Next Article in Journal
Performance-Enhanced Textured Silicon Solar Cells Based on Plasmonic Light Scattering Using Silver and Indium Nanoparticles
Next Article in Special Issue
The Use of an Edible Mushroom-Derived Renewable Carbon Material as a Highly Stable Electrocatalyst towards Four-Electron Oxygen Reduction
Previous Article in Journal
Wear Improvement of Tools in the Cold Forging Process for Long Hex Flange Nuts
 
 
Font Type:
Arial Georgia Verdana
Font Size:
Aa Aa Aa
Line Spacing:
Column Width:
Background:
Article

Inexpensive Ipomoea aquatica Biomass-Modified Carbon Black as an Active Pt-Free Electrocatalyst for Oxygen Reduction Reaction in an Alkaline Medium

1
College of Chemistry and Chemical Engineering, Chongqing University, Chongqing 400044, China
2
Research Institute for New Materials Technology, Chongqing University of Arts and Sciences, Chongqing 402160, China
*
Author to whom correspondence should be addressed.
Materials 2015, 8(10), 6658-6667; https://doi.org/10.3390/ma8105331
Submission received: 13 July 2015 / Revised: 22 August 2015 / Accepted: 26 August 2015 / Published: 25 September 2015
(This article belongs to the Special Issue Porous Carbonaceous Materials from Biomass)

Abstract

:
The development of inexpensive and active Pt-free catalysts as an alternative to Pt-based catalysts for oxygen reduction reaction (ORR) is an essential prerequisite for fuel cell commercialization. In this paper, we report a strategy for the design of a new Fe–N/C electrocatalyst derived from the co-pyrolysis of Ipomoea aquatica biomass, carbon black (Vulcan XC-72R) and FeCl3·6H2O at 900 °C under nitrogen atmosphere. Electrochemical results show that the Fe–N/C catalyst exhibits higher electrocatalytic activity for ORR, longer durability and higher tolerance to methanol compared to a commercial Pt/C catalyst (40 wt %) in an alkaline medium. In particular, Fe–N/C presents an onset potential of 0.05 V (vs. Hg/HgO) for ORR in an alkaline medium, with an electron transfer number (n) of ~3.90, which is close to that of Pt/C. Our results confirm that the catalyst derived from I. aquatica and carbon black is a promising non-noble metal catalyst as an alternative to commercial Pt/C catalysts.

1. Introduction

Several studies have aimed to discover a large reserve of renewable and environment-friendly alternative energy sources, because of worsened environmental pollution and energy shortage. Fuel cells (FCs) are novel efficient, reliable, environment-friendly and flexible electric power generators, which can directly convert chemical energy into electrical energy with high conversion efficiency. The products of FC power generators, namely carbon dioxide and water, are nonhazardous to the environment. However, these power generators present slow kinetics of the cathodic oxygen reduction reaction (ORR) and therefore require the use of catalysts. Currently, the most effective and widely-used ORR electrocatalysts are those based on Pt. Nevertheless, Pt-based electrocatalysts are expensive and present poor methanol tolerance and low abundance, thereby hindering their commercialization [1,2,3,4,5]. In this regard, non-noble electrocatalysts with good catalytic activity, excellent methanol tolerance and high yield for FCs must be explored to replace Pt-based catalysts [6,7,8,9].
In 1964, Jasinski [10] reported that the transition metal macrocyclic cobalt phthalocyanine exhibits electrocatalytic activity for ORR. Since then, N-containing transition metal macrocyclic compounds have attracted considerable attention as promising alternatives to Pt-based ORR catalysts in FCs. Several scientists have investigated the oxygen-reduction catalytic activity of inexpensive electrocatalysts by using different N-containing carbon materials as effective precursors [11,12,13]. These carbon materials include crude biomass, such as hemin [14,15,16,17,18], Typha orientalis [19], monkey grass [20], soybeans [21] and soya milk [22], which have attracted considerable interest, because they are abundant, environment friendly and inexpensive [23,24,25,26,27]. All of these studies have focused on using natural porphyrinato complexes containing hemin, T. orientalis and monkey grass to form catalytic sites.
Ipomoea aquatica, commonly known as swamp morning glory, is a widely-cultivated vegetable in the rural area of southern China. I. aquatica leaves contain abundant chlorophyll and Mg porphyrins, and the latter can be used as a precursor for the development of inexpensive ORR catalysts.
In this work, Fe–N/C catalyst was synthesized through a simple and readily-scalable approach by using I. aquatica leaves as the precursor. This approach comprises facile acid leaching and post-treatment in nitrogen gas (N2) with Fe salts and carriers. The fabricated Fe–N/C catalyst exhibits excellent catalytic activity and 4e-pathway selectivity toward ORR, durability and methanol tolerance in an alkaline medium.

