Sign in to use this feature.

Years

Between: -

Subjects

remove_circle_outline
remove_circle_outline
remove_circle_outline
remove_circle_outline
remove_circle_outline
remove_circle_outline
remove_circle_outline
remove_circle_outline
remove_circle_outline

Journals

Article Types

Countries / Regions

remove_circle_outline
remove_circle_outline
remove_circle_outline

Search Results (590)

Search Parameters:
Keywords = malware detection

Order results
Result details
Results per page
Select all
Export citation of selected articles as:
21 pages, 1162 KB  
Review
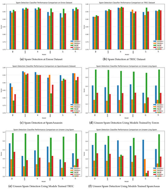
Machine Learning Based Spam Detection in Digital Communication Systems: A Comparative Analysis
by Maram Bani Younes and Ahmad Ababneh
Systems 2026, 14(3), 229; https://doi.org/10.3390/systems14030229 - 24 Feb 2026
Viewed by 39
Abstract
Spam messages are unwanted, irrelevant, or potentially harmful messages sent in bulk to large numbers of recipients via email, SMS, or social media. These messages pose a threat of spam to individual users and commercial companies. They threaten digital communication platforms by enabling [...] Read more.
Spam messages are unwanted, irrelevant, or potentially harmful messages sent in bulk to large numbers of recipients via email, SMS, or social media. These messages pose a threat of spam to individual users and commercial companies. They threaten digital communication platforms by enabling phishing, malware distribution, service disruption, and unsolicited advertisements. Several mechanisms have been used in the literature to detect spam over digital communication systems. This includes rule-based filtering, Bayesian filtering, heuristic analysis, and machine learning (ML) techniques. Traditional rule-based and heuristic analyses were insufficient to cope with evolving attack patterns. Meanwhile, ML models can present modern, dynamic, appropriate, and efficient solutions in this manner. This study aims to evaluate and compare several basic ML models for spam detection, considering popular benchmark datasets on several communication platforms as a comprehensive comparative study. The experimental results demonstrate that the tested models achieve good accuracy, precision, recall, and F1-score on each investigated benchmark dataset. However, the performance of all models has decreased drastically when the trained models are tested on an unseen dataset. Recommendations for future required enhancements to handle this reduction in the performance of ML techniques for unseen datasets are provided. Finally, extra experimental tests have shown the positive impact of applying some of these recommendations. Full article
Show Figures

Figure 1

23 pages, 1202 KB  
Article
Image-Based Malware Classification Using DCGAN-Augmented Data and a CNN–Transformer Hybrid Model
by Manya Dhingra, Achin Jain, Niharika Thakur, Anurag Choubey, Massimo Donelli, Arun Kumar Dubey and Arvind Panwar
Future Internet 2026, 18(2), 102; https://doi.org/10.3390/fi18020102 - 14 Feb 2026
Viewed by 251
Abstract
With the rapid growth and diversification of malware, accurate multi-class detection remains challenging due to severe class imbalance and limited labeled data. This work presents an image-based malware classification framework that converts executable binaries into 64×64 grayscale images, employs class-wise DCGAN [...] Read more.
With the rapid growth and diversification of malware, accurate multi-class detection remains challenging due to severe class imbalance and limited labeled data. This work presents an image-based malware classification framework that converts executable binaries into 64×64 grayscale images, employs class-wise DCGAN augmentation to mitigate severe imbalance (initial imbalance ratio >12 across 31 families, N9300), and trains a hybrid CNN–Transformer model that captures both local texture features and long-range contextual dependencies. The DCGAN generator produces high-fidelity synthetic samples, evaluated using Inception Score (IS) =3.43, Fréchet Inception Distance (FID) =10.99, and Kernel Inception Distance (KID) =0.0022, and is used to equalize class counts before classifier training. On the blended dataset the proposed GAN-balanced CNN–Transformer achieves an overall accuracy of 95% and a macro-averaged F1-score of 0.95; the hybrid model also attains validation accuracy of ≈94% while substantially improving minority-class recognition. Compared to CNN-only and Transformer-only baselines, the hybrid approach yields more stable convergence, reduced overfitting, and stronger per-class performance, while remaining feasible for practical deployment. These results demonstrate that DCGAN-driven balancing combined with CNN–Transformer feature fusion is an effective, scalable solution for robust malware family classification. Full article
(This article belongs to the Section Cybersecurity)
Show Figures

