Effect of Rare-Earth Element Microdoping on Ti–6Al–7Nb Alloys for Biomedical Applications: Materials Characterization and In Vivo Biocompatibility Tests
Abstract
1. Introduction
2. Materials and Methods
3. Results
4. Discussion
5. Conclusions
- The addition of Yttrium resulted in a single-phase α-Ti microstructure with the finest crystallites (22.32 nm), attributed to a grain-boundary pinning effect. In contrast, Cerium and Lanthanum promoted the formation of dual-phase α + β structures with coarser α grains (30.77 nm and 29.83 nm, respectively).
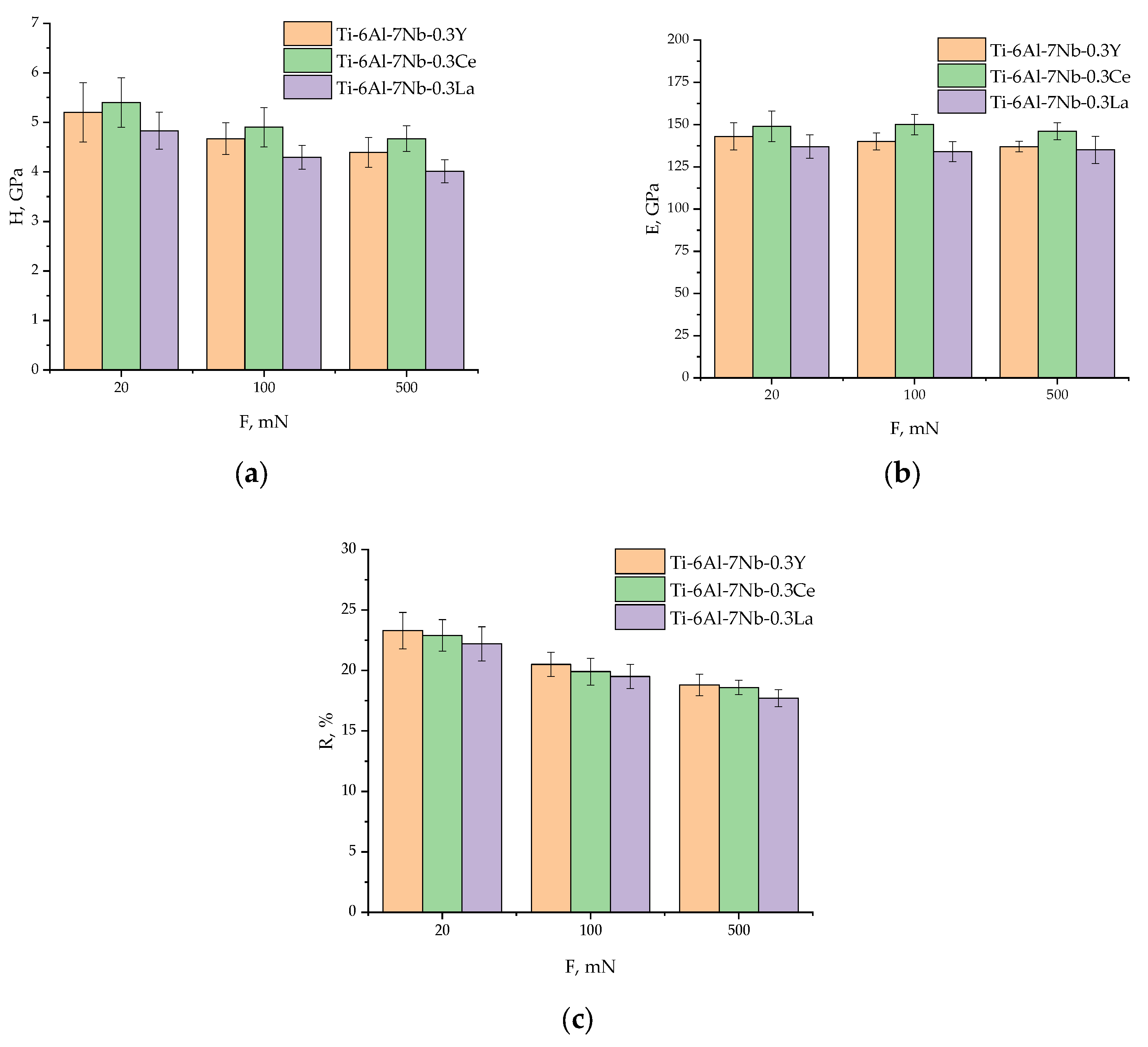
- A clear hierarchy in mechanical performance was established. The Ce-modified alloy exhibited the highest nanohardness (4.67 GPa) and elastic modulus (146 GPa). The Y-containing alloy offered a balanced profile with intermediate hardness (4.39 GPa) and superior elastic recovery (18.8%), while the La-doped alloy showed the most modest strengthening (hardness of 4.01 GPa).
- XRD analysis linked these properties to underlying structural features. The high hardness of the Y-alloy is explained by interstitial solid solution strengthening (0.35 wt.% O, 0.14 wt.% N) within its single-phase structure. The superior properties of the Ce-alloy correlate with significant lattice strain (ΔV = +1.799%) and a high α-phase fraction, likely due to solute Ce and fine-scale precipitates.
- The measured true density increased with the atomic mass of the REE: 4.4563 g/cm3 (Y) < 4.7255 g/cm3 (Ce) < 4.8019 g/cm3 (La). In vivo assessment revealed an element-specific biological response. The La-alloy induced a significant but transient local inflammatory reaction (34.2 °C at Day 7). After three months, both La- and Ce-alloys showed signs of systemic hepatotoxicity and nephrotoxicity, evidenced by elevated serum markers (ALT, LDH, creatinine). Crucially, the Y-modified alloy showed a biocompatibility profile statistically indistinguishable from the Pure Titanium control.
Author Contributions
Funding
Institutional Review Board Statement
Informed Consent Statement
Data Availability Statement
Acknowledgments
Conflicts of Interest
References
- Chen, Q.; Thouas, G.A. Metallic Implant Biomaterials. Mater. Sci. Eng. R Rep. 2015, 87, 1–57. [Google Scholar] [CrossRef]
- Peter, I. Investigations into Ti-Based Metallic Alloys for Biomedical Purposes. Metals 2021, 11, 1626. [Google Scholar] [CrossRef]
- Kacsó, A.B.; Peter, I. A Review of Past Research and Some Future Perspectives Regarding Titanium Alloys in Biomedical Applications. J. Funct. Biomater. 2025, 16, 144. [Google Scholar] [CrossRef] [PubMed]
- Gareb, B.; Van Bakelen, N.B.; Vissink, A.; Bos, R.R.M.; Van Minnen, B. Titanium or Biodegradable Osteosynthesis in Maxillofacial Surgery? In Vitro and In Vivo Performances. Polymers 2022, 14, 2782. [Google Scholar] [CrossRef] [PubMed]
- Nemtoi, A.; Covrig, V.; Nemtoi, A.; Stoica, G.; Vatavu, R.; Haba, D.; Zetu, I. Custom-Made Direct Metal Laser Sintering Titanium Subperiosteal Implants in Oral and Maxillofacial Surgery for Severe Bone-Deficient Patients—A Pilot Study. Diagnostics 2022, 12, 2531. [Google Scholar] [CrossRef]
- Baltatu, M.S.; Vizureanu, P.; Sandu, A.V.; Solcan, C.; Hritcu, L.D.; Spataru, M.C. Research Progress of Titanium-Based Alloys for Medical Devices. Biomedicines 2023, 11, 2997. [Google Scholar] [CrossRef]
- Mitra, K.; Movva, A.K.; Sohn, M.O.; Tennyson, J.M.; Talaski, G.M.; Adams, S.B.; Anastasio, A.T. Alloy Selection and Manufacturing Technologies for Total Ankle Arthroplasty: A Narrative Review. Materials 2025, 18, 3770. [Google Scholar] [CrossRef]
- Shao, L.; Du, Y.; Dai, K.; Wu, H.; Wang, Q.; Liu, J.; Tang, Y.; Wang, L. β-Ti Alloys for Orthopedic and Dental Applications: A Review of Progress on Improvement of Properties through Surface Modification. Coatings 2021, 11, 1446. [Google Scholar] [CrossRef]
- Schumacher, Y.M.; Grandini, C.R.; de Almeida, G.S.; Zambuzzi, W.F.; Kuroda, P.A.B. Design of Novel Non-Cytotoxic Ti-15Nb-XTa Alloys for Orthopedic Implants. Metals 2025, 15, 1201. [Google Scholar] [CrossRef]
- Wang, Q.; Telha, W.; Wu, Y.; Abotaleb, B.; Jiang, N.; Zhu, S. Evaluation of the Properties of 3D-Printed Ti Alloy Plates: In Vivo and In Vitro Comparative Experimental Study. J. Clin. Med. 2023, 12, 444. [Google Scholar] [CrossRef]
- Marin, E.; Lanzutti, A. Biomedical Applications of Titanium Alloys: A Comprehensive Review. Materials 2024, 17, 114. [Google Scholar] [CrossRef] [PubMed]
- Riviş, M.; Roi, C.; Roi, A.; Nica, D.; Valeanu, A.; Rusu, L.C. The Implications of Titanium Alloys Applied in Maxillofacial Osteosynthesis. Appl. Sci. 2020, 10, 3203. [Google Scholar] [CrossRef]
- Aldea, E.; Dicu, M.M.; Gleizes, A.; Demetrescu, I. The Modification of Titanium Dioxide MOCVD Coating in TiAlNb after Immersion in Artificial Saliva. Proc. West. Mark. Ed. Assoc. Conf. 2008, 20, 8–11. [Google Scholar] [CrossRef]
- Mukanov, G.Z.; Kuznetsov, V.P. The Effect of the Stress-Strain State during Rotary Forging on the Microstructure and Properties of the Ti–39Nb–7Zr Titanium Alloy. Diagn. Resour. Mech. Mater. Struct. 2024, 6, 91–106. [Google Scholar] [CrossRef]
- Willbold, E.; Gu, X.; Albert, D.; Kalla, K.; Bobe, K.; Brauneis, M.; Janning, C.; Nellesen, J.; Czayka, W.; Tillmann, W.; et al. Effect of the Addition of Low Rare Earth Elements (Lanthanum, Neodymium, Cerium) on the Biodegradation and Biocompatibility of Magnesium. Acta Biomater. 2015, 11, 554–562. [Google Scholar] [CrossRef]
- Mikhlik, S.A.; Konushkin, S.V.; Volchikhina, M.A.; Kaplan, M.A.; Sergienko, K.V.; Nasakina, E.O.; Sudarchikova, M.A.; Kolmakov, A.G.; Sevostyanov, M.A. Effect of Electrolytic Plasma Polishing on Surface Morphology and Structure of Plates Made of Promising Biomedical Titanium Alloys. Inorg. Mater. Appl. Res. 2025, 16, 1116–1123. [Google Scholar] [CrossRef]
- Ren, Y.; Xu, J.; Wei, Y.; Liu, Y.; Zhu, J.; Liu, S. Effect of Interstitial Oxygen on the Microstructure and Mechanical Properties of Titanium Alloys: A Review. Crystals 2025, 15, 618. [Google Scholar] [CrossRef]
- Vishnu, J.; Kesavan, P.; Shankar, B.; Dembińska, K.; Swiontek Brzezinska, M.; Kaczmarek-Szczepańska, B. Engineering Antioxidant Surfaces for Titanium-Based Metallic Biomaterials. J. Funct. Biomater. 2023, 14, 344. [Google Scholar] [CrossRef]
- Prakasam, M.; Locs, J.; Salma-Ancane, K.; Loca, D.; Largeteau, A.; Berzina-Cimdina, L. Biodegradable Materials and Metallic Implants-A Review. J. Funct. Biomater. 2017, 8, 44. [Google Scholar] [CrossRef]
- Vu, N.B.; Truong, N.H.; Dang, L.T.; Phi, L.T.; Ho, N.T.-T.; Pham, T.N.; Phan, T.P.; Van Pham, P. In Vitro and in Vivo Biocompatibility of Ti-6Al-4V Titanium Alloy and UHMWPE Polymer for Total Hip Replacement. Biomed. Res. Ther. 2016, 3, 14. [Google Scholar] [CrossRef]
- Vasilescu, V.-G.; Ciocan, L.T.; Custura, A.M.; Stan, M.; Miculescu, F.; Cotrut, C.M.; Vranceanu, D.M.; Vasilescu, E.; Imre, M.; Pițuru, S.M. Biocompatibility Evaluation of Novel Experimental Titanium Alloys for Dental Implants. Dent. J. 2025, 14, 6. [Google Scholar] [CrossRef]
- Chen, L.Y.; Cui, Y.W.; Zhang, L.C. Recent Development in Beta Titanium Alloys for Biomedical Applications. Metals 2020, 10, 1139. [Google Scholar] [CrossRef]
- Castrejón Flores, J.L.; Campos Juarez, Á.D.; Chino Ulloa, A.; Nava Palafox, F.; Cruz Ortiz, D.; Torres Avila, I.P. Biocompatibility of Titanium Oxide Nanotubes Layer Formed on a Ti-6Al-4V Dental Implant Screw in HFOB Cells In Vitro. Coatings 2025, 15, 715. [Google Scholar] [CrossRef]
- Ho, W.F.; Wong, K.K.; Lee, M.H.; Thomas, J.L.; Chang, Y.C.; Wu, S.C.; Hsu, H.C.; Lin, H.Y. Biocompatibility of a Ti-Rich Medium-Entropy Alloy with Glioblastoma Astrocytoma Cells. Int. J. Mol. Sci. 2022, 23, 14552. [Google Scholar] [CrossRef] [PubMed]
- Azmat, A.; Asrar, S.; Channa, I.A.; Ashfaq, J.; Ali Chandio, I.; Chandio, A.D.; Ali Shar, M.; AlSalhi, M.S.; Devanesan, S. Comparative Study of Biocompatible Titanium Alloys Containing Non-Toxic Elements for Orthopedic Implants. Crystals 2023, 13, 467. [Google Scholar] [CrossRef]
- Irimescu, R.E.; Raducanu, D.; Nocivin, A.; Cojocaru, E.M.; Cojocaru, V.D.; Zarnescu-Ivan, N. Optimizing Suitable Mechanical Properties for a Biocompatible Beta-Titanium Alloy by Combining Plastic Deformation with Solution Treatment. Materials 2024, 17, 5828. [Google Scholar] [CrossRef]
- Polozov, I.; Sokolova, V.; Gracheva, A.; Zolotarev, A.; Nefyodova, V.; Popovich, A. Ti-Ta-Cu Biocompatible Alloy System Development via Selective Laser Melting for Prosthetic Applications. Metals 2024, 14, 1177. [Google Scholar] [CrossRef]