2. Experimental Section

2.1. Chemicals and Reagents

All of the reagents were of analytical grade and used without further purification. I. aquatica was obtained from a vegetable market in Chongqing, China, and was washed with distilled water before crushing. N2 (99.9%) was purchased from Shang Yuan Company (Chongqing, China). Carbon black (Vulcan XC-72R) was acquired from Cabot® (Cabot Corporation, Boston, MA, USA). Commercially available 40 wt % Pt/C catalyst (JM Pt/C 40 wt %) was purchased from Johnson Matthey Corp (Yantai, China).

2.2. Catalyst Preparation

Typically, fresh leaves of I. aquatica (hereafter IA) were initially washed and dried at 90 °C for 36 h. The dried leaves were subsequently ground into powder and used as a starting material. The dried leaf powder was mixed with 80 mL of 0.5 M H2SO4 (Gai Tang Chemical Co., Ltd., Chengdu, China), and the obtained suspension was stirred and etched for 12 h. The product (denoted as Ipomoea aquatic after acid etching (IAA)) was then collected by centrifugation at 4500 rpm for 20 min to remove large-sized products and then dried at 90 °C for 9 h.
Briefly, 0.1 g of IAA was mixed with carbon black support (at a mass ratio of 1:1) and FeCl3·6H2O (Zhiyuan Chemical Products Co., Ltd., Zhengzhou, China) through ball milling for 30 min. The obtained substance (Fe–N/C) was treated in flowing N2 at 900 °C for 2 h.
For control, Fe–N/C was subjected to acid leaching using 5 M H2SO4 (Gai Tang Chemical Co., Ltd., Chengdu, China) solution at room temperature for 24 h. The as-prepared sample was marked as N/C (Fe). N/C was obtained through heat treatment of IAA and the carbon black support at the same mass ratio without FeCl3·6H2O.

2.3. Characterization

Electrochemical measurements were conducted on a CHI 660 electrochemical workstation (CH Instruments, Austin, TX, USA), with a common three-electrode electrochemical cell. A platinum wire and an Hg/HgO (1 M KOH (Heng Aode Technology Co., Ltd., Beijing, China)) electrode were used as counter and reference electrodes, respectively. A rotating disk electrode (RDE) with a glassy carbon (GC) electrode (5-mm diameter, Tianjing Lanlike Electrochemical Instruments, Tianjin, China) coated with catalyst ink was used as a working electrode. Typically, 10 μL of the catalyst suspension dispersed in 0.5 wt % Nafion/isopropanol solution (DuPont, Wilmington, DE, USA) were dropped onto the pre-polished GC disk surface and then dried at room temperature. Sample loading is ca. 10 mg·cm−2, and the mass loading of the commercial Pt/C-modified electrode is 5 mg·cm−2. All RDE experiments for ORR were performed within −0.7 to 0.3 V (vs. HgO/Hg) at a scan rate of 5 mV·s−1 in O2-saturated 0.1 M KOH solution.
X-ray photoelectron spectra (XPS) were obtained with a VG Escalab220 iXL spectrometer (VG Scientific, St Leonards-on-Sea, UK) fitted with an Al Kα (hν = 1486.69 eV) X-ray source to investigate surface composition and chemical status of the catalyst. X-ray diffraction (XRD) analysis was also conducted using a Shimadzu XRD-6000 X-ray diffractometer (Shimadzu, Kyoto, Japan) with Cu Kα1 radiation (λ = 1.54178 Å) at scan rate of 4° min−1.

