Bimetallic Nanoparticles as Efficient Catalysts: Facile and Green Microwave Synthesis
Abstract
:1. Introduction
2. Results and Discussion
2.1. Preparation and Characterization of Metallic Sols
2.1.1. Au/Cu System
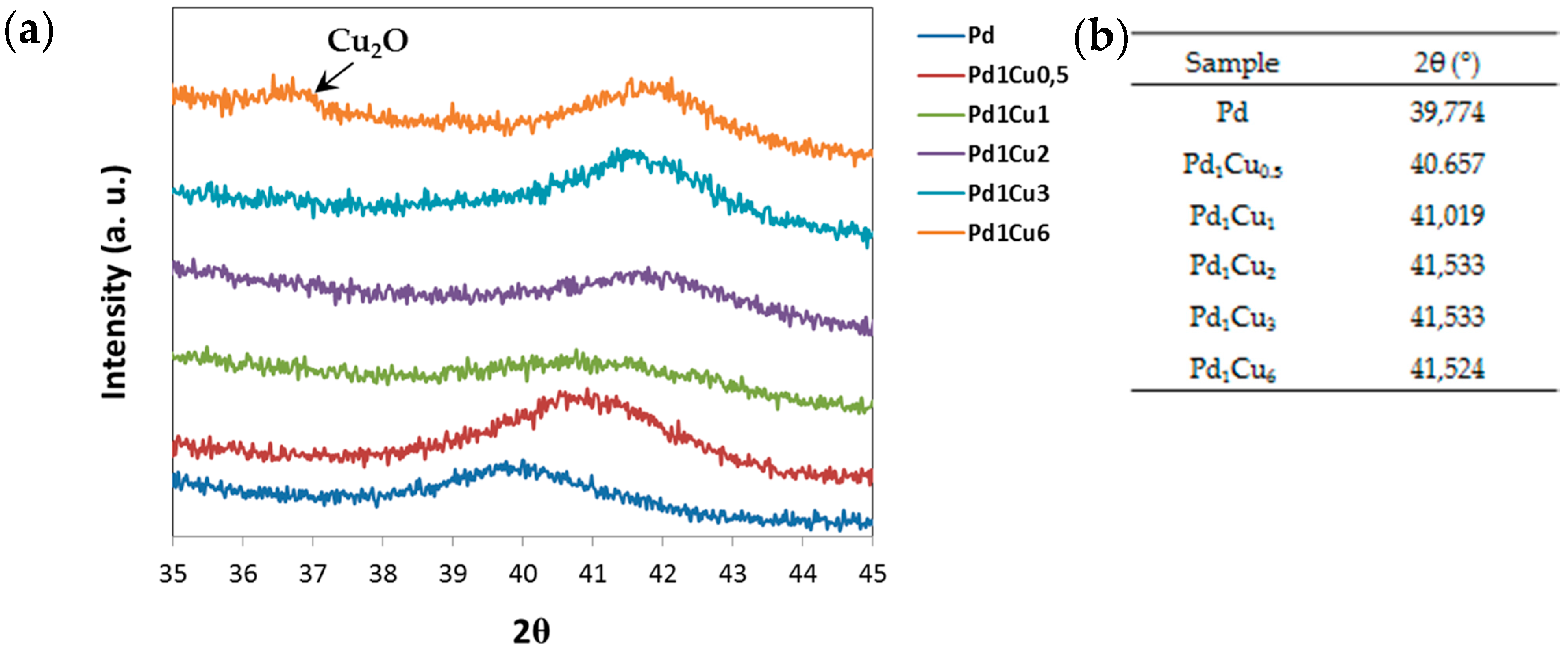
2.1.2. Pd/Au and Pd/Cu Systems
2.2. Catalytic Activity
2.2.1. Catalytic Test of Pristine Nanoparticles in the Hydrogenation of 4-Nitrophenol
2.2.2. Catalytic Tests of Supported Catalysts in the Oxidation of 5-Hydroxymethylfurfural
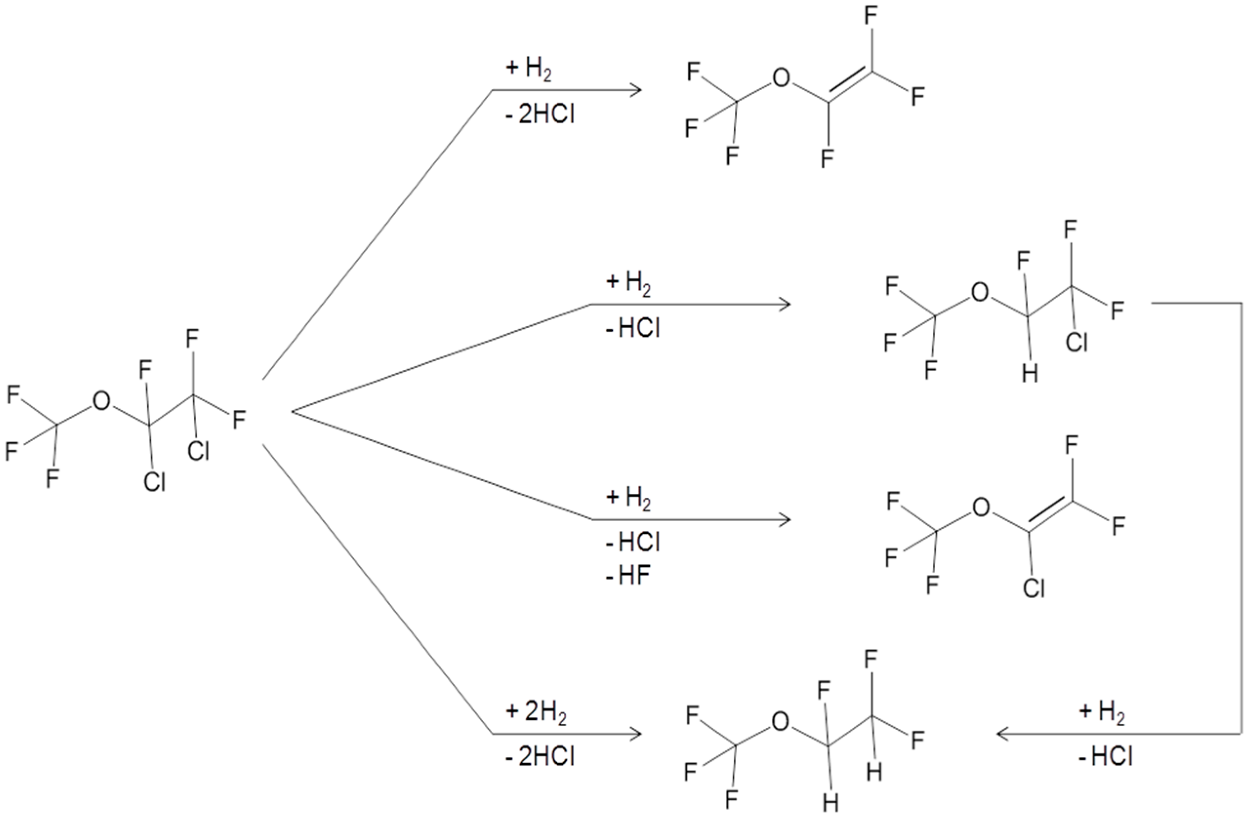
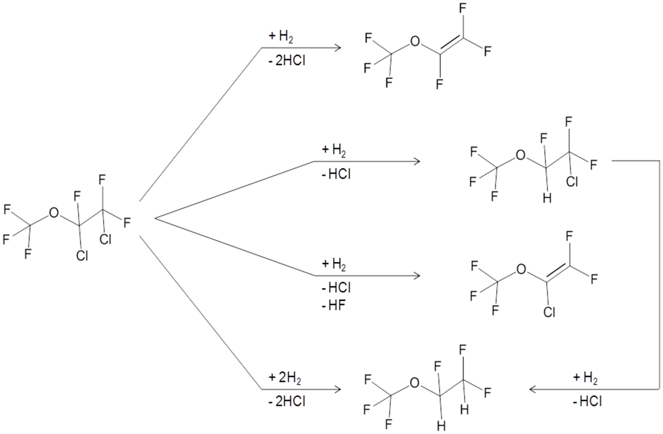
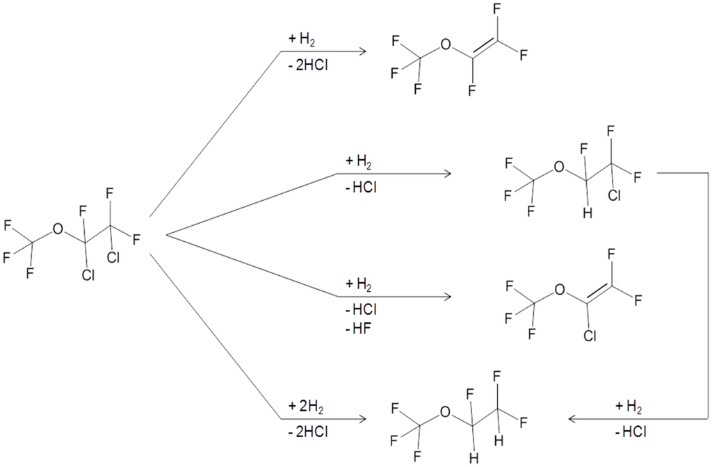
2.2.3. Catalytic Tests in the Hydrodechlorination of CF3OCFClCF2Cl
3. Materials and Methods
3.1. Nanoparticles Synthesis
- Au colloids: In a typical reaction, PVP (0.35 g) and glucose (0.40 g) were mixed in a round-bottomed flask containing water (80 mL), and the solution was heated at ambient pressure using microwave stimulation to 90 °C (heating rate 30 °C·min−1). At this temperature, aqueous NaOH (10 mL, 0.88 M) and HAuCl4 (10 mL, 0.11 M) were added to the flask and stirred for 2.5 min. After the reaction, a red, stable suspension of gold nanoparticles with a concentration of 0.011 M (0.2 wt %) was obtained.
- Cu colloids were obtained through the reduction of CuSO4·5H2O. In a typical experiment, PVP (5.66 g), glucose (7.2 g) and NaOH (1.2 or 2.4 g) were mixed in a round-bottomed flask containing water (180 mL), and then, the solution was microwave heated at ambient pressure to 100 °C (heating rate 30 °C·min−1). At this temperature, the CuSO4·5H2O solution (20 mL, 0.165 M) was added, and the temperature was maintained for a time ranging from 10–40 min. In order to achieve the pure metallic phase, both the NaOH/metal molar ratio and reaction time were set as reported in Table 5. A red sol with a solid loading of 0.1 wt % and a time stability of 24 h was obtained.