- Khrunyk, Y.Y.; Ehnert, S.; Grib, S.V.; Illarionov, A.G.; Stepanov, S.I.; Popov, A.A.; Ryzhkov, M.A.; Belikov, S.V.; Xu, Z.; Rupp, F.; et al. Synthesis and Characterization of a Novel Biocompatible Alloy, Ti-Nb-Zr-Ta-Sn. Int. J. Mol. Sci. 2021, 22, 10611. [Google Scholar] [CrossRef]
- Ikarashi, Y.; Toyoda, K.; Kobayashi, E.; Doi, H.; Yoneyama, T.; Hamanaka, H.; Tsuchiya, T. Improved Biocompatibility of Titanium-Zirconium (Ti-Zr) Alloy: Tissue Reaction and Sensitization to Ti-Zr Alloy Compared with Pure Ti and Zr in Rat Implantation Study. Mater. Trans. 2005, 46, 2260–2267. [Google Scholar] [CrossRef]
- Royals, M.A.; Fujita, S.M.; Yewey, G.L.; Rodriguez, J.; Schultheiss, P.C.; Dunn, R.L. Biocompatibility of a Biodegradable in Situ Forming Implant System in Rhesus Monkeys. J. Biomed. Mater. Res. 1999, 45, 231–239. [Google Scholar] [CrossRef]
- Calazans Neto, J.V.; Celles, C.A.S.; de Andrade, C.S.A.F.; Afonso, C.R.M.; Nagay, B.E.; Barao, V.A.R. Recent Advances and Prospects in β-Type Titanium Alloys for Dental Implants Applications. ACS Biomater. Sci. Eng. 2024, 10, 6029–6060. [Google Scholar] [CrossRef] [PubMed]
- Özcan, M.; Hämmerle, C. Titanium as a Reconstruction and Implant Material in Dentistry: Advantages and Pitfalls. Materials 2012, 5, 1528–1545. [Google Scholar] [CrossRef]
- Pesode, P.; Barve, S. A Review—Metastable β Titanium Alloy for Biomedical Applications. J. Eng. Appl. Sci. 2023, 70, 25. [Google Scholar] [CrossRef]
- Jemat, A.; Ghazali, M.J.; Razali, M.; Otsuka, Y. Surface Modifications and Their Effects on Titanium Dental Implants. Biomed. Res. Int. 2015, 2015, 791725. [Google Scholar] [CrossRef]
- Hwang, Y.J.; Choi, Y.S.; Hwang, Y.H.; Cho, H.W.; Lee, D.G. Biocompatibility and Biological Corrosion Resistance of Ti–39Nb–6Zr+0.45Al Implant Alloy. J. Funct. Biomater. 2021, 12, 2. [Google Scholar] [CrossRef]
- Abdel-Hady Gepreel, M.; Niinomi, M. Biocompatibility of Ti-Alloys for Long-Term Implantation. J. Mech. Behav. Biomed. Mater. 2013, 20, 407–415. [Google Scholar] [CrossRef]
- Zhang, Y.; Sun, D.; Cheng, J.; Tsoi, J.K.H.; Chen, J. Mechanical and Biological Properties of Ti-(0-25 Wt%)Nb Alloys for Biomedical Implants Application. Regen. Biomater. 2019, 7, 119–127. [Google Scholar] [CrossRef]
- Bordbar-Khiabani, A.; Gasik, M. Electrochemical and Biological Characterization of Ti–Nb–Zr–Si Alloy for Orthopedic Applications. Sci. Rep. 2023, 13, 2312. [Google Scholar] [CrossRef]
- Hulka, I.; Florido-Suarez, N.R.; Mirza-Rosca, J.C.; Saceleanu, A. Mechanical Properties and Corrosion Behavior of Thermally Treated Ti-6Al-7Nb Dental Alloy. Materials 2022, 15, 3813. [Google Scholar] [CrossRef]
- Sergienko, K.V.; Konushkin, S.V.; Morozova, Y.A.; Gorbunov, S.V.; Kolmakov, A.G.; Sevost’yanov, M.A. Production of a Ti–(30–46) at % Zr–9 at % Nb Alloy in an Argon Arc Furnace. Russ. Metall. (Met.) 2024, 2024, 1245–1251. [Google Scholar] [CrossRef]
- Meshalkin, V.P.; Kolmakov, A.G.; Nzioka, A.M.; Bannykh, I.O.; Sevostyanov, M.A.; Konushkin, S.V.; Kaplan, M.A.; Chistyakova, T.B. Structural Metal Alloys: Towards Environmentally Friendly Materials. Russ. Chem. Rev. 2025, 94, RCR5165. [Google Scholar] [CrossRef]
- Konushkin, S.V.; Kaplan, M.A.; Baikin, A.S.; Sergienko, K.V.; Gorbenko, A.D.; Morozova, Y.A.; Mikhlik, S.A.; Rumyantsev, B.A.; Ivannikov, A.Y.; Leonova, N.P.; et al. Structure and Mechanical Properties of Ti–10Nb–(1–3)Mo Alloy Ingots. Russ. Metall. (Met.) 2024, 2024, 1443–1450. [Google Scholar] [CrossRef]
- Sergienko, K.V.; Konushkin, S.V.; Morozova, Y.A.; Kaplan, M.A.; Gorbenko, A.D.; Rumyantsev, B.A.; Prutskov, M.E.; Baranov, E.E.; Nasakina, E.O.; Sevostyanova, T.M.; et al. Study of the Structure and Mechanical Properties of Ti-38Zr-11Nb Alloy. J. Funct. Biomater. 2025, 16, 126. [Google Scholar] [CrossRef] [PubMed]
- Kesler, M.S.; Goyel, S.; Rios, O.; Cupid, D.M.; Seifert, H.J.; Ebrahimi, F. A Study of Phase Transformation in a TiAlNb Alloy and the Effect of Cr Addition. Mater. Sci. Eng. A 2010, 527, 2857–2863. [Google Scholar] [CrossRef]
- Belgibayeva, A.; Abzaev, Y.; Karakchieva, N.; Erkasov, R.; Sachkov, V.; Kurzina, I. The Structural and Phase State of the Tial System Alloyed with Rare-Earth Metals of the Controlled Composition Synthesized by the “Hydride Technology”. Metals 2020, 10, 859. [Google Scholar] [CrossRef]
- Fang, H.Z.; Chen, R.R.; Chen, X.Y.; Ma, Z.K.; Ding, H.S.; Guo, J.J. Microstructure and Mechanical Properties of Ti44Al6Nb Alloys with Different Cerium Contents. Rare Met. 2020, 39, 402–407. [Google Scholar] [CrossRef]
- Tian, Y.; Xue, R.; Xie, B.; Wang, K.; Xiao, G.; Yuan, Z.; Xu, X.; Zhang, L.; Liu, L. Influence of Scandium and Yttrium on Mechanical Properties, Corrosion Behavior, and Martensitic Transformation of near-β Titanium Alloys. J. Rare Earths 2025, 44, 364–376. [Google Scholar] [CrossRef]
- Strychor, R.; Williams, J.C.; Soffa, W.A. Phase Transformations and Modulated Microstructures in Ti-AI-Nb Alloys. Met. Trans. A 1988, 19, 225–234. [Google Scholar] [CrossRef]
- Ke, Y.; Tao, J.; Duan, H. Structure Determination of Er Doped Ti-Al-Nb Alloy by Neutron Diffraction Analysis. Materials 2019, 12, 2243. [Google Scholar] [CrossRef]
- Shen, Y.; Ding, X.; Wang, F.; Tan, Y.; Yang, J.M. High Temperature Oxidation Behavior of Ti-Al-Nb Ternary Alloys. J. Mater. Sci. 2004, 39, 6583–6589. [Google Scholar] [CrossRef]
- Digole, S.; Garg, M.; Bohara, S.; Tsai, F.-Y.; Ahsan, S.; Kothapalli, C.R.; Gwalani, B.; Young, D.; Taheri, H.; Borkar, T. Microstructure Evolution, Mechanical Properties, and Biological Response of Ti-Nb-Zr-Ta (TNZT)/HBN Metal Matrix Composites Processed via Spark Plasma Sintering (SPS). Mater. Des. 2025, 260, 115103. [Google Scholar] [CrossRef]
- Bean, G.E.; Kesler, M.S.; Manuel, M.V. Effect of Nb on Phase Transformations and Microstructure in High Nb Titanium Aluminides. J. Alloys Compd. 2014, 613, 351–356. [Google Scholar] [CrossRef]
- Jose, B.; De Aragao, G.; Ebrahimi, F. High Temperature Deformation of Nb-Ti-A1 Alloys with Sigma + Gamma Microstructure. Mater. Sci. Eng. 1996, 208, 37–46. [Google Scholar]
- Ebrahimi, F.; Ruiz-Aparicio, J.G.L. Diffusivity in the Nb-Ti-Al Ternary Solid Solution. J. Alloys Compd. 1996, 245, 1–9. [Google Scholar] [CrossRef]
- Bean, G.E.; Ebrahimi, F.; Manuel, M.V. High Temperature Deformation of Ti-Al-Nb-Cr-Mo Alloy with Ultrafine Microstructure. Intermetallics 2014, 49, 132–137. [Google Scholar] [CrossRef]
- Hoelzer, D.T.; Ebrahimi, F. Phase Stability of Sigma+ Beta Microstructure in the Ternary Nb-Ti-Al System. Mat. Res. Soc. Symp. Proc. 1990, 194, 393–398. [Google Scholar] [CrossRef]
- Liang, Y.F.; Xu, X.J.; Lin, J.P. Advances in Phase Relationship for High Nb-Containing TiAl Alloys. Rare Met. 2016, 35, 15–25. [Google Scholar] [CrossRef]
- Cowen, C.J. Microstructure and Elevated Temperature Mechanical Behaviour of Ti-15Al-33Nb and Ti-21Al-29Nb. Master’s Thesis, Alfred University, New York, NY, USA, 2004. [Google Scholar]
- Clemens, H.; Mayer, S. Design, Processing, Microstructure, Properties, and Applications of Advanced Intermetallic TiAl Alloys. Adv. Eng. Mater. 2013, 15, 191–215. [Google Scholar] [CrossRef]
- Boehlert, C.J.; Cowen, C.J.; Jaeger, C.R.; Niinomi, M.; Akahori, T. Tensile and Fatigue Evaluation of Ti-15Al-33Nb (at.%) and Ti-21Al-29Nb (at.%) Alloys for Biomedical Applications. Mater. Sci. Eng. C 2005, 25, 263–275. [Google Scholar] [CrossRef]
- Li, L.; Zhang, Y.; Mu, J.; Li, J.; Li, P.; Li, J.; Liu, Z. Microstructure Evolution and Mechanical Properties of High Nb-TiAl Intermetallic Compounds during Heat Treatment. J. Mater. Eng. Perform. 2025, 34, 3085–3100. [Google Scholar] [CrossRef]
- Huang, F.; Xu, J.; Zhan, Z.; Cheng, Z.; Liu, Y. Microstructure and Mechanical Properties of a High Nb–TiAl Alloy with Different Carbon Additions. Sci. Rep. 2025, 15, 29433. [Google Scholar] [CrossRef] [PubMed]
- Cai, L.; Huang, K.; Liu, S.; Jiao, Z.; Wang, Q.; Baker, I.; Wu, H. High-Temperature Deformation Mechanisms in a High-Nb TiAl Alloy Fabricated by Laser Metal Deposition. Mater. Sci. Eng. A 2026, 953, 149673. [Google Scholar] [CrossRef]
- Xiao, S.; Chen, Y.; Li, M.; Xu, L.; Tian, J.; Zhang, D.; Yang, J. The Improved Properties and Microstructure of β-Solidify TiAl Alloys by Boron Addition and Multi Steps Forging Process. Sci. Rep. 2019, 9, 12393. [Google Scholar] [CrossRef] [PubMed]
- Liu, Y.; Li, H.; Wang, S.; Ye, H. Nb Effects on the Structural and Mechanical Properties of TiAl Alloy: Density-Functional Theory Study. J. Mater. Res. 2009, 24, 3165–3173. [Google Scholar] [CrossRef]
