Synthesis, Characterization, and Electropolymerization of Extended Fused-Ring Thieno[3,4-b]pyrazine-Based Terthienyls
Abstract
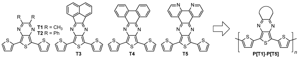
:1. Introduction
2. Results and Discussion
2.1. TP-Based Terthienyl Synthesis
2.2. UV-Vis Spectroscopy of TP-Based Terthienyls
2.3. Electrochemistry of TP-Based Terthienyls
2.4. Electropolymerization of TP-Based Terthienyls and Polymer Electrochemistry
2.5. Optical Absorption of Polymer Films
3. Materials and Methods
3.1. Synthesis of 3′,4′-Diamino-2,2′:5′,2″-terthiophene (10)
3.2. General Synthesis of Extended Fused-Ring Thieno[3,4-b]pyrazine-based Terthienyls
3.2.1. 8,10-Bis(2-thienyl)acenaphtho[1,2-b]thieno[3,4-e]pyrazine (T3)
3.2.2. 10,12-Bis(2-thienyl)dibenzo[f,h]thieno[3,4-b]quinoxaline (T4)
3.2.3. 10,12-Bis(2-thienyl)thieno[3′,4′:5,6]pyrazino[2,3-f][1,10]phenanthroline (T5)
3.3. Electropolymerizations
3.4. Electrochemical Measurements
3.5. Absorption Spectroscopy
4. Conclusions
Supplementary Materials
Acknowledgments
Author Contributions
Conflicts of Interest
Abbreviations
| ΔE | =peak separation |
| ε | extinction coefficient |
| f | =oscillator strength |
| λmax | wavelength of absorbance maximum |
| D-A | donor-acceptor |
| Eg | band gap |
| Egelec | electrochemical band gap |
| Egopt | optical band gap |
| Eonset | onset potential |
| Epa | aniodic peak potential |
| Epc | cathodic peak potential |
| E½ | half-wave potential |
| HOMO | highest occupied molecular orbital |
| HRMS | high resolution mass spectrometry |
| ICT | intramolecular charge transfer |
| ITO | indium tin oxide |
| lit. | literature |
| LUMO | lowest unoccupied molecular orbital |
| mp | melting point |
| NIR | near infrared |
| NMR | nuclear magnetic resonance |
| OLEDs | organic light-emitting diodes |
| OPVs | organic photovoltaics |
| S0 | singlet ground state |
| S1 | first singlet excited state |
| S2 | second singlet excited state |
| SCE | saturated calomel electrode |
| TBAPF6 | tetrabutylammonium hexafluorophosphate |
| TP | thieno[3,4-b]pyrazineReferences |
References
- Rasmussen, S.C. Electrically conducting plastics: Revising the history of conjugated organic polymers. In 100+ Years of Plastics. Leo Baekeland and Beyond; Strom, E.T., Rasmussen, S.C., Eds.; American Chemical Society: Washington, DC, USA, 2011; pp. 147–163. [Google Scholar]
- Rasmussen, S.C. The path to conductive polyactylene. Bull. Hist. Chem. 2014, 39, 64–72. [Google Scholar]
- Rasmussen, S.C. Early history of polypyrrole: The first conducting organic polymer. Bull. Hist. Chem. 2015, 40, 45–55. [Google Scholar]
- Rasmussen, S.C. Early history of conductive organic polymers. In Conductive Polymers: Electrical Interactions in Cell Biology and Medicine; Zhang, Z., Rouabhia, M., Moulton, S., Eds.; CRC Press: Boca Raton, FL, USA, 2016. [Google Scholar]
- McNeill, R.; Siudak, R.; Wardlaw, J.H.; Weiss, D.E. Electronic conduction in polymers. I. The chemical structure of polypyrrole. Aust. J. Chem. 1963, 16, 1056–1075. [Google Scholar] [CrossRef]