- Au/Cu colloids: The bimetallic colloids, Au/Cu, were obtained through the microwave (MW)-assisted co-reduction of HAuCl4 and CuSO4·5H2O. Au/Cu were prepared on the basis of the experimental set up used for the monometal particles, in order to work with the conditions the most useful for both metals. For this reason PVP, glucose and NaOH contents were optimized for each sample depending on the Au/Cu ratio and with the purpose to ensure the total formation of the copper metallic phase, the reaction time was set to 40 min. However, in order to decrease the nanoparticle size, some syntheses were performed with a reaction time of 2.5 min. In a typical reaction for preparing Au1Cu1 sol, PVP (1 g), NaOH (0.52 g) and glucose (1.27 g) were mixed in a round-bottomed flask containing water (180 mL), and the solution was heated at ambient pressure to 90 °C (heating velocity 30 °C·min−1) using microwaves. At this temperature, a solution containing both HAuCl4 (20 mL, 0.025 M) and CuSO4 (0.025 M) with a Au/Cu molar ratio of 1 was added to the flask with stirring, and the temperature was maintained for 40 or 2.5 min. The samples were prepared with Au/Cu molar ratios of 3/1, 1/1, 1/3, 1/6 (Table 5) and a total solid concentration of 0.005 M. After the reaction, a brown, stable suspension of bimetallic nanoparticles was obtained.
- Pd colloids were synthesized through the reduction of PdCl2. The dissolution of PdCl2 was facilitated by adding 3 drops of concentrated HCl (37%) and by keeping the solution at 90 °C till complete dissolution. The experiments were performed following the same procedure used for gold colloids, but with a different metal concentration.
- Pd/Cu and Pd/Au colloids: In a typical preparation of the Pd/Cu system, 0.062 g of CuSO4·5H2O were dissolved in 5 mL of water and 0.044 g of PdCl2 in 10 mL of H2O. The so-obtained precursor solutions were mixed together and then added under stirring to 85 mL of the microwave heated (90 °C) solution containing 0.51 g of PVP, 0.64 g of glucose and 0.26 g of NaOH. The reaction was performed for 2.5 min, and the synthesized samples were produced by keeping the total metal concentration at 0.005 M and respecting the molar ratio listed in Table 5. The same procedure was followed for the Pd/Au colloids.
3.2. Supported Catalysts Preparation
3.3. Characterization of Metallic Sols
3.4. Characterization of Supported Catalysts
3.5. Catalytic Tests
- Probe reaction with 4-Nitrophenol: The catalytic reduction of 4-nitrophenol by NaBH4 was studied at room temperature (25 °C) in a standard quartz cuvette with a 1-cm path length and about a 3-mL volume. The prepared samples were properly diluted with distilled water in order to achieve a metal concentration of 1.1 × 10−2 mM. Thus, 10 mL of diluted suspensions were mixed with 5 mL of a 4-nitrophenol solution (9.0 × 10−2 mM) and with 1 mL of a NaBH4 aqueous solution (0.72 M). An aliquot of the solution was poured into the quartz cuvette, and the absorption spectra were collected by a Lambda 35 spectrophotometer (Perkin Elmer, Waltham, MA, USA) in the range between 250 and 500 nm. The rate constants of the reduction process were determined by measuring the change in absorbance at 400 nm, corresponding to the 4-nitrophenolate ion, as a function of time. Although the 4-NP solution absorbs at 317 nm, a second peak appears at 400 nm after the addition of the NaBH4 solution, forming the 4-nitrophenolate ion. The reaction is of second order (1), but as the concentration of NaBH4 is in large excess with respect to the reagent (4-NP) one, the reduction rate can be regarded as independent from NaBH4, changing the system in a pseudo first order reaction (2). Therefore, the rate constants of the reaction can be determined by measuring the change in absorbance at 400 nm, the wavelength typical of 4-NP in alkaline condition, as a function of time.
- 5-hydroxymehtyfurfural (HMF) oxidation: HMF oxidation was carried out in a 100-mL autoclave reactor (Parr Instrument) equipped with a mechanical stirrer (0–600 rpm) and tools for the measurement of temperature and pressure. The reactor was charged with 25 mL of distilled water, the appropriate amount of 5-hydroxymethylfufural, NaOH and catalyst (HMF/metal molar ratio = 100). The autoclave was purged 3 times with O2 (5 bar) and then pressurized at 10 bar. If not differently indicated, the temperature was set at 70 °C, and the reaction mixture was stirred at 400 rpm for 4 h. At the end of the reaction, the reactor was cooled down to room temperature, and the solution was filtered, diluted 5 times and analyzed with an Agilent Infinity 1200 liquid chromatograph equipped with a Aminex HPX 87-H 300 mm × 7.8 mm column using a 0.005 M H2SO4 solution as the mobile phase. The identification of compounds was achieved by calibration using reference commercial samples.
- Catalytic hydrodechlorination of CF3OCFClCF2Cl: The hydrogen-assisted dechlorination of CF3OCFClCF2Cl to CF3OCF=CF2 was performed in a 10 mm diameter down-flow Hastelloy® tubular reactor. The catalysts were pelletized and reduced before catalytic tests. A mixture of CF3OCFClCF2Cl (19% v/v), H2 (19% v/v) and N2 was fed to the reactor for 20 h of time-on-stream with a contact time of 10 s at 250 °C and 1 atm. The obtained products were sampled before a water scrubber and analyzed with a TCD-equipped gas chromatograph.
