Nanorod Self-Assembly in High Jc YBa2Cu3O7−x Films with Ru-Based Double Perovskites
Abstract
:1. Introduction
2. Results and Discussion
2.1. Ba2YRuO6 Double-Perovskite

| h | k | l | 2Q(obs) | Int(obs) | d(obs) | 2Q(calc) | d*(calc) | Int*(calc) |
|---|---|---|---|---|---|---|---|---|
| 1 | 1 | 1 | 18.415 | 1 | 4.814 | 18.4549 | 4.80344 | 0.8 |
| 0 | 0 | 2 | 21.282 | 1.3 | 4.1715 | 21.341 | 4.1599 | 0.6 |
| 0 | 2 | 2 | 30.283 | 100 | 2.949 | 30.3605 | 2.94149 | 100 |
| 1 | 1 | 3 | 35.7636 | 2.50851 | 0.1 | |||
| 2 | 2 | 2 | 37.323 | 5.1 | 2.4073 | 37.4115 | 2.40172 | 5.8 |
| 0 | 0 | 4 | 43.362 | 29 | 2.085 | 43.4709 | 2.07995 | 30.9 |
| 1 | 3 | 3 | 47.6004 | 1.90869 | 0 | |||
| 0 | 2 | 4 | 48.753 | 0.5 | 1.8663 | 48.9167 | 1.86036 | 0.5 |
| 2 | 2 | 4 | 53.805 | 31.8 | 1.7024 | 53.9433 | 1.69827 | 39.3 |
| 1 | 1 | 5 | 57.5095 | 1.60115 | 0.2 | |||
| 0 | 4 | 4 | 63.005 | 13.8 | 1.4742 | 63.1634 | 1.47075 | 18.7 |
| 1 | 3 | 5 | 66.4205 | 1.4063 | 0.1 | |||
| 0 | 0 | 6 | 67.4878 | 1.38663 | 0.3 | |||
| 0 | 2 | 6 | 71.504 | 12 | 1.3184 | 71.6808 | 1.31548 | 17.4 |
| 3 | 3 | 5 | 74.7588 | 1.26876 | 0 | |||
| 2 | 2 | 6 | 75.7744 | 1.25426 | 1.5 | |||
| 4 | 4 | 4 | 79.604 | 3.5 | 1.2033 | 79.7949 | 1.20086 | 6.2 |
| 1 | 1 | 7 | 82.7762 | 1.16501 | 0.1 | |||
| 0 | 4 | 6 | 83.7652 | 1.15375 | 0.2 | |||
| 2 | 4 | 6 | 87.485 | 11.3 | 1.1141 | 87.7056 | 1.11178 | 21.4 |
2.2. Bulk YBCO with RuO2 Additions


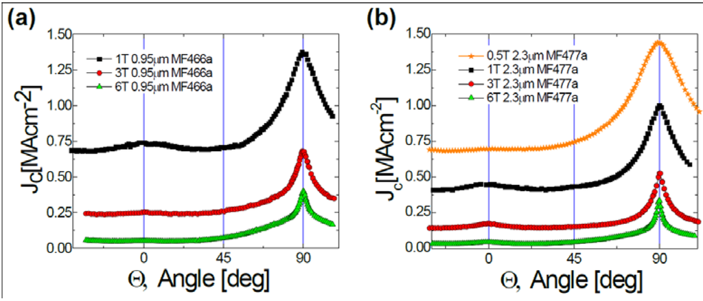
2.3. YBCO with Self-Assembled Nanorods of Ba2YRuOy







3. Experimental Section
4. Conclusions
Acknowledgments
References
- Iijima, Y.; Tanabe, N.; Kohno, O.; Ikeno, Y. In-plane aligned YBa2Cu3O7−x thin films deposited on polycrystalline metallic substrates. Appl. Phys. Lett. 1992, 60, 769–771. [Google Scholar] [CrossRef]
- Wu, X.D.; Foltyn, S.R.; Arendt, P.; Townsend, J.; Adams, C.; Campbell, I.H.; Tiwari, P.; Coulter, Y.; Peterson, D.E. High current YBa2Cu3O7−∂ thick films on flexible nickel substrates with textured buffer layers. Appl. Phys. Lett. 1994, 65, 1961–1963. [Google Scholar] [CrossRef]
- Arendt, P.N.; Foltyn, S.R.; Groves, J.R.; Depaula, R.F.; Dowden, P.C.; Roper, J.M.; Coulter, J.Y. YBCO/YSZ coated conductors on flexible Ni alloy substrates. Appl. Supercond. 1996, 4, 429–434. [Google Scholar] [CrossRef]
- Goyal, A.; Norton, D.P.; Budai, J.D.; Paranthaman, M.; Specht, E.D.; Kroeger, D.M.; Chisten, D.K.; He, Q.; Saffian, B.; List, F.A.; et al. High critical current density superconducting tapes by epitaxial deposition of YBa2Cu3Ox thick films on biaxially textured metals. Appl. Phys. Lett. 1996, 69, 1795–1797. [Google Scholar] [CrossRef]