Graphical abstract

6 pages, 380 KB  
Proceeding Paper
Bridging the Data Gap in ML-Based NIDS: An Automated Honeynet Platform for Generating Real-World Malware Traffic Datasets
by Gabriel Ulloa Cano, Gabriel Sánchez Pérez, José Portillo-Portillo, Linda Karina Toscano Medina, Aldo Hernández Suárez, Jesús Olivares Mercado, Héctor Manuel Pérez Meana, Luis Javier García Villalba and Pablo Velarde Alvarado
Eng. Proc. 2026, 123(1), 36; https://doi.org/10.3390/engproc2026123036 - 13 Feb 2026
Viewed by 171
Abstract
The effectiveness of Machine Learning (ML)-based Network Intrusion Detection Systems (NIDS) is critically hampered by the scarcity of realistic and up-to-date malware traffic datasets. To address this gap, we present an automated platform for generating real-world malware traffic datasets. Our solution leverages a [...] Read more.
The effectiveness of Machine Learning (ML)-based Network Intrusion Detection Systems (NIDS) is critically hampered by the scarcity of realistic and up-to-date malware traffic datasets. To address this gap, we present an automated platform for generating real-world malware traffic datasets. Our solution leverages a production-environment honeynet (T-Pot), deployed within a university network and segmented via a secure WireGuard VPN, to capture live attacks using high-interaction honeypots (Dionaea, Cowrie, ADBhoney). A fully automated pipeline handles traffic capture, transfer, filtering based on honeypot logs, and malware analysis (VirusTotal, VxAPI). The output is the IPN-UAN-23 dataset—a curated, labeled corpus of malicious network traffic. This platform functions as a vital automated security tool, providing the continuous stream of actionable intelligence required to develop and refine robust ML-based NIDS within a DevSecOps lifecycle. Full article
(This article belongs to the Proceedings of First Summer School on Artificial Intelligence in Cybersecurity)
Show Figures

Figure 1

21 pages, 3512 KB  
Article
Real-Time Ransomware Detection Using Reinforcement Learning Agents
by Kutub Thakur, Md Liakat Ali, Suzanna Schmeelk, Joan Debello and Md Mustafizur Rahman
Information 2026, 17(2), 194; https://doi.org/10.3390/info17020194 - 13 Feb 2026
Viewed by 263
Abstract
Traditional signature-based anti-malware tools often fail to detect zero-day ransomware attacks due to their reliance on known patterns. This paper presents a real-time ransomware detection framework that models system behavior as a Reinforcement Learning (RL) environment. Behavioral features—including file entropy, CPU usage, and [...] Read more.
Traditional signature-based anti-malware tools often fail to detect zero-day ransomware attacks due to their reliance on known patterns. This paper presents a real-time ransomware detection framework that models system behavior as a Reinforcement Learning (RL) environment. Behavioral features—including file entropy, CPU usage, and registry changes—are extracted from dynamic analysis logs generated by Cuckoo Sandbox. A (DQN) agent is trained to proactively block malicious actions by maximizing long-term rewards based on observed behavior. Experimental evaluation across multiple ransomware families such as WannaCry, Locky, Cerber, and Ryuk demonstrates that the proposed RL agent achieves a superior detection accuracy, precision, and F1-score compared to existing static and supervised learning methods. Furthermore, ablation tests and latency analysis confirm the model’s robustness and suitability for real-time deployment. This work introduces a behavior-driven, generalizable approach to ransomware defense that adapts to unseen threats through continual learning. Full article
(This article belongs to the Special Issue Extended Reality and Cybersecurity)
Show Figures