4. Conclusions
Supplementary Materials
Author Contributions
Conflicts of Interest
References
- Kim, N.R.; Shin, K.; Jung, I.; Shim, M.; Lee, M. Ag-Cu bimetallic nanoparticles with enhanced resistance to oxidation: A combined experimental and theoretical study. J. Phys. Chem. C 2014, 118, 26324–26331. [Google Scholar] [CrossRef]
- Sopousek, J.; Pinkas, J.; Broz, P.; Vykoukal, V.; Škoda, D.; Stýskalík, A.; Zobač, O.; Vřešťál, J.; Hrdlička, A.; Šimbera, J. Ag-Cu colloid synthesis: Bimetallic nanoparticle characterisation and thermal treatment. J. Nanomater. 2014, 2014, 638964. [Google Scholar] [CrossRef]
- Sarkar, A.; Mukherjee, T.; Kapoor, S. PVP-stabilized copper nanoparticles: A reusable catalyst for ‘click’ reaction between terminal alkynes and azides in nonaqueous solvents. J. Phys. Chem. C 2008, 112, 3334–3340. [Google Scholar] [CrossRef]
- Kidwai, M.; Mishra, N.K.; Bansal, V.; Kumar, A.; Mozumdar, S. Cu-nanoparticle catalyzed O-arylation of phenols with aryl halides via Ullmann coupling. Tetrahedron Lett. 2007, 48, 8883–8887. [Google Scholar] [CrossRef]
- Dutta, S.; Ray, C.; Sarkar, S.; Roy, A.; Sahoo, R.; Pal, T. Facile Synthesis of Bimetallic Au-Pt, Pd-Pt, and Au-Pd Nanostructures: Enhanced Catalytic Performance of Pd-Pt Analogue towards Fuel Cell Application and Electrochemical Sensing. Electrochem. Acta 2015, 180, 1075–1084. [Google Scholar] [CrossRef]
- Kitchin, J.R.; Nørskov, J.K.; Barteau, M.A.; Chen, J.G. Role of Strain and Ligand Effects in the Modification of the Electronic and Chemical Properties of Bimetallic Surfaces. Phys. Rev. Lett. 2004, 15, 156801. [Google Scholar] [CrossRef] [PubMed]
- Dimitratos, N.; Hammond, C.; Kiely, C.J.; Hutchings, G.J. Catalysis using colloidal supported gold-based nanoparticles. Appl. Petrol. Res. 2014, 4, 85–94. [Google Scholar] [CrossRef]
- Blosi, M.; Albonetti, S.; Dondi, M.; Baldi, G.; Barzanti, A.; Bitossi, M. Process for Preparing Stable Suspensions of Metal Nanoparticles and the Stable Colloidal Suspensions Obtained Thereby. European Patent WO 2010/100107 PCT/EP2010/052534, 10 September 2010. [Google Scholar]
- Liu, J.; Qin, G.; Raveendran, P.; Ikushima, Y. Facile Green Synthesis, Characterization, and Catalytic Function of β-d-Glucose-Stabilized Au Nanocrystals. Chem. Eur. J. 2006, 12, 2131–2138. [Google Scholar] [CrossRef] [PubMed]
- Zhao, Y.; Zhu, J.J.; Hong, J.M.; Bian, N.; Chen, H.Y. Microwave-Induced Polyol-Process Synthesis of Copper and Copper Oxide Nanocrystals with Controllable Morphology. Eur. J. Inorg. Chem. 2004, 2004, 4072–4080. [Google Scholar] [CrossRef]
- Brust, M.; Walker, M.; Bethell, D.; Schiffrin, D.J.; Whyman, R. Synthesis of thiol-derivatised gold nanoparticles in a two-phase Liquid–Liquid system. J. Chem. Soc. Chem. Commun. 1994, 7, 801–802. [Google Scholar] [CrossRef]
- Ullmann, A. Formation and Structure of Self-Assembled Monolayers. Chem. Rev. 1996, 96, 1533–1554. [Google Scholar] [CrossRef]
- Feldmann, C.; Jungk, H.O. Polyol-Mediated Preparation of Nanoscale Oxide Particles. Angew. Chem. Int. Ed. 2001, 40, 359–362. [Google Scholar] [CrossRef]
- Li, D.; Kormarneni, S. Microwave-Assisted Polyol Process for Synthesis of Ni Nanoparticles. J. Am. Ceram. Soc. 2006, 89, 1510–1517. [Google Scholar] [CrossRef]
- Srivastava, C.; Nikles, D.E.; Harrell, J.W.; Thompson, G.B. Composition distributions in FePt(Au) nanoparticles. J. Nanopart. Res. 2010, 12, 2051–2056. [Google Scholar] [CrossRef]
- Hou, X.; Zhang, X.; Chen, S.; Fang, Y.; Li, N.; Zhai, X.; Liu, Y. Size-controlled synthesis of Au nanoparticles and nanowires and their application as SERS substrates. Colloid Surf. A 2011, 384, 345–351. [Google Scholar] [CrossRef]
- Pyrpassopoulos, S.; Niarchos, D.; Nounesis, G.; Boukos, N.; Zafiropoulou, I.; Tzitzios, V. Synthesis and self-organization of Au nanoparticles. Nanotechnology 2007, 18, 485604–485608. [Google Scholar] [CrossRef]