- Ruzickova, M.; Hildebrand, H.; Virtanen, S. On the Stability of Passivity of Ti-Al Alloys in Acidic Environment. Z. Für Phys. Chem. 2005, 219, 1447–1459. [Google Scholar] [CrossRef]
- Sittig, C.; Ha, G.; Hner, È.; Marti, A.; Textor, M.; Spencer, N.D.; Hauert, R. The Implant Material, Ti6Al7Nb: Surface Microstructure, Composition and Properties. J. Mater. Sci. Mater. Med. 1999, 10, 191–198. [Google Scholar] [CrossRef]
- Suresh, S.; Vinod, B.; Sai Sujith, K.; Sudhakara, D. Investigation and Performance of High Niobium Contain Ti-Al Alloys: Deformation Behaviour and Microstructural Evolution. Mater. Today Proc. 2022, 63, 427–432. [Google Scholar] [CrossRef]
- Boehlert, C.J.; Cowen, C.J.; Quast, J.P.; Akahori, T.; Niinomi, M. Fatigue and Wear Evaluation of Ti-Al-Nb Alloys for Biomedical Applications. Mater. Sci. Eng. C 2008, 28, 323–330. [Google Scholar] [CrossRef]
- Sarvadii, S.Y.; Gatin, A.K.; Kharitonov, V.A.; Dokhlikova, N.V.; Ozerin, S.A.; Grishin, M.V.; Shub, B.R. Oxidation of Thin Titanium Films: Determination of the Chemical Composition of the Oxide and the Oxygen Diffusion Factor. Crystals 2020, 10, 117. [Google Scholar] [CrossRef]
- Zhang, K.; Zhang, T.; Song, L. Oxidation Behavior of a High-Nb-Containing TiAl Alloy with Multilayered Thermal Barrier Coatings. J. Therm. Spray. Technol. 2018, 27, 999–1010. [Google Scholar] [CrossRef]
- Solntsev, K.A.; Chernyavskii, A.S.; Shustorovich, E.M.; Stetsovskii, A.P. Kinetics of Rutile Formation via Oxidation of Titanium in Air at 850 °C. Inorg. Mater. 2004, 40, 829–832. [Google Scholar] [CrossRef]
- Solntsev, K.A.; Shevtsov, S.V.; Stetsovskii, A.P.; Shashkeev, K.A. The Phenomenon of Bifurcation in the Processes of Oxidative Construction of Thin-Wall Ceramics under Heating of Solid Titanium Preforms. Inorg. Mater. 2010, 46, 177–182. [Google Scholar] [CrossRef]
- Anokhin, A.; Kirsankin, A.; Kukueva, E.; Luk’yanov, A.; Chuvikina, M.; Ermakova, E.; Strelnikova, S.; Kupreenko, S. Material Characterization and Technological Properties of Biocompatible Ti-12Al-42Nb Spherical Powder Alloy for Additive Manufacturing of Personal Medical Implants. Metals 2025, 15, 147. [Google Scholar] [CrossRef]
- Gong, Y.; Liang, J.; Qu, S.; Cao, G.; Wang, H.; Feng, A.; Chen, D. Effect of Nb Content on the Oxidation Behavior and Microstructural Evolution of Ti2AlNb-Based Alloys. Metals 2025, 15, 1120. [Google Scholar] [CrossRef]
- Niu, Y.; Sun, Z.; Wang, Y.; Niu, J. Phenomenological Constitutive Models for Hot Deformation Behavior of Ti6al4v Alloy Manufactured by Directed Energy Deposition Laser. Metals 2020, 10, 1496. [Google Scholar] [CrossRef]
- Wu, K.Y.; Fujioka, J.K.; Daigle, P.; Tran, S.D. The Use of Functional Biomaterials in Aesthetic and Functional Restoration in Orbital Surgery. J. Funct. Biomater. 2024, 15, 33. [Google Scholar] [CrossRef]
- Sundell, G.; Dahlin, C.; Andersson, M.; Thuvander, M. The Bone-Implant Interface of Dental Implants in Humans on the Atomic Scale. Acta Biomater. 2017, 48, 445–450. [Google Scholar] [CrossRef]
- Zhang, X.; Luo, T.; Liu, S.; Zheng, X.; Wang, F.; Ma, X.; Dang, Y. Effect of Rare Earth Yb and Ce on High Temperature Oxidation Resistance of TiAl Alloys. Fenmo Yejin Jishu/Powder Metall. Technol. 2023, 41, 218–224. [Google Scholar] [CrossRef]
- Wu, Y.; Hwang, S.K. Microstructural Refinement and Improvement of Mechanical Properties and Oxidation Resistance in EPM TiAl-Based Intermetallics with Yttrium Addition. Acta Mater. 2002, 50, 1479–1493. [Google Scholar] [CrossRef]
- Kartavykh, A.V.; Asnis, E.A.; Piskun, N.V.; Statkevich, I.I.; Gorshenkov, M.V.; Tcherdyntsev, V.V. Lanthanum Hexaboride as Advanced Structural Refiner/Getter in TiAl-Based Refractory Intermetallics. J. Alloys Compd. 2014, 588, 122–126. [Google Scholar] [CrossRef]
- Hadi, M.; Meratian, M.; Shafyei, A. The Effect of Lanthanum on the Microstructure and High Temperature Mechanical Properties of a Beta-Solidifying TiAl Alloy. J. Alloys Compd. 2015, 618, 27–32. [Google Scholar] [CrossRef]
- Bartáková, S.; Prachár, P.; Kudrman, J.; Brezina, V.; Podhorná, B.; Cernochova, P.; Vanek, J.; Strecha, J. New Titanium β-Alloys for Dental Implantology and Their Laboratory-Based Assays of Biocompatibility. Scr. Med. 2009, 82, 76–82. [Google Scholar]
- Lourenço, M.L.; Cardoso, G.C.; Sousa, K.D.S.J.; Donato, T.A.G.; Pontes, F.M.L.; Grandini, C.R. Development of Novel Ti-Mo-Mn Alloys for Biomedical Applications. Sci. Rep. 2020, 10, 6298. [Google Scholar] [CrossRef] [PubMed]
- Niinomi, M.; Narushima, T.; Nakano, T. Recent Research and Development in the Processing, Microstructure, and Properties of Titanium and Its Alloy. Mater. Trans. 2024, 65, 1600–1611. [Google Scholar] [CrossRef]
- Legostaeva, E.V.; Eroshenko, A.Y.; Glukhov, I.A.; Sharkeev, Y.P.; Belyavskaya, O.A.; Zhilyakov, A.Y.; Kuznetsov, V.P. Ultrafine-Grained Microstructure and Thermal Properties of Titanium at Different Stages of Plastic Deformation. Russ. Phys. J. 2022, 64, 1941–1948. [Google Scholar] [CrossRef]
- Illarionov, A.; Mukanov, G.; Stepanov, S.; Kuznetsov, V.; Karelin, R.; Andreev, V.; Yusupov, V.; Korelin, A. Microstructure and Physico-Mechanical Properties of Biocompatible Titanium Alloy Ti-39Nb-7Zr after Rotary Forging. Metals 2024, 14, 497. [Google Scholar] [CrossRef]
- Ozaki, T.; Matsumoto, H.; Watanabe, S.; Hanada, S. Beta Ti Alloys with Low Young’s Modulus. Mater. Trans. 2004, 45, 2776–2779. [Google Scholar] [CrossRef]
- Wang, W.; Yang, Y.; Wang, D.; Huang, L. Toxic Effects of Rare Earth Elements on Human Health: A Review. Toxics 2024, 12, 317. [Google Scholar] [CrossRef]
- Malhotra, N.; Hsu, H.S.; Liang, S.T.; Roldan, M.J.M.; Lee, J.S.; Ger, T.R.; Hsiao, C. Der An Updated Review of Toxicity Effect of the Rare Earth Elements (REEs) on Aquatic Organisms. Animals 2020, 10, 1663. [Google Scholar] [CrossRef]
- Kulaksiz, S.; Bau, M. Anthropogenic Dissolved and Colloid/Nanoparticle-Bound Samarium, Lanthanum and Gadolinium in the Rhine River and the Impending Destruction of the Natural Rare Earth Element Distribution in Rivers. Earth Planet. Sci. Lett. 2013, 362, 43–50. [Google Scholar] [CrossRef]
- Palmer, R.J.; Butenhoff, J.L.; Stevens, J.B. Cytotoxicity of the Rare Earth Metals Cerium, Lanthanum, and Neodymium in Vitro: Comparisons with Cadmium in a Pulmonary Macrophage Primary Culture System. Environ. Res. 1987, 43, 142–156. [Google Scholar] [CrossRef] [PubMed]
- Casado-Martinez, C. Ecotoxicity of Rare Earth Elements; Eawag-EPFL, Centre Ecotox: Lausanne, Switzerland, 2013. [Google Scholar]
- Yu, S.-R.; Zhang, X.-P.; He, Z.-M.; Liu, Y.-H.; Liu, Z.-H. Effects of Ce on the Short-Term Biocompatibility of Ti-Fe-Mo-Mn-Nb-Zr Alloy for Dental Materials. J. Mater. Sci. Mater. Med. 2004, 15, 687. [Google Scholar] [CrossRef] [PubMed]
- Deng, Z.; Wang, L.L.; Zhang, D.; Liu, J.; Liu, C.; Ma, J. Lanthanum-Containing Hydroxyapatite Coating on Ultrafine-Grained Titanium by Micro-Arc Oxidation: A Promising Strategy to Enhance Overall Performance of Titanium. Med. Sci. Monit. 2014, 20, 163–166. [Google Scholar] [CrossRef] [PubMed]
- Das, P.; Sethy, C.; Pandey, P.M.; Patel, A.K. Evaluation of in Vitro Degradation Behavior and Biocompatibility Assessment of Mg60Ti24.24Zn9.66Nb6.1 Medium Entropy Alloy. J. Alloys Compd. 2025, 1010, 178003. [Google Scholar] [CrossRef]
- Charbgoo, F.; Ahmad, M.B.; Darroudi, M. Cerium Oxide Nanoparticles: Green Synthesis and Biological Applications. Int. J. Nanomed. 2017, 12, 1401–1413. [Google Scholar] [CrossRef]
- Tavarez-Martínez, G.; Criado, B.; Coronada Fernández-Calderón, M.; Onofre-Bustamante, E.; Pérez-Giraldo, C.; García-Alonso, C.; Lorenza Escudero, M. Biocompatibilidad de Osteoblastos e Inhibición de Adhesión Bacteriana a La Aleación Ti6Al4V Tratada Térmica y Químicamente. Rev. de Metal. 2021, 57, e208. [Google Scholar] [CrossRef]
- Gravina, A.N.; Rubert, A.A.; Bertuola, M.; Fernández Lorenzo de Mele, M. Bioactivity Enhancement of Cerium-Containing Titanium Oxide Nanotubes. Relationship between Surface Reactivity and Nanostructuring Process. Surf. Coat. Technol. 2019, 378, 124968. [Google Scholar] [CrossRef]
- ASTM F1295:24; Standard Specification for Wrought Titanium-6 Aluminum-7 Niobium Alloy for Surgical Implant Applications (UNS R56700). ASTM: West Conshohocken, PA, USA, 2023.
- ISO 5832-11:2024; Implants for Surgery-Metallic Materials Part 11: Wrought Titanium 6-Aluminium 7-Niobium Alloy. ISO: Geneva, Switzerland, 2024.
