; pp. 265–300. [Google Scholar]
- Damaševičius, R.; Venčkauskas, A.; Toldinas, J.; Grigaliūnas, Š. The Great Bank Robbery: Carbanak cybergang steals $ 1bn from 100 financial institutions worldwide. Electronics 2021, 10, 485. [Google Scholar] [CrossRef]
- Cisco. 2015 Annual Security Report. Available online: https://www.cisco.com/c/dam/assets/global/DE/unified_channels/partner_with_cisco/newsletter/2015/edition2/download/cisco-annual-security-report-2015-e.pdf (accessed on 10 October 2021).
- Bissell, K.; Lasalle, R.M.; Dal Chin, P. The Cost of Cybercrime: Ninth Annual Cost of Cybercrime Study. Ninth Annu. Cost Cybercrime Study. Available online: https://www.accenture.com/_acnmedia/PDF-96/Accenture-2019-Cost-of-Cybercrime-Study-Final.pdf (accessed on 10 October 2021).
- Upstream Security. 2020 Global Automotive Cyber security Report. Netw. Secur. 2020, 2020, 4. [Google Scholar] [CrossRef]
- Cybersecurity Ventures. 2017 CyberVentures Cybercrime Report. Herjavec Gr. 2019. [Google Scholar]
- Seh, A.H.; Zarour, M.; Alenezi, M.; Sarkar, A.K.; Agrawal, A.; Kumar, R.; Ahmad Khan, R. Healthcare Data Breaches: Insights and Implications. Healthcare 2020, 8, 133. [Google Scholar] [CrossRef]
- Patil, S.; Joshi, S. Demystifying user data privacy in the world of IOT. Int. J. Innov. Technol. Explor. Eng. 2019, 10, 4412–4418. [Google Scholar] [CrossRef]
- Minaam, D.A.; Amer, E. Survey on Machine Learning Techniques: Concepts and Algorithms. Int. J. Electron. Inf. Eng. 2019, 10, 34–44. [Google Scholar]
- Souri, A.; Hosseini, R. A state-of-the-art survey of malware detection approaches using data mining techniques. Hum. Cent. Comput. Inf. Sci. 2018, 8, 3. [Google Scholar] [CrossRef]
- Ye, Y.; Li, T.; Adjeroh, D.; Iyengar, S.S. A Survey on Malware Detection Using Data Mining Techniques. ACM Comput. Surv. 2017, 50, 1–40. [Google Scholar] [CrossRef]
- Aslan, O.; Samet, R. A Comprehensive Review on Malware Detection Approaches. IEEE Access 2020, 8, 6249–6271. [Google Scholar] [CrossRef]
- Martín, I.; Hernández, J.A.; Santos, S.D.L. Machine-Learning based analysis and classification of Android malware signatures. Futur. Gener. Comput. Syst. 2019, 97, 295–305. [Google Scholar] [CrossRef]
- Ucci, D.; Aniello, L.; Baldoni, R. Survey of machine learning techniques for malware analysis. Comput. Secur. 2019, 81, 123–147. [Google Scholar] [CrossRef] [Green Version]
- Shaikh, A.; Patil, S.G. A Survey on Privacy Enhanced Role Based Data Aggregation via Differential Privacy. In Proceedings of the 2018 International Conference On Advances in Communication and Computing Technology (ICACCT), Delhi, India, 9 March 2018; pp. 285–290. [Google Scholar] [CrossRef]
- Yuxin, D.; Siyi, Z. Malware detection based on deep learning algorithm. Neural Comput. Appl. 2017, 31, 461–472. [Google Scholar] [CrossRef]
- Berman, D.S.; Buczak, A.L.; Chavis, J.S.; Corbett, C.L. A Survey of Deep Learning Methods for Cyber Security. Information 2019, 10, 122. [Google Scholar] [CrossRef] [Green Version]
- Nisa, M.; Shah, J.H.; Kanwal, S.; Raza, M.; Khan, M.A.; Damaševičius, R.; Blažauskas, T. Hybrid Malware Classification Method Using Segmentation-Based Fractal Texture Analysis and Deep Convolution Neural Network Features. Appl. Sci. 2020, 10, 4966. [Google Scholar] [CrossRef]
