Improving Lime-Based Restoration Mortars: Effect of Type and Utilization Rate of Binder and Aggregate
Abstract
1. Introduction
2. Materials and Methods
2.1. Materials
2.1.1. Binding Materials
2.1.2. Aggregate
2.1.3. Fiber
2.2. Preparation of Mixtures
2.3. Test Method
2.4. Experimental Design with Taguchi Method
3. Results and Discussion
3.1. Flexural and Compressive Strength
3.2. Evaluation of Analysis Results
3.2.1. Analysis of Signal-to-Noise (S/N) Ratio
3.2.2. ANOVA Method
3.2.3. Regression Analysis
3.2.4. Estimation of Optimum Compressive Strength by Taguchi Method, Linear Regression Equations, and Quadratic Regression Equation and Comparison with Experimental Result
4. Conclusions
- Regardless of the binder and aggregate type, the strength performance of the Khorasan mortar was generally negatively affected by the increase in the curing time.
- When the effect of binder type on strength was examined, strength was positively affected by the use of metakaolin and BFS. It was determined that BFS increased strength even more compared to metakaolin.
- The decrease in the ratio of crushed brick aggregate used in the mixtures positively affected the strength performance.
- When the effect of the aggregate/binder ratio on strength was examined, strength was positively affected by a decrease in this ratio from 3 to 2 in all mixtures.
- An increase in the water/total dry material mass ratio negatively affected the strength performance of the mortar samples.
- The optimum levels of the control factors on the strength values were determined using S/N ratios. The parameter that affects the strength the most was determined as the aggregate/binder ratio.
- When the predictions were compared with the experimental results, it was found that the error margin was acceptable.
Author Contributions
Funding
Institutional Review Board Statement
Informed Consent Statement
Data Availability Statement
Acknowledgments
Conflicts of Interest
References
- Zhang, D.; Zhao, J.; Wang, D.; Xu, C.; Zhai, M.; Ma, X. Comparative study on the properties of three hydraulic lime mortar systems: Natural hydraulic lime mortar, cement-aerial lime-based mortar and slag-aerial lime-based mortar. Constr. Build. Mater. 2018, 186, 42–52. [Google Scholar] [CrossRef]
- Kingery, W.E. Introduction: Some aspects of the history of ceramic processing in ultrastructure. In Ultrastructure Processing of Advanced Ceramics; Mackenzie, U., Ed.; John Wiley: New York, NY, USA, 1988; pp. 1–29. [Google Scholar]
- von Landsberg, D. The history of lime production and use from early times to the industrial revolution. Zem. -Kalk-Gips 1992, 45, 199–203. [Google Scholar]
- Ventolà, L.; Vendrell, M.; Giraldez, P.; Merino, L. Traditional organic additives improve lime mortars: New old materials for restoration and building natural stone fabrics. Constr. Build. Mater. 2011, 25, 3313–3318. [Google Scholar] [CrossRef]
- Sánchez-Moral, S.; Luque, L.; Cañaveras, J.C.; Soler, V.; Garcia-Guinea, J.; Aparicio, A. Lime–pozzolana mortars in Roman catacombs: Composition, structures and restoration. Cem. Concr. Res. 2005, 35, 1555–1565. [Google Scholar] [CrossRef]
- Böke, H.; Akkurt, S.; İpekoğlu, B. Tarihi yapılarda kullanılan Horasan harcı ve sıvalarının özellikleri. Yapı Derg. 2004, 269, 90–94. [Google Scholar]
- Arıoglu, N.; Acun, S. A research about a method for restoration of traditional lime mortars and plasters: A staging system approach. Build. Environ. 2006, 41, 1223–1230. [Google Scholar] [CrossRef]
- İsafça, T.; Karakuzu, K.; Özen, S.; Doğangün, A.; Mardani-Aghabaglou, A. Effects of material properties on the mechanical and durability behaviors of Khorasan mortar mixtures: A review. J. Adhes. Sci. Technol. 2021, 35, 2507–2528. [Google Scholar] [CrossRef]
- Böke, H.; Akkurt, S.; Ipekoglu, B.; Uğurlu, E. Onarım Amaçlı Horasan Harç ve Sıvaların Hazırlanması. Mimar. Malzeme 2007, 3, 68–72. [Google Scholar] [CrossRef]