Figure 1

33 pages, 745 KB  
Article
XAI-Driven Malware Detection from Memory Artifacts: An Alert-Driven AI Framework with TabNet and Ensemble Classification
by Aristeidis Mystakidis, Grigorios Kalogiannnis, Nikolaos Vakakis, Nikolaos Altanis, Konstantina Milousi, Iason Somarakis, Gabriela Mihalachi, Mariana S. Mazi, Dimitris Sotos, Antonis Voulgaridis, Christos Tjortjis, Konstantinos Votis and Dimitrios Tzovaras
AI 2026, 7(2), 66; https://doi.org/10.3390/ai7020066 - 10 Feb 2026
Viewed by 484
Abstract
Modern malware presents significant challenges to traditional detection methods, often leveraging fileless techniques, in-memory execution, and process injection to evade antivirus and signature-based systems. To address these challenges, alert-driven memory forensics has emerged as a critical capability for uncovering stealthy, persistent, and zero-day [...] Read more.
Modern malware presents significant challenges to traditional detection methods, often leveraging fileless techniques, in-memory execution, and process injection to evade antivirus and signature-based systems. To address these challenges, alert-driven memory forensics has emerged as a critical capability for uncovering stealthy, persistent, and zero-day threats. This study presents a two-stage host-based malware detection framework, that integrates memory forensics, explainable machine learning, and ensemble classification, designed as a post-alert asynchronous SOC workflow balancing forensic depth and operational efficiency. Utilizing the MemMal-D2024 dataset—comprising rich memory forensic artifacts from Windows systems infected with malware samples whose creation metadata spans 2006–2021—the system performs malware detection, using features extracted from volatile memory. In the first stage, an Attentive and Interpretable Learning for structured Tabular data (TabNet) model is used for binary classification (benign vs. malware), leveraging its sequential attention mechanism and built-in explainability. In the second stage, a Voting Classifier ensemble, composed of Light Gradient Boosting Machine (LGBM), eXtreme Gradient Boosting (XGB), and Histogram Gradient Boosting (HGB) models, is used to identify the specific malware family (Trojan, Ransomware, Spyware). To reduce memory dump extraction and analysis time without compromising detection performance, only a curated subset of 24 memory features—operationally selected to reduce acquisition/extraction time and validated via redundancy inspection, model explainability (SHAP/TabNet), and training data correlation analysis —was used during training and runtime, identifying the best trade-off between memory analysis and detection accuracy. The pipeline, which is triggered from host-based Wazuh Security Information and Event Management (SIEM) alerts, achieved 99.97% accuracy in binary detection and 70.17% multiclass accuracy, resulting in an overall performance of 87.02%, including both global and local explainability, ensuring operational transparency and forensic interpretability. This approach provides an efficient and interpretable detection solution used in combination with conventional security tools as an extra layer of defense suitable for modern threat landscapes. Full article
Show Figures

Figure 1

28 pages, 922 KB  
Article
MAESTRO: A Multi-Scale Ensemble Framework with GAN-Based Data Refinement for Robust Malicious Tor Traffic Detection
by Jinbu Geng, Yu Xie, Jun Li, Xuewen Yu and Lei He
Mathematics 2026, 14(3), 551; https://doi.org/10.3390/math14030551 - 3 Feb 2026
Viewed by 327
Abstract
Malicious Tor traffic data contains deep domain-specific knowledge, which makes labeling challenging, and the lack of labeled data degrades the accuracy of learning-based detectors. Real-world deployments also exhibit severe class imbalance, where malicious traffic constitutes a small minority of network flows, which further [...] Read more.
Malicious Tor traffic data contains deep domain-specific knowledge, which makes labeling challenging, and the lack of labeled data degrades the accuracy of learning-based detectors. Real-world deployments also exhibit severe class imbalance, where malicious traffic constitutes a small minority of network flows, which further reduces detection performance. In addition, Tor’s fixed 512-byte cell architecture removes packet-size diversity that many encrypted-traffic methods rely on, making feature extraction difficult. This paper proposes an efficient three-stage framework, MAESTRO v1.0, for malicious Tor traffic detection. In Stage 1, MAESTRO extracts multi-scale behavioral signatures by fusing temporal, positional, and directional embeddings at cell, direction, and flow granularities to mitigate feature homogeneity; it then compresses these representations with an autoencoder into compact latent features. In Stage 2, MAESTRO introduces an ensemble-based quality quantification method that combines five complementary anomaly detection models to produce robust discriminability scores for adaptive sample weighting, helping the classifier to emphasize high-quality samples. MAESTRO also trains three specialized GANs per minority class and applies strict five-model ensemble validation to synthesize diverse high-fidelity samples, addressing extreme class imbalance. We evaluate MAESTRO under systematic imbalance settings, ranging from the natural distribution to an extreme 1% malicious ratio. On the CCS’22 Tor malware dataset, MAESTRO achieves 92.38% accuracy, 64.79% recall, and 73.70% F1-score under the natural distribution, improving F1-score by up to 15.53% compared with state-of-the-art baselines. Under the 1% malicious setting, MAESTRO maintains 21.1% recall, which is 14.1 percentage points higher than the best baseline, while conventional methods drop below 10%. Full article
(This article belongs to the Special Issue New Advances in Network Security and Data Privacy)
Show Figures