3. Results and Discussion

The electrocatalytic activities of N/C, Fe–N/C and N/C (Fe) for ORR in 0.1 M KOH solution saturated with O2, as well as Fe–N/C in N2-saturated 0.1 M KOH solution, are shown in Figure 1. The onset potential (Eonset) and peak potential (Ep) are used to evaluate the electrocatalytic activities of the samples. In the figure, the linear sweep voltammograms (LSVs) of N/C, Fe–N/C and N/C (Fe) in O2-saturated solution present well-defined cathodic peaks. Fe–N/C exhibits the highest positive Eonset and Ep values over N/C and N/C (Fe), and is thus regarded as the sample with the highest electrocatalytic activity. However, no characteristic peak curves are present in the LSV of Fe–N/C in N2-saturated 0.1 M KOH solution, which demonstrates the excellent electrocatalytic activity of Fe–N/C toward ORR.
Figure 1. Linear sweep voltammograms of N/C, Fe–N/C and N/C (Fe) at a scan rate of 50 mV·s−1 in O2- and N2-saturated 0.1 M KOH solutions.
Figure 1. Linear sweep voltammograms of N/C, Fe–N/C and N/C (Fe) at a scan rate of 50 mV·s−1 in O2- and N2-saturated 0.1 M KOH solutions.
Materials 08 05331 g001
The catalyst Fe–N/C exhibits higher catalytic activity than N/C because of the participation of Fe in the heat treatment. To investigate whether or not Fe is an integral part of the active site in the catalyst, we determined the catalytic activity of N/C and N/C (Fe). Metal elements do not participate in the preparation of N/C, whereas Fe is involved at the beginning of the pyrolysis of N/C (Fe), but soaked in acid after the process. The Eonset and Ep values of N/C (Fe) are similar to those of N/C, but shift negatively relative to those of Fe–N/C upon soaking out of Fe. These results indicate that Fe is an integral part of the efficient ORR catalyst, and Fe–N/C exhibits the highest electrocatalytic activity among the sample catalysts.
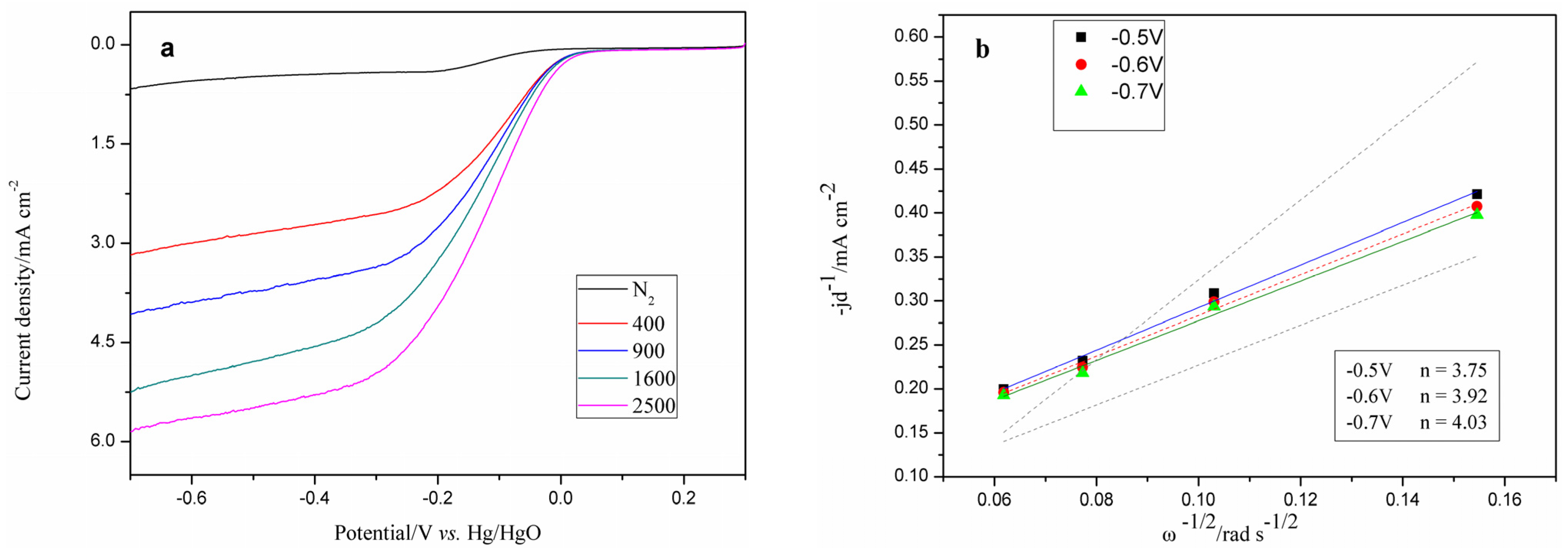
RDE measurements were performed under different rotation rates to investigate the electrocatalytic mechanism of catalyst Fe–N/C for ORR and to determine the dominant processes in the alkaline medium (0.1 M KOH). Figure 2a shows that the current density on the Fe–N/C electrode increases with increasing rotation speed (from 400 to 2500 rpm). The overall number of transferred electrons per oxygen molecule (n) involved in the ORR process is determined by the Koutecky–Levich (K–L) Equation [26]:
1 j d = 1 j k + 1 0.62 n F C O D O 2 / 3 ν 1 / 6 ω 1 / 2
where jd is the diffusion-limited current density, jk is the kinetic current density of the ORR, F is the Faraday constant (96,485 C·mol−1), CO is the O2 saturation concentration in the aqueous solution (1.2 × 10−6 mol·cm−3), DO is the O2 diffusion coefficient in 0.1 M KOH electrolyte (1.9 × 10−5 cm2·s−1), ν is the kinetic viscosity of the solution (0.01 cm2·s−1) and ω is the electrode rotation rate (rpm). Figure 2b shows the K–L plot of jd−1 vs. ω−1/2 for Fe–N/C.
The parallelism and linearity of the K–L plots indicate consistent electron transfer across different potentials and first-order reaction kinetics with respect to the dissolved oxygen concentration [28]. The n value for ORR of Fe–N/C is ~3.90 from −0.5 to −0.7 V vs. that of the HgO/Hg electrode. The obtained value is considerably close to four, which is the n value for the ORR of commercial Pt/C. ORR catalyzed by Fe–N/C involves a mixture of two- and four-electron transfer pathways, but is dominated by the latter to mainly produce H2O. O2 reduction via the 4e-pathway is highly desirable to obtain maximum energy capacity. These results prove that Fe–N/C is a suitable alternative cathodic catalyst to commercial Pt-based catalysts for FC applications with reduced cost.