- Brandt, A.M. Fibre reinforced cement-based (FRC) composites after over 40 years of development in building and civil engineering. Compos. Struct. 2008, 86, 3–9. [Google Scholar] [CrossRef]
- Tekin, Ç.; Kurugöl, S. Impacts of Various Organic Additives on Carbonization of Lime. J. Fac. Eng. Archit. Gazi Univ. 2012, 27, 717–728. [Google Scholar]
- Mardani-Aghabaglou, A.; Ramyar, K. Mechanical properties of high-volume fly ash roller compacted concrete designed by maximum density method. Constr. Build. Mater. 2013, 38, 356–364. [Google Scholar] [CrossRef]
- Nogueira, R.; Pinto, A.P.F.; Gomes, A. Design and behavior of traditional lime-based plasters and renders. Review and critical appraisal of strengths and weaknesses. Cem. Concr. Compos. 2018, 89, 192–204. [Google Scholar] [CrossRef]
- Şahin, H.G.; Mardani, A.; Özen, S.; Emin, A. Utilization of high-range water reducing admixture having air-entraining agents in cementitious systems. J. Build. Eng. 2023, 64, 105565. [Google Scholar] [CrossRef]
- Lanas, J.; Bernal, J.P.; Bello, M.A.; Galindo, J.A. Mechanical properties of natural hydraulic lime-based mortars. Cem. Concr. Res. 2004, 34, 2191–2201. [Google Scholar] [CrossRef]
- Seabra, M.P.; Paiva, H.; Labrincha, J.A.; Ferreira, V.M. Admixtures effect on fresh state properties of aerial lime based mortars. Constr. Build. Mater. 2009, 23, 1147–1153. [Google Scholar] [CrossRef]
- Izaguirre, A.; Lanas, J.; Alvarez, J.I. Effect of water-repellent admixtures on the behaviour of aerial lime-based mortars. Cem. Concr. Res. 2009, 39, 1095–1104. [Google Scholar] [CrossRef]
- Santarelli, M.L.; Sbardella, F.; Zuena, M.; Tirillò, J.; Sarasini, F. Basalt fiber reinforced natural hydraulic lime mortars: A potential bio-based material for restoration. Mater. Des. 2014, 63, 398–406. [Google Scholar] [CrossRef]
- Rosato, L.; Stefanidou, M.; Milazzo, G.; Fernandez, F.; Livreri, P.; Muratore, N.; Terranova, L.M. Study and evaluation of nano-structured cellulose fibers as additive for restoration of historical mortars and plasters. Mater. Today Proc. 2017, 4, 6954–6965. [Google Scholar] [CrossRef]
- Özen, S.; Altun, M.G.; Mardani-Aghabaglou, A.; Ramyar, K. Effect of main and side chain length change of polycarboxylate-ether-based water-reducing admixtures on the fresh state and mechanical properties of cementitious systems. Struct. Concr. 2021, 22, E607–E618. [Google Scholar] [CrossRef]
- Mardani-Aghabaglou, A.; Karakuzu, K.; Kobya, V.; Hatungimana, D. Durability performance and dimensional stability of road concrete containing dry-shake surface hardener admixture. Constr. Build. Mater. 2021, 274, 121789. [Google Scholar] [CrossRef]
- Kaya, Y.; Biricik, Ö.; Bayqra, S.H.; Mardani, A. Effect of fibre type and utilisation rate on dimensional stability and frost resistance of pavement mortar mixture. Int. J. Pavement Eng. 2023, 24, 2154351. [Google Scholar] [CrossRef]
- Manita, P.; Triantafillou, T.C. The effect of aggregate composition on physical and mechanical characteristics of repair mortars. WIT Trans. Built Environ. 2003, 66, 781–790. [Google Scholar]
- Pozo-Antonio, J.S. Evolution of mechanical properties and drying shrinkage in lime-based and lime cement-based mortars with pure limestone aggregate. Constr. Build. Mater. 2015, 77, 472–478. [Google Scholar] [CrossRef]
- Santos, A.R.; do Rosário Veiga, M.; Silva, A.S.; de Brito, J.; Álvarez, J.I. Evolution of the microstructure of lime based mortars and influence on the mechanical behaviour: The role of the aggregates. Constr. Build. Mater. 2018, 187, 907–922. [Google Scholar] [CrossRef]
- Altun, M.G.; Özen, S.; Mardani-Aghabaglou, A. Effect of side chain length change of polycarboxylate-ether–based high-range water–reducing admixture on properties of cementitious systems containing fly ash. J. Mater. Civ. Eng. 2021, 33, 04021015. [Google Scholar] [CrossRef]
- Ince, C.; Carter, M.A.; Wilson, M.A. The water retaining characteristics of lime mortar. Mater. Struct. 2015, 48, 1177–1185. [Google Scholar] [CrossRef]