- Arendt, P.N.; Foltyn, S.R. Biaxially textured IBAD-MgO templates for YBCO-coated conductors. MRS Bull. 2004, 29, 543–550. [Google Scholar] [CrossRef]
- Larbalestier, D.; Gurevich, A.; Feldmann, D.M.; Polyanskii, A. High-TC superconducting materials for electric power applications. Nature 2001, 414, 368–377. [Google Scholar] [CrossRef] [PubMed]
- Scanlan, R.M.; Malozemoff, A.P.; Larbalestier, D.C. Superconducting materials for large scale applications. Proc. IEEE 2004, 92, 1639–1654. [Google Scholar] [CrossRef]
- Civale, L.; Marwick, A.D.; Worthington, T.K.; Kirk, M.A.; Thompson, J.R.; Krusin-Elbaum, L.; Sun, Y.; Clem, J.R.; Holtzberg, F. Vortex confinement by columnar defects in YBa2Cu3O7 crystals: Enhanced pinning at high fields and temperatures. Phys. Rev. Lett. 1991, 67, 648–651. [Google Scholar] [CrossRef] [PubMed]
- Foltyn, S.R.; Civale, L.; Macmanus-Driscoll, J.L.; Jia, Q.X.; Maiorov, B.; Wang, H.; Maley, M. Materials science challenges for high-temperature superconducting wire. Nat. Mater. 2007, 6, 631–642. [Google Scholar] [CrossRef] [PubMed]
- Holesinger, T.G.; Civale, L.; Maiorov, B.; Feldmann, D.M.; Coulter, J.Y.; Miller, D.J.; Maroni, V.A.; Chen, Z.; Larbalestier, D.C.; Feenstra, R.; et al. Progress in nanoengineered microstructures for tunable high-current, high-temperature superconducting wires. Adv. Mater. 2008, 20, 391–407. [Google Scholar] [CrossRef]
- Civale, L.; Maiorov, B.; Serquis, A.; Willis, J.O.; Coulter, J.Y.; Wang, H.; Jia, Q.X.; Arendt, P.N.; MacManus-Driscoll, J.L.; Maley, M.P.; et al. Angular-dependent vortex pinning mechanisms in YBa2Cu3O7 coated conductors and thin films. Appl. Phys. Lett. 2004, 84, 2121–2123. [Google Scholar] [CrossRef]
- MacManus-Driscoll, J.L.; Foltyn, S.R.; Jia, Q.; Wang, H.; Serquis, A.; Civale, L.; Maiorov, B.; Hawley, M.E.; Maley, M.P.; Peterson, D.E. Strongly enhanced current densities in superconducting coated conductors of YBa2Cu3O7−x + BaZrO3. Nat. Mater. 2004, 3, 439–443. [Google Scholar] [CrossRef] [PubMed]
- Goyal, A.; Kang, S.; Leonard, K.J.; Martin, P.M.; Gapud, A.A.; Varela, M.; Paranthaman, M.; Ijaduola, A.O.; Specht, E.D.; Thompson, J.R.; et al. Irradiation-free, columnar defects comprised of self-assembled nanodots and nanorods resulting in strongly enhanced flux-pinning in YBa2Cu3O7−d films. Supercond. Sci. Technol. 2005, 18, 1533–1538. [Google Scholar] [CrossRef]
- Maiorov, B.; Baily, S.A.; Zhou, H.; Ugurlu, O.; Kennison, J.A.; Dowden, P.C.; Holesinger, T.G.; Foltyn, S.R.; Civale, L. Synergetic combination of different types of defect to optimize pinning landscape using BaZrO3-doped YBa2Cu3O7. Nat. Mater. 2009, 8, 398–404. [Google Scholar] [CrossRef] [PubMed]