Figure 1

6 pages, 915 KB  
Proceeding Paper
Shield-X: Vectorization and Machine Learning-Based Pipeline for Network Traffic Threat Detection
by Claudio Henrique Marques de Oliveira, Marcelo Ladeira, Gustavo Cordeiro Galvao Van Erven and João José Costa Gondim
Eng. Proc. 2026, 123(1), 10; https://doi.org/10.3390/engproc2026123010 - 2 Feb 2026
Viewed by 189
Abstract
This paper presents an integrative methodology combining advanced network packet vectorization techniques, parallel processing with Dask, GPU-optimized machine learning models, and the Qdrant vector database. Our approach achieves a 99.9% detection rate for malicious traffic with only a 1% false-positive rate, setting new [...] Read more.
This paper presents an integrative methodology combining advanced network packet vectorization techniques, parallel processing with Dask, GPU-optimized machine learning models, and the Qdrant vector database. Our approach achieves a 99.9% detection rate for malicious traffic with only a 1% false-positive rate, setting new performance benchmarks for cybersecurity systems. The methodology establishes an average detection time limit not exceeding 10% of the total response time, maintaining high precision even for sophisticated attacks. The system processes 56 GB of PCAP files from Malware-Traffic-Analysis.net (2020–2024) through a five-stage pipeline: distributed packet processing, feature extraction, vectorization, vector database storage, and GPU-accelerated classification using XGBoost, Random Forest, and K-Nearest Neighbors models. Full article
(This article belongs to the Proceedings of First Summer School on Artificial Intelligence in Cybersecurity)
Show Figures

Figure 1

34 pages, 2092 KB  
Article
Adaptive Cyber Defense for Renewable Energy Systems Using Digital Forensics and Fuzzy Multi-Criteria Analysis
by Taher Alzahrani and Waeal J. Obidallah
Sustainability 2026, 18(3), 1334; https://doi.org/10.3390/su18031334 - 29 Jan 2026
Viewed by 338
Abstract
As digital technology becomes increasingly integral to modern industries, the risks posed by cyber threats, including malware, ransomware, and insider attacks, continue to rise, jeopardizing critical infrastructure including renewable energy system. The world is more vulnerable to sophisticated cyberattacks due to its reliance [...] Read more.
As digital technology becomes increasingly integral to modern industries, the risks posed by cyber threats, including malware, ransomware, and insider attacks, continue to rise, jeopardizing critical infrastructure including renewable energy system. The world is more vulnerable to sophisticated cyberattacks due to its reliance on smart grids and IoT-enabled renewable energy systems. Without specialized digital forensic frameworks, incident response and critical infrastructure resilience are limited. This research examines the pivotal role of digital forensics in defending renewable energy system against the growing wave of cyber threats. The study highlights the significance of digital forensics in enhancing incident response, evidence collection, and forensic analysis capabilities. Through detailed case studies, it investigates the implementation strategies of digital forensics to identify, track, and mitigate cyber risks. To address this objective, this study proposes a comprehensive and adaptive cybersecurity framework that integrates digital forensics and fuzzy multi-criteria decision-making to enhance cyber resilience in renewable energy systems. Drawing on relevant case studies, the research demonstrates how the integration of digital forensics with fuzzy logic supports dynamic threat evaluation and risk mitigation. Comparative analysis show that the proposed framework outperforms traditional methods in terms of detection accuracy, response time, and adaptability to evolving threat landscapes. Key contributions include: (1) a structured digital forensics-based cybersecurity model tailored to renewable energy systems, (2) application of fuzzy Analytical Hierarchy Process (AHP) for multi-criteria threat evaluation, and (3) policy-oriented recommendations for stakeholders to reinforce national cyber resilience in line with energy transition. The findings underscore the need for a cohesive cybersecurity strategy grounded in advanced decision-support systems to protect the future of sustainable energy. Full article
Show Figures