- Sun, Y.; Liu, Q.; Yu, Z.; Ren, L.; Zhao, X.; Wang, J. Study on Osseointegration Capability of β-Type Ti–Nb–Zr–Ta–Si Alloy for Orthopedic Implants. Materials 2024, 17, 472. [Google Scholar] [CrossRef]
- Biguetti, C.C.; Cavalla, F.; Fonseca, A.C.; Tabanez, A.P.; Siddiqui, D.A.; Wheelis, S.E.; Taga, R.; Fakhouri, W.D.; Silva, R.M.; Rodrigues, D.C.; et al. Effects of Titanium Corrosion Products on In Vivo Biological Response: A Basis for the Understanding of Osseointegration Failures Mechanisms. Front. Mater. 2021, 8, 651970. [Google Scholar] [CrossRef]
- Wu, Y.; Zitelli, J.P.; TenHuisen, K.S.; Yu, X.; Libera, M.R. Differential Response of Staphylococci and Osteoblasts to Varying Titanium Surface Roughness. Biomaterials 2011, 32, 951–960. [Google Scholar] [CrossRef]
- Martín-García, M.; Aguilera-Correa, J.J.; Arenas, M.Á.; García-Diego, I.M.; Conde, A.; de Damborenea, J.J.; Esteban, J. Differences in In Vitro Bacterial Adherence between Ti6Al4V and CoCrMo Alloys. Materials 2023, 16, 1505. [Google Scholar] [CrossRef] [PubMed]
- Bierbaum, S.; Mulansky, S.; Bognár, E.; Kientzl, I.; Nagy, P.; Vrana, N.E.; Weszl, M.; Boschke, E.; Scharnweber, D.; Wolf-Brandstetter, C. Osteogenic Nanostructured Titanium Surfaces with Antibacterial Properties under Conditions That Mimic the Dynamic Situation in the Oral Cavity. Biomater. Sci. 2018, 6, 1390–1402. [Google Scholar] [CrossRef] [PubMed]
- Quinn, J.; Mcfadden, R.; Chan, C.-W.; Carson, L. Titanium for Orthopedic Applications: An Overview of Surface Modification to Improve Biocompatibility and Prevent Bacterial Biofilm Formation. iScience 2020, 23, 101745. [Google Scholar] [CrossRef] [PubMed]
- Krzywicka, M.; Szymańska, J.; Tofil, S.; Malm, A.; Grzegorczyk, A. Surface Properties of Ti6Al7Nb Alloy: Surface Free Energy and Bacteria Adhesion. J. Funct. Biomater. 2022, 13, 26. [Google Scholar] [CrossRef]
- Shida, T.; Koseki, H.; Yoda, I.; Horiuchi, H.; Sakoda, H.; Osaki, M. Adherence Ability of Staphylococcus Epidermidis on Prosthetic Biomaterials: An in Vitro Study. Int. J. Nanomed. 2013, 8, 3955–3961. [Google Scholar] [CrossRef]
- Gasik, M.; Van Mellaert, L.; Pierron, D.; Braem, A.; Hofmans, D.; De Waelheyns, E.; Anń, J.; Harmand, M.F.; Vleugels, J. Reduction of Biofilm Infection Risks and Promotion of Osteointegration for Optimized Surfaces of Titanium Implants. Adv. Healthc. Mater. 2012, 1, 117–127. [Google Scholar] [CrossRef]
- Kunrath, M.; dos Santos, R.; de Oliveira, S.; Hubler, R.; Sesterheim, P.; Teixeira, E. Osteoblastic Cell Behavior and Early Bacterial Adhesion on Macro-, Micro-, and Nanostructured Titanium Surfaces for Biomedical Implant Applications. Int. J. Oral. Maxillofac. Implant. 2020, 35, 773–781. [Google Scholar] [CrossRef]
- Yoda, I.; Koseki, H.; Tomita, M.; Shida, T.; Horiuchi, H.; Sakoda, H.; Osaki, M. Effect of Surface Roughness of Biomaterials on Staphylococcus Epidermidis Adhesion. BMC Microbiol. 2014, 14, 234. [Google Scholar] [CrossRef]
- Paulitsch-Fuchs, A.H.; Wolrab, L.; Eck, N.; Dyer, N.P.; Bödendorfer, B.; Lohberger, B. Tial6v4 Alloy Surface Modifications and Their Impact on Biofilm Development of s. Aureus and s. Epidermidis. J. Funct. Biomater. 2021, 12, 36. [Google Scholar] [CrossRef]
- Crawford, R.J.; Webb, H.K.; Truong, V.K.; Hasan, J.; Ivanova, E.P. Surface Topographical Factors Influencing Bacterial Attachment. Adv. Colloid. Interface Sci. 2012, 179–182, 142–149. [Google Scholar] [CrossRef]
- Damiati, L.; Eales, M.G.; Nobbs, A.H.; Su, B.; Tsimbouri, P.M.; Salmeron-Sanchez, M.; Dalby, M.J. Impact of Surface Topography and Coating on Osteogenesis and Bacterial Attachment on Titanium Implants. J. Tissue Eng. 2018, 9, 492–495. [Google Scholar] [CrossRef] [PubMed]
- Yeo, I.S.; Kim, H.Y.; Lim, K.S.; Han, J.S. Implant Surface Factors and Bacterial Adhesion: A Review of the Literature. Int. J. Artif. Organs 2012, 35, 762–772. [Google Scholar] [CrossRef] [PubMed]
- Braem, A.; Van Mellaert, L.; Hofmans, D.; De Waelheyns, E.; Anné, J.; Schrooten, J.; Vleugels, J. Bacterial Colonisation of Porous Titanium Coatings for Orthopaedic Implant Applications—Effect of Surface Roughness and Porosity. Powder Metall. 2013, 56, 267–271. [Google Scholar] [CrossRef]
- Bai, X.; Li, J.; Zhao, Z.; Wang, Q.; Lv, N.; Wang, Y.; Gao, H.; Guo, Z.; Li, Z. In Vivo Evaluation of Osseointegration Ability of Sintered Bionic Trabecular Porous Titanium Alloy as Artificial Hip Prosthesis. Front. Bioeng. Biotechnol. 2022, 10, 928216. [Google Scholar] [CrossRef]
- Li, J.; Li, Z.; Li, R.; Shi, Y.; Wang, H.; Wang, Y.; Jin, G. In Vitro and in Vivo Evaluations of Mechanical Properties, Biocompatibility and Osteogenic Ability of Sintered Porous Titanium Alloy Implant. RSC Adv. 2018, 8, 36512–36520. [Google Scholar] [CrossRef]
- Anderud, J.; Jimbo, R.; Abrahamsson, P.; Adolfsson, E.; Malmström, J.; Wennerberg, A. The Impact of Surface Roughness and Permeability in Hydroxyapatite Bone Regeneration Membranes. Clin. Oral Implant. Res. 2016, 27, 1047–1054. [Google Scholar] [CrossRef]
- Rabbitt, D.; Villapún, V.M.; Carter, L.N.; Man, K.; Lowther, M.; O’Kelly, P.; Knowles, A.J.; Mottura, A.; Tang, Y.T.; Luerti, L.; et al. Rethinking Biomedical Titanium Alloy Design: A Review of Challenges from Biological and Manufacturing Perspectives. Adv. Healthc. Mater. 2025, 14, e2403129. [Google Scholar] [CrossRef]
- Zhou, Z.; Shi, Q.; Wang, J.; Chen, X.; Hao, Y.; Zhang, Y.; Wang, X. The Unfavorable Role of Titanium Particles Released from Dental Implants. Nanotheranostics 2021, 5, 321–332. [Google Scholar] [CrossRef]
- Shi, X.; Zeng, W.; Zhao, Q. The Effect of Surface Oxidation Behavior on the Fracture Toughness of Ti-5Al-5Mo-5V-1Cr-1Fe Titanium Alloy. J. Alloys Compd. 2015, 647, 740–749. [Google Scholar] [CrossRef]
- Yang, Y.; Wang, X.; Chen, B.; Lu, S.; Liu, K.; Kariya, S.; Shi, X.; Liao, X.; Kondoh, K.; Qian, M.; et al. Oxygen-Mediated High Uniform Plasticity in α-β Titanium Alloys. Nat. Commun. 2025, 16, 10833. [Google Scholar] [CrossRef]
- Tang, L.; Fan, J.; Kou, H.; Tang, B.; Li, J. Effect of Oxygen Variation on High Cycle Fatigue Behavior of Ti-6Al-4V Titanium Alloy. Materials 2020, 13, 3858. [Google Scholar] [CrossRef] [PubMed]
- Song, T.; Chen, Z.; Cui, X.; Lu, S.; Chen, H.; Wang, H.; Dong, T.; Qin, B.; Chan, K.C.; Brandt, M.; et al. Strong and Ductile Titanium–Oxygen–Iron Alloys by Additive Manufacturing. Nature 2023, 618, 63–68. [Google Scholar] [CrossRef] [PubMed]
- Collins, C.R.; Dear, F.F.; Rugg, D.; Dye, D. The Effect of Dissolved Nitrogen on the Fatigue Behavior of Ti-6Al-4V. Metall. Mater. Trans. A Phys. Metall. Mater. Sci. 2021, 52, 1596–1608. [Google Scholar] [CrossRef]
- Singh, A.; Shetty, S.; Kotian, R.; Rao, P.; Pais, M. The Evaluation of Biocompatibility, Elemental Composition and Surface Analysis of Retrieved Infra-Zygomatic Screws. J. Bio Tribocorros. 2022, 8, 85. [Google Scholar] [CrossRef]
- Texier, D.; Sirvin, Q.; Velay, V.; Salem, M.; Monceau, D.; Mazères, B.; Andrieu, E.; Roumiguier, R.; Dod, B. Oxygen/Nitrogen-Assisted Embrittlement of Titanium Alloys Exposed at Elevated Temperature. MATEC Web Conf. 2020, 321, 06004. [Google Scholar] [CrossRef]
- Kondoh, K.; Issariyapat, A.; Umeda, J.; Visuttipitukul, P. Selective Laser-Melted Titanium Materials with Nitrogen Solid Solutions for Balanced Strength and Ductility. Mater. Sci. Eng. A 2020, 790, 139641. [Google Scholar] [CrossRef]
- Kazantseva, N.; Khrakhmalev, P.; Yadroitsev, I.; Fefelov, A.; Merkushev, A.; Ilyinikh, M.; Vinogradova, N.; Ezhov, I.; Kurennykh, T. Effect of Oxygen and Nitrogen Contents on the Structure of the Ti-6Al-4V Alloy Manufactured by Selective Laser Melting. Mater. Sci.—Noneqilibrium Phase Transform. 2017, 3, 2–103. [Google Scholar]
- Pound, B.G. Pit Initiation on Biomedical Alloys—A Review. J. Biomed. Mater. Res. B Appl. Biomater. 2024, 112, e35367. [Google Scholar] [CrossRef]
- Outlav, R.A.; Lee, W.S.; HoekJe, S.J.; Sankaran, S.N. Sulfur Segregation in Titanium and Selected Titanium Alloys. Appl. Surf. Sci. 1994, 81, 143–150. [Google Scholar] [CrossRef]
- Yang, X.; Du, C.; Wan, H.; Liu, Z.; Li, X. Influence of Sulfides on the Passivation Behavior of Titanium Alloy TA2 in Simulated Seawater Environments. Appl. Surf. Sci. 2018, 458, 198–209. [Google Scholar] [CrossRef]
- Hanawa, T. Titanium-Tissue Interface Reaction and Its Control with Surface Treatment. Front. Bioeng. Biotechnol. 2019, 7, 170. [Google Scholar] [CrossRef] [PubMed]
- Krupa, D.; Baszkiewicz, J.; Kozubowski, J.A.; Barcz, A.; Sobczak, J.W.; Biliński, A.; Lewandowska-Szumiełl, M.; Rajchel, B. Effect of Phosphorus-Ion Implantation on the Corrosion Resistance and Biocompatibility of Titanium. Biomaterials 2002, 23, 3329–3340. [Google Scholar] [CrossRef]
- Li, Z.Z.; Wei, Y.; Zhou, H.B.; Lu, G.H. Investigating the Effects of Phosphorus in a Binary-Phase TiAl-Ti3Al Alloy by First-Principles: From Site Preference, Interfacial Energetics to Mechanical Properties. Eur. Phys. J. B 2016, 89, 280. [Google Scholar] [CrossRef]