Figure 2. (a) Rotating disk electrode (RDE) voltammograms of the Fe–N/C electrode in O2-saturated 0.1 M KOH under different rotation rates at a scan rate of 5 mV·s−1. (b) Koutecky–Levich plots of the Fe–N/C electrode at different potentials.
Figure 2. (a) Rotating disk electrode (RDE) voltammograms of the Fe–N/C electrode in O2-saturated 0.1 M KOH under different rotation rates at a scan rate of 5 mV·s−1. (b) Koutecky–Levich plots of the Fe–N/C electrode at different potentials.
Materials 08 05331 g002
The catalyst Fe–N/C exhibits excellent electrocatalytic activity with positive Eonset and Ep values for ORR. Nevertheless, stability and immunity toward methanol crossover are also required for practical applications. Pt-based catalysts demonstrate low stability and poor immunity toward methanol crossover. These limitations hindered the use of Pt-based catalysts in FCs [29].
The long-term stability of the Fe–N/C electrocatalyst was evaluated using an accelerated aging test (AAT) by continuous scanning 2000 cycles at a scan rate of 100 mV·s−1 and a potential range of −0.7 to 0.3 V (vs. Hg/HgO) in O2-saturated 0.1 M KOH solution. The ORR performance of Fe–N/C before and after AAT was assessed using the same three-electrode cell described in Section 2.3. For comparison, the stability of the JM Pt/C 40 wt % catalyst was also measured and is shown in the inset of Figure 3. The Eonset and half-wave peak (Ehw) negatively shift by 9 and 13 mV at the Fe–N/C-coated electrode after AAT relative to those before AAT. Moreover, the Eonset and Ehw of the JM Pt/C 40 wt % catalyst negatively shift by 54 and 36 mV under the same condition. Thus, the catalyst Fe–N/C exhibits higher stability than JM Pt/C 40 wt %.
As shown in Figure 4, the catalyst JM Pt/C 40 wt % and Fe–N/C catalysts show an obvious cathodic current response upon the introduction of O2 into 0.1 M KOH solution. By contrast, a different phenomenon occurs when 5.0 M methanol (Chuandong Chemical Industry Co., Ltd., Chongqing, China) was added. The amperometric response of catalyst Fe–N/C remains stable with increasing amounts of methanol added to the solution at a time interval of 200 s. Meanwhile, catalyst JM Pt/C 40 wt % demonstrates a step-down decrease in cathodic current response with successive addition of methanol. These results confirm that the Fe–N/C catalyst exhibits significantly satisfactory immunity toward methanol.
Figure 3. Oxygen reduction reaction (ORR) polarization curves for Fe–N/C and Pt/C (inset) before and after the accelerated aging test (AAT) in 0.1 M KOH solution at 1600 rpm.
Figure 3. Oxygen reduction reaction (ORR) polarization curves for Fe–N/C and Pt/C (inset) before and after the accelerated aging test (AAT) in 0.1 M KOH solution at 1600 rpm.
Materials 08 05331 g003
Figure 4. Amperometric current-time curves of Fe–N/C and Pt/C in N2-saturated 0.1 M KOH solution under magnetic stirring (600 rpm) and N2-protection from 0 to 300 s, followed by immediate introduction of O2. The applied potential is −0.1 V. The arrows indicate the sequential addition of 5.0 M methanol.
Figure 4. Amperometric current-time curves of Fe–N/C and Pt/C in N2-saturated 0.1 M KOH solution under magnetic stirring (600 rpm) and N2-protection from 0 to 300 s, followed by immediate introduction of O2. The applied potential is −0.1 V. The arrows indicate the sequential addition of 5.0 M methanol.
Materials 08 05331 g004
Although catalyst Fe–N/C also exhibits slightly higher overpotential toward ORR than commercial catalyst JM Pt/C 40 wt %, the former contains an electron transfer number (n) similar to that of Pt/C and presents high tolerance to methanol and stability; hence, catalyst Fe–N/C can be used as an alternative active ORR catalyst with considerable potential for FC and metal-air battery applications.