- Mele, P.; Matsumoto, K.; Ichinose, A.; Mukaida, M.; Yoshida, Y.; Horii, S.; Kita, R. Systematic study of BaSnO3 doped YBa2Cu3O7−x films. Phys. C Supercond. 2009, 469, 1380–1383. [Google Scholar] [CrossRef]
- Lu, P.; Li, Y.Q.; Zhao, J.; Chern, C.S.; Gallois, B.; Norris, P.; Kear, B.; Cosandey, F. High density, ultrafine precipitates in YBa2Cu3O7−x thin films prepared by plasma-enhanced metalorganic chemical vapor deposition. Appl. Phys. Lett. 1992, 60, 1265–1267. [Google Scholar] [CrossRef]
- Haugan, T.; Barnes, P.N.; Wheeler, R.; Meisenkothen, F.; Sumption, M. Addition of nanoparticle dispersions to enhance flux pinning of the YBa2Cu3O7−x superconductor. Nature 2004, 430, 867–870. [Google Scholar] [CrossRef] [PubMed]
- Harrington, S.A.; Durrell, J.H.; Maiorov, B.; Wang, H.; Wimbush, S.C.; Kursumovic, A.; Lee, J.H.; MacManus-Driscoll, J.L. Self-assembled, rare earth tantalate pyrochlore nanoparticles for superior flux pinning in YBa2Cu3O7 films. Supercond. Sci. Technol. 2009, 22, 02201–02205. [Google Scholar]
- Feldmann, D.M.; Holesinger, T.G.; Maiorov, B.; Zhou, H.; Foltyn, S.R.; Coulter, J.Y.; Apodoca, I. 1000 A cm—1 in a 2 µm thick YBa2Cu3O7−x film with BaZrO3 and Y2O3 additions. Supercond. Sci. Technol. 2010, 23, 115016–115023. [Google Scholar] [CrossRef]
- Goretta, K.C.; Lacy, O.D.; Balachandran, U.; Shi, D.; Routbort, J.L. YBa2Cu3Ox toughened by ZrO2 additions. J. Mater. Sci. Lett. 1990, 9, 380–381. [Google Scholar] [CrossRef]
- Osamura, K.; Kizu, T.; Oku, T. Critical current density in YBa2Cu3O6+x added with perovskite type impurity. Phys. C Supercond. 1994, 226, 113–120. [Google Scholar] [CrossRef]
- Paulose, K.V.; Sebastian, M.T.; Nair, K.R.; Koshy, J.; Damodaran, A.D. Synthesis of Ba2YZrO6: A new phase in YBa2Cu3O7-ZrO2 system and its suitability as a substrate material for YBCO films. Solid State Commun. 1992, 83, 985–988. [Google Scholar] [CrossRef]
- Paulose, K.V.; Koshy, J.; Damodaran, A.D. YBa2NbO6: Synthesis, properties and compatibility with YBa2Cu3O7−d. Phys. C Supercond. 1992, 193, 273–276. [Google Scholar] [CrossRef]
- Jia, j.; Qi, z. Effect of the second phase on critical current density in Nb-added YBCO films. Mod. Phys. Lett. B 1995, 9, 439–443. [Google Scholar] [CrossRef]
- Holesinger, T.G.; Feldman, D.M.; Maiorov, B.; Civale, L. Strategic materials development for coated conductor performance. In Poceedings of Advanced Cables and Conductors Program Peer Review, Alexandria, VA, USA, 29 June–1 July 2010; Available online: http://www.htspeerreview.com/agenda.html (accessed on 11 August 2011).