- Vavričuk, A.; Bokan-Bosiljkov, V.; Kramar, S. The influence of metakaolin on the properties of natural hydraulic lime-based grouts for historic masonry repair. Constr. Build. Mater. 2018, 172, 706–716. [Google Scholar] [CrossRef]
- Becerra-Duitama, J.A.; Rojas-Avellaneda, D. Pozzolans: A review. Eng. Appl. Sci. Res. 2022, 49, 495–504. [Google Scholar]
- Grilo, J.; Silva, A.S.; Faria, P.; Gameiro, A.; Veiga, R.; Velosa, A. Mechanical and mineralogical properties of natural hydraulic lime-metakaolin mortars in different curing conditions. Constr. Build. Mater. 2014, 51, 287–294. [Google Scholar] [CrossRef]
- Grilo, J.; Faria, P.; Veiga, R.; Silva, A.S.; Silva, V.; Velosa, A. New natural hydraulic lime mortars–physical and microstructural properties in different curing conditions. Constr. Build. Mater. 2014, 54, 378–384. [Google Scholar] [CrossRef]
- Işıkdağ, B.; Topçu, I.B. Improvement of Khorasan mortar with fly ash for restoration of historical buildings. Sci. Eng. Compos. Mater. 2014, 21, 359–367. [Google Scholar] [CrossRef]
- Vejmelková, E.; Keppert, M.; Rovnaníková, P.; Keršner, Z.; Černý, R. Application of burnt clay shale as pozzolan addition to lime mortar. Cem. Concr. Compos. 2012, 34, 486–492. [Google Scholar] [CrossRef]
- Papayianni, I.; Stefanidou, M. Strength–porosity relationships in lime–pozzolan mortars. Constr. Build. Mater. 2006, 20, 700–705. [Google Scholar] [CrossRef]
- Grist, E.R.; Paine, K.A.; Heath, A.; Norman, J.; Pinder, H. Compressive strength development of binary and ternary lime–pozzolan mortars. Mater. Des. (1980–2015) 2013, 52, 514–523. [Google Scholar] [CrossRef]
- Pavlík, V.; Užáková, M. Effect of curing conditions on the properties of lime, lime–metakaolin and lime–zeolite mortars. Constr. Build. Mater. 2016, 102, 14–25. [Google Scholar] [CrossRef]
- Gameiro, A.; Silva, A.S.; Faria, P.; Grilo, J.; Branco, T.; Veiga, R.; Velosa, A. Physical and chemical assessment of lime–metakaolin mortars: Influence of binder: Aggregate ratio. Cem. Concr. Compos. 2014, 45, 264–271. [Google Scholar] [CrossRef]
- Silva, B.A.; Pinto, A.F.; Gomes, A. Influence of natural hydraulic lime content on the properties of aerial lime-based mortars. Constr. Build. Mater. 2014, 72, 208–218. [Google Scholar] [CrossRef]
- Cho, J.S.; Moon, K.Y.; Choi, M.K.; Cho, K.H.; Ahn, J.W.; Yeon, K.S. Performance improvement of local Korean natural hydraulic lime-based mortar using inorganic by-products. Korean J. Chem. Eng. 2017, 34, 1385–1392. [Google Scholar] [CrossRef]
- Kumar, D.N.; Kumar, P.R. Investigations on alternate lime-pozzolana based mortars for repair of heritage structures. Constr. Build. Mater. 2022, 341, 127776. [Google Scholar] [CrossRef]
- Záleská, M.; Pavlíková, M.; Vyšvařil, M.; Pavlík, Z. Effect of aggregate and binder type on the functional and durability parameters of lightweight repair mortars. Sustainability 2021, 13, 11780. [Google Scholar] [CrossRef]
- Gür, D.; Özgünler, S.A. A Comperative Study on the Influence of Mineral Additives to the Physicomechanical Properties of NHL Mortars Cured in Water. Gazi Univ. J. Sci. 2021, 34, 611–628. [Google Scholar] [CrossRef]
- EN 459-1:2015; Building Lime—Part 1: Definitions, Specifications and Conformity Criteria. iTeh, Inc.: Toronto, CA, USA, 2015.
- EN 459-2:2021; Building Lime—Part 2: Test Methods. iTeh, Inc.: Toronto, CA, USA, 2021.
- EN 1097-6:2022; Tests for Mechanical and Physical Properties of Aggregates—Part 6: Determination of Particle Density and Water Absorption. iTeh, Inc.: Toronto, CA, USA, 2022.
- İsafça-Kaya, T.; Karakuzu, K.; Özen, S.; Mardani, A.; Doğangün, A. Effects of shrinkage reducing admixture and polypropylene fiber utilization on some fresh state, mechanical and durability properties of khorasan mortar. Int. J. Archit. Herit. 2024, 18, 1–20. [Google Scholar] [CrossRef]
- ASTM C109/C109M-21; Standard Test Method for Compressive Strength of Hydraulic Cement Mortars. ASTM International: West Conshohocken, PA, USA, 2020.
- EN 196-1:2016; Methods of Testing Cement—Part 1: Determination of Strength. iTeh, Inc.: Toronto, CA, USA, 2016.