- Yin, H.; Yamamoto, T.; Wada, Y.; Yanagida, S. Large-scale and size-controlled synthesis of silver nanoparticles under microwave irradiation. Mater. Chem. Phys. 2004, 83, 66–70. [Google Scholar] [CrossRef]
- Khanna, P.K.; Gaikwad, S.; Adhyapak, P.V.; Singh, N.; Marimuthu, R. Synthesis and characterization of copper nanoparticles. Mater. Lett. 2007, 61, 4711–4714. [Google Scholar] [CrossRef]
- Boleininger, J.; Kurz, A.; Reuss, V.; Sonnichsen, C. Microfluidic continuous flow synthesis of rod-shaped gold and silver nanocrystals. Phys. Chem. Chem. Phys. 2006, 8, 3824–3827. [Google Scholar] [CrossRef] [PubMed]
- Horikoshi, S.; Serpone, N. Microwaves in Nanoparticle Synthesis: Fundamentals and Applications; Wiley-VCH Verlag GmbH & Co. KGaA: Weinheim, Germany, 2013. [Google Scholar]
- Harish, S.; Baranton, S.; Coutanceau, C.; Joseph, J. Microwave assisted polyol method for the preparation of Pt/C, Ru/C and PtRu/C nanoparticles and its application in electrooxidation of methanol. J. Power Sources 2012, 214, 33–39. [Google Scholar] [CrossRef]
- Porta, R.; Benaglia, M.; Puglisi, A. Flow Chemistry: Recent Developments in the Synthesis of Pharmaceutical Products. Org. Process Res. Dev. 2016, 20, 2–25. [Google Scholar] [CrossRef]
- Zhao, P.; Feng, X.; Huang, D.; Yanga, G.; Astruc, D. Basic concepts and recent advances in nitrophenol reduction by gold- and other transition metal nanoparticles. Coord. Chem. Rev. 2015, 287, 114–136. [Google Scholar] [CrossRef]
- Porta, F.; Prati, L.; Rossi, M.; Scari, G. New Au(0) Sols as Precursors for Heterogeneous Liquid-Phase Oxidation Catalysts. J. Catal. 2002, 211, 464–469. [Google Scholar] [CrossRef]
- Albonetti, S.; Mazzoni, R.; Cavani, F. Homogeneous and heterogeneous and nanocatalysis. In Transition Metal Catalysis in Aerobic Alcohol Oxidation; Cardona, F., Parmeggiani, C., Eds.; RSC Green Chemistry: Cambridge, UK, 2014; pp. 1–39. [Google Scholar]
- Casanova, O.; Iborra, S.; Corma, A. Biomass into chemicals: One pot-base free oxidative esterification of 5-hydroxymethyl-2-furfural into 2,5-dimethylfuroate with gold on nanoparticulated ceria. J. Catal. 2009, 265, 109–116. [Google Scholar] [CrossRef]
- Casanova, O.; Iborra, S.; Corma, A. Biomass into chemicals: Aerobic oxidation of 5-hydroxymethyl-2-furfural into 2,5-furandicarboxylic acid with gold nanoparticle catalysts. ChemSusChem 2009, 2, 1138–1144. [Google Scholar] [CrossRef] [PubMed]
- Gandini, A.; Coelho, D.; Gomes, M.; Reis, B.; Silvestre, A. Materials from renewable resources based on furan monomers and furan chemistry: Work in progress. J. Mater. Chem. 2009, 19, 8656–8664. [Google Scholar] [CrossRef]
- Tsanaktsis, V.; Terzopoulou, Z.; Nerantzaki, M.; Papageorgiou, G.Z.; Bikiaris, D.N. New poly(pentylene furanoate) and poly(heptylene furanoate) sustainable polyesters from diols with odd methylene groups. Mater. Lett. 2016, 178, 64–67. [Google Scholar] [CrossRef]
- Van Putten, R.J.; van der Waal, J.C.; de Jong, E.; Rasrendra, C.B.; Heeres, H.J.; de Vries, J.G. Hydroxymethylfurfural, A Versatile Platform Chemical Made from Renewable Resources. Chem. Rev. 2013, 113, 1499–1597. [Google Scholar] [CrossRef] [PubMed]
- Ryabenkova, Y.; He, Q.; Miedziak, P.J.; Dummer, N.F.; Taylor, S.H.; Carley, A.F.; Morgan, D.J.; Dimitratos, N.; Willock, D.J.; Bethell, D.; et al. The selective oxidation of 1,2-propanediol to lactic acid using mild conditions and gold-based nanoparticulate catalysts. Catal. Today 2013, 203, 139–145. [Google Scholar] [CrossRef]
- Chou, K.S.; Lu, Y.C.; Lee, J.J. Effect of alkaline ion on the mechanism and kinetics of chemical reduction of silver. Mater. Chem. Phys. 2005, 94, 429–433. [Google Scholar] [CrossRef]
- Watanabe, M.; Aizawa, Y.; Iida, T.; Levy, C.; Aida, T.M.; Inomata, H. Glucose reactions with acid and base catalysts in hot compressed water at 473 K. Carbohydr. Res. 2005, 340, 1925–1930. [Google Scholar] [CrossRef] [PubMed]