- Horii, S.; Yamada, K.; Kai, H.; Ichinose, A.; Mukaida, M.; Teranishi, R.; Kita, R.; Matsumoto, K.; Yoshida, Y.; Shimoyama, J.; et al. Introduction of c-axis-correlated 1D pinning centers and vortex Bose glass in Ba-Nb-O-doped ErBa2Cu3Oy films. Supercond. Sci. Technol. 2007, 20, 1115–1119. [Google Scholar] [CrossRef]
- Kai, H.; Mukaida, M.; Horii, S.; Ichinose, A.; Kita, R.; Kato, S.; Matsumoto, K.; Yoshida, Y.; Teranishi, R.; Yamada, K.; et al. Superconducting properties and microstructure of PLD-ErBa2Cu3O7−d film with BaNb2O6. Phys. C Supercond. 2007, 463–465, 895–899. [Google Scholar] [CrossRef]
- Feldmann, D.M.; Holesinger, T.G.; Maiorov, B.; Foltyn, S.R.; Coulter, J.Y.; Apodaca, I. Improved flux pinning in YBa2Cu3O7 with nanorods of the double perovskite Ba2YNbO6. Supercond. Sci. Technol. 2010, 23, 095004–095009. [Google Scholar] [CrossRef]
- Reich, E.; Thersleff, T.; Hühne, R.; Iida, K.; Schultz, L.; Holzapfel, B. Structural and pinning properties of Y2Ba4CuMOy (M = Nb,Zr)/YBa2Cu3O7−δ quasi-multilayers fabricated by off-axis pulsed laser deposition. Supercond. Sci. Technol. 2009, 22, 105004–105010. [Google Scholar] [CrossRef]
- Ercolano, G.; Harrington, S.A.; Wang, H.; Tsai, C.F.; MacManus-Driscoll, J.L. Enhanced flux pinning in YBa2Cu3O7−δ thin films using Nb-based double perovskite additions. Supercond. Sci. Technol. 2010, 23, 022003–022008. [Google Scholar] [CrossRef]
- Brixner, L. Preparation and crystallographic study of some new rare earth compounds. J. Inorg. Nucl. Chem. 1960, 15, 352–355. [Google Scholar] [CrossRef]
- Battle, P.D.; Jones, C.W. The crystal and magnetic structures of Sr2LuRuO6, Ba2YRuO6, and Ba2LuRuO6. J. Solid State Chem. 1989, 78, 108–116. [Google Scholar] [CrossRef]
- Fu, W.T.; Ijdo, D.J.W. On the symmetry and structure of the double perovskites Ba2LnRuO6 (Ln = La, Pr and Nd). Solid State Commun. 2005, 136, 456–461. [Google Scholar] [CrossRef]
- Babu, N.H.; Iida, K.; Shi, Y.; Withnell, T.D.; Cardwell, D.A. YBa2Cu3O7−d /Y2Ba4CuMOy single grain nanocomposite superconductors with high critical current densities. Supercond. Sci. Technol. 2006, 19, S461–S465. [Google Scholar] [CrossRef]
- Feldmann, D.M.; Ugurlu, O.; Maiorov, B.; Stan, L.; Holesinger, T.G.; Civale, L.; Foltyn, S.R.; Jia, Q.X. Influence of growth temperature on critical current and magnetic flux pinning structures in YBa2Cu3O7−x. Appl. Phys. Lett. 2007, 91, 162501–162503. [Google Scholar] [CrossRef]
- Siraj, K.; Pedarnig, J.D.; Moser, A.; Bäuerle, D.; Hari Babu, N.; Cardwell, D.A. Enhanced self-field critical current density of nano-composite YBa2Cu3O7 thin films grown by pulsed-laser deposition. EPL Europhys. Lett. 2008, 82, 57006–57010. [Google Scholar] [CrossRef]
- Holesinger, T.G.; Foltyn, S.R.; Arendt, P.N.; Kung, H.; Jia, Q.X.; Dickerson, R.M.; Dowden, P.C.; DePaula, R.F.; Coulter, J.Y. The microstructure of continously processed YBa2Cu3Oy coated conductors with underlying CeO2 and IBAD YSZ Buffer Layers. J. Mater. Res. 2000, 15, 222–240. [Google Scholar] [CrossRef]