Figure 5 shows the XRD patterns of the three catalyst samples. The diffraction peaks at 2θ = 25° and 44° corresponds to the (002) and (101) planes of carbon, respectively. A crystal peak in catalyst Fe–N/C may be due to the incorporation of FeCl3·6H2O. The XRD test results of the three samples show that adding FeCl3·6H2O significantly affects the structure of the catalyst. Nevertheless, no diffraction peaks for Fe are found in catalyst N/C (Fe), which indicates that this element is mostly removed through acid leaching.
Figure 5. XRD patterns of N/C, Fe–N/C and N/C (Fe).
Figure 5. XRD patterns of N/C, Fe–N/C and N/C (Fe).
Materials 08 05331 g005
The XPS measurements of the three catalysts were conducted to investigate surface composition and chemical status of the catalysts, and the results are shown in Figure 6. The XPS survey spectra of catalyst N/C, Fe–N/C and N/C (Fe) (Figure 6a) show C1s, O1s, N1, and less noticeable Fe2p signals (in Fe–N/C). Fe was not detected by XPS; nevertheless, this element could not be considered as absent from the material surface, because the XPS technique cannot accurately detect the presence of Fe because of its limited detection depth.
The C1s high-resolution spectra of the products are slightly asymmetric, as shown in Figure 6b. Each spectrum can be deconvoluted into two peaks, with a dominant peak at 284.5 eV and a small peak at 285.5 eV. The dominant peak is attributed to the sp2-hybridized C–C bond, and the small peak indicates the existence of functional groups, such as C–OH [30] and C–N configurations [20,31].
In the complex N1s high-resolution spectra (Figure 6c), pyridinic-N, Fe–Nx, pyrrolic-N and oxidized pyridinic-N species are clearly doped. The peak at 398.6 ± 0.2 eV corresponds to pyridinic-N species, whereas that at 399.6 ± 0.2 eV is speculated as Fe–Nx [32,33,34]; meanwhile, the peak at 400.8 ± 0.1 eV is ascribed to the pyrrolic-N structure [32,34], and that at 402–405 eV is due to oxidized pyridinic-N(N+–O) species [32,33,35,36,37].
The appearance of the Fe–Nx characteristic peak further verifies that the catalyst comprises Fe. With the high levels of Fe–Nx and good ORR activity of Fe–N/C as bases, the following may be assumed: (1) N and Fe may have contributed to the excellent activity in alkaline solutions; and (2) Fe–Nx may be an effective active site. Furthermore, the N/C (Fe) sample exhibits slightly higher ORR activity than N/C, and the content of pyrrolic-N in N/C (Fe) is higher than that in N/C (Table 1); therefore, we could deduce that pyrrolic-N may be responsible for ORR activity.
Figure 6. (a) XPS survey spectra of N/C, Fe–N/C and N/C (Fe). (b) XPS spectra of C1s of N/C, Fe–N/C and N/C (Fe). (c) XPS spectra of N1s of N/C, Fe–N/C and N/C (Fe).
Figure 6. (a) XPS survey spectra of N/C, Fe–N/C and N/C (Fe). (b) XPS spectra of C1s of N/C, Fe–N/C and N/C (Fe). (c) XPS spectra of N1s of N/C, Fe–N/C and N/C (Fe).
Materials 08 05331 g006
Table 1. Peak positions, areas, full widths at half maximum (FWHM) and concentrations of N1s species in N/C, Fe–N/C and N/C (Fe) obtained from the XPS results.
Table 1. Peak positions, areas, full widths at half maximum (FWHM) and concentrations of N1s species in N/C, Fe–N/C and N/C (Fe) obtained from the XPS results.
CatalystPeakAreaFWHMContent
N/C398.497 eV8032.600 eV35%
400.936 eV9092.300 eV40%
404.734 eV5672.200 eV25%
Fe–N/C399.436 eV23281.603 eV100%
N/C(Fe)398.803 eV5992.167 eV25%
400.743 eV121592.304 eV50%
404.173 eV6122.050 eV25%