- Lolli, A.; Albonetti, S.; Utili, L.; Amadori, R.; Ospitali, F.; Lucarelli, C.; Cavani, F. Insights into the reaction mechanism for 5-hydroxymethylfurfuraloxidation to FDCA on bimetallic Pd–Au nanoparticles. Appl. Catal. A Gen. 2015, 504, 408–419. [Google Scholar] [CrossRef]
- Blosi, M.; Albonetti, S.; Gatti, F.; Baldi, G.; Dondi, M. Au-Ag nanoparticles as red pigment in ceramic inks for digital decoration. Dyes Pigments 2012, 94, 355–362. [Google Scholar] [CrossRef]
- Lolli, A.; Amadori, R.; Lucarelli, C.; Cutrufello, M.G.; Rombi, E.; Cavani, F.; Albonetti, S. Hard-template preparation of Au/CeO2 mesostructured catalysts and their activity for the selective oxidation of 5-hydroxymethylfurfural to 2,5-furandicarboxylic acid. Microporous Mesoporous Mater. 2016, 226, 466–475. [Google Scholar] [CrossRef]
- Albonetti, S.; Pasini, T.; Lolli, A.; Blosi, M.; Piccinini, M.; Dimitratos, N.; Lopez-Sanchez, J.A.; Morgan, D.J.; Carley, A.F.; Hutchings, G.J.; et al. Selective oxidation of 5-hydroxymethyl-2-furfural over TiO2-supported gold–copper catalysts prepared from preformed nanoparticles: Effect of Au/Cu ratio. Catal. Today 2012, 195, 120–126. [Google Scholar] [CrossRef]
- Liu, X.; Wang, A.; Zhang, T.; Su, D.-S.; Mou, C.-J. Au–Cu alloy nanoparticles supported on silica gel as catalyst for CO oxidation: Effects of Au/Cu ratios. Catal. Today 2011, 160, 103–108. [Google Scholar] [CrossRef]
- Blosi, M.; Albonetti, S.; Ortelli, S.; Costa, A.L.; Ortolani, L.; Dondi, M. Green and easily scalable microwave synthesis of noble metal nanosols (Au, Ag, Cu, Pd) usable as catalyst. New J. Chem. 2014, 38, 1401–1409. [Google Scholar] [CrossRef]
- Pradhan, N.; Pal, A.; Pal, T. Catalytic Reduction of Aromatic Nitro Compounds by Coinage Metal Nanoparticles. Langmuir 2001, 17, 1800–1802. [Google Scholar] [CrossRef]
- Khalavka, Y.; Becker, J.; Sonnichsen, C. Synthesis of Rod-Shaped Gold Nanorattles with Improved Plasmon Sensitivity and Catalytic Activity. J. Am. Chem. Soc. 2009, 131, 1871–1875. [Google Scholar] [CrossRef] [PubMed]
- Gao, S.; Jia, X.; Li, Z.; Chen, Y. Hierarchical plasmonic-metal/semiconductor micro/nanostructures: Green synthesis and application in catalytic reduction of p-nitrophenol. J. Nanopart. Res. 2012, 14, 748–759. [Google Scholar] [CrossRef]
- Yu, L.; Mei, Y.; Schrinner, M.; Ballauff, M.; Moller, M.W.; Breu, J. In situ formation of Ag nanoparticles in spherical polyacrylic acid brushes by UV irradiation. J. Phys. Chem. C 2007, 111, 7676–7681. [Google Scholar]
- Zang, S.; Wu, W.; Xiao, X.; Zhou, J.; Xu, J.; Ren, F.; Jiang, C. Polymer-Supported Bimetallic Ag@AgAu Nanocomposites: Synthesis and Catalytic Properties. Chem. Asian J. 2012, 7, 1781–1788. [Google Scholar] [CrossRef] [PubMed]
- Zaleska-Medynska, A.; Marchelek, M.; Diak, M.; Grabowska, E. Noble metal-based bimetallic nanoparticles: The effect of the structure on the optical, catalytic and photocatalytic properties. Adv. Colloid Interface Sci. 2016, 229, 80–107. [Google Scholar] [CrossRef] [PubMed]
- Mehmood, S.; Kausar Janjua, N.; Saira, F.; Hicham Fenniri, H. AuCu@Pt Nanoalloys for Catalytic Application in Reduction of 4-Nitrophenol. J. Spectrosc. 2016, 2016, 6210794. [Google Scholar] [CrossRef]
- Pal, U.; Sanchez Ramirez, J.F.; Liu, H.B.; Medina, A.; Ascencio, J.A. Synthesis and structure determination of bimetallic Au/Cu nanoparticles. Appl. Phys. A 2004, 79, 79–84. [Google Scholar] [CrossRef]
- Davis, S.E.; Houk, L.R.; Tamargo, E.C.; Datye, A.K.; Davis, R.J. Oxidation of 5-hydroxymethylfurfural over supported Pt, Pd and Au catalysts. Catal. Today 2011, 160, 55–60. [Google Scholar] [CrossRef]
- Villa, A.; Schiavoni, M.; Campisi, S.; Veith, G.M.; Prati, L. Pd-modified Au on carbon as an effective and durable catalyst for the direct oxidation of HMF to 2,5-furandicarboxylic acid. ChemSusChem 2013, 6, 609–612. [Google Scholar] [CrossRef] [PubMed]