- Kaya, Y.; Kobya, V.; Mardani, A.; Mardani, N.; Beytekin, H.E. Effect of Grinding Conditions on Clinker Grinding Efficiency: BallSize, Mill Rotation Speed, and Feed Rate. Buildings 2024, 14, 2356. [Google Scholar] [CrossRef]
- Mandal, N.; Doloi, B.; Mondal, B.; Das, R. Optimization of flank wear using Zirconia Toughened Alumina (ZTA) cutting tool:Taguchi method and Regression analysis. Measurement 2011, 44, 2149–2155. [Google Scholar] [CrossRef]
- Torraca, G. Lectures on Materials Science for Architectural Conservation; The Getty Conservation Institute: Los Angeles, CA, USA, 2009. [Google Scholar]
- Monteiro, J.; Silva, V.; Faria, P. Effect of type of curing and metakaolin replacement on air lime mortars for the durability of masonries. Infrastructures 2021, 6, 143. [Google Scholar] [CrossRef]
- Çavuş, M.; Dayı, M.; Dağcı, Y.; Ulusu, H. The usability of the brick dust and blast furnace slag in zeolite-based lime mortars in different curing environments. Ceram. Int. 2023, 49, 4046–4054. [Google Scholar] [CrossRef]
- Pavía, S.; Aly, M. Influence of aggregate and supplementary cementitious materials on the properties of hydrated lime (CL90s) mortars. Mater. Constr. 2016, 66, e104. [Google Scholar] [CrossRef]
- Işıkdağ, B.; Topçu, İ.B. The effect of ground granulated blast-furnace slag on properties of Horasan mortar. Constr. Build. Mater. 2013, 40, 448–454. [Google Scholar] [CrossRef]
- Shang, H.; Xiao, Z.; Wang, X.; Lu, Z.; Xu, S.; Dong, P. Study on modification of natural hydraulic lime historical building repair mortar. J. Build. Eng. 2024, 97, 110583. [Google Scholar] [CrossRef]
- Veiga, M.; Santos, A.R.; Santos, D. Natural Hydraulic Lime Mortars for Rehabilitation of Old Buildings: Compatibility and Performance. In Proceedings of the 2015 Conference and Gathering of the Building Limes Forum, Cambridge, UK, 18–20 September 2015. [Google Scholar]
- Santos, A.R.; Veiga, M.D.R.; Matias, L.; Santos Silva, A.; De Brito, J. Durability and compatibility of lime-based mortars: The effect of aggregates. Infrastructures 2018, 3, 34. [Google Scholar] [CrossRef]
- Apostolopoulou, M.; Bakolas, A.; Kotsainas, M. Mechanical and physical performance of natural hydraulic lime mortars. Constr. Build. Mater. 2021, 290, 123272. [Google Scholar] [CrossRef]
- Arizzi, A.; Cultrone, G. The difference in behaviour between calcitic and dolomitic lime mortars set under dry conditions: The relationship between textural and physical–mechanical properties. Cem. Concr. Res. 2012, 42, 818–826. [Google Scholar] [CrossRef]
- Böke, H.; Akkurt, S.; İpekoğlu, B.; Uğurlu, E. Characteristics of brick used as aggregate in historic brick-lime mortars and plasters. Cem. Concr. Res. 2006, 36, 1115–1122. [Google Scholar] [CrossRef]
- Nežerka, V.; Němeček, J.; Slížková, Z.; Tesárek, P. Investigation of crushed brick-matrix interface in lime-based ancient mortar by microscopy and nanoindentation. Cem. Concr. Compos. 2015, 55, 122–128. [Google Scholar] [CrossRef]