- Li, Q.; Ghadiani, H.; Jalilvand, V.; Alam, T.; Farhat, Z.; Islam, M.A. Hydrogen Impact: A Review on Diffusibility, Embrittlement Mechanisms, and Characterization. Materials 2024, 17, 965. [Google Scholar] [CrossRef] [PubMed]
- Falkenberg, R.; Kamachali, R.D. Segregation-Induced Hydrogen Embrittlement in Titanium. Materialia 2025, 41, 102411. [Google Scholar] [CrossRef]
- Rodrigues, D.C.; Urban, R.M.; Jacobs, J.J.; Gilbert, J.L. In Vivo Severe Corrosion and Hydrogen Embrittlement of Retrieved Modular Body Titanium Alloy Hip-Implants. J. Biomed. Mater. Res. B Appl. Biomater. 2009, 88, 206–219. [Google Scholar] [CrossRef]
- Feyerabend, F.; Siemers, C.; Willumeit, R.; Rösler, J. Cytocompatibility of a Free Machining Titanium Alloy Containing Lanthanum. J. Biomed. Mater. Res. A 2009, 90, 931–939. [Google Scholar] [CrossRef]
- Ninomi, M.; Akiyama, S.; Ikeda, M.; Hagiwara, M.; Maruyama, K. A New Free Machining Titanium Alloy Containing Lanthanum. In Science and Technology, Proceedings of the 11th World Conference on Titanium; Japan Institute of Metals: Kyoto, Japan, 2007. [Google Scholar]
- Benfer, S.; Siemers, C.; Rösler, J.; Fürbeth, W. Influence of La-Content and Microstructure on the Corrosion Properties of a New Free Machining Titanium Alloy. ECS Trans. 2010, 25, 3–15. [Google Scholar] [CrossRef]
- Song, X.; Wang, L.; Niinomi, M.; Nakai, M.; Liu, Y.; Zhu, M. Microstructure and Fatigue Behaviors of a Biomedical Ti-Nb-Ta-Zr Alloy with Trace CeO2 Additions. Mater. Sci. Eng. A 2014, 619, 112–118. [Google Scholar] [CrossRef]
- Seagle, S.R.; Hall, G.S.; Bomberger, H.B. Effect of Yttrium on the Microstructure of Titanium Alloys. Titanium’80 Sci. Technol. 1980, 3, 2169–2175. [Google Scholar]
- Li, Q.; Yang, Z.; Xia, C.; Wang, X.; Yang, T.; Liang, C.; Yin, F.; Liu, R. Effects of Y Addition on Microstructure and Mechanical Properties of Ti-25Zr Alloys. Mater. Sci. Eng. A 2019, 748, 236–243. [Google Scholar] [CrossRef]
- Poorganji, B.; Kazahari, A.; Narushima, T.; Ouchi, C.; Furuhara, T. Effect of Yttrium Addition on Grain Growth of α, β and A+β Titanium Alloys. In Proceedings of the Journal of Physics: Conference Series; Institute of Physics Publishing: Bristol, UK, 2010; Volume 240. [Google Scholar]
- Pilchak, A.L.; Williams, J.C. Effect of Yttrium on the Fatigue Behavior of Investment-Cast and Wrought Ti-6Al-4V. Metall. Mater. Trans. A Phys. Metall. Mater. Sci. 2009, 40, 2603–2615. [Google Scholar] [CrossRef]
- Markovsky, P.E.; Akhonin, S.V.; Berezos, V.A.; Bondarchuk, V.I.; Stasuk, O.O.; Karasevska, O.P.; Gavrysh, I.M. Microstructure and Tensile Properties of Cost-Efficient Thermally Hardenable α + β Alloys of Ti–Al–Mo–Fe and Ti–Al–Mo–Cr Systems. Metallogr. Microstruct. Anal. 2020, 9, 856–872. [Google Scholar] [CrossRef]
- Rabadia, C.D.; Liu, Y.J.; Cao, G.H.; Li, Y.H.; Zhang, C.W.; Sercombe, T.B.; Sun, H.; Zhang, L.C. High-Strength β Stabilized Ti-Nb-Fe-Cr Alloys with Large Plasticity. Mater. Sci. Eng. A 2018, 732, 368–377. [Google Scholar] [CrossRef]
- Mei, S.; Wang, Q.; Chen, R.; Gao, Y.; Li, X.; Wang, X. Effect of Chromium Element and Aging Time on the Microstructure and Mechanical Properties of Casting TIMETAL LCB. J. Alloys Compd. 2025, 1044, 184072. [Google Scholar] [CrossRef]
- Goutam, M.; Giriyapura, C.; Mishra, S.; Gupta, S. Titanium Allergy: A Literature Review. Indian J. Dermatol. 2014, 59, 630. [Google Scholar] [CrossRef]
- Gao, X.; He, R.X.; Yan, S.G.; Wu, L.D. Dermatitis Associated with Chromium Following Total Knee Arthroplasty. J. Arthroplast. 2011, 26, 665.e13–665.e16. [Google Scholar] [CrossRef]
- Stricker, A.; Bergfeldt, T.; Fretwurst, T.; Addison, O.; Schmelzeisen, R.; Rothweiler, R.; Nelson, K.; Gross, C. Impurities in Commercial Titanium Dental Implants—A Mass and Optical Emission Spectrometry Elemental Analysis. Dent. Mater. 2022, 38, 1395–1403. [Google Scholar] [CrossRef]
- Okulov, A.; Berger, S.; Okulov, I. Influence of β-Stabilizer Element on Microstructure and Mechanical Behavior of Porous Titanium Alloy Synthesized by Liquid Metal Dealloying. Materials 2023, 16, 5699. [Google Scholar] [CrossRef]
- Seo, B.; Im, H.T.; Park, K.B.; Park, K.; Park, H.K. Effect of Iron Content on Corrosion Properties of Pure Titanium as Grain Refiner. Materials 2021, 14, 7193. [Google Scholar] [CrossRef]
- Leban, M.B.; Kosec, T.; Finšgar, M. Corrosion Characterization and Ion Release in SLM-Manufactured and Wrought Ti6Al4V Alloy in an Oral Environment. Corros. Sci. 2022, 209, 110716. [Google Scholar] [CrossRef]
- Ou-yang, X.; Yu, Y.; Ye, W.; Zhang, W.; Liu, Q.; Hui, S. The Corrosion Behavior and Passive Film Structure of Industrial Pure Titanium with Different Fe Content in Hydrochloric Acid. J. Mater. Res. Technol. 2025, 35, 599–610. [Google Scholar] [CrossRef]
- Kheder, W.; Al Kawas, S.; Khalaf, K.; Samsudin, A.R. Impact of Tribocorrosion and Titanium Particles Release on Dental Implant Complications—A Narrative Review. Jpn. Dent. Sci. Rev. 2021, 57, 182–189. [Google Scholar] [CrossRef] [PubMed]
- Tang, C.Q.Y.; Chuah, K.L.; Teoh, L.C. Metallosis Following Titanium Implant Use in the Hand: A Case Report and Review of Current Literature. J. Hand Microsurg. 2023, 15, 318–321. [Google Scholar] [CrossRef]
- Du, A.; Jarfors, A.E.W.; Zheng, J.; Wang, K.; Yu, G. The Influence of La and Ce on Microstructure and Mechanical Properties of an Al-Si-Cu-Mg-Fe Alloy at High Temperature. Metals 2021, 11, 384. [Google Scholar] [CrossRef]
- Rogachev, S.O.; Naumova, E.A.; Lukina, E.A.; Zavodov, A.V.; Khatkevich, V.M. High Strength al–La, al–Ce, and al–Ni Eutectic Aluminum Alloys Obtained by High-Pressure Torsion. Materials 2021, 14, 6404. [Google Scholar] [CrossRef]
- Zhang, X.; Sui, Y.; Jiang, Y.; Wang, Q. Effect of Ce on the Microstructure and Corrosion Resistance of Al-5Mg-3Zn-1Cu Alloy. Metals 2022, 12, 371. [Google Scholar] [CrossRef]
- Zhang, H.; Wu, M.; Li, Z.; Xiao, D.; Huang, Y.; Huang, L.; Liu, W. Microstructure and Mechanical Properties of As-Cast Al-10Ce-3Mg-XZn Alloys. Materials 2024, 17, 3999. [Google Scholar] [CrossRef]
- Jing, Z.; Liu, R.; Geng, N.; Wang, Y.; Sun, Y. Simulation of Solidification Structure in the Vacuum Arc Remelting Process of Titanium Alloy TC4 Based on 3D CAFE Method. Processes 2024, 12, 802. [Google Scholar] [CrossRef]
- Cegan, T.; Petlak, D.; Skotnicova, K.; Jurica, J.; Smetana, B.; Zla, S. Metallurgical Preparation of Nb-Al and W-Al Intermetallic Compounds and Characterization of Their Microstructure and Phase Transformations by DTA Technique. Molecules 2020, 25, 2001. [Google Scholar] [CrossRef]
- El-Hadad, S.; Elsayed, A.; Shi, B.; Attia, H. Experimental Investigation on Machinability of α/β Titanium Alloys with Different Microstructures. Materials 2023, 16, 7157. [Google Scholar] [CrossRef] [PubMed]
- Carobolante, J.P.A.; Pereira Júnior, A.; Bortolini Junior, C.; Barboza da Silva, K.; Sabino, R.M.; Popat, K.C.; Claro, A.P.R.A. Processing and Characterization of a New Quaternary Alloy Ti10Mo8Nb6Zr for Potential Biomedical Applications. Materials 2022, 15, 8636. [Google Scholar] [CrossRef] [PubMed]
- Jing, C.; Qu, S.; Feng, A.; Wang, H.; Chen, D. Influence of Microstructure and Texture on Tensile Properties of an As-Rolled Ti2AlNb-Based Alloy. Metals 2025, 15, 631. [Google Scholar] [CrossRef]
- Staron, P.; Stark, A.; Schell, N.; Spoerk-Erdely, P.; Clemens, H. Thermal Expansion of a Multiphase Intermetallic Ti-Al-Nb-Mo Alloy Studied by High-Energy X-Ray Diffraction. Materials 2021, 14, 727. [Google Scholar] [CrossRef]
- Zhao, J.; Utton, C.; Tsakiropoulos, P. On the Microstructure and Properties of Nb-18Si-6Mo-5al-5cr-2.5w-1Hf Nb-Silicide Based Alloys with Ge, Sn and Ti Additions (at.%). Materials 2020, 13, 4548. [Google Scholar] [CrossRef]
- Gökçe, A.; Balla, V.K.; Nath, S.D.; Akilan, A.A.; Atre, S.V. Laser Powder Bed Fusion of a Ti-16Nb-Based Alloy: Processability, Microstructure, and Mechanical Properties. Metals 2025, 15, 728. [Google Scholar] [CrossRef]
- Madhusudhana Reddy, B.; Sunil Kumar Reddy, S.; Vinod, B. Fabrication and Characterization of Ti-Al-Cr-Nb Alloy by Casting Technique: Microstructural Evolution and Implications for Surface Mechanisms. Eng. Proc. 2025, 93, 27. [Google Scholar]
- Luup Carvalho, D.M.; Paim, D.D.; Schramm Deschamps, I.; Aguilar, C.; Klein, A.N.; Cavilha Neto, F.; Oliveira Neves, G.; Binder, C. Effect of Nb and Si Content on Phase Stability, Microstructure and Mechanical Properties of Sintered Ti–Nb–Si Alloys. Metals 2025, 15, 34. [Google Scholar] [CrossRef]
- Huang, K.; Xu, F.; Liu, X.; Liu, S.; Wang, Q.; Baker, I.; Song, M.; Wu, H. Microstructure, Mechanical, and Tribological Properties of Nb-Doped TiAl Alloys Fabricated via Laser Metal Deposition. Materials 2024, 17, 4260. [Google Scholar] [CrossRef]
- Liu, J.; Zhang, F.; Nan, H.; Feng, X.; Ding, X. Effect of C Addition on As-Cast Microstructures of High Nb Containing TiAl Alloys. Metals 2019, 9, 1201. [Google Scholar] [CrossRef]
- ISO 14577-1:2015; Metallic Materials—Instrumented Indentation Test for Hardness and Materials Parameters. ISO: Geneva, Switzerland, 2015.