- Chen, S.; Xue, M.; Fan, L.; Hao, S.; Xu, L.; Zhu, H.; Li, B. Automated poisoning attacks and defenses in malware detection systems: An adversarial machine learning approach. Comput. Secur. 2018, 73, 326–344. [Google Scholar] [CrossRef] [Green Version]
- Peng, X.; Xian, H.; Lu, Q.; Lu, X. Generating Adversarial Malware Examples with API Semantics-Awareness for Black-Box Attacks. In International Symposium on Security and Privacy in Social Networks and Big Data; Springer: Berlin/Heidelberg, Germany, 2020. [Google Scholar] [CrossRef]
- Martins, N.; Cruz, J.M.; Cruz, T.; Abreu, P.H. Adversarial Machine Learning Applied to Intrusion and Malware Scenarios: A Systematic Review. IEEE Access 2020, 8, 35403–35419. [Google Scholar] [CrossRef]
- Patil, S.G.; Joshi, S.; Patil, D. Enhanced Privacy Preservation Using Anonymization in IOT-Enabled Smart Homes. In Smart Intelligent Computing and Applications; Springer: Berlin/Heidelberg, Germany, 2020. [Google Scholar] [CrossRef]
- Ngo, Q.-D.; Nguyen, H.-T.; Le, V.-H.; Nguyen, D.-H. A survey of IoT malware and detection methods based on static features. ICT Express 2020, 6, 280–286. [Google Scholar] [CrossRef]
- Joshi, S.; Barshikar, S. A Survey on Internet of Things. Int. J. Comput. Sci. Eng. 2018, 6, 492–496. [Google Scholar] [CrossRef]
- Ren, Z.; Wu, H.; Ning, Q.; Hussain, I.; Chen, B. End-to-end malware detection for android IoT devices using deep learning. Ad Hoc Netw. 2020, 101, 102098. [Google Scholar] [CrossRef]
- Tahir, R. A Study on Malware and Malware Detection Techniques. Int. J. Educ. Manag. Eng. 2018, 8, 20–30. [Google Scholar] [CrossRef] [Green Version]
- Yong, B.; Wei, W.; Li, K.; Shen, J.; Zhou, Q.; Wozniak, M.; Połap, D.; Damaševičius, R. Ensemble machine learning approaches for webshell detection in Internet of things environments. Trans. Emerg. Telecommun. Technol. 2020. [Google Scholar] [CrossRef]
- Harshalatha, P.; Mohanasundaram, R. Classification of malware detection using machine learning algorithms: A survey. Int. J. Sci. Technol. Res. 2020, 9, 1796–1802. [Google Scholar]
- Gupta, D.; Rani, R. Big Data Framework for Zero-Day Malware Detection. Cybern. Syst. 2018, 49, 103–121. [Google Scholar] [CrossRef]
- Damaševičius, R.; Venčkauskas, A.; Toldinas, J.; Grigaliūnas, Š. Ensemble-Based Classification Using Neural Networks and Machine Learning Models for Windows PE Malware Detection. Electronics 2021, 10, 485. [Google Scholar] [CrossRef]
- Burnap, P.; French, R.; Turner, F.; Jones, K. Malware classification using self organising feature maps and machine activity data. Comput. Secur. 2018, 73, 399–410. [Google Scholar] [CrossRef]
- AlAhmadi, B.A.; Martinovic, I. MalClassifier: Malware family classification using network flow sequence behaviour. In 2018 APWG Symposium on Electronic Crime Research (eCrime); IEEE: Manhattan, NY, USA, 2018. [Google Scholar] [CrossRef]
- Pai, S.; Di Troia, F.; Visaggio, C.A.; Austin, T.; Stamp, M. Clustering for malware classification. J. Comput. Virol. Hacking Tech. 2017, 13, 95–107. [Google Scholar] [CrossRef]
- Liu, L.; Wang, B.-S.; Yu, B.; Zhong, Q.-X. Automatic malware classification and new malware detection using machine learning. Front. Inf. Technol. Electron. Eng. 2017, 18, 1336–1347. [Google Scholar] [CrossRef]