- Bolto, B.A.; Weiss, D.E. Electronic conduction in polymers. II. The electrochemical reduction of polypyrrole at controlled potential. Aust. J. Chem. 1963, 16, 1076–1089. [Google Scholar] [CrossRef]
- Bolto, B.A.; McNeill, R.; Weiss, D.E. Electronic conduction in polymers. III. Electronic properties of polypyrrole. Aust. J. Chem. 1963, 16, 1090–1103. [Google Scholar] [CrossRef]
- Shirakawa, H.; Louis, E.J.; MacDiarmid, A.G.; Chiang, C.K.; Heeger, A.J. Synthesis of Electrically conducting organic polymers: Halogen derivatives of polyacetylene, (CH)x. Chem. Soc. Chem. Commun. 1977, 578–580. [Google Scholar] [CrossRef]
- Chiang, C.K.; Fincher, C.R., Jr.; Park, Y.W.; Heeger, A.J.; Shirakawa, H.; Louis, B.J.; Gau, S.C.; MacDiarmid, A.G. Electrical conductivity in doped polyacetylene. Phys. Rev. Lett. 1977, 39, 1098–1101. [Google Scholar] [CrossRef]
- Chiang, C.K.; Druy, M.A.; Gau, S.C.; Heeger, A.J.; Louis, E.J.; MacDiarmid, A.G.; Park, Y.W.; Shirakawa, H. Synthesis of Highly Conducting Films of Derivatives of Polyacetylene, (CH)x. J. Am. Chem. Soc. 1978, 100, 1013–1015. [Google Scholar] [CrossRef]
- Rasmussen, S.C. On the origin of ‘synthetic metals’. Mater. Today 2016, 19. Available online: http://www.sciencedirect.com/science/article/pii/S1369702116000900 (accessed on 22 March 2016). [Google Scholar] [CrossRef]
- Skotheim, T.A.; Reynolds, J.R. Handbook of Conducting Polymers, 3rd ed.; Skotheim, T.A., Reynolds, J.R., Eds.; CRC Press: Boca Raton, FL, USA, 2007. [Google Scholar]
- Perepichka, I.F.; Perepichka, D.F. Handbook of Thiophene-Based Materials; Perepichka, I.F., Perepichka, D.F., Eds.; John Wiley & Sons: Hoboken, NJ, USA, 2009. [Google Scholar]
- Perepichka, I.F.; Perepichka, D.F.; Meng, H.; Wudl, F. Light-emitting polythiophenes. Adv. Mater. 2005, 17, 2281–2305. [Google Scholar] [CrossRef]
- Günes, S.; Neugebauer, H.; Sariciftci, N.S. Conjugated polymer-based organic solar cells. Chem. Rev. 2007, 107, 1324–1338. [Google Scholar] [CrossRef] [PubMed]
- Grimsdale, A.C.; Chan, K.L.; Martin, R.E.; Jokisz, P.G.; Holmes, A.B. Synthesis of light-emitting conjugated polymers for applications in electroluminescent devices. Chem. Rev. 2009, 109, 897–1091. [Google Scholar] [CrossRef] [PubMed]
- Scharber, M.C.; Sariciftci, N.S. Efficiency of bulk-heterojunction organic solar cells. Prog. Polym. Sci. 2013, 38, 1929–1940. [Google Scholar] [CrossRef] [PubMed]
- Nielsen, C.B.; McCulloch, I. Recent advances in transistor performance of polythiophenes. Prog. Polym. Sci. 2013, 38, 2053–2069. [Google Scholar] [CrossRef]
- Rasmussen, S.C.; Evenson, S.J.; McCausland, C.B. Fluorescent thiophene-based materials and their outlook for emissive applications. Chem. Commun. 2015, 51, 4528–4543. [Google Scholar] [CrossRef] [PubMed]
- Rasmussen, S.C.; Ogawa, K.; Rothstein, S.D. Synthetic approaches to band gap control in conjugated polymeric materials. In Handbook of Organic Electronics and Photonics; Nalwa, H.S., Ed.; American Scientific Publishers: Stevenson Ranch, CA, USA, 2008. [Google Scholar]
- Rasmussen, S.C.; Pomerantz, M. Low bandgap conducting polymers. In Handbook of Conducting Polymers, 3rd ed.; Skotheim, T.A., Reynolds, J.R., Eds.; CRC Press: Boca Raton, FL, USA, 2007; Volume 1, Chapter 12. [Google Scholar]