- Albonetti, S.; Lolli, A.; Morandi, V.; Migliori, A.; Lucarelli, C.; Cavani, F. Conversion of 5-hydroxymethylfurfural to 2,5-furandicarboxylicacid over Au-based catalysts: Optimization of active phase and metal–support interaction. Appl. Catal. B Environ. 2015, 163, 520–530. [Google Scholar] [CrossRef]
- Ketchie, W.C.; Fang, Y.L.; Wong, M.S.; Murayama, M.; Davis, R.J. Influence of gold particle size on the aqueous-phase oxidation of carbon monoxide and glycerol. J. Catal. 2007, 250, 94–101. [Google Scholar] [CrossRef]
- Bianchi, C.; Porta, F.; Prati, L.; Rossi, M. Selective liquid phase oxidation using gold catalyst. Top. Catal. 2000, 13, 231–236. [Google Scholar] [CrossRef]
- Carretin, S.; McMorn, P.; Johnston, P.; Griffin, K.; Kiley, C.J.; Hutchings, G.J. Oxidation of glycerol using supported Pt, Pd and Au catalysts. Phys. Chem. Chem. Phys. 2003, 5, 1329–1336. [Google Scholar] [CrossRef]
- Klitgaard, S.K.; DeLa Riva, A.T.; Rebecka, S.H.; Werchmeister, M.; Christensen, C.H. Aerobic Oxidation of Alcohols over Gold Catalysts: Role of Acid and Base. Catal. Lett. 2008, 126, 213–217. [Google Scholar] [CrossRef]
- Tortelli, V.; Calini, P.; Zompatori, A.; Antenucci, E. Process for Preparing Fluorohalogenethers. U.S. Patent 20070203368, 30 August 2007. [Google Scholar]
- Albonetti, S.; Gregori, M.; Fornasari, G.; Millefanti, S.; Tortelli, V.; Marchionni, G. Method for Manufacturing Perfluorovinylethers. U.S. Patent WO2012/104365, 9 August 2007. [Google Scholar]
- Gregori, M.; Fornasari, G.; Marchionni, G.; Tortelli, V.; Millefanti, S.; Albonetti, S. Hydrogen-assisted dechlorination of CF3OCFCl-CF2Cl to CF3OCF=CF2 over different metal-supported catalysts. Appl. Catal. A Gen. 2014, 470, 123–131. [Google Scholar] [CrossRef]
- Bonarowska, M.; Kaszkur, Z.; Kepiński, L.; Karpiński, Z. Hydrodechlorination of tetrachloromethane on alumina and silica-supported platinum catalysts. Appl. Catal. B Environ. 2010, 99, 248–256. [Google Scholar] [CrossRef]
- Wei, X.; Wang, A.Q.; Yang, X.F.; Li, L.; Zhang, T. Synthesis of Pt-Cu/SiO2 catalysts with different structures and their application in hydrodechlorination of 1,2-dichloroethane. Appl. Catal. B Environ. 2012, 121, 105–114. [Google Scholar] [CrossRef]
- Borovkov, V.Y.; Luebke, D.R.; Kovalchuk, V.I.; d’Itri, J.L. Hydrogen-Assisted 1,2-Dichloroethane Dechlorination Catalyzed by Pt−Cu/SiO2: Evidence for Different Functions of Pt and Cu Sites. J. Phys. Chem. B 2003, 107, 5568–5574. [Google Scholar] [CrossRef]
- Benito, P.; Gregori, M.; Andreoli, S.; Fornasari, G.; Millefanti, S.; Ospitali, F.; Albonetti, S. Role of the preparation method on properties of Pd/Cu-MCM-41 hydrodechlorinating catalysts. Catal. Today 2014, 235, 134–143. [Google Scholar] [CrossRef]
- Benito, P.; Gregori, M.; Andreoli, S.; Fornasari, G.; Ospitali, F.; Millefanti, S.; Avila, M.S.; Garetto, T.F.; Albonetti, S. Pd-Cu interaction in Pd/Cu-MCM-41 catalysts: Effect of silica source and metal content. Catal. Today 2015, 246, 108–115. [Google Scholar] [CrossRef]
- Lang, N.; Tuel, A. A Fast and Efficient Ion-Exchange Procedure To Remove Surfactant Molecules from MCM-41 Materials. Chem. Mater. 2004, 16, 1961–1966. [Google Scholar] [CrossRef]
- Gregori, M.; Benito, P.; Fornasari, G.; Migani, M.; Millefanti, S.; Ospitali, F.; Albonetti, S. Preparation of Pd/Cu MCM-41 catalysts for hydrodechlorination: Influence of the synthesis procedure. Microporous Mesoporous Mater. 2014, 190, 1–9. [Google Scholar] [CrossRef]




















| Sample 1 | d-DLS (nm) | PDI 3 | d-TEM(nm) | d-XRD (nm) |
|---|---|---|---|---|
| Au | 17 | 0.2 | 4 ± 2 [37] | 4 [38] |
| Cu | 350, 80 2 | 0.4 | 3 ± 1 | 70 |
| Pd | 23 | 0.3 | 2 ± 1 [35] | 6 |
| Au3Cu1 | 17 [38] | 0.2 | - | 4.0 [38] |
| Au1Cu1 | 23 | 0.3 | 3 ± 2 | 3.5 [38] |
| Au1Cu3 | 61 | 0.3 | - | 3.0 [38] |
| Au1Cu6 | 80 | 0.5 | - | n.d. [38] |
| Pd3Au1 | - | - | 3 ± 1 [35] | 3 |
| Pd1Au0.5 | 36 | - | - | 5 |
| Pd1Au1 | 25 | 0.4 | 3 ± 1 [35] | 3 |
| Pd1Au2 | 71 | - | - | 3 |
| Pd1Au3 | 35 | 0.3 | 4 ± 2 | 4 |