- Kosmidis, K.; Kalloniatis, C. Machine Learning and Images for Malware Detection and Classification. In Proceedings of the 21st Pan-Hellenic Conference on Informatics, Larissa, Greece, 28–30 September 2017. [Google Scholar] [CrossRef]
- Gandotra, E.; Bansal, D.; Sofat, S. Integrated Framework for Classification of Malwares. In Proceedings of the 7th International Conference on PErvasive Technologies Related to Assistive Environments, Rhodes, Greece, 27–30 May 2014. [Google Scholar] [CrossRef] [Green Version]
- Tian, R.; Batten, L.; Islam, R.; Versteeg, S. An automated classification system based on the strings of trojan and virus families. In Proceedings of the 2009 4th International Conference on Malicious and Unwanted Software (MALWARE), Montreal, QC, Canada, 13–14 October 2009. [Google Scholar] [CrossRef] [Green Version]
- Devesa, J.; Santos, I.; Cantero, X.; Penya, Y.K.; Bringas, P.G. Automatic behaviour-based analysis and classification system for malware detection. In Proceedings of the 12th International Conference on Enterprise Information Systems, Madeira, Portugal, 8–12 June 2010. [Google Scholar] [CrossRef] [Green Version]
- Han, Y.; Wang, Q. An adversarial sample defense model based on computer attention mechanism. In Proceedings of the 2021 International Conference on Communications, Information System and Computer Engineering (CISCE), Kuala Lumpur, Malaysia, 3–5 July 2021. [Google Scholar] [CrossRef]
- Islam, R.; Tian, R.; Batten, L.M.; Versteeg, S. Classification of malware based on integrated static and dynamic features. J. Netw. Comput. Appl. 2013, 36, 646–656. [Google Scholar] [CrossRef]
- Fang, Y.; Zeng, Y.; Li, B.; Liu, L.; Zhang, L. DeepDetectNet vs RLAttackNet: An adversarial method to improve deep learning-based static malware detection model. PLoS ONE 2020, 15, e0231626. [Google Scholar] [CrossRef] [PubMed]
- Kumar, A.; Mehta, S.; Vijaykeerthy, D. An Introduction to Adversarial Machine Learning. In International Conference on Big Data Analytics; Springer: Cham, Switzerland, 2017. [Google Scholar] [CrossRef]
- Tygar, J. Adversarial Machine Learning. IEEE Internet Comput. 2011, 15, 4–6. [Google Scholar] [CrossRef] [Green Version]
- Kim, J.-Y.; Bu, S.-J.; Cho, S.-B. Zero-day malware detection using transferred generative adversarial networks based on deep autoencoders. Inf. Sci. 2018, 460–461, 83–102. [Google Scholar] [CrossRef]
- Biggio, B.; Corona, I.; Maiorca, D.; Nelson, B.; Šrndić, N.; Laskov, P.; Giacinto, G.; Roli, F. Evasion Attacks against Machine Learning at Test Time. In Joint European Conference on Machine Learning and Knowledge Discovery in Databases; Springer: Berlin/Heidelberg, Germany, 2013. [Google Scholar] [CrossRef] [Green Version]
- Grosse, K.; Papernot, N.; Manoharan, P.; Backes, M.; McDaniel, P. Adversarial Examples for Malware Detection. In European Symposium on Research in Computer Security; Springer: Cham, Switzerland, 2017. [Google Scholar] [CrossRef]
- Anderson, H.S.; Kharkar, A.; Filar, B.; Roth, P. Evading Machine Learning Malware Detection. In Proceedings of the 2019 IEEE Symposium on Security and Privacy Workshops, San Francisco, CA, USA, 20–22 May 2019. [Google Scholar]