- Kim, S.I.; Gurevich, A.; Song, X.; Li, X.; Zhang, W.; Kodendandath, T.; Rupich, M.W.; Holesinger, T.G.; Larbalestier, D.C. Mechanisms of weak thickness dependence of the critical current density in strong-pinning ex situ metal-organic-deposition-route YBa2Cu3O7−x coated conductors. Supercond. Sci. Technol. 2006, 19, 1–12. [Google Scholar] [CrossRef]
- Holesinger, T.G.; Maiorov, B.; Ugurlu, O.; Civale, L.; Chen, Y.; Xiong, X.; Xie, Y.; Selvamanickam, V. Microstructural and superconducting properties of high current metal-organic chemical vapor deposition YBa2Cu3O7−d; coated conductor wires. Supercond. Sci. Technol. 2009, 22, 045025–045038. [Google Scholar] [CrossRef]
- Selvamanickam, V.; Guevara, A.; Zhang, Y.; Kesgin, I.; Xie, Y.; Carota, G.; Chen, Y.; Dackow, J.; Zhang, Y.; Zuev, Y.; et al. Enhanced and uniform in-field performance in long (Gd, Y)-Ba-Cu-O tapes with zirconium doping fabricated by metal-organic chemical vapor deposition. Supercond. Sci. Technol. 2010, 23, 014014–014019. [Google Scholar] [CrossRef]
- Holesinger, T.G. Though-Thickness Structural Degradation in Nano-Structured YBCO Thick Films; Superconductivity Technology Center: Los Alamos, NM, USA, 2011; Unpublished work. [Google Scholar]
- JADE, Version 6.5; Materials Data, Inc.: Livermore, CA, USA, 2003.
- CrystalMaker, Images Generated Using CrystalMaker®, a Crystal and Molecular Structures Program for Mac and Window; CrystalMaker Software LTD: Oxford, UK, 1994–2011; Available online: www.crystalmaker.com (accessed on 14 January 2011).
© 2011 by the authors; licensee MDPI, Basel, Switzerland. This article is an open access article distributed under the terms and conditions of the Creative Commons Attribution license (http://creativecommons.org/licenses/by/3.0/).
Share and Cite
Holesinger, T.G.; Feldmann, M.D.; Maiorov, B.; Civale, L.; Kennison, J.A.; Coulter, Y.J.; Dowden, P.D.; Baca, J.F.; Tobash, P.H.; Bauer, E.D.; et al. Nanorod Self-Assembly in High Jc YBa2Cu3O7−x Films with Ru-Based Double Perovskites. Materials 2011, 4, 2042-2056. https://doi.org/10.3390/ma4112042
Holesinger TG, Feldmann MD, Maiorov B, Civale L, Kennison JA, Coulter YJ, Dowden PD, Baca JF, Tobash PH, Bauer ED, et al. Nanorod Self-Assembly in High Jc YBa2Cu3O7−x Films with Ru-Based Double Perovskites. Materials. 2011; 4(11):2042-2056. https://doi.org/10.3390/ma4112042
Chicago/Turabian StyleHolesinger, Terry G., Matthew D. Feldmann, Boris Maiorov, Leonardo Civale, John A. Kennison, Yates J. Coulter, Paul D. Dowden, Javier F. Baca, Paul H. Tobash, Eric D. Bauer, and et al. 2011. "Nanorod Self-Assembly in High Jc YBa2Cu3O7−x Films with Ru-Based Double Perovskites" Materials 4, no. 11: 2042-2056. https://doi.org/10.3390/ma4112042
APA StyleHolesinger, T. G., Feldmann, M. D., Maiorov, B., Civale, L., Kennison, J. A., Coulter, Y. J., Dowden, P. D., Baca, J. F., Tobash, P. H., Bauer, E. D., & Marken, K. R. (2011). Nanorod Self-Assembly in High Jc YBa2Cu3O7−x Films with Ru-Based Double Perovskites. Materials, 4(11), 2042-2056. https://doi.org/10.3390/ma4112042