- Rahimian Koloor, S.S.; Karimzadeh, A.; Tamin, M.N.; Abd Shukor, M.H. Effects of Sample and Indenter Configurations of Nanoindentation Experiment on the Mechanical Behavior and Properties of Ductile Materials. Metals 2018, 8, 421. [Google Scholar] [CrossRef]
- Wheeler, D.W. Structure and Mechanical Properties of a Titanium–8 Wt.% Gallium Alloy. Crystals 2024, 14, 1061. [Google Scholar] [CrossRef]
- Bebon, L.; Maynadier, A.; Gaillard, Y.; Chapelle, D. Multiscale Elastic Modulus Characterization of Ti0.5Fe0.45Mn0.05, an Iron–Titanium–Manganese Alloy Dedicated to Hydrogen Storage. Materials 2024, 17, 6100. [Google Scholar] [CrossRef] [PubMed]
- Maculotti, G.; Giorio, L.; Genta, G.; Galetto, M. Metrological Comparison of Indirect Calibration Methods for Nanoindentation: A Bootstrap-Based Approach. Materials 2025, 18, 4382. [Google Scholar] [CrossRef]
- González-Guillén, C.; Al Hawajreh Kamel, G.; Degalez-Duran, E.; Klyatskina, E.; Naeem, M.; Romero-Resendiz, L.; Gonzalez, G.; Amigó Borrás, V. The Effect of Ti/Ta Ratio and Processing Routes on the Hardness and Elastic Modulus of Porous TiNbZrTa Alloys. Materials 2023, 16, 7362. [Google Scholar] [CrossRef]
- Sommer, U.; Laurich, S.; de Azevedo, L.; Viehoff, K.; Wenisch, S.; Thormann, U.; Alt, V.; Heiss, C.; Schnettler, R. In Vitro and in Vivo Biocompatibility Studies of a Cast and Coated Titanium Alloy. Molecules 2020, 25, 3399. [Google Scholar] [CrossRef]
- Kafri, A.; Ovadia, S.; Goldman, J.; Drelich, J.; Aghion, E. The Suitability of Zn-1.3%fe Alloy as a Biodegradable Implant Material. Metals 2018, 8, 153. [Google Scholar] [CrossRef]
- Drobyshev, A.; Gurganchova, Z.; Redko, N.; Komissarov, A.; Bazhenov, V.; Statnik, E.S.; Sadykova, I.A.; Sviridov, E.; Salimon, A.I.; Korsunsky, A.M.; et al. An In Vivo Rat Study of Bioresorbable Mg-2Zn-2Ga Alloy Implants. Bioengineering 2023, 10, 273. [Google Scholar] [CrossRef]
- Mathew, A.; Hassan, H.W.; Korostynska, O.; Westad, F.; Mota-Silva, E.; Menichetti, L.; Mirtaheri, P. In Vivo Analysis of a Biodegradable Magnesium Alloy Implant in an Animal Model Using Near-Infrared Spectroscopy. Sensors 2023, 23, 3063. [Google Scholar] [CrossRef]
- Flores-Sáenz, M.; Chico, B.; García Alonso, M.C.; Clemente de Arriba, C.; Aguado-Henche, S. Intra-Articular Injection in Wistar Rats: Standardization and Experimental Validation of a Precise Protocol for Nanomaterial Administration. Nanomaterials 2025, 16, 9. [Google Scholar] [CrossRef]
- Tian, W.; Hu, M.; Chen, X.; Zhou, H.; Sun, Y.; Lu, Q.; Wan, M. Effect of Ce Addition on Microstructure, Mechanical Properties and Corrosion Behavior of Al-Cu-Mn-Mg-Fe Alloy. Mater. Res. Express 2020, 7, 036532. [Google Scholar] [CrossRef]
- Wang, H.B.; Wang, S.S.; Gao, P.Y.; Jiang, T.; Lu, X.G.; Li, C.H. Microstructure and Mechanical Properties of a Novel Near-α Titanium Alloy Ti6.0Al4.5Cr1.5Mn. Mater. Sci. Eng. A 2016, 672, 170–174. [Google Scholar] [CrossRef]
- Fu, Y.; Lv, M.; Zhao, Q.; Zhang, H.; Cui, Z. Investigation on the Size and Distribution Effects of O Phase on Fracture Properties of Ti2AlNb Superalloy by Using Image-Based Crystal Plasticity Modeling. Mater. Sci. Eng. A 2021, 805, 140787. [Google Scholar] [CrossRef]
- Wang, Q.; Ding, H.; Zhang, H.; Liu, S.; Chen, R.; Guo, J.; Fu, H. Growth Rates Dependence of Macro/Microstructures and Mechanical Properties of Ti-47Al-2Nb-2Cr-0.2Er Alloy Directionally Solidified by Cold Crucible. Mater. Des. 2017, 125, 146–157. [Google Scholar] [CrossRef]
- Nath, P.; Bhattacharjee, A.; Sen, I. Indentation Size Effect in 2nd and 3rd Generation Advanced Intermetallic TiAl Alloys: Theoretical and Experimental Estimation of Dislocation Density. J. Mater. Sci. 2024, 59, 3066–3086. [Google Scholar] [CrossRef]
- Demir, E.; Raabe, D.; Zaafarani, N.; Zaefferer, S. Investigation of the Indentation Size Effect through the Measurement of the Geometrically Necessary Dislocations beneath Small Indents of Different Depths Using EBSD Tomography. Acta Mater. 2009, 57, 559–569. [Google Scholar] [CrossRef]
- Widjaja, A.; Needleman, A.; Van Der Giessen, E. The Effect of Indenter Shape on Sub-Micron Indentation According to Discrete Dislocation Plasticity. Model. Simul. Mater. Sci. Eng. 2007, 15, S121. [Google Scholar] [CrossRef]
- Voyiadjis, G.Z.; Yaghoobi, M. Review of Nanoindentation Size Effect: Experiments and Atomistic Simulation. Crystals 2017, 7, 321. [Google Scholar] [CrossRef]
- Xu, Y.; Liu, Z.; Zhu, X.; Jiang, Z.; Chen, H.; Wang, N. Effect of Rare Earth Ce Addition on Microstructure and Mechanical Properties of Titanium Alloy Ti-6Al-4V. Mater. Lett. 2023, 330, 133244. [Google Scholar] [CrossRef]
- Li, K.M.; Liu, Y.J.; Liu, X.C.; Wu, X.; Zhou, S.F.; Zhang, L.C.; Li, W.; Zhang, W.C. Simultaneous Strength-Ductility Enhancement in as-Cast Ti6Al4V Alloy by Trace Ce. Mater. Des. 2022, 215, 110491. [Google Scholar] [CrossRef]
- Wheeler, D.W.; Zekonyte, J.; Wood, R.J.K. Structure and Mechanical Properties of Ce-La Alloys Containing 3–10 Wt. % La. J. Nucl. Mater. 2021, 543, 152497. [Google Scholar] [CrossRef]
- Chen, Y.-H.; Guan, S.-W.; Xing, M.; Wai-Kwok Yeung, K.; Liu, X.-Y.; Qian, W.-H.; Yin, J.-B.; Qiu, J.-J. Ce-Doped Defective Titanium Oxide Coating with Antibacterial, Antioxidant and Anti-Inflammatory Properties for Potential Application of Peri-Implantitis Treatment. Rare Met. 2024, 44, 472–488. [Google Scholar] [CrossRef]
- Yang, Y.F.; Luo, S.D.; Schaffer, G.B.; Qian, M. Impurity Scavenging, Microstructural Refinement and Mechanical Properties of Powder Metallurgy Titanium and Titanium Alloys by a Small Addition of Cerium Silicide. Mater. Sci. Eng. A 2013, 573, 166–174. [Google Scholar] [CrossRef]
- Cui, J.; Yang, M.; Liu, G.; Wang, L.; Sun, S.; Wang, B.; Cai, H.; Xue, Y. Work-Hardening Ability Enhancement of Lightweight High Entropy Alloys via Adding Yttrium. J. Alloys Compd. 2024, 970, 172734. [Google Scholar] [CrossRef]
- Wang, Q.; Zhang, K.; Qiu, D.; Niu, W. Additive Manufacturing of High-Strength Commercially Pure Titanium through Lanthanum Oxide Addition. Mater. Charact. 2021, 176, 111074. [Google Scholar] [CrossRef]
- Zhu, Y.; Deng, Y.; An, Y.; Liu, R.; Liu, L.; Wang, Z.; Wang, B. Effect of Rare Earth Lanthanum Addition on Microstructure and Properties of Pure Titanium. J. Mater. Eng. Perform. 2025, 34, 4669–4679. [Google Scholar] [CrossRef]
- Zhu, Y.; Deng, Y.; An, Y.; Wang, K.; Liu, R.; Liu, L.; Wang, Z.; Xiao, Y.; Wang, B. Effect of Microalloying with Rare-Earth Lanthanum on Dynamic Recrystallization Behavior and Mechanical Properties of Ti Sheets. Mater. Today Commun. 2024, 39, 109155. [Google Scholar] [CrossRef]
- Wang, X.; Zhang, S.; Wang, L.; Liu, W.; Wu, Y.; Wang, L. Effect of Yttrium Addition on the Formation and Mechanical Properties of Ti-Zr-Ni-Cu Bulk Quasicrystalline Alloys. J. Alloys Compd. 2012, 522, 96–100. [Google Scholar] [CrossRef]
- Priyadarshini, B.; Ramya, S.; Shinyjoy, E.; Kavitha, L.; Gopi, D.; Vijayalakshmi, U. Structural, Morphological and Biological Evaluations of Cerium Incorporated Hydroxyapatite Sol-Gel Coatings on Ti-6Al-4V for Orthopaedic Applications. J. Mater. Res. Technol. 2021, 12, 1319–1338. [Google Scholar] [CrossRef]
- Mattern, N.; Yokoyama, Y.; Mizuno, A.; Han, J.H.; Fabrichnaya, O.; Richter, M.; Kohara, S. Experimental and Thermodynamic Assessment of the La-Ti and La-Zr Systems. Calphad 2016, 52, 8–20. [Google Scholar] [CrossRef]
- Liu, Z.G.; Chai, L.H.; Chen, Y.Y. Effect of Cooling Rate and y Element on the Microstructure of Rapidly Solidified TiAl Alloys. J. Alloys Compd. 2010, 504, S491–S495. [Google Scholar] [CrossRef]
- Weng, W.; Biesiekierski, A.; Lin, J.; Ozan, S.; Li, Y.; Wen, C. Impact of the Rare Earth Elements Scandium and Yttrium on Beta-Type Ti-24Nb-38Zr-2Mo-Base Alloys for Orthopedic Applications. Materialia 2020, 9, 100586. [Google Scholar] [CrossRef]
- Kazantseva, N.V.; Lepikhin, S.V. Study of the Ti-Al-Nb Phase Diagram. Phys. Met. Metallogr. 2006, 102, 169–180. [Google Scholar] [CrossRef]
- Ghazisaeidi, M.; Trinkle, D.R. Interaction of Oxygen Interstitials with Lattice Faults in Ti. Acta Mater. 2014, 76, 82–86. [Google Scholar] [CrossRef]
- Feng, X.; Liang, Y.; Sun, H.; Wang, S. Effect of Dislocation Slip Mechanism under the Control of Oxygen Concentration in Alpha-case on Strength and Ductility of Tc4 Alloy. Metals 2021, 11, 1057. [Google Scholar] [CrossRef]
- Das, S.; Gurav, S.; Soni, V.; Ingle, A.; Mohanty, B.S.; Chaudhari, P.; Bendale, K.; Dholam, K.; Bellare, J.R. Osteogenic Nanofibrous Coated Titanium Implant Results in Enhanced Osseointegration: In Vivo Preliminary Study in a Rabbit Model. Tissue Eng. Regen. Med. 2018, 15, 231–247. [Google Scholar] [CrossRef]
- Takamura, K.; Hayashi, K.; Ishinishi, N.; Yamada, T.; Sugioka, Y. Evaluation of Carcinogenicity and Chronic Toxicity Associated with Orthopedic Implants in Mice. J. Biomed. Mater. Res. 1994, 28, 583–589. [Google Scholar] [CrossRef]
- Khadija, G.; Saleem, A.; Akhtar, Z.; Naqvi, Z.; Gull, M.; Masood, M.; Mukhtar, S.; Batool, M.; Saleem, N.; Rasheed, T.; et al. Short Term Exposure to Titanium, Aluminum and Vanadium (Ti 6Al 4V) Alloy Powder Drastically Affects Behavior and Antioxidant Metabolites in Vital Organs of Male Albino Mice. Toxicol. Rep. 2018, 5, 765–770. [Google Scholar] [CrossRef]