- Xu, W.; Qi, Y.; Evans, D. Automatically Evading Classifiers: A Case Study on PDF Malware Classifiers. In Proceedings of the 2016 Network and Distributed System Security Symposium, San Diego, CA, USA, 21–24 February 2016. [Google Scholar] [CrossRef]
- Calleja, A.; Martín, A.; Menéndez, H.D.; Tapiador, J.; Clark, D. Picking on the family: Disrupting android malware triage by forcing misclassification. Expert Syst. Appl. 2018, 95, 113–126. [Google Scholar] [CrossRef]
- Menéndez, H.D.; Bhattacharya, S.; Clark, D.; Barr, E.T. The arms race: Adversarial search defeats entropy used to detect malware. Expert Syst. Appl. 2019, 118, 246–260. [Google Scholar] [CrossRef]
- Chen, L.; Ye, Y.; Bourlai, T. Adversarial Machine Learning in Malware Detection: Arms Race between Evasion Attack and Defense. In Proceedings of the 2017 European Intelligence and Security Informatics Conference (EISIC), Athens, Greece, 11–13 September 2017. [Google Scholar] [CrossRef]
- Clements, J.; Yang, Y.; Sharma, A.; Hu, H.; Lao, Y. Rallying adversarial techniques against deep learning for network security. arXiv 2019, arXiv:1903.11688. [Google Scholar]
- Anderson, H.S.; Woodbridge, J.; Filar, B. DeepDGA: Adversarially-tuned domain generation and detection. In Proceedings of the 2016 ACM Workshop on Artificial Intelligence and Security, Vienna, Austria, 28 October 2016. [Google Scholar] [CrossRef]
- MaleVis Dataset Home Page. Available online: https://web.cs.hacettepe.edu.tr/~selman/malevis/> (accessed on 2 October 2021).
- Bozkir, A.S.; Tahillioglu, E.; Aydos, M.; Kara, I. Catch them alive: A malware detection approach through memory forensics, manifold learning and computer vision. Comput. Secur. 2021, 103, 102166. [Google Scholar] [CrossRef]
- Aslan, O.; Yilmaz, A.A. A New Malware Classification Framework Based on Deep Learning Algorithms. IEEE Access 2021, 9, 1. [Google Scholar] [CrossRef]
- Mills, A.; Spyridopoulos, T.; Legg, P. Efficient and Interpretable Real-Time Malware Detection Using Random-Forest. In Proceedings of the 2019 International Conference on Cyber Situational Awareness, Data Analytics and Assessment (Cyber SA), Oxford, UK, 3–4 June 2019. [Google Scholar] [CrossRef] [Green Version]
- Morales-Molina, C.D.; Santamaria-Guerrero, D.; Sanchez-Perez, G.; Perez-Meana, H.; Hernandez-Suarez, A. Methodology for Malware Classification using a Random Forest Classifier. In Proceedings of the 2018 IEEE International Autumn Meeting on Power, Electronics and Computing (ROPEC), Guerrero, Mexico, 14–16 November 2018. [Google Scholar] [CrossRef]
- Roseline, S.A.; Geetha, S. Intelligent Malware Detection using Oblique Random Forest Paradigm. In Proceedings of the 2018 International Conference on Advances in Computing, Communications and Informatics (ICACCI), Bangalore, India, 19 September 2018. [Google Scholar] [CrossRef]
- Ganesh, M.; Pednekar, P.; Prabhuswamy, P.; Nair, D.S.; Park, Y.; Jeon, H. CNN-Based Android Malware Detection. In Proceedings of the 2017 International Conference on Software Security and Assurance (ICSSA), Altoona, PA, USA, 24–25 July 2017. [Google Scholar] [CrossRef]
- Vasan, D.; Alazab, M.; Wassan, S.; Safaei, B.; Zheng, Q. Image-Based malware classification using ensemble of CNN architectures (IMCEC). Comput. Secur. 2020, 92, 101748. [Google Scholar] [CrossRef]