4. Conclusions

Fe–N/C is synthesized through the co-pyrolysis of I. aquatica leaves, carbon black (Vulcan XC-72R) and FeCl3·6H2O under nitrogen atmosphere. Fe is an integral part of the active Fe–N/C catalyst site. Electrochemical results show that Fe–N/C is an active catalyst with a four-electron transfer pathway toward ORR and with good stability and immunity toward methanol crossover. All of the results have proven that the Fe–N/C catalyst can be a promising electrocatalyst with significant practical value.

Acknowledgments

This work was financially supported by the Natural Science Fund of China (NSFC21273292), the Basic and Frontier Research Program of Chongqing Municipality (CSTC2014jcyjA50038) and the Talent Introduction Project of Chongqing University of Arts and Sciences (R2014CJ02).

Author Contributions

Yaqiong Zhang contributed significantly to analysis and manuscript preparation, Also performed the data analyses and wrote the manuscript; Chaozhong Guo provided help in revising the manuscript. Huijuan Wu and Zili Ma contributed to the conception of the study. Changguo Chen helped perform the analysis with constructive discussions.

Conflicts of Interest

The authors declare no conflict of interest.

References

  1. Lim, B.; Jiang, M.; Camargo, P.H.C.; Cho, E.C.; Tao, J.; Lu, X.; Zhu, Y.; Xia, Y. Pd-Pt bimetallic nanodendrites with high activity for oxygen reduction. Science 2009, 324, 1302–1305. [Google Scholar] [CrossRef] [PubMed]
  2. Morozan, A.; Jégou, P.; Jousselme, B.; Palacin, S. Electrochemical performance of annealed cobalt–benzotriazole/CNTs catalysts towards the oxygen reduction reaction. Phys. Chem. Chem. Phys. 2011, 13, 21600–21607. [Google Scholar] [CrossRef] [PubMed]
  3. Bashyam, R.; Zelenay, P. A class of non-precious metal composite catalysts for fuel cells. Nature 2006, 443, 63–66. [Google Scholar] [CrossRef] [PubMed]
  4. Guo, C.Z.; Liao, W.L.; Sun, L.T.; Chen, C.G. Synthesis of non-noble nitrogen-containing catalysts for cathodic oxygen reduction reaction: A critical review. Int. J. Electrochem. Sci. 2015, 10, 2467–2477. [Google Scholar]
  5. Poh, C.K.; Lim, S.H.; Tian, Z.; Lai, L.; Feng, Y.P.; Shen, Z.; Lin, J. Pt-WxC nano-composites as an efficient electrochemical catalyst for oxygen reduction reaction. Nano Energy 2013, 2, 28–39. [Google Scholar]
  6. Zheng, Y.; Jiao, Y.; Jaroniec, M.; Jin, Y.; Qiao, S.Z. Nanostructured metal-free electrochemical catalysts for highly efficient oxygen reduction. Small 2012, 8, 3550–3566. [Google Scholar] [CrossRef] [PubMed]
  7. Guo, C.Z.; Chen, C.G.; Luo, Z.L. A novel nitrogen-containing electrocatalyst for oxygen reduction reaction from blood protein pyrolysis. J. Power Sour. 2014, 245, 841–845. [Google Scholar] [CrossRef]
  8. Nabae, Y.; Kuang, Y.; Chokai, M.; Ichihara, T.; Isoda, A.; Hayakawa, T.; Aoki, T. High performance Pt-free cathode catalysts for polymer electrolyte membrane fuel cells prepared from widely available chemicals. J. Mater. Chem. A 2014, 2, 11561–11564. [Google Scholar] [CrossRef]
  9. Strickland, K.; Miner, E.; Jia, Q.; Tylus, U.; Ramaswamy, N.; Liang, W.; Sougrati, M.-T.; Jaouen, F.; Mukerjee, S. Highly active oxygen reduction non-platinum group metal electrocatalyst without direct metal-nitrogen coordination. Nature Commun. 2015, 6. [Google Scholar] [CrossRef] [PubMed]
  10. Jasinski, R. A new fuel cell cathode catalyst. Nature 1964, 201, 1212–1213. [Google Scholar] [CrossRef]
  11. Wang, K.; Wang, H.; Ji, S.; Feng, H.; Linkov, V.; Wang, R. Biomass-derived activated carbon as high-performance non-precious electrocatalyst for oxygen reduction. RSC Adv. 2013, 3, 12039–12042. [Google Scholar] [CrossRef]
  12. Si, Y.J.; Chen, C.G.; Yin, W.; Cai, H. Electrocatalytic activity of non-precious metal catalyst Co–N/C toward oxygen reduction reaction. Chin. Chem. Lett. 2010, 21, 983–986. [Google Scholar] [CrossRef]
  13. Guo, C.; Liao, W.; Li, Z.; Chen, C. Exploration of the catalytically active site structures of animal biomass-modified on cheap carbon nanospheres for oxygen reduction reaction with high activity, stability and methanol-tolerant performance in alkaline medium. Carbon 2015, 85, 279–288. [Google Scholar] [CrossRef]
  14. Guo, C.Z.; Chen, C.G.; Luo, Z.L. The structural changes of blood pyropolymers and their beneficial electrocatalytic activity toward oxygen reduction. Chin. Sci. Bull. 2013, 58, 3698–3703. [Google Scholar] [CrossRef]
  15. Maruyama, J.; Fukui, N.; Kawaguchi, M.; Abe, I. Application of nitrogen-rich amino acids to active site generation in oxygen reduction catalyst. J. Power Sour. 2008, 182, 489–495. [Google Scholar] [CrossRef]
  16. Wang, Q.; Zhou, Z.Y.; Chen, D.J.; Lin, J.L.; Ke, F.S.; Xu, G.L.; Sun, S.G. Study of pyrolyzed hemin/C as non-platinum cathodic catalyst for direct methanol fuel cells. Sci. China Chem. 2010, 53, 2057–2062. [Google Scholar] [CrossRef]
  17. Jiang, R.; Tran, D.T.; McClure, J.; Chu, D. Heat-treated hemin supported on graphene nanoplatelets for the oxygen reduction reaction. Electrochem. Commun. 2012, 19, 73–76. [Google Scholar] [CrossRef]
  18. Xi, P.B.; Liang, Z.X.; Liao, S.J. Stability of hemin/C electrocatalyst for oxygen reduction reaction. Int. J. Hydrog. Energy 2012, 37, 4606–4611. [Google Scholar] [CrossRef]