- Angrisani, N.; Seitz, J.-M.; Meyer-Lindenberg, A.; Reifenrath, J. Rare Earth Metals as Alloying Components in Magnesium Implants for Orthopaedic Applications. In New Features on Magnesium Alloys; InTech: London, UK, 2012. [Google Scholar]
- Biesiekierski, A.; Li, Y.; Wen, C. The Application of the Rare Earths to Magnesium and Titanium Metallurgy in Australia. Adv. Mater. 2020, 32, e1901715. [Google Scholar] [CrossRef]
- Sun, Z.; Zuo, K.; Zhu, X.; Yue, H.; Gao, Z. Latest Research Progress of Rare Earth-Magnesium Alloys in Orthopedics. J. South. Med. Univ. 2025, 45, 437–442. [Google Scholar] [CrossRef]
- Feyerabend, F.; Fischer, J.; Holtz, J.; Witte, F.; Willumeit, R.; Drücker, H.; Vogt, C.; Hort, N. Evaluation of Short-Term Effects of Rare Earth and Other Elements Used in Magnesium Alloys on Primary Cells and Cell Lines. Acta Biomater. 2010, 6, 1834–1842. [Google Scholar] [CrossRef] [PubMed]
- Glassman, S.D.; Carreon, L.Y.; Aruwajoye, O.; Benson, N.M.; Li, P.; Kurian, A.S. Local Temperature Elevation as a Marker of Spinal Implant Infection in an Animal Model. N. Am. Spine Soc. J. 2021, 7, 100077. [Google Scholar] [CrossRef] [PubMed]
- Cattaneo, A.G.; Gornati, R.; Sabbioni, E.; Chiriva-Internati, M.; Cobos, E.; Jenkins, M.R.; Bernardini, G. Nanotechnology and Human Health: Risks and Benefits. J. Appl. Toxicol. 2010, 30, 730–744. [Google Scholar] [CrossRef] [PubMed]
- Giannini, E.G.; Testa, R.; Savarino, V. Liver Enzyme Alteration: A Guide for Clinicians. CMAJ. Can. Med. Assoc. J. 2005, 172, 367–379. [Google Scholar] [CrossRef]
- Hassan Sahib, A.; Kadhim Katia, M.; Satar Hassan, S. Hepatotoxicity of Titanium Dioxide Nanoparticles (TiO2-NPs) in Adult Albino Rat Model: Comparative Histolopathological Study. Am. J. Biomed. Pharm. 2025, 2, 85–96. [Google Scholar]
- Rizk, M.Z.; Ali, S.A.; Hamed, M.A.; El-Rigal, N.S.; Aly, H.F.; Salah, H.H. Toxicity of Titanium Dioxide Nanoparticles: Effect of Dose and Time on Biochemical Disturbance, Oxidative Stress and Gentoxicity in Mice. Biomed. Pharmacother. 2017, 90, 466–472. [Google Scholar] [CrossRef]
- Bhattacharya, K.; Davoren, M.; Boertz, J.; Schins, R.P.F.; Hoffmann, E.; Dopp, E. Titanium Dioxide Nanoparticles Induce Oxidative Stress and DNA-Adduct Formation but Not DNA-Breakage in Human Lung Cells. Part. Fibre Toxicol. 2009, 6, 17. [Google Scholar] [CrossRef]
- Hou, J.; Wang, L.; Wang, C.; Zhang, S.; Liu, H.; Li, S.; Wang, X. Toxicity and Mechanisms of Action of Titanium Dioxide Nanoparticles in Living Organisms. J. Environ. Sci. 2019, 75, 40–53. [Google Scholar] [CrossRef]
- Fei, M.; Li, N.; Ze, Y.; Liu, J.; Wang, S.; Gong, X.; Duan, Y.; Zhao, X.; Wang, H.; Hong, F. The Mechanism of Liver Injury in Mice Caused by Lanthanoids. Biol. Trace Elem. Res. 2011, 140, 317–329. [Google Scholar] [CrossRef]
- Valko, M.; Jomova, K.; Rhodes, C.J.; Kuča, K.; Musílek, K. Redox- and Non-Redox-Metal-Induced Formation of Free Radicals and Their Role in Human Disease. Arch. Toxicol. 2016, 90, 1–37. [Google Scholar] [CrossRef]
- Corsi, F.; Deidda Tarquini, G.; Urbani, M.; Bejarano, I.; Traversa, E.; Ghibelli, L. The Impressive Anti-Inflammatory Activity of Cerium Oxide Nanoparticles: More than Redox? Nanomaterials 2023, 13, 2803. [Google Scholar] [CrossRef] [PubMed]
- Hussain, S.; Vanoirbeek, J.A.J.; Hoet, P.H.M. Interactions of Nanomaterials with the Immune System. Wiley Interdiscip. Rev. Nanomed. Nanobiotechnol. 2012, 4, 169–183. [Google Scholar] [CrossRef] [PubMed]
- Mowaad, N.A.; Baraka, S.M.; Ibrahim, S.; Mansour, D.A.; Korany, R.M.S.; El-Sayed, A.F.; Hassan, A.A. Cerium Oxide Nanoparticles Attenuate Hepatic Failure via Blocking TGF-β/Smads and Upregulating Nrf2/HO-1 Signaling Pathways in Liver Fibrosis Rat Model. Naunyn. Schmiedebergs Arch. Pharmacol. 2025, 399, 745–767. [Google Scholar] [CrossRef] [PubMed]
- El-Shenawy, N.S.; Mohsen, Q.; Fadl-Allah, S.A. Oxidative Stress and Antioxidant Responses of Liver and Kidney Tissue after Implantation of Titanium or Titanium Oxide Coated Plate in Rat Tibiae. J. Mater. Sci. Mater. Med. 2012, 23, 1763–1774. [Google Scholar] [CrossRef]
- Chen, D.; Liu, Y.; Chen, A.-J.; Nie, Y.-X. Experimental Study of Subchronic Toxicity of Lanthanum Nitrate on Liver in Rats. Nonlinearity Biol. Toxicol. Med. 2003, 1, 469–480. [Google Scholar] [CrossRef]
- Costa, B.C.; Tokuhara, C.K.; Rocha, L.A.; Oliveira, R.C.; Lisboa-Filho, P.N.; Costa Pessoa, J. Vanadium Ionic Species from Degradation of Ti-6Al-4V Metallic Implants: In Vitro Cytotoxicity and Speciation Evaluation. Mater. Sci. Eng. C 2019, 96, 730–739. [Google Scholar] [CrossRef]
- Eisenbarth, E.; Velten, D.; Schenk-Meuser, K.; Linez, P.; Biehl, V.; Duschner, H.; Breme, J.; Hildebrand, H. Interactions between Cells and Titanium Surfaces. Biomol. Eng. 2002, 19, 243. [Google Scholar] [CrossRef]
- Novaes, A.B., Jr.; Souza, S.L.S.D.; Barros, R.R.M.D.; Pereira, K.K.Y.; Iezzi, G.; Piattelli, A. Influence of Implant Surfaces on Osseointegration. Braz. Dent. J. 2010, 21, 471–481. [Google Scholar] [CrossRef]
- Thakur, S.; Kanniyappan, H.; Gupta, P.; Perumal, G.; Hillwig, R.; Bodke, V.V.; Khetani, S.R.; Mathew, M.T. Evaluating the Potential Hepatotoxicity from Hip Implant Wear Products—An in-Vitro and in-Vivo Study. Biomater. Biosyst. 2025, 18, 100113. [Google Scholar] [CrossRef]
- Alyami, N.M.; Alobadi, H.; Maodaa, S.; Alothman, N.S.; Almukhlafi, H.; Yaseen, K.N.; Alnakhli, Z.A.; Alshiban, N.M.; Elnagar, D.M.; Rady, A.; et al. Determination of Dose- and Time-Dependent Hepatotoxicity and Apoptosis of Lanthanum Oxide Nanoparticles in Female Swiss Albino Mice. Environ. Sci. Pollut. Res. 2024, 31, 17124–17139. [Google Scholar] [CrossRef]
- Setiyorini, Y.; Anggraeni, A.; Pintowantoro, S. In-Vivo Study of Nano Chitosan as Therapeutic Agent for Toxic Metal Implant. Results Eng. 2022, 13, 100352. [Google Scholar] [CrossRef]
- Lansdown, A.B.G. Physiological and Toxicological Changes in the Skin Resulting from the Action and Interaction of Metal Ions. Crit. Rev. Toxicol. 1995, 25, 397–462. [Google Scholar] [CrossRef] [PubMed]
- Świątkowska, I. Implant Metals and Their Potential Toxicity. In Biomarkers of Hip Implant Function; Elsevier: Amsterdam, The Netherlands, 2023; pp. 75–103. [Google Scholar]
- Hirano, S.; Suzuki, K.T. Exposure, Metabolism, and Toxicity of Rare Earths and Related Compounds. Environ. Health Perspect. 1996, 1, 85–95. [Google Scholar] [CrossRef]
- Rucki, M.; Kejlova, K.; Vlkova, A.; Jirova, D.; Dvorakova, M.; Svobodova, L.; Kandarova, H.; Letasiova, S.; Kolarova, H.; Mannerstrom, M.; et al. Evaluation of Toxicity Profiles of Rare Earth Elements Salts (Lanthanides). J. Rare Earths 2021, 39, 225–232. [Google Scholar] [CrossRef]
- Panyala, A.; Chinde, S.; Kumari, S.I.; Rahman, M.F.; Mahboob, M.; Kumar, J.M.; Grover, P. Comparative Study of Toxicological Assessment of Yttrium Oxide Nano- and Microparticles in Wistar Rats after 28 Days of Repeated Oral Administration. Mutagenesis 2019, 34, 181–201. [Google Scholar] [CrossRef]
- Tonelli, M.; Sacks, F.; Pfeffer, M.; Jhangri, G.S.; Curhan, G. Biomarkers of Inflammation and Progression of Chronic Kidney Disease. Kidney Int. 2005, 68, 237–245. [Google Scholar] [CrossRef]
- Stuveling, E.M.; Hillege, H.L.; Bakker, S.J.L.; Gans, R.O.B.; De Jong, P.E.; De Zeeuw, D. C-Reactive Protein Is Associated with Renal Function Abnormalities in a Non-Diabetic Population. Kidney Int. 2003, 63, 654–661. [Google Scholar] [CrossRef]
- Hussain, T.; Tan, B.; Yin, Y.; Blachier, F.; Tossou, M.C.B.; Rahu, N. Oxidative Stress and Inflammation: What Polyphenols Can Do for Us? Oxid. Med. Cell. Longev. 2016, 2016, 7432797. [Google Scholar] [CrossRef]
- Prasad, K.; Dhar, I. Oxidative Stress as a Mechanism of Added Sugar-Induced Cardiovascular Disease. Int. J. Angiol. 2014, 23, 217–226. [Google Scholar] [CrossRef]
- Sarmiento-González, A.; Encinar, J.R.; Marchante-Gayón, J.M.; Sanz-Medel, A. Titanium Levels in the Organs and Blood of Rats with a Titanium Implant, in the Absence of Wear, as Determined by Double-Focusing ICP-MS. Anal. Bioanal. Chem. 2009, 393, 335–343. [Google Scholar] [CrossRef]











| Rare-earth Element | Toxicity LC50 (mg/L) |
|---|---|
| Yttrium (Y) | 27.6 |
| Lanthanum (La) | 62.7 |
| Cerium (Ce) | 25.6 |
| Neodymium (Nd) | 47.6 |
| Gadolinium (Ga) | 58.2 |
| Terbium (Tb) | 11.4 |
| Element | Compositional Limits, wt. % (ASTM F1295–24) | Compositional Limits, wt. % (ISO 5832–11:2024) |
|---|---|---|
| Titanium (Ti) | Balance | Balance |
| Aluminum (Al) | 5.50 to 6.50 | 5.50 to 6.50 |
| Niobium (Nb) | 6.50 to 7.50 | 6.50 to 7.50 |
| Iron (Fe) | 0.25 max | 0.25 max |
| Oxygen (O) | 0.20 max | 0.20 max |
| Carbon (C) | 0.08 max | 0.08 max |
| Nitrogen (N) | 0.05 max | 0.05 max |
| Hydrogen (H) | 0.009 max | 0.009 max |
| Cobalt (Co) | <0.10 | Not specified |
| Tantalum (Ta) | Not specified | 0.50 max |
| Other Elements, Each | 0.10 max | 0.10 max |
| Other Elements, Total | 0.40 max | 0.30 max |
| Specific REEs’ Limits | Not specified | Not specified |
| Alloy Composition and EDS Analysis Area | Elements, wt. % | |||
|---|---|---|---|---|
| Ti | Al | Nb | REE (Y, La, Ce) | |
| Ti–6Al–7Nb–0.3Y, spot | 53.35 ± 0.69 | 3.32 ± 0.13 | 4.43 ± 0.52 | 38.89 ± 0.47 |