- Rasmussen, S.C. Low-bandgap polymers. In The Encyclopedia of Polymeric Nanomaterials; Muellen, K., Kobayashi, S., Eds.; Springer: Heidelberg, Germany, 2015; pp. 1155–1166. [Google Scholar]
- Rasmussen, S.C.; Schwiderski, R.L.; Mulholland, M.E. Thieno[3,4-b]pyrazines and their applications to low band gap organic materials. Chem. Commun. 2011, 47, 11394–11410. [Google Scholar] [CrossRef] [PubMed]
- Mulholland, M.E.; Schwiderski, R.L.; Rasmussen, S.C. Structure-function relationships in conjugated materials containing tunable thieno[3,4-b]pyrazine units. Polym. Bull. 2012, 69, 291–301. [Google Scholar] [CrossRef]
- Mulholland, M.E.; Schwiderski, R.L.; Evenson, S.J.; Rasmussen, S.C. Molecular design of conjugated materials: Applications of tunable, ambipolar Thieno[3,4-b]pyrazine building blocks. Polym. Mater. Sci. Eng. 2012, 107, 36–37. [Google Scholar]
- Schwiderski, R.L.; Rasmussen, S.C. Side chain tuning of frontier orbitals in polymers of thieno-[3,4-b]pyrazine-based terthienyls. Synth. Met. 2014, 193, 58–63. [Google Scholar] [CrossRef]
- Mulholland, M.E.; Wen, L.; Rasmussen, S.C. Dialkyl- and dialkoxy-functionalized Poly(thieno[3,4-b]-pyrazine)s via GRIM polymerization: Side chain tuning of electronic and optical properties. Topol. Supramol. Polym. Sci. 2015, 2, 18–29. [Google Scholar]
- Mulholland, M.E.; Konkol, K.L.; Anderson, T.E.; Schwiderski, R.L.; Rasmussen, S.C. Tuning the light absorption of donor-acceptor conjugated polymers: Effects of side chains and ‘spacer’ units in thieno[3,4-b]pyrazine-flourene copolymers. Aust. J. Chem. 2015, 68, 1759–1766. [Google Scholar] [CrossRef]
- Wudl, F.; Kobayashi, M.; Heeger, A.J. Poly(isothianaphthene). J. Org. Chem. 1984, 49, 3382–3384. [Google Scholar] [CrossRef]
- Kobayashi, M.; Colaneri, N.; Boysel, M.; Wudl, F.; Heeger, A.J. The electronic and electrochemical properties of poly(isothianaphthene). J. Chem. Phys. 1985, 82, 5717–5723. [Google Scholar] [CrossRef]
- Havinga, E.E.; ten Hoeve, W.; Wynberg, H. A new class of small band gap organic polymer conductors. Polym. Bull. 1992, 29, 119–126. [Google Scholar] [CrossRef]
- Havinga, E.E.; ten Hoeve, W.; Wynberg, H. Alternate donor-acceptor small-band-gap semiconducting polymers; Polysquaraines and polycroconaines. Synth. Met. 1993, 55, 299–306. [Google Scholar] [CrossRef]
- Rasmussen, S.C.; Sattler, D.J.; Mitchell, K.A.; Maxwell, J. Photophysical characterization of 2,3-difunctionalized thieno[3,4-b]pyrazines. J. Lumin. 2004, 190, 111–119. [Google Scholar] [CrossRef]
- Wen, L.; Nietfeld, J.P.; Amb, C.M.; Rasmussen, S.C. Synthesis and characterization of new 2,3-disubstituted thieno[3,4-b]pyrazines: Tunable building blocks for low band gap conjugated materials. J. Org. Chem. 2008, 73, 8529–8536. [Google Scholar] [CrossRef] [PubMed]
- Wen, L.; Heth, C.L.; Rasmussen, S.C. Thieno[3,4-b]pyrazine-based oligothiophenes: Simple models of donor-acceptor polymeric materials. Phys. Chem. Chem. Phys. 2014, 16, 7231–7240. [Google Scholar] [CrossRef] [PubMed]