- Pacheco, Y.; Sun, W. Adversarial Machine Learning: A Comparative Study on Contemporary Intrusion Detection Datasets. In Proceedings of the 7th International Conference on Information Systems Security and Privacy, Austria, Vienna, 11–13 February 2021. [Google Scholar] [CrossRef]
- Ma, Y.; Xie, T.; Li, J.; Maciejewski, R. Explaining Vulnerabilities to Adversarial Machine Learning through Visual Analytics. IEEE Trans. Vis. Comput. Graph. 2020, 26, 1075–1085. [Google Scholar] [CrossRef] [Green Version]
- Ren, K.; Zheng, T.; Qin, Z.; Liu, X. Adversarial Attacks and Defenses in Deep Learning. Engineering 2020, 6, 346–360. [Google Scholar] [CrossRef]
- Xu, J. Generate Adversarial Examples by Nesterov-momentum Iterative Fast Gradient Sign Method. In Proceedings of the 2020 IEEE 11th International Conference on Software Engineering and Service Science (ICSESS), Beijing, China, 21–23 October 2020. [Google Scholar] [CrossRef]
- Huang, T.; Menkovski, V.; Pei, Y.; Pechenizkiy, M. Bridging the performance gap between fgsm and pgd adversarial training. arXiv 2020, arXiv:2011.05157. [Google Scholar]

















| Static Analysis | Dynamic Analysis |
|---|---|
| Signature-based malware detection | Behavior-based malware detection |
| Simple and Straightforward analysis | Thorough analysis |
| Best suited to detect common malware | Can detect advanced malware |
| It is fast and safe | It is time-consuming and vulnerable |
| Paper | Algorithms Used | Dataset Sources | Results |
|---|---|---|---|
| [30] | Naive Bayes methodology, SVM, random forest | VX Heaven, Virus, Share, Nothin K. | The Random Forest gives the best accuracy |
| [32] | Random forest, BN, MLP, SVM, SOFM | Virus total AP | Performance increased by 7.24% to 25.68% |
| [33] | KNN, random forest | CTU13, Stratosphere IPS project | Performance increased. An accuracy of 95.5% was accomplished |
| [34] | Clustering algorithms | Collected from Malicious website | Expectation maximization techniques give a high accuracy |
| [35] | Shared nearest neighbor (SNN) | Kingsoft, ESET NOD3 2, and Anubis | 98.9% accuracy of known malware and 86.7% of accuracy for unknown malware detected |
| [36] | Stochastic gradient, multilayer perceptron, random forest, decision tree, nearest centroid and perceptron | Making a dataset | Improved accuracy results using random forest algorithms |
| [37] | MLP, DT, IB1, random forest | University of California | Random Forest had high accuracy values of 99.58 percent |
| [38] | Random forest, IB1, DT, support | CA’s (Computer Associates) VETZoo | Better accuracy and improved performance by 9% using random forest |
| [41] | Ada Boost, IB1, random forest, support vector machine, DT, naive Bayes | CA’s VET zoo | Overall classification accuracy is 97% |
| [39] | Naive Bayes, random forest, SMO, J48 | VX Heaven | Random Forest gave high accuracy of 96.2% |
| Paper | Attack Techniques | Classifiers | Datasets | Metrics | Results and Conclusion |
|---|---|---|---|---|---|
| [45] | GAN | Decision tree Random forest SVM KNN Naive Bayes LDA | Kaggle Malware VirusShare | Accuracy | -An accuracy of 98% was reached when other techniques were only able to reach between 66% and 96% accuracy. |