  19. Chen, P.; Wang, L.K.; Wang, G.; Gao, M.R.; Ge, J.; Yuan, W.J.; Shen, Y.H.; Xie, A.J.; Yu, S.H. Nitrogen-doped nanoporous carbon nanosheets derived from plant biomass: An efficient catalyst for oxygen reduction reaction. Energy Environ. Sci. 2014, 7, 4095–4103. [Google Scholar] [CrossRef]
  20. Zhang, H.; Wang, Y.; Wang, D.; Li, Y.; Liu, X.; Liu, P.; Yang, H.; An, T.; Tang, Z.; Zhao, H. Hydrothermal transformation of dried grass into graphitic carbon-based high performance electrocatalyst for oxygen reduction reaction. Small 2014, 10, 3371–3378. [Google Scholar] [CrossRef] [PubMed]
  21. Li, W.; Yue, Z.; Wang, C.; Zhang, W.; Liu, G. An absolutely green approach to fabricate carbon nanodots from soya bean grounds. RSC Adv. 2013, 3, 20662–20665. [Google Scholar] [CrossRef]
  22. Guo, C.Z.; Liao, W.L.; Chen, C.G. Design of a non-precious metal electrocatalyst for alkaline electrolyte oxygen reduction by using soybean biomass as the nitrogen source of electrocatalytically active center structures. J. Power Sour. 2014, 269, 841–847. [Google Scholar] [CrossRef]
  23. Primo, A.; Atienzar, P.; Sanchez, E.; Delgado, J.M.; García, H. From biomass wastes to large-area, high-quality, N-doped graphene: Catalyst-free carbonization of chitosan coatings on arbitrary substrates. Chem. Commun. 2012, 48, 9254–9256. [Google Scholar] [CrossRef] [PubMed]
  24. Zhao, L.; Baccile, N.; Gross, S.; Zhang, Y.; Wei, W.; Sun, Y.; Antonietti, M.; Titirici, M.M. Sustainable nitrogen-doped carbonaceous materials from biomass derivatives. Carbon 2010, 48, 3778–3787. [Google Scholar] [CrossRef]
  25. Liu, S.; Tian, J.; Wang, L.; Zhang, Y.; Qin, X.; Luo, Y.; Asiri, A.M.; Al-Youbi, A.O.; Sun, X. Hydrothermal treatment of grass: A low-cost, green route to nitrogen-doped, carbon-rich, photoluminescent polymer nanodots as an effective fluorescent sensing platform for label-free detection of Cu (II) ions. Adv. Mater. 2012, 24, 2037–2041. [Google Scholar] [CrossRef] [PubMed]
  26. Ma, Z.; Guo, C.; Yin, Y.; Zhang, Y.; Wu, H.; Chen, C. The use of cheap polyaniline and melamine co-modified carbon nanotubes as active and stable catalysts for oxygen reduction reaction in alkaline medium. Electrochim. Acta 2015, 160, 357–362. [Google Scholar] [CrossRef]
  27. Paraknowitsch, J.P.; Thomas, A.; Antonietti, M. A zero-emission fuel cell that uses carbonaceous colloids from biomass waste as fuel source. Chem. Sus. Chem. 2010, 3, 223–225. [Google Scholar] [CrossRef] [PubMed]
  28. Lv, G.; Cui, L.; Wu, Y.; Liu, Y.; Pu, T.; He, X. A novel cobalt tetranitrophthalocyanine/graphene composite assembled by an in situ solvothermal synthesis method as a highly efficient electrocatalyst for the oxygen reduction reaction in alkaline medium. Phys. Chem. Chem. Phys. 2013, 15, 13093–13100. [Google Scholar] [CrossRef] [PubMed]
  29. Yu, X.; Ye, S. Recent advances in activity and durability enhancement of Pt/C catalytic cathode in PEMFC: Part II: Degradation mechanism and durability enhancement of carbon supported platinum catalyst. J. Power Sour. 2007, 172, 145–154. [Google Scholar] [CrossRef]
  30. Chen, P.; Yang, J.J.; Li, S.S.; Wang, Z.; Xiao, T.Y.; Qian, Y.H.; Yu, S.H. Hydrothermal synthesis of macroscopic nitrogen-doped graphene hydrogels for ultrafast supercapacitor. Nano Energy 2013, 2, 249–256. [Google Scholar] [CrossRef]
  31. Ma, Y.; Wang, H.; Feng, H.; Ji, S.; Mao, X.; Wang, R. Three-dimensional iron, nitrogen-doped carbon foams as efficient electrocatalysts for oxygen reduction reaction in alkaline solution. Electrochim. Acta 2014, 142, 317–323. [Google Scholar] [CrossRef]
  32. Serov, A.; Artyushkova, K.; Andersen, N.I.; Stariha, S.; Atanassov, P. Original mechanochemical synthesis of non-platinum group metals oxygen reduction reaction catalysts assisted by sacrificial support method. Electrochim. Acta 2015, in press. [Google Scholar] [CrossRef]
  33. Moon, J.S.; Lee, Y.W.; Han, S.B.; Kwak, D.H.; Lee, K.H.; Park, A.R.; Sohn, J.I.; Cha, S.N.; Park, K.W. Iron–nitrogen-doped mesoporous tungsten carbide nanostructures as oxygen reduction electrocatalysts. Phys. Chem. Chem. Phys. 2014, 16, 14644–14650. [Google Scholar] [CrossRef] [PubMed]
  34. Serov, A.; Tylus, U.; Artyushkova, K.; Mukerjee, S.; Atanassov, P. Mechanistic studies of oxygen reduction on Fe-PEI derived non-PGM electrocatalysts. Appl. Catal. B Environ. 2014, 150, 179–186. [Google Scholar] [CrossRef]
  35. Singh, D.; Soykal, I.I.; Tian, J.; Deak, D.; King, J.; Miller, J.T.; Ozkan, U.S. In situ characterization of the growth of CNx carbon nano-structures as oxygen reduction reaction catalysts. J. Catal. 2013, 304, 100–111. [Google Scholar] [CrossRef]
  36. Yang, S.Y.; Chang, K.H.; Huang, Y.L.; Lee, Y.F.; Tien, H.W.; Li, S.M.; Lee, Y.H.; Liu, C.H.; Ma, C.C.M.; Hu, C.C. A powerful approach to fabricate nitrogen-doped graphene sheets with high specific surface area. Electrochem. Commun. 2012, 14, 39–42. [Google Scholar] [CrossRef]
  37. Chen, S.; Bi, J.; Zhao, Y.; Yang, L.; Zhang, C.; Ma, Y.; Wu, Q.; Wang, X.; Hu, Z. Nitrogen-doped carbon nanocages as efficient metal-free electrocatalysts for oxygen reduction reaction. Adv. Mater. 2012, 24, 5593–5597. [Google Scholar] [CrossRef] [PubMed]