- Nietfeld, J.P.; Schwiderski, R.L.; Gonnella, T.P.; Rasmussen, S.C. Structural effects on the electronic properties of extended fused-ring thieno[3,4-b]pyrazine analogues. J. Org. Chem. 2011, 76, 6383–6388. [Google Scholar] [CrossRef] [PubMed]
- Nietfeld, J.P.; Heth, C.L.; Rasmussen, S.C. Poly(acenaphtho[1,2-b]thieno[3,4-e]pyrazine): A new low band gap conjugated polymer. Chem. Commun. 2008, 981–983. [Google Scholar] [CrossRef] [PubMed]
- Wen, L.; Nietfeld, J.P.; Amb, C.M.; Rasmussen, S.C. New tunable thieno[3,4-b]pyrazine-based materials. Synth. Met. 2009, 159, 2299–2301. [Google Scholar] [CrossRef]
- Karsten, B.P.; Bijleveld, J.C.; Viani, L.; Cornil, J.; Gierschner, J.; Janssen, R.A.J. Electronic structure of small band gap oligomers based on cyclopentadithiophenes and acceptor units. J. Mater. Chem. 2009, 19, 5343–5350. [Google Scholar] [CrossRef]
- Becerril, H.A.; Miyaki, N.; Tang, M.L.; Mondal, R.; Sun, Y.-S.; Mayer, A.C.; Parmer, J.E.; McGehee, M.D.; Bao, Z. Transistor and solar cell performance of donor-acceptor low bandgap copolymers bearing an acenaphtho[1,2-b]thieno[3,4-e]pyrazine (ACTP) motif. J. Mater. Chem. 2009, 19, 591–593. [Google Scholar] [CrossRef]
- Mondal, R.; Ko, S.; Norton, J.E.; Miyaki, N.; Becerril, H.A.; Verploegen, E.; Toney, M.F.; Brédas, J.-L.; McGehee, M.D.; Bao, Z. Molecular design for improved photovoltaic efficiency: Band gap and absorption coefficient engineering. J. Mater. Chem. 2009, 19, 7195–7197. [Google Scholar] [CrossRef]
- Keshtov, M.L.; Godovsky, D.Y.; Khokhlov, A.R.; Mizobe, T.; Fujita, H.; Goto, E.; Hiyoshi, J.; Nakamura, S.; Kawauchi, S.; Higashihara, T.; et al. Synthesis and photovoltaic properties of thieno[3,4-b]-pyrazine or dithieno[3′,2′:3,4;2″,3″:5,6]benzo[1,2-d]imidazole-containing conjugated Polymers. J. Polym. Sci. A Polym. Chem. 2015, 53, 1067–1075. [Google Scholar] [CrossRef]
- Keshtova, M.L.; Marochkina, D.V.; Kochurov, V.S.; Komarov, P.V.; Parashchuk, D.Y.; Trukhanov, V.A.; Khokhlov, A.R. New narrow-band-gap conjugated copolymers based on benzodithiophene: Synthesis and photovoltaic properties. Polym. Sci. Ser. B 2014, 56, 89–108. [Google Scholar] [CrossRef]
- Pu, K.; Shuhendler, A.J.; Jokerst, J.V.; Mei, J.; Gambhir, S.S.; Bao, Z.; Rao, J. Semiconducting polymer nanoparticles as photoacoustic molecular imaging probes in living mice. Nat. Nanotech. 2014, 9, 233–239. [Google Scholar] [CrossRef] [PubMed]
- Petersen, M.H.; Hagemann, O.; Nielsen, K.T.; Jørgensen, M.; Krebs, F.C. Low band gap poly-thieno-pyrazines for solar cells—Introducing the 11-thia-9,13-diaza-cyclopenta[b]triphenylenes. Solar Energy Mater. Sol. Cells 2007, 91, 996–1009. [Google Scholar] [CrossRef]
- Mondal, R.; Miyaki, N.; Becerril, H.A.; Norton, J.E.; Parmer, J.; Mayer, A.C.; Tang, M.L.; Bredas, J.-L.; McGehee, M.D.; Bao, Z. Synthesis of acenaphthyl and phenanthrene based fused-aromatic thieno-pyrazine co-polymers for photovoltaic and thin film transistor applications. Chem. Mater. 2009, 21, 3618–3628. [Google Scholar] [CrossRef]
- Mondal, R.; Ko, S.; Bao, Z. Fused aromatic thienopyrazines: Structure, properties and function. J. Mater. Chem. 2010, 20, 10568–10576. [Google Scholar] [CrossRef]