- Xu, S.; Wang, J.; Sun, Y. Effect of water binder ratio on the early hydration of natural hydraulic lime. Mater. Struct. 2015, 48, 3431–3441. [Google Scholar] [CrossRef]
- Çetin, M.H.; Korkmaz, Ş.; Elgaddafi, K.A.B.; Harun, Ç.U.Ğ. Östenitik paslanmaz çelik ile düşük karbonlu çeliğin kaynak edilebilirliğinin araştırılması ve kaynak parametrelerinin optimizasyonu. Düzce Univ. Bilim Teknol. Derg. 2018, 6, 1068–1081. [Google Scholar] [CrossRef]
- Kıvak, T. Optimization of surface roughness and flank wear using the Taguchi method in milling of Hadfield steel with PVD andCVD coated inserts. Measurement 2014, 50, 19–28. [Google Scholar] [CrossRef]









| Lime + Pozzolan | Aggregate | Highlights | Ref. |
|---|---|---|---|
| Hydrated lime, Czech clay shale, metakaolin | Natural quartz and basalt sand, 0–4 mm | Increasing the fineness values of pozzolans has a positive effect on the mortar’s porosity, compressive, and flexural strengths. | [33] |
| Hydrated lime and natural pozzolan from the island of Milos | River aggregate (fine sand: 0–2 mm/coarse aggregate: 0–4 mm) | Water/binder ratio is the most important parameter affecting porosity. The porosity of lime–pozzolan mortars decreases over time and is strongly affected by curing conditions. | [34] |
| Natural hydraulic lime, silica fume, blast furnace slag, metakaolin, and brick dust | CEN standard sand, Guiting dust | Using different types of pozzolans in certain proportions, separately and together, increases sensitivity to curing conditions and compressive strength. Curing conditions have a significant effect on the strength of the samples. | [35] |
| Hydrated lime, metakaolin, and zeolite | CEN standard sand | Metakaolin and zeolite substitution positively affected some strength and durability properties of lime mortars. The products formed because of pozzolanic reactions differed depending on the pozzolan used and the curing medium. | [36] |
| Air lime and metakaolin | (20 ± 5) °C, (95 ± 5)% RH | Flexural strength decreases as the binder/aggregate ratio of mortars decreases. Mortars with binder/aggregate ratio (1:3) show faster carbonation, which depletes portlandite and inhibits short-term pozzolanic reactions. Conversely, mortars with binder/aggregate ratio (1:1) experience slower carbonation, allowing more lime for longer-term pozzolanic reactions. | [37] |
| Hydrated lime and natural hydraulic lime | Two types of fine aggregates containing quartz from different sources | Adding hydraulic lime to air lime mortars strengthened the mechanical properties of the mortars while also accelerating the hardening process. A low binder/aggregate ratio results in less dense packing and increased porosity in the mortar microstructure. | [38] |