| Pd1Au6 | 34 | 0.2 | 3 ± 2 [35] | 5 |
| Pd1Au9 | - | - | 4 [35] | 5 |
| Pd1Cu0.5 | 73 | 0.3 | - | 5 |
| Pd1Cu1 | 79 | 0.4 | - | 3 |
| Pd1Cu2 | 88 | 0.4 | - | 4 |
| Pd1Cu3 | 99 | 0.2 | - | 5 |
| Pd1Cu6 | 133, 40 2 | 0.5 | - | 6 |
| Sample | d (Å) |
|---|---|
| Au | 2.352 |
| Au1Cu1 | 2.314 |
| Au1Cu3 | 2.291 |
| Au1Cu6 | 2.278 |
| Cu | 2.080 |
| Interplanar Distance | d (Å) TEM | d (Å) XRD | d (Å) Literature |
|---|---|---|---|
| d (111) | 2.27 | 2.31 | 2.23 |
| d (200) | 1.97 | 2.03 | 1.98 |
| d (220) | 1.41 | 1.42 | 1.40 |
| d (311) | 1.20 | 1.22 | 1.19 |
| Sample | Catalyst Concentration × 10−5 (M) | K × 10−2 (s−1) | TOF × 10−2 (s−1) |
|---|---|---|---|
| Au | 1.1 | 1.70 | 5.3 |
| Cu | 1.1 | 0.20 | 0.4 |
| Pd | 0.11 | 1.95 | 34.1 |
| Au1Cu1 | 1.1 | 2.70 | 5.8 |
| Au1Cu3 | 1.1 | 1.70 | 4.9 |
| Au1Cu6 | 1.1 | 0.70 | 1.2 |
| Pd1Cu0.5 | 0.11 | 1.14 | 32.2 |
| Pd1Cu1 | 0.11 | 0.80 | 15.7 |
| Pd1Cu2 | 0.11 | 0.26 | 7.8 |
| Pd1Cu3 | 0.11 | 0.19 | 5.5 |
| Pd1Cu6 | 0.11 | 0.07 | 3.1 |
| Pd1Au0.5 | 0.11 | 2.10 | 40.7 |
| Pd1Au1 | 0.11 | 2.29 | 49.5 |
| Pd1Au2 | 0.11 | 1.35 | 37.5 |
| Pd1Au3 | 0.11 | 0.59 | 30.3 |
| Pd1Au6 | 0.11 | 0.35 | 10.3 |
| Sample | %Au (mol/mol) | %Cu (mol/mol) | Cu/Au (mol/mol) | PVP/[Metal] (mol/mol) | Glucose/[Metal] (mol/mol) | NaOH/[Metal] (mol/mol) | [Metal] (mol/L) |
| Au | 100 | 0 | - | 3 | 2 | 8 | 0.011 |
| Au3Cu1 | 75 | 25 | 0.3 | 6 | 5 | 11 | 0.005 |
| Au1Cu1 | 50 | 50 | 1 | 9 | 7 | 13 | 0.005 |
| Au1Cu3 | 25 | 75 | 3 | 12 | 10 | 16 | 0.005 |
| Au1Cu6 | 16 | 84 | 6 | 13 | 10 | 17 | 0.005 |
| Cu | 0 | 100 | - | 15 | 12 | 18 | 0.017 |
| Sample | %Pd (mol/mol) | %Au (mol/mol) | Pd/Au (mol/mol) | PVP/[Metal] (mol/mol) | Glucose/[Metal] (mol/mol) | NaOH/[Metal] (mol/mol) | [Metal] (mol/L) |
| Pd | 100 | 0 | - | 2.75 | 2.00 | 8.00 | 0.005 |
| Pd3Au1 | 75 | 25 | 3 | 2.75 | 2.00 | 8.00 | 0.005 |
| Pd1Au0.5 | 67 | 33 | 2 | 2.75 | 2.00 | 8.00 | 0.005 |
| Pd1Au1 | 50 | 50 | 1 | 2.75 | 2.00 | 8.00 | 0.005 |
| Pd1Au2 | 33 | 67 | 0.5 | 2.75 | 2.00 | 8.00 | 0.005 |
| Pd1Au3 | 25 | 75 | 0.33 | 2.75 | 2.00 | 8.00 | 0.005 |
| Pd1Au6 | 14 | 86 | 0.16 | 2.75 | 2.00 | 8.00 | 0.005 |
| Pd1Au9 | 10 | 90 | 0.11 | 2.75 | 2.00 | 8.00 | 0.005 |
| Sample | %Pd (mol/mol) | %Au (mol/mol) | Pd/Au (mol/mol) | PVP/[Metal] (mol/mol) | Glucose/[Metal] (mol/mol) | NaOH/[Metal] (mol/mol) | [Metal] (mol/L) |
| Pd1Cu0.5 | 100 | 0 | 2 | 6.83 | 2.00 | 11.33 | 0.005 |
| Pd1Cu1 | 67 | 33 | 1 | 8.88 | 5.37 | 13.00 | 0.005 |
| Pd1Cu2 | 50 | 50 | 0.5 | 10.92 | 7.05 | 14.67 | 0.005 |
| Pd1Cu3 | 33 | 67 | 0.33 | 11.94 | 8.74 | 15.50 | 0.005 |
| Pd1Cu6 | 25 | 75 | 0.16 | 13.25 | 9.58 | 16.57 | 0.005 |
© 2016 by the authors; licensee MDPI, Basel, Switzerland. This article is an open access article distributed under the terms and conditions of the Creative Commons Attribution (CC-BY) license (http://creativecommons.org/licenses/by/4.0/).
Share and Cite
Blosi, M.; Ortelli, S.; Costa, A.L.; Dondi, M.; Lolli, A.; Andreoli, S.; Benito, P.; Albonetti, S. Bimetallic Nanoparticles as Efficient Catalysts: Facile and Green Microwave Synthesis. Materials 2016, 9, 550. https://doi.org/10.3390/ma9070550
Blosi M, Ortelli S, Costa AL, Dondi M, Lolli A, Andreoli S, Benito P, Albonetti S. Bimetallic Nanoparticles as Efficient Catalysts: Facile and Green Microwave Synthesis. Materials. 2016; 9(7):550. https://doi.org/10.3390/ma9070550
Chicago/Turabian StyleBlosi, Magda, Simona Ortelli, Anna Luisa Costa, Michele Dondi, Alice Lolli, Sara Andreoli, Patricia Benito, and Stefania Albonetti. 2016. "Bimetallic Nanoparticles as Efficient Catalysts: Facile and Green Microwave Synthesis" Materials 9, no. 7: 550. https://doi.org/10.3390/ma9070550
APA StyleBlosi, M., Ortelli, S., Costa, A. L., Dondi, M., Lolli, A., Andreoli, S., Benito, P., & Albonetti, S. (2016). Bimetallic Nanoparticles as Efficient Catalysts: Facile and Green Microwave Synthesis. Materials, 9(7), 550. https://doi.org/10.3390/ma9070550