- Mondal, R.; Ko, S.; Verploegen, E.; Becerril, H.A.; Toney, M.F.; Bao, Z. Side chain engineering of fused aromatic thienopyrazine based low band-gap polymers for enhanced charge carrier mobility. J. Mater. Chem. 2011, 21, 1537–1543. [Google Scholar] [CrossRef]
- Velusamy, M.; Huang, J.-H.; Hsu, Y.-C.; Chou, H.-H.; Ho, K.-C.; Wu, P.-L.; Chang, W.-H.; Lin, J.T.; Chu, C.-W. Dibenzo[f,h]thieno[3,4-b] quinoxaline-based small molecules for efficient bulk-hetero-junction solar cells. Org. Lett. 2009, 11, 4898–4901. [Google Scholar] [CrossRef] [PubMed]
- Mak, C.S.K.; Leung, Q.Y.; Chan, W.K.; Djurisic, A.B. Optically tunable intramolecular charge transfer dyes for vacuum deposited bulk heterojunction solar cells. Nanotechnology 2008, 19, 424008. [Google Scholar] [CrossRef] [PubMed]
- Wang, Z.; Gao, Z.; Feng, Y.; Liu, Y.; Yang, B.; Liu, D.; Lv, Y.; Lu, P.; Ma, Y. Highly π-extended polymers based on phenanthro-pyrazine: Synthesis, characterization, theoretical calculation and photovoltaic properties. Polymer 2013, 54, 6191–6199. [Google Scholar] [CrossRef]
- Nishida, J.; Murakami, S.; Tada, H.; Yamashita, Y. n-Type and ambipolar fet characteristics using pyra-zinophenanthrolines linked with oligothiophenes. Chem. Lett. 2006, 35, 1236–1237. [Google Scholar] [CrossRef]
- Čík, G.; Krajčovič, J.; Veis, P.; Végh, D.; Šeršen, F. Characterization and properties of the copolymer of dipyrido-[3,2-a;2′,3′-c]-thien-[3,4-c]azine with 3-dodecylthiophene. Synth. Met. 2001, 118, 111–119. [Google Scholar] [CrossRef]
- Mondal, R.; Becerril, H.A.; Verploegen, E.; Kim, D.; Norton, J.E.; Ko, S.; Miyaki, N.; Lee, S.; Toney, M.F.; Bredas, J.-L.; et al. Thiophene-rich fused-aromatic thienopyrazine acceptor for donor–acceptor low band-gap polymers for OTFT and polymer solar cell applications. J. Mater. Chem. 2010, 20, 5823–5834. [Google Scholar] [CrossRef]
- Schwiderski, R.L.; Rasmussen, S.C. Synthesis and characterization of thieno[3,4-b]pyrazine-based terthienyls: Tunable precursors for low band gap conjugated materials. J. Org. Chem. 2013, 78, 5453–5462. [Google Scholar] [CrossRef] [PubMed]
- Kitamura, C.; Tanaka, S.; Yamashita, Y. Design of narrow-bandgap polymers. Syntheses and properties of monomers and polymers containing aromatic-donor and o-quinoid-acceptor units. Chem. Mater. 1996, 8, 570–578. [Google Scholar] [CrossRef]
- Wen, L.; Rasmussen, S.C. Synthesis and structural characterization of 2,5-dihalo-3,4-dinitrothiophenes. J. Chem. Crystallogr. 2007, 37, 387–398. [Google Scholar] [CrossRef]
- Sen, C.P.; Shrestha, R.G.; Shrestha, L.K.; Ariga, K.; Valiyaveettil, S. Low-band-gap BODIPY conjugated copolymers for sensing volatile organic compounds. Chem. Eur. J. 2015, 21, 17344–17354. [Google Scholar] [CrossRef] [PubMed]
- Mikroyannidis, J.A.; Tsagkournos, D.V.; Balraju, P.; Sharma, G.D. Efficient bulk heterojunction solar cells using analternating phenylenevinylene copolymer with dithenyl(thienothiadiazole) segments as donor and PCBM or modified PCBM as acceptor. Sol. Energy Mater. Sol. Cells 2011, 95, 3025–3035. [Google Scholar] [CrossRef]