Figure 1

24 pages, 1253 KB  
Article
Re-Evaluating Android Malware Detection: Tabular Features, Vision Models, and Ensembles
by Prajwal Hosahalli Dayananda and Zesheng Chen
Electronics 2026, 15(3), 544; https://doi.org/10.3390/electronics15030544 - 27 Jan 2026
Viewed by 321
Abstract
Static, machine learning-based malware detection is widely used in Android security products, where even small increases in false-positive rates can impose significant burdens on analysts and cause unacceptable disruptions for end users. Both tabular features and image-based representations have been explored for Android [...] Read more.
Static, machine learning-based malware detection is widely used in Android security products, where even small increases in false-positive rates can impose significant burdens on analysts and cause unacceptable disruptions for end users. Both tabular features and image-based representations have been explored for Android malware detection. However, existing public benchmark datasets do not provide paired tabular and image representations for the same samples, limiting direct comparisons between tabular models and vision-based models. This work investigates whether carefully engineered, domain-specific tabular features can match or surpass the performance of state-of-the-art deep vision models under strict false-positive-rate constraints, and whether ensemble approaches justify their additional complexity. To enable this analysis, we construct a large corpus of Android applications with paired static representations and evaluate six popular machine learning models on the exact same samples: two tabular models using EMBER features, two tabular models using extended EMBER features, and two vision-based models using malware images. Our results show that a LightGBM model trained on extended EMBER features outperforms all other evaluated models, as well as a state-of-the-art approach trained on a much larger dataset. Furthermore, we develop an ensemble model combining both tabular and vision-based detectors, which yields a modest performance improvement but at the cost of substantial additional computational and engineering overhead. Full article
(This article belongs to the Special Issue Feature Papers in Networks: 2025–2026 Edition)
Show Figures

Figure 1

32 pages, 4159 KB  
Article
APT Malware Detection Model Based on Heterogeneous Multimodal Semantic Fusion
by Chaosen Pu and Liang Wan
Appl. Sci. 2026, 16(2), 1083; https://doi.org/10.3390/app16021083 - 21 Jan 2026
Viewed by 306
Abstract
In recent years, Advanced Persistent Threat (APT) malware, with its high stealth, has made it difficult for unimodal detection methods to accurately identify its disguised malicious behaviors. To address this challenge, this paper proposes an APT Malware Detection Model based on Heterogeneous Multimodal [...] Read more.
In recent years, Advanced Persistent Threat (APT) malware, with its high stealth, has made it difficult for unimodal detection methods to accurately identify its disguised malicious behaviors. To address this challenge, this paper proposes an APT Malware Detection Model based on Heterogeneous Multimodal Semantic Fusion (HMSF-ADM). By integrating the API call sequence features of APT malware in the operating system and the RGB image features of PE files, the model constructs multimodal representations with stronger discriminability, thus achieving efficient and accurate identification of APT malicious behaviors. First, the model employs two encoders, namely a Transformer encoder equipped with the DPCFTE module and a CAS-ViT encoder, to encode sequence features and image features, respectively, completing local–global collaborative context modeling. Then, the sequence encoding results and image encoding results are interactively fused via two cross-attention mechanisms to generate fused representations. Finally, a TextCNN-based classifier is utilized to perform classification prediction on the fused representations. Experimental results on two APT malware datasets demonstrate that the proposed HMSF-ADM model outperforms various mainstream multimodal comparison models in core metrics such as accuracy, precision, and F1-score. Notably, the F1-score of the model exceeds 0.95 for the vast majority of APT malware families, and its accuracy and F1-score both remain above 0.986 in the task of distinguishing between ordinary malware and APT malware. Full article
Show Figures