| [53] | FGSM JSMA C&W ENM | Kitsune NIDS (ensemble of autoencoders) | Mirai botnet | False-negative rate | -All attacks were able to achieve 100% FNR. -Under availability attacks, FGSM and JSMA were only able to achieve 0% and 4% FNR, while C&W and ENM were able to achieve 100%. |
| [46] | Gradient-Based Technique | SVM Neural Network | Contagio | FNR | -FNR for NN and SVM classifiers reached 100%. -In a black-box setting, the attacks are quite effective. |
| GAN | Neural network | malware | TPR | -TPRs of more than 90% were achieved by all classifiers, with the decision tree proving to be the strongest performer. TPRs for all classifiers fell below 0.20 percent. | |
| [47] | Modified JSMA | Neural network | DREBIN | Misclassification rate | -under attack misclassification rate was between 63% and 69% -Distillation reduced the accuracy by 2% but improved MR to 36% |
| [48] | Deep Q-Learning | Gradient boosted DT | Custom | False-negative rate | -For the black box attack, a 16 percent evasion rate was attained. |
| [49] | Genetic Algorithm | PDFrate (Random forest) Hidost (RBF SVM) | Contagio | Evasion rate | -An evasion rate of 100% was recorded against both defences -16,985 evasive variants were found for PDF rate and 2859 for Hidost |
| [50] | Genetic Algorithm | RevealDRoid (Decision tree) | DREBIN | Evasion rate | -For 28 of the 29 malware families, a 100 percent evasion rate was obtained. |
| [51] | El Empaquetador Evolutivo | Entropy time series analysis | Kaggle Malware VirusShare | Precision Accuracy False-negative rate | -EnTS was able to attain an accuracy of 82 percent and 94 percent when maximizing accuracy. When using EEE, the false negative rate increased from 0% to 9.4 percent, but the rate increased from 0% to 9.4 percent when not using EEE. |
| [52] | EvnAttack | Unspecified | Comodo Cloud Security Centre Dataset (Private) | F1 score, FNR | -EvnAttack improved the FNR from 0.05 to 0.70 and reduced the F1 score from 0.96 to 0.43. -Se Defender improved the F1 score from 0.43 to 0.95 while also significantly lowering the FNR. |
| [54] | GAN | Random forest | Alexa top 1M domain | AUC | -A decrease in the AUC from 0.99 against regular attacks to 0.94 against GAN was noted. |
| Classes | Original Input | Adversarial Inputs | ||
|---|---|---|---|---|
| ε = 0.01 | ε = 0.1 | ε = 0.15 | ||
| installCore | ![]() | ![]() | ![]() | ![]() |
| Elex | ![]() | ![]() | ![]() | ![]() |
| VBA | ![]() | ![]() | ![]() | ![]() |
| Neoreklami | ![]() | ![]() | ![]() | ![]() |
| Amonetize | ![]() | ![]() | ![]() | ![]() |
| Vilsel | ![]() | ![]() | ![]() | ![]() |
| Autorun | ![]() | ![]() | ![]() | ![]() |
| Hlux | ![]() | ![]() | ![]() | ![]() |
| Expiro | ![]() | ![]() | ![]() | ![]() |
| BrowseFox | ![]() | ![]() | ![]() | ![]() |
| Before Attack | |||||||||
| Classes | Random Forest | CNN | EfficientNet B0 | ||||||
| Accuracy (%) | F1-Score | Precision | Accuracy (%) | F1-Score | Precision | Accuracy (%) | F1-Score | Precision | |
| Elex | 96.72 | 0.97 | 0.97 | 96.72 | 0.97 | 0.97 | 100 | 0.99 | 1 |
| Vilsel | 100 | 0.99 | 1 | 100 | 0.99 | 1 | 100 | 0.99 | 0.99 |
| Expiro | 80.23 | 0.84 | 0.8 | 72.22 | 0.76 | 0.72 | 92.5 | 0.94 | 0.92 |
| Hlux | 100 | 0.99 | 0.99 | 100 | 0.99 | 0.99 | 98.57 | 0.99 | 0.99 |
| Autorun | 88.31 | 0.89 | 0.88 | 86.36 | 0.88 | 0.86 | 86.66 | 0.9 | 0.87 |
| Other (Benign) | 74.28 | 0.78 | 0.74 | 85.5 | 0.87 | 0.86 | 91.3 | 0.92 | 0.91 |