- Ogawa, K.; Stafford, J.A.; Rothstein, S.D.; Tallman, D.E.; Rasmussen, S.C. Nitrogen-functionalized polythiophenes: Potential routes to new low band gap materials. Synth. Met. 2005, 152, 137–140. [Google Scholar] [CrossRef]
- Kenning, D.D.; Mitchell, K.A.; Calhoun, T.R.; Funfar, M.R.; Sattler, D.J.; Rasmussen, S.C. Thieno-[3,4-b]pyrazines: Synthesis, structure, and reactivity. J. Org. Chem. 2002, 67, 9073–9076. [Google Scholar] [CrossRef] [PubMed]
- Rosenblum, P. Solubility in the potassium stannate-potassium hydroxide-water system at 0 to 95.0 °C. Can. J. Chem. 1968, 46, 2715–2719. [Google Scholar] [CrossRef]
- Mo, H.; Radke, K.R.; Ogawa, K.; Heth, C.L.; Erpelding, B.T.; Rasmussen, S.C. Solution and solid-state properties of highly fluorescent dithieno[3,2-b:2′,3′-d]pyrrole-based oligothiophenes. Phys. Chem. Chem. Phys. 2010, 12, 14585–14595. [Google Scholar] [CrossRef] [PubMed]
- Turro, N.J. Modern Molecular Photochemistry; University Science Books: Sausalito, CA, USA, 1991; p. 106. [Google Scholar]
- Birer, Ö.; Moreschini, P.; Lehmann, K.K.; Scoles, G. Electronic spectroscopy of nonalternant hydrocarbons inside helium nanodroplets. J. Phys. Chem. A 2007, 111, 12200–12209. [Google Scholar] [CrossRef] [PubMed]
- Zhou, W.-Q.; Peng, H.-P.; Xu, J.-K.; Xia, H.-Y.; Pu, S.-Z. Electrochemical polymerization of phenanthrene in mixed electrolytes of boron trifluoride diethyl etherate and concentrated sulfuric acid. Polym. Int. 2008, 57, 92–98. [Google Scholar] [CrossRef]
- Han, Z.-B.; Cheng, X.-N.; Chen, X.-M. Effect of the size of aromatic chelate ligands on the frameworks of metal dicarboxylate polymers: From helical chains to 2-D networks. Cryst. Growth Des. 2005, 5, 695–700. [Google Scholar] [CrossRef]
- Cardona, C.M.; Li, W.; Kaifer, A.E.; David Stockdale, D.; Bazan, G.C. Electrochemical considerations for determining absolute frontier orbital energy levels of conjugated polymers for solar cell applications. Adv. Mater. 2011, 23, 2367–2371. [Google Scholar] [CrossRef] [PubMed]
- Kissinger, P.T.; Preddy, C.R.; Shoup, R.E.; Heineman, W.R. Fundametal concepts of analytical electrochemistry. In Laboratory Techniques in Electroanalytical Chemistry, 2nd ed.; Kissinger, P.T., Heineman, W.R., Eds.; Marcel Dekker, Inc.: New York, NY, USA, 1996; pp. 11–50. [Google Scholar]
- Waltman, R.J.; Diaz, A.F.; Bargon, J. Electroactive properties of polyaromatic molecules. J. Electrochem. Soc. 1984, 131, 1452–1456. [Google Scholar] [CrossRef]
- Waltman, R.J.; Bargon, J. Electrically conducting polymers: A review of the electropolymerization reaction, of the effects of chemical structure on polymer film properties, and of applications towards technology. Can. J. Chem. 1986, 64, 76–95. [Google Scholar] [CrossRef]
- Gurunathan, K.; Murugan, A.V.; Marimuthu, R.; Mulik, U.P.; Amalnerkar, D.P. Electrochemically synthesised conducting polymeric materials for applications towards technology in electronics, optoelectronics and energy storage devices. Mater. Chem. Phys. 1999, 61, 173–191. [Google Scholar] [CrossRef]