Figure 1

23 pages, 1750 KB  
Article
LLM-Generated Samples for Android Malware Detection
by Nik Rollinson and Nikolaos Polatidis
Digital 2026, 6(1), 5; https://doi.org/10.3390/digital6010005 - 18 Jan 2026
Viewed by 530
Abstract
Android malware continues to evolve through obfuscation and polymorphism, posing challenges for both signature-based defenses and machine learning models trained on limited and imbalanced datasets. Synthetic data has been proposed as a remedy for scarcity, yet the role of Large Language Models (LLMs) [...] Read more.
Android malware continues to evolve through obfuscation and polymorphism, posing challenges for both signature-based defenses and machine learning models trained on limited and imbalanced datasets. Synthetic data has been proposed as a remedy for scarcity, yet the role of Large Language Models (LLMs) in generating effective malware data for detection tasks remains underexplored. In this study, we fine-tune GPT-4.1-mini to produce structured records for three malware families: BankBot, Locker/SLocker, and Airpush/StopSMS, using the KronoDroid dataset. After addressing generation inconsistencies with prompt engineering and post-processing, we evaluate multiple classifiers under three settings: training with real data only, real-plus-synthetic data, and synthetic data alone. Results show that real-only training achieves near-perfect detection, while augmentation with synthetic data preserves high performance with only minor degradations. In contrast, synthetic-only training produces mixed outcomes, with effectiveness varying across malware families and fine-tuning strategies. These findings suggest that LLM-generated tabular malware feature records can enhance scarce datasets without compromising detection accuracy, but remain insufficient as a standalone training source. Full article
Show Figures

Figure 1

25 pages, 3597 KB  
Article
Social Engineering Attacks Using Technical Job Interviews: Real-Life Case Analysis and AI-Assisted Mitigation Proposals
by Tomás de J. Mateo Sanguino
Information 2026, 17(1), 98; https://doi.org/10.3390/info17010098 - 18 Jan 2026
Viewed by 424
Abstract
Technical job interviews have become a vulnerable environment for social engineering attacks, particularly when they involve direct interaction with malicious code. In this context, the present manuscript investigates an exploratory case study, aiming to provide an in-depth analysis of a single incident rather [...] Read more.
Technical job interviews have become a vulnerable environment for social engineering attacks, particularly when they involve direct interaction with malicious code. In this context, the present manuscript investigates an exploratory case study, aiming to provide an in-depth analysis of a single incident rather than seeking to generalize statistical evidence. The study examines a real-world covert attack conducted through a simulated interview, identifying the technical and psychological elements that contribute to its effectiveness, assessing the performance of artificial intelligence (AI) assistants in early detection and proposing mitigation strategies. To this end, a methodology was implemented that combines discursive reconstruction of the attack, code exploitation and forensic analysis. The experimental phase, primarily focused on evaluating 10 large language models (LLMs) against a fragment of obfuscated code, reveals that the malware initially evaded detection by 62 antivirus engines, while assistants such as GPT 5.1, Grok 4.1 and Claude Sonnet 4.5 successfully identified malicious patterns and suggested operational countermeasures. The discussion highlights how the apparent legitimacy of platforms like LinkedIn, Calendly and Bitbucket, along with time pressure and technical familiarity, act as catalysts for deception. Based on these findings, the study suggests that LLMs may play a role in the early detection of threats, offering a potentially valuable avenue to enhance security in technical recruitment processes by enabling the timely identification of malicious behavior. To the best of available knowledge, this represents the first academically documented case of its kind analyzed from an interdisciplinary perspective. Full article
Show Figures

Figure 1

25 pages, 1862 KB  
Article
A Novel Architecture for Mitigating Botnet Threats in AI-Powered IoT Environments
by Vasileios A. Memos, Christos L. Stergiou, Alexandros I. Bermperis, Andreas P. Plageras and Konstantinos E. Psannis
Sensors 2026, 26(2), 572; https://doi.org/10.3390/s26020572 - 14 Jan 2026
Viewed by 594
Abstract
The rapid growth of Artificial Intelligence of Things (AIoT) environments in various sectors has introduced major security challenges, as these smart devices can be exploited by malicious users to form Botnets of Things (BoT). Limited computational resources and weak encryption mechanisms in such [...] Read more.
The rapid growth of Artificial Intelligence of Things (AIoT) environments in various sectors has introduced major security challenges, as these smart devices can be exploited by malicious users to form Botnets of Things (BoT). Limited computational resources and weak encryption mechanisms in such devices make them attractive targets for attacks like Distributed Denial of Service (DDoS), Man-in-the-Middle (MitM), and malware distribution. In this paper, we propose a novel multi-layered architecture to mitigate BoT threats in AIoT environments. The system leverages edge traffic inspection, sandboxing, and machine learning techniques to analyze, detect, and prevent suspicious behavior, while uses centralized monitoring and response automation to ensure rapid mitigation. Experimental results demonstrate the necessity and superiority over or parallel to existing models, providing an early detection of botnet activity, reduced false positives, improved forensic capabilities, and scalable protection for large-scale AIoT areas. Overall, this solution delivers a comprehensive, resilient, and proactive framework to protect AIoT assets from evolving cyber threats. Full article
(This article belongs to the Special Issue Internet of Things Cybersecurity)
Show Figures