| Three types of Korean natural hydraulic lime, silica fume, and blast furnace slag | Sand | With the addition of BFS and SF, physical properties such as compressive strength and setting time could be improved. The fact that SF has very fine particles accelerated its initial hydration and contributed to its strength as a filler. | [39] |
| Two types of aerial lime, blast furnace slag, and fly ash | River sand | With BFS and FA substitution, the strength gain rate increased, water requirement decreased, and mechanical properties improved. Lime–BFS-based mortars performed better. Lime–FA-based mortars are more advantageous in terms of drying shrinkage resistance. | [40] |
| Hydrated lime, natural hydraulic lime, and %50 Hydrated lime + %50 Portland cement | Expanded perlite (EP), expanded glass (EG), and natural zeolite | The inclusion of EP and EG in the mortar components significantly increased the thermal insulation properties of the materials and strengthened their resistance to salt effects. | [41] |
| Natural hydraulic lime, tuff, and metakaolin-expanded perlite | River sand: coarse aggregate (0–8 mm)/fine aggregate (0–4 mm): 2/1 | Water-cured samples exhibited better performance in terms of physical and mechanical properties than air-cured samples, regardless of the type of mineral additive. | [42] |
| Item | Unit | NHL | M | BFS |
|---|---|---|---|---|
| SiO2 | % | 8.47 | 56.10 | 40.17 |
| Al2O3 | % | 3.46 | 40.23 | 13.81 |
| Fe2O3 | % | 0.39 | 0.85 | 0.94 |
| CaO | % | 53.84 | 0.19 | 30.12 |
| MgO | % | - | 0.16 | 6.60 |
| SO3 | % | - | - | 1.73 |
| Na2O | % | 0.16 | 0.24 | 0.52 |
| K2O | % | 0.27 | 0.51 | 0.96 |
| LOI | % | 30.41 | 1.10 | 0.32 |
| Specific gravity | 2.79 | 2.52 | 2.90 | |
| Specific surface area | cm2/g | 5850 | 146,000 | 4880 |
| A | B | A/B | W/Dm | Mixtures | CB (%) * | RS (%) * | NHL (%) ** | M (%) ** | BFS (%) ** |
|---|---|---|---|---|---|---|---|---|---|
| 70CB | NHL | 3 | 0.2 | 70CB-NHL-3-0.2 | 70 | 30 | 100 | ||
| 3 | 0.25 | 70CB-NHL-3-0.25 | 70 | 30 | 100 | ||||
| 2 | 0.2 | 70CB-NHL-2-0.2 | 70 | 30 | 100 | ||||
| 2 | 0.25 | 70CB-NHL-2-0.25 | 70 | 30 | 100 | ||||
| M | 3 | 0.2 | 70CB-M-3-0.2 | 70 | 30 | 90 | 10 | ||
| 3 | 0.25 | 70CB-M-3-0.25 | 70 | 30 | 90 | 10 | |||
| 2 | 0.2 | 70CB-M-2-0.2 | 70 | 30 | 90 | 10 | |||
| 2 | 0.25 | 70CB-M-2-0.25 | 70 | 30 | 90 | 10 | |||
| BFS | 3 | 0.2 | 70CB-BFS-3-0.2 | 70 | 30 | 80 | 20 | ||
| 3 | 0.25 | 70CB-BFS-3-0.25 | 70 | 30 | 80 | 20 | |||
| 2 | 0.2 | 70CB-BFS-2-0.2 | 70 | 30 | 80 | 20 | |||
| 2 | 0.25 | 70CB-BFS-2-0.25 | 70 | 30 | 80 | 20 | |||
| 50CB | NHL | 3 | 0.2 | 50CB-NHL-3-0.2 | 50 | 50 | 100 | ||
| 3 | 0.25 | 50CB-NHL-3-0.25 | 50 | 50 | 100 | ||||
| 2 | 0.2 | 50CB-NHL-2-0.2 | 50 | 50 | 100 | ||||
| 2 | 0.25 | 50CB-NHL-2-0.25 | 50 | 50 | 100 | ||||
| M | 3 | 0.2 | 50CB-M-3-0.2 | 50 | 50 | 90 | 10 | ||
| 3 | 0.25 | 50CB-M-3-0.25 | 50 | 50 | 90 | 10 | |||
| 2 | 0.2 | 50CB-M-2-0.2 | 50 | 50 | 90 | 10 | |||
| 2 | 0.25 | 50CB-M-2-0.25 | 50 | 50 | 90 | 10 | |||
| BFS | 3 | 0.2 | 50CB-BFS-3-0.2 | 50 | 50 | 80 | 20 | ||