- Larson, R.C.; Iwamoto, R.T.; Adams, R.N. Reference electrodes for voltammetry in acetonitrile. Anal. Chim. Acta 1961, 25, 371–374. [Google Scholar] [CrossRef]
- Turro, N.J. Modern Molecular Photochemistry; University Science Books: Sausalito, CA, USA, 1991; pp. 86–90. [Google Scholar]










| Terthienyl | S0 → S1 (ICT) | S0 → S2 (π → π*) | ||||
|---|---|---|---|---|---|---|
| λma (nm) | ε (M−1·cm−1) | f | λmax (nm) | ε (M−1·cm−1) | f | |
| T1 2 | 492 | 12100 | 0.242 | 339 | 21000 | 0.268 |
| T2 2 | 540 | 7800 | 0.123 | 338 | 45100 | 0.908 |
| T3 | 547 | 5000 | 0.139 | 352 | 40400 | 0.822 |
| T4 | 629 | 5800 | 0.097 | 361 | 47500 | 1.183 |
| T5 | 644 | 3800 | 0.060 | 360 | 39300 | 0.793 |
| Terthienyl | Oxidation | Reduction | EHOMO (eV) 2 | ELUMO (eV) 3 | |||
|---|---|---|---|---|---|---|---|
| Epa (V) | E½ (red1, V) | ΔE (mV) | Epc (red2, V) | ΔE (mV) | |||
| T1 4 | 0.50 | −1.68 | 100 | - | - | −5.39 | −3.46 |
| T2 4 | 0.54 | −1.46 | 80 | - | - | −5.41 | −3.80 |
| T3 | 0.49 | −1.35 5 | - | −2.55 | 100 | −5.37 | −3.82 |
| T4 | 0.43 | −1.28 | 80 | −1.90 | 120 | −5.29 | −3.86 |
| T5 | 0.51 | −1.23 | 110 | −1.82 | 130 | −5.40 | −3.91 |
| Polymer | Oxidation | Reduction | EHOMO (eV) 2 | ELUMO (eV) 3 | Egelec (eV) | ||
|---|---|---|---|---|---|---|---|
| Epa (V) | Eonset (V) | Epc (V) | Eonset (V) | ||||
| P[T1] 4 | 0.54, 0.85 | 0.32 | −1.48, −1.82 | −1.24 | −5.37 | −3.81 | 1.56 |
| P[T2] 4 | 0.58 | 0.33 | −1.39 | −1.00 | −5.38 | −4.05 | 1.33 |
| P[T3] | 0.45 | −0.25 | −1.37, −1.63 | −1.05 | −4.80 | −4.00 | 0.80 |
| P[T4] | 0.24 | −0.07 | −1.28 | −0.95 | −4.98 | −4.10 | 0.88 |
| P[T5] | 0.51 | 0.00 | −1.25 | −0.90 | −5.05 | −4.15 | 0.90 |
| Polymer | λmax (nm) | λonset (nm) | Egopt (eV) |
|---|---|---|---|
| P[T1] 2 | 626 | 850 | 1.46 |
| P[T2] 1 | 712 | 1230 | 1.01 |
| P[T3] | 750 | 1250 | 0.99 |
| P[T4] | 880 | 1400 | 0.89 |
| P[T5] | 1060 | 1510 | 0.82 |
© 2016 by the authors; licensee MDPI, Basel, Switzerland. This article is an open access article distributed under the terms and conditions of the Creative Commons Attribution (CC-BY) license (http://creativecommons.org/licenses/by/4.0/).
Share and Cite
Konkol, K.L.; Schwiderski, R.L.; Rasmussen, S.C. Synthesis, Characterization, and Electropolymerization of Extended Fused-Ring Thieno[3,4-b]pyrazine-Based Terthienyls. Materials 2016, 9, 404. https://doi.org/10.3390/ma9060404
Konkol KL, Schwiderski RL, Rasmussen SC. Synthesis, Characterization, and Electropolymerization of Extended Fused-Ring Thieno[3,4-b]pyrazine-Based Terthienyls. Materials. 2016; 9(6):404. https://doi.org/10.3390/ma9060404
Chicago/Turabian StyleKonkol, Kristine L., Ryan L. Schwiderski, and Seth C. Rasmussen. 2016. "Synthesis, Characterization, and Electropolymerization of Extended Fused-Ring Thieno[3,4-b]pyrazine-Based Terthienyls" Materials 9, no. 6: 404. https://doi.org/10.3390/ma9060404
APA StyleKonkol, K. L., Schwiderski, R. L., & Rasmussen, S. C. (2016). Synthesis, Characterization, and Electropolymerization of Extended Fused-Ring Thieno[3,4-b]pyrazine-Based Terthienyls. Materials, 9(6), 404. https://doi.org/10.3390/ma9060404