| Ti–6Al–7Nb–0.3Y, area | 88.69 ± 0.73 | 5.87 ± 0.21 | 5.35 ± 0.29 | 0.08 ± 0.02 |
| Ti–6Al–7Nb–0.3La, spot | 49.72 ± 0.56 | 3.80 ± 0.17 | 4.84 ± 0.30 | 41.64 ± 0.57 |
| Ti–6Al–7Nb–0.3La, area | 86.69 ± 0.73 | 3.13 ± 0.13 | 6.22 ± 0.39 | 3.96 ± 0.31 |
| Ti–6Al–7Nb–0.3Ce, spot | 82.11 ± 0.74 | 5.43 ± 0.20 | 9.12 ± 0.38 | 3.34 ± 0.33 |
| Ti–6Al–7Nb–0.3Ce, area | 86.70 ± 0.72 | 7.03 ± 0.25 | 4.66 ± 0.29 | 1.61 ± 0.22 |
| Element, wt. % | Alloy Composition | ||
|---|---|---|---|
| Ti–6Al–7Nb–0.3Y | Ti–6Al–7Nb–0.3Ce | Ti–6Al–7Nb–0.3La | |
| Titanium (Ti) | 87.61 | 86.6 | 85.1 |
| Aluminum (Al) | 6.23 | 6.72 | 7.67 |
| Niobium (Nb) | 5.79 | 5.52 | 6.06 |
| Iron (Fe) | – | 0.296 | 0.34 |
| Vanadium (V) | 0.195 | 0.215 | 0.134 |
| Chromium (Cr) | – | 0.202 | 0.23 |
| Cerium (Ce) | 0.097 | 0.250 | – |
| Yttrium (Y) | 0.114 | – | – |
| Lanthanum (La) | – | – | 0.287 |
| Alloy Composition, wt. % | Oxygen, wt. % | Nitrogen, wt. % | Hydrogen, wt. % | Carbon, wt. % | Sulphur, wt. % | |
|---|---|---|---|---|---|---|
| Ti–6Al–7Nb–0.3Y | Average | 0.35 | 0.14 | 0.011 | 0.019 | 0.0061 |
| Sd | 0.02 | 0.01 | 0.001 | 0.001 | 0.0005 | |
| Ti–6Al–7Nb–0.3La | Average | 0.25 | 0.028 | 0.010 | 0.029 | 0.0080 |
| Sd | 0.02 | 0.005 | 0.002 | 0.001 | 0.0005 | |
| Ti–6Al–7Nb–0.3Ce | Average | 0.18 | 0.077 | 0.010 | 0.023 | 0.0061 |
| Sd | 0.02 | 0.004 | 0.002 | 0.001 | 0.0005 | |
| Crystal Orientation | Alloy Composition | ||
|---|---|---|---|
| Ti–6Al–7Nb–0.3Y | Ti–6Al–7Nb–0.3Ce | Ti–6Al–7Nb–0.3La | |
| α—Ti phase | |||
| 100 | + | + | + |
| 002 | + | + | + |
| 101 | + | + | + |
| 102 | + | + | + |
| 110 | + | + | + |
| 103 | + | + | + |
| 200 | + | + | + |
| 112 | + | + | + |
| 201 | + | + | + |
| β—Ti phase | |||
| 110 | − | + | + |
| 200 | − | + | + |
| 211 | − | + | + |
| Phase Name | a, A | c, A | D, nm | V, A3 | ∆V, % |
|---|---|---|---|---|---|
| α–Ti–6Al–7Nb–0.3Y | 2.943 | 4.697 | 22.32 | 183.798 | 0.269 |
| α–Ti–6Al–7Nb–0.3Ce | 2.925 | 4.683 | 30.77 | 180.290 | 1.799 |
| α–Ti–6Al–7Nb–0.3La | 2.941 | 4.688 | 29.83 | 182.502 | 0.595 |
| β–Ti–6Al–7Nb–0.3Ce | 3.279 | – | 23.34 | 35.266 | 0.334 |
| β–Ti–6Al–7Nb–0.3La | 3.290 | – | 25.61 | 35.622 | −0.670 |
| α–Ti №01–089–3073 ICSD | 2.951 | 4.685 | – | 183.594 | – |
| β–Ti №01–089–4913 ICSD | 3.283 | – | – | 35.384 | – |
| Alloy Composition, wt. % | True Density, g/cm3 | Std. Dev. |
|---|---|---|
| Ti–6Al–7Nb–0.3Y | 4.4563 | ±0.1075 |
| Ti–6Al–7Nb–0.3La | 4.8019 | ±0.0111 |
| Ti–6Al–7Nb–0.3Ce | 4.7255 | ±0.2853 |
| Alloy Composition, wt. % | HV 0.1 | HV 0.2 | HV 0.5 | HV 1 | HV 2 | HV 5 | HV 10 |
|---|---|---|---|---|---|---|---|
| Ti–6Al–7Nb–0.3Y | 378 ± 12 | 384 ± 26 | 355.7 ± 2.3 | 344 ± 6 | 345 ± 6 | 351 ± 6 | 343 ± 6 |
| Ti–6Al–7Nb–0.3La | 364 ± 28 | 350 ± 26 | 322.3 ± 2.3 | 334 ± 18 | 313 ± 7 | 323.7 ± 3.5 | 317 ± 11 |
| Ti–6Al–7Nb–0.3Ce | 436 ± 32 | 351 ± 10 | 374 ± 23 | 376 ± 16 | 329 ± 9 | 376 ± 18 | 372 ± 32 |
| Alloy Composition, wt. % | Load F, mN | Depth, h (nm) | Hardness, H (GPa) | Elastic Modulus, E (GPa) | Elastic Recovery, R (%) |
|---|---|---|---|---|---|
| Ti–6Al–7Nb–0.3Y | 20 | 406 ± 20 | 5.20 ± 0.6 | 143 ± 8 | 23.3 ± 1.5 |
| 100 | 998 ± 31 | 4.67 ± 0.32 | 140 ± 5 | 20.5 ± 1.0 | |
| 500 | 2339 ± 67 | 4.39 ± 0.30 | 137 ± 3.2 | 18.8 ± 0.9 | |
| Ti–6Al–7Nb–0.3La | 20 | 422 ± 15 | 4.83 ± 0.37 | 137 ± 7 | 22.2 ± 1.4 |
| 100 | 1037 ± 27 | 4.29 ± 0.24 | 134 ± 6 | 19.5 ± 1.0 | |
| 500 | 2429 ± 64 | 4.01 ± 0.23 | 135 ± 8 | 17.7 ± 0.7 | |
| Ti–6Al–7Nb–0.3Ce | 20 | 401 ± 19 | 5.40 ± 0.5 | 149 ± 9 | 22.9 ± 1.3 |
| 100 | 974 ± 37 | 4.90 ± 0.4 | 150 ± 6 | 19.9 ± 1.1 | |
| 500 | 2266 ± 60 | 4.67 ± 0.26 | 146 ± 5 | 18.6 ± 0.6 |
| Group Name and Alloy Composition | Parameter | In Vivo Experimental Stages | ||||
|---|---|---|---|---|---|---|
| 0 Days | 7 Days | 14 Days | 21 Days | 28 Days | ||
| Control Group Pure Titanium | Me | 412 | 404 | 393 | 394 | 398 |
| (Q1–Q3) | 390–434 | 388–439 | 378–439 | 382–452 | 386–398 | |
| Group 1 Ti–6Al–7Nb–0.3Y | Me | 440 | 435.5 | 440 | 429 | 424 |
| (Q1–Q3) | 417–461 | 426–479 | 411–427 | 409–435.5 | 410–434 | |
| Group 2 Ti–6Al–7Nb–0.3La | Me | 523 | 528 | 542 | 560 | 556 |
| (Q1–Q3) | 446–574 | 348–540 | 496–558 | 514–584 | 526–574 | |
| Group 3 Ti–6Al–7Nb–0.3Ce | Me | 552 | 565 | 564 | 577 | 560 |
| (Q1–Q3) | 507–591 | 485–582 | 499–584 | 502–588 | 510–592 | |
| Group Name and Alloy Composition | Parameter | In Vivo Experimental Stages | ||||
|---|---|---|---|---|---|---|
| 0 Days | 7 Days | 14 Days | 21 Days | 28 Days | ||
| Control Group Pure Titanium | Me | 37.3 * | 36.35 * | 36.65 * | 36.5 * | 36.2 * |
| (Q1–Q3) | 37.2–37.6 | 36.3–36.7 | 36.2–37 | 36.3–36.5 | 35.8–36.2 | |
| Group 1 Ti–6Al–7Nb–0.3Y | Me | 37.1 * | 36.35 * | 36.4 * | 36.3 * | 36.5 * |
| (Q1–Q3) | 36.65–37.55 | 36.15–36.65 | 36.2–36.35 | 36.05–36.35 | 36.1–36.5 | |
| Group 2 Ti–6Al–7Nb–0.3La | Me | 37.7 * | 36.65 * | 36.5 * | 36.65 * | 36.8 * |
| (Q1–Q3) | 37.55–37.95 | 36.4–36.75 | 36.4–36.5 | 36.4–36.9 | 36.6–37 | |
| Group 3 Ti–6Al–7Nb–0.3Ce | Me | 37.2 * | 36.6 * | 36.5 * | 36.6 * | 36.7 * |
| (Q1–Q3) | 37.1–37.35 | 36.45–36.8 | 36.25–36.95 | 36.4–36.8 | 36.5–36.8 | |
| Group Name and Alloy Composition | Parameter | In Vivo Experimental Stages | ||||
|---|---|---|---|---|---|---|
| 0 Days | 7 Days | 14 Days | 21 Days | 28 Days | ||
| Control Group Pure Titanium | Me | 34.1 * | 32.5 | 32 * | 33 * | 32.5 * |
| (Q1–Q3) | 34–34.3 | 32.1–32.9 | 31.2–32 | 32–33 | 31.8–32.5 | |
| Group 1 Ti–6Al–7Nb–0.3Y | Me | 33.75 | 32.1 * | 32.6 * | 32.1 * | 32.8 * |
| (Q1–Q3) | 33.05–34.2 | 31.35–33.1 | 32.15–32.4 | 31.65–32.1 | 32.1–32.8 | |
| Group 2 Ti–6Al–7Nb–0.3La | Me | 34.95 | 34.2 | 32.0 * | 32.5 * | 33.0 * |
| (Q1–Q3) | 34.05–35 | 33.55–34.85 | 31–32.8 | 32–33.8 | 32.2–33.2 | |
| Group 3 Ti–6Al–7Nb–0.3Ce | Me | 34.0 | 33.3 | 32.55 * | 32.9 * | 32.7 * |
| (Q1–Q3) | 33.8–34.2 | 32.3–34.1 | 32.05–33.3 | 31.95–33.1 | 31.55–33.45 | |
| Parameter | Control Group Pure Titanium | Group 1 Ti–6Al–7Nb–0.3Y | Group 2 Ti–6Al–7Nb–0.3La | Group 3 Ti–6Al–7Nb–0.3Ce |
|---|---|---|---|---|
| Total protein, g/L | 62 (61–63) | 65 (62–67) | 66 (63–68) | 64 (62–68) |
| CRP (C-reactive protein), μg/L | 4.7 (4.0–5.5) | 3.4 (2.8–3.6) | 3.6 (2.0–5.5) | 7.4 (5.2–8.2) |
| ALT (alanine aminotransferase), U/L | 60 (51–69) | 58 (57–63) | 102 (94–111) p = 0.05 | 84 (72–92) |
| AST (aspartate aminotransferase), U/L | 146 (121–167) | 160 (143–164) | 162 (157–167) | 161 (157–167) |
| LDH (lactate dehydrogenase), U/L | 1089 (1009–1250) | 948 (906–1072) | 2797 (2335–3352) p = 0.05 | 2165 (1990–2569) p = 0.04 |
| Urea, mmol/L | 5.2 (4.7–5.6) | 5.8 (5.4–6.0) | 5.7 (5.4–5.8) | 5.7 (5.3–5.9) |
| Creatinine, μmol/L | 54 (52–57) | 57 (56–60) | 61 (60–62) p = 0.05 | 61 (59–61) p = 0.04 |
| Glucose, mmol/L | 19.1 (17.1–21.4) | 22.1 (21.7–22.8) | 16.2 (15.1–16.5) | 15.9 (14.7–16.9) |
| LMMWSs (low- and medium-molecular-weight substances), conv. units | 5.80 (5.43–5.98) | 6.17 (6.04–6.95) | 6.82 (6.61–7.27) p = 0.05 | 6.86 (6.76–7.35) p = 0.04 |
| Catalase activity, % | 14.5 (14.1–15.0) | 16.6 (15.6–17.2) p = 0.05 | 17.2 (15.0–19.4) | 17.4 (16.0–19.1) p = 0.05 |
Disclaimer/Publisher’s Note: The statements, opinions and data contained in all publications are solely those of the individual author(s) and contributor(s) and not of MDPI and/or the editor(s). MDPI and/or the editor(s) disclaim responsibility for any injury to people or property resulting from any ideas, methods, instructions or products referred to in the content. |
© 2026 by the authors. Licensee MDPI, Basel, Switzerland. This article is an open access article distributed under the terms and conditions of the Creative Commons Attribution (CC BY) license.
Share and Cite
Anokhin, A.; Kirsankin, A.; Ermakova, E.; Chuvikina, M.; Luk’yanov, A.; Strelnikova, S.; Kukueva, E.; Kononovich, N.; Kravchuk, K.; Joardar, J. Effect of Rare-Earth Element Microdoping on Ti–6Al–7Nb Alloys for Biomedical Applications: Materials Characterization and In Vivo Biocompatibility Tests. Materials 2026, 19, 709. https://doi.org/10.3390/ma19040709
Anokhin A, Kirsankin A, Ermakova E, Chuvikina M, Luk’yanov A, Strelnikova S, Kukueva E, Kononovich N, Kravchuk K, Joardar J. Effect of Rare-Earth Element Microdoping on Ti–6Al–7Nb Alloys for Biomedical Applications: Materials Characterization and In Vivo Biocompatibility Tests. Materials. 2026; 19(4):709. https://doi.org/10.3390/ma19040709
Chicago/Turabian StyleAnokhin, Alexander, Andrey Kirsankin, Elena Ermakova, Maria Chuvikina, Alexander Luk’yanov, Svetlana Strelnikova, Elena Kukueva, Nataliya Kononovich, Konstantin Kravchuk, and Joydip Joardar. 2026. "Effect of Rare-Earth Element Microdoping on Ti–6Al–7Nb Alloys for Biomedical Applications: Materials Characterization and In Vivo Biocompatibility Tests" Materials 19, no. 4: 709. https://doi.org/10.3390/ma19040709
APA StyleAnokhin, A., Kirsankin, A., Ermakova, E., Chuvikina, M., Luk’yanov, A., Strelnikova, S., Kukueva, E., Kononovich, N., Kravchuk, K., & Joardar, J. (2026). Effect of Rare-Earth Element Microdoping on Ti–6Al–7Nb Alloys for Biomedical Applications: Materials Characterization and In Vivo Biocompatibility Tests. Materials, 19(4), 709. https://doi.org/10.3390/ma19040709