| 3 | 0.25 | 50CB-BFS-3-0.25 | 50 | 50 | 80 | 20 | |||
| 2 | 0.2 | 50CB-BFS-2-0.2 | 50 | 50 | 80 | 20 | |||
| 2 | 0.25 | 50CB-BFS-2-0.25 | 50 | 50 | 80 | 20 |
| Parameters | Symbol | Level 1 | Level 2 | Level 3 |
|---|---|---|---|---|
| Cure Period | A | 28 | 56 | |
| Water/Dry Materials | B | 0.2 | 0.25 | |
| Aggregate/Binder Ratio | C | 2 | 3 | |
| Aggregate | D | 70CB | 50CB | |
| Binder | E | NHL | M | BFS |
| Experiment No. | Factor A | Factor B | Factor C | Factor D | Factor E |
|---|---|---|---|---|---|
| Cure Period | W/Dm Ratio | A/B Ratio | Aggregate | Binder | |
| 1 | 28 | 0.2 | 2 | 70CB | NHL |
| 2 | 28 | 0.2 | 2 | 70CB | M |
| 3 | 28 | 0.2 | 2 | 70CB | BFS |
| 4 | 28 | 0.2 | 2 | 70CB | NHL |
| 5 | 28 | 0.2 | 2 | 70CB | M |
| 6 | 28 | 0.2 | 2 | 70CB | BFS |
| 7 | 28 | 0.2 | 3 | 50CB | NHL |
| 8 | 28 | 0.2 | 3 | 50CB | M |
| 9 | 28 | 0.2 | 3 | 50CB | BFS |
| 10 | 28 | 0.25 | 2 | 50CB | NHL |
| 11 | 28 | 0.25 | 2 | 50CB | M |
| 12 | 28 | 0.25 | 2 | 50CB | BFS |
| 13 | 28 | 0.25 | 3 | 70CB | NHL |
| 14 | 28 | 0.25 | 3 | 70CB | M |
| 15 | 28 | 0.25 | 3 | 70CB | BFS |
| 16 | 28 | 0.25 | 3 | 50CB | NHL |
| 17 | 28 | 0.25 | 3 | 50CB | M |
| 18 | 28 | 0.25 | 3 | 50CB | BFS |
| 19 | 56 | 0.2 | 3 | 50CB | NHL |
| 20 | 56 | 0.2 | 3 | 50CB | M |
| 21 | 56 | 0.2 | 3 | 50CB | BFS |
| 22 | 56 | 0.2 | 3 | 70CB | NHL |
| 23 | 56 | 0.2 | 3 | 70CB | M |
| 24 | 56 | 0.2 | 3 | 70CB | BFS |
| 25 | 56 | 0.2 | 2 | 50CB | NHL |
| 26 | 56 | 0.2 | 2 | 50CB | M |
| 27 | 56 | 0.2 | 2 | 50CB | BFS |
| 28 | 56 | 0.25 | 3 | 70CB | NHL |
| 29 | 56 | 0.25 | 3 | 70CB | M |
| 30 | 56 | 0.25 | 3 | 70CB | BFS |
| 31 | 56 | 0.25 | 2 | 50CB | NHL |
| 32 | 56 | 0.25 | 2 | 50CB | M |
| 33 | 56 | 0.25 | 2 | 50CB | BFS |
| 34 | 56 | 0.25 | 2 | 70CB | NHL |
| 35 | 56 | 0.25 | 2 | 70CB | M |
| 36 | 56 | 0.25 | 2 | 70CB | BFS |
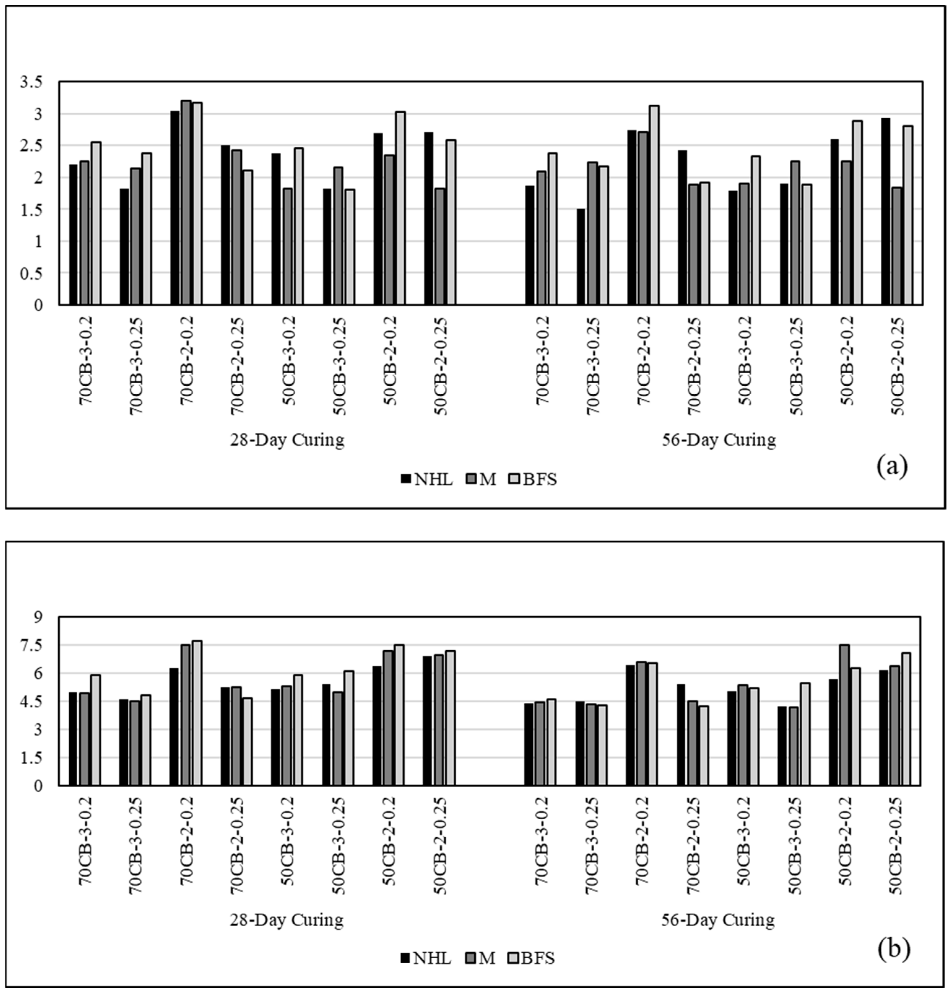
| Samples | 28-Day Curing | 56-Day Curing | ||||||||||
|---|---|---|---|---|---|---|---|---|---|---|---|---|
| Flexural Strength | Compressive Strength | Flexural Strength | Compressive Strength | |||||||||
| NHL | M | BFS | NHL | M | BFS | NHL | M | BFS | NHL | M | BFS | |
| 70CB-3-0.2 | 2.2 | 2.25 | 2.55 | 4.98 | 4.95 | 5.88 | 1.87 | 2.1 | 2.37 | 4.38 | 4.42 | 4.62 |
| 70CB-3-0.25 | 1.82 | 2.14 | 2.37 | 4.59 | 4.48 | 4.84 | 1.5 | 2.23 | 2.17 | 4.52 | 4.34 | 4.26 |
| 70CB-2-0.2 | 3.05 | 3.21 | 3.17 | 6.26 | 7.53 | 7.74 | 2.74 | 2.71 | 3.12 | 6.44 | 6.59 | 6.53 |
| 70CB-2-0.25 | 2.51 | 2.42 | 2.11 | 5.24 | 5.26 | 4.66 | 2.43 | 1.89 | 1.92 | 5.43 | 4.48 | 4.23 |
| 50CB-3-0.2 | 2.38 | 1.83 | 2.45 | 5.12 | 5.28 | 5.88 | 1.79 | 1.91 | 2.33 | 5.05 | 5.38 | 5.17 |
| 50CB-3-0.25 | 1.83 | 2.16 | 1.80 | 5.40 | 4.97 | 6.09 | 1.91 | 2.25 | 1.88 | 4.24 | 4.16 | 5.48 |
| 50CB-2-0.2 | 2.70 | 2.35 | 3.03 | 6.38 | 7.20 | 7.51 | 2.60 | 2.25 | 2.88 | 5.65 | 7.50 | 6.29 |
| 50CB-2-0.25 | 2.71 | 1.82 | 2.58 | 6.90 | 6.95 | 7.20 | 2.94 | 1.84 | 2.80 | 6.15 | 6.39 | 7.10 |