Figure 1

30 pages, 4344 KB  
Article
HAGEN: Unveiling Obfuscated Memory Threats via Hierarchical Attention-Gated Explainable Networks
by Mahmoud E. Farfoura, Mohammad Alia and Tee Connie
Electronics 2026, 15(2), 352; https://doi.org/10.3390/electronics15020352 - 13 Jan 2026
Viewed by 352
Abstract
Memory resident malware, particularly fileless and heavily obfuscated types, continues to pose a major problem for endpoint defense tools, as these threats often slip past traditional signature-based detection techniques. Deep learning has shown promise in identifying such malicious activity, but its use in [...] Read more.
Memory resident malware, particularly fileless and heavily obfuscated types, continues to pose a major problem for endpoint defense tools, as these threats often slip past traditional signature-based detection techniques. Deep learning has shown promise in identifying such malicious activity, but its use in real Security Operations Centers (SOCs) is still limited because the internal reasoning of these neural network models is difficult to interpret or verify. In response to this challenge, we present HAGEN, a hierarchical attention architecture designed to combine strong classification performance with explanations that security analysts can understand and trust. HAGEN processes memory artifacts through a series of attention layers that highlight important behavioral cues at different scales, while a gated mechanism controls how information flows through the network. This structure enables the system to expose the basis of its decisions rather than simply output a label. To further support transparency, the final classification step is guided by representative prototypes, allowing predictions to be related back to concrete examples learned during training. When evaluated on the CIC-MalMem-2022 dataset, HAGEN achieved 99.99% accuracy in distinguishing benign programs from major malware classes such as spyware, ransomware, and trojans, all with modest computational requirements suitable for live environments. Beyond accuracy, HAGEN produces clear visual and numeric explanations—such as attention maps and prototype distances—that help investigators understand which memory patterns contributed to each decision, making it a practical tool for both detection and forensic analysis. Full article
(This article belongs to the Section Artificial Intelligence)
Show Figures

Figure 1

64 pages, 13395 KB  
Review
Low-Cost Malware Detection with Artificial Intelligence on Single Board Computers
by Phil Steadman, Paul Jenkins, Rajkumar Singh Rathore and Chaminda Hewage
Future Internet 2026, 18(1), 46; https://doi.org/10.3390/fi18010046 - 12 Jan 2026
Viewed by 1172
Abstract
The proliferation of Internet of Things (IoT) devices has significantly expanded the threat landscape for malicious software (malware), rendering traditional signature-based detection methods increasingly ineffective in coping with the volume and evolving nature of modern threats. In response, researchers are utilising artificial intelligence [...] Read more.
The proliferation of Internet of Things (IoT) devices has significantly expanded the threat landscape for malicious software (malware), rendering traditional signature-based detection methods increasingly ineffective in coping with the volume and evolving nature of modern threats. In response, researchers are utilising artificial intelligence (AI) for a more dynamic and robust malware detection solution. An innovative approach utilising AI is focusing on image classification techniques to detect malware on resource-constrained Single-Board Computers (SBCs) such as the Raspberry Pi. In this method the conversion of malware binaries into 2D images is examined, which can be analysed by deep learning models such as convolutional neural networks (CNNs) to classify them as benign or malicious. The results show that the image-based approach demonstrates high efficacy, with many studies reporting detection accuracy rates exceeding 98%. That said, there is a significant challenge in deploying these demanding models on devices with limited processing power and memory, in particular those involving of both calculation and time complexity. Overcoming this issue requires critical model optimisation strategies. Successful approaches include the use of a lightweight CNN architecture and federated learning, which may be used to preserve privacy while training models with decentralised data are processed. This hybrid workflow in which models are trained on powerful servers before the learnt algorithms are deployed on SBCs is an emerging field attacting significant interest in the field of cybersecurity. This paper synthesises the current state of the art, performance compromises, and optimisation techniques contributing to the understanding of how AI and image representation can enable effective low-cost malware detection on resource-constrained systems. Full article
Show Figures

Graphical abstract

Back to TopTop