Share and Cite

MDPI and ACS Style

Zhang, Y.; Guo, C.; Ma, Z.; Wu, H.; Chen, C. Inexpensive Ipomoea aquatica Biomass-Modified Carbon Black as an Active Pt-Free Electrocatalyst for Oxygen Reduction Reaction in an Alkaline Medium. Materials 2015, 8, 6658-6667. https://doi.org/10.3390/ma8105331

AMA Style

Zhang Y, Guo C, Ma Z, Wu H, Chen C. Inexpensive Ipomoea aquatica Biomass-Modified Carbon Black as an Active Pt-Free Electrocatalyst for Oxygen Reduction Reaction in an Alkaline Medium. Materials. 2015; 8(10):6658-6667. https://doi.org/10.3390/ma8105331

Chicago/Turabian Style

Zhang, Yaqiong, Chaozhong Guo, Zili Ma, Huijuan Wu, and Changguo Chen. 2015. "Inexpensive Ipomoea aquatica Biomass-Modified Carbon Black as an Active Pt-Free Electrocatalyst for Oxygen Reduction Reaction in an Alkaline Medium" Materials 8, no. 10: 6658-6667. https://doi.org/10.3390/ma8105331

APA Style

Zhang, Y., Guo, C., Ma, Z., Wu, H., & Chen, C. (2015). Inexpensive Ipomoea aquatica Biomass-Modified Carbon Black as an Active Pt-Free Electrocatalyst for Oxygen Reduction Reaction in an Alkaline Medium. Materials, 8(10), 6658-6667. https://doi.org/10.3390/ma8105331

Article Metrics

Back to TopTop