| After Attack (0.1 Epsilon) | |||||||||
| Classes | Random Forest | CNN | EfficientNet B0 | ||||||
| Accuracy (%) | F1-Score | Precision | Accuracy (%) | F1-Score | Precision | Accuracy (%) | F1-Score | Precision | |
| Elex | 63.23 | 0.65 | 0.63 | 61.28 | 0.61 | 0.61 | 72.34 | 0.74 | 0.73 |
| Vilsel | 84.52 | 0.85 | 0.84 | 88.02 | 0.9 | 0.88 | 98.04 | 0.98 | 0.98 |
| Expiro | 55.46 | 0.42 | 0.39 | 53.64 | 0.57 | 0.54 | 68.42 | 0.7 | 0.69 |
| Hlux | 83.66 | 0.85 | 0.84 | 85.39 | 0.86 | 0.86 | 96.32 | 0.97 | 0.97 |
| Autorun | 48.93 | 0.5 | 0.49 | 52.42 | 0.55 | 0.52 | 50.69 | 0.51 | 0.51 |
| Other (Benign) | 46.23 | 0.49 | 0.47 | 62.8 | 0.63 | 0.63 | 70.22 | 0.69 | 0.69 |
| After Defense | |||||||||
| Classes | Random Forest | CNN | EfficientNet B0 | ||||||
| Accuracy (%) | F1-Score | Precision | Accuracy (%) | F1-Score | Precision | Accuracy (%) | F1-Score | Precision | |
| Elex | 91.21 | 0.68 | 0.69 | 94.02 | 0.73 | 0.73 | 96.92 | 0.97 | 0.97 |
| Vilsel | 95.33 | 0.98 | 0.98 | 96.87 | 0.93 | 0.93 | 97.23 | 0.99 | 0.97 |
| Expiro | 71.23 | 0.65 | 0.62 | 72.07 | 0.42 | 0.39 | 90.06 | 0.92 | 0.9 |
| Hlux | 97.01 | 0.97 | 0.95 | 97.32 | 0.86 | 0.86 | 97.51 | 0.95 | 0.98 |
| Autorun | 86.39 | 0.51 | 0.51 | 85.05 | 0.55 | 0.52 | 86.55 | 0.89 | 0.87 |
| Other (Benign) | 70.44 | 0.49 | 0.47 | 82.14 | 0.63 | 0.63 | 88.94 | 0.89 | 0.89 |
| Class | Normal Image | Images with Anomaly Detection | Adversarial Image | The Anomaly on Adversarial Image |
|---|---|---|---|---|
| Elex | ![]() | ![]() | ![]() | ![]() |
| Vilsel | ![]() | ![]() | ![]() | ![]() |
| Expiro | ![]() | ![]() | ![]() | ![]() |
| Hlux | ![]() | ![]() | ![]() | ![]() |
| Autorun | ![]() | ![]() | ![]() | ![]() |
| Other (Benign) | ![]() | ![]() | ![]() | ![]() |
Publisher’s Note: MDPI stays neutral with regard to jurisdictional claims in published maps and institutional affiliations. |
© 2021 by the authors. Licensee MDPI, Basel, Switzerland. This article is an open access article distributed under the terms and conditions of the Creative Commons Attribution (CC BY) license (https://creativecommons.org/licenses/by/4.0/).
Share and Cite
Patil, S.; Varadarajan, V.; Walimbe, D.; Gulechha, S.; Shenoy, S.; Raina, A.; Kotecha, K. Improving the Robustness of AI-Based Malware Detection Using Adversarial Machine Learning. Algorithms 2021, 14, 297. https://doi.org/10.3390/a14100297
Patil S, Varadarajan V, Walimbe D, Gulechha S, Shenoy S, Raina A, Kotecha K. Improving the Robustness of AI-Based Malware Detection Using Adversarial Machine Learning. Algorithms. 2021; 14(10):297. https://doi.org/10.3390/a14100297
Chicago/Turabian StylePatil, Shruti, Vijayakumar Varadarajan, Devika Walimbe, Siddharth Gulechha, Sushant Shenoy, Aditya Raina, and Ketan Kotecha. 2021. "Improving the Robustness of AI-Based Malware Detection Using Adversarial Machine Learning" Algorithms 14, no. 10: 297. https://doi.org/10.3390/a14100297
APA StylePatil, S., Varadarajan, V., Walimbe, D., Gulechha, S., Shenoy, S., Raina, A., & Kotecha, K. (2021). Improving the Robustness of AI-Based Malware Detection Using Adversarial Machine Learning. Algorithms, 14(10), 297. https://doi.org/10.3390/a14100297

































