| Experiment No | Control Factors | Compressive Strength (Mpa) | S/N Ratio for Compressive Strength | Means for Compressive Strength | ||||
|---|---|---|---|---|---|---|---|---|
| Cure Period | W/Dm | A/B | Aggregate | Binder | ||||
| 1 | 28 | 0.2 | 2 | 70CB | NHL | 6.26 | 15.9315 | 6.26 |
| 2 | 28 | 0.2 | 2 | 70CB | M | 7.53 | 17.5359 | 7.53 |
| 3 | 28 | 0.2 | 2 | 70CB | BFS | 7.74 | 17.7748 | 7.74 |
| 4 | 28 | 0.2 | 2 | 70CB | NHL | 6.26 | 15.9315 | 6.26 |
| 5 | 28 | 0.2 | 2 | 70CB | M | 7.53 | 17.5359 | 7.53 |
| 6 | 28 | 0.2 | 2 | 70CB | BFS | 7.74 | 17.7748 | 7.74 |
| 7 | 28 | 0.2 | 3 | 50CB | NHL | 5.12 | 14.1854 | 5.12 |
| 8 | 28 | 0.2 | 3 | 50CB | M | 5.28 | 14.4527 | 5.28 |
| 9 | 28 | 0.2 | 3 | 50CB | BFS | 5.88 | 15.3875 | 5.88 |
| 10 | 28 | 0.25 | 2 | 50CB | NHL | 6.90 | 16.7770 | 6.90 |
| 11 | 28 | 0.25 | 2 | 50CB | M | 6.80 | 16.6502 | 6.80 |
| 12 | 28 | 0.25 | 2 | 50CB | BFS | 7.20 | 17.1466 | 7.20 |
| 13 | 28 | 0.25 | 3 | 70CB | NHL | 4.59 | 13.2363 | 4.59 |
| 14 | 28 | 0.25 | 3 | 70CB | M | 4.48 | 13.0256 | 4.48 |
| 15 | 28 | 0.25 | 3 | 70CB | BFS | 4.84 | 13.6969 | 4.84 |
| 16 | 28 | 0.25 | 3 | 50CB | NHL | 5.40 | 14.6479 | 5.40 |
| 17 | 28 | 0.25 | 3 | 50CB | M | 4.97 | 13.9271 | 4.97 |
| 18 | 28 | 0.25 | 3 | 50CB | BFS | 6.09 | 15.6923 | 6.09 |
| 19 | 56 | 0.2 | 3 | 50CB | NHL | 5.05 | 14.0658 | 5.05 |
| 20 | 56 | 0.2 | 3 | 50CB | M | 5.38 | 14.6156 | 5.38 |
| 21 | 56 | 0.2 | 3 | 50CB | BFS | 5.17 | 14.2698 | 5.17 |
| 22 | 56 | 0.2 | 3 | 70CB | NHL | 4.38 | 12.8295 | 4.38 |
| 23 | 56 | 0.2 | 3 | 70CB | M | 4.42 | 12.9084 | 4.42 |
| 24 | 56 | 0.2 | 3 | 70CB | BFS | 4.62 | 13.2928 | 4.62 |
| 25 | 56 | 0.2 | 2 | 50CB | NHL | 5.65 | 15.0410 | 5.65 |
| 26 | 56 | 0.2 | 2 | 50CB | M | 7.50 | 17.5012 | 7.50 |
| 27 | 56 | 0.2 | 2 | 50CB | BFS | 6.29 | 15.9730 | 6.29 |
| 28 | 56 | 0.25 | 3 | 70CB | NHL | 4.52 | 13.1028 | 4.52 |
| 29 | 56 | 0.25 | 3 | 70CB | M | 4.34 | 12.7498 | 4.34 |
| 30 | 56 | 0.25 | 3 | 70CB | BFS | 4.26 | 12.5882 | 4.26 |
| 31 | 56 | 0.25 | 2 | 50CB | NHL | 6.15 | 15.7775 | 6.15 |
| 32 | 56 | 0.25 | 2 | 50CB | M | 6.39 | 16.1100 | 6.39 |
| 33 | 56 | 0.25 | 2 | 50CB | BFS | 7.10 | 17.0252 | 7.10 |
| 34 | 56 | 0.25 | 2 | 70CB | NHL | 5.43 | 14.6960 | 5.43 |
| 35 | 56 | 0.25 | 2 | 70CB | M | 4.48 | 13.0256 | 4.48 |
| 36 | 56 | 0.25 | 2 | 70CB | BFS | 4.23 | 12.5268 | 4.23 |
| Response Table for Signal-to-Noise Ratios | Response Table for Means | ||||||||||
|---|---|---|---|---|---|---|---|---|---|---|---|
| Level | Cure Period | W/Dm | A/B | Aggregate | Binder | Level | Cure Period | W/Dm | A/B | Aggregate | Binder |
| 1 | 15.34 | 15.05 | 15.97 | 13.93 | 14.57 | 1 | 5.939 | 5.751 | 6.377 | 5.075 | 5.405 |
| 2 | 14.34 | 14.58 | 13.82 | 15.51 | 14.77 | 2 | 5.298 | 5.454 | 4.933 | 6.018 | 5.597 |
| 3 | 15.03 | 3 | 5.765 | ||||||||
| Delta | 1 | 0.47 | 2.15 | 1.59 | 0.46 | Delta | 0.641 | 0.297 | 1.444 | 0.943 | 0.361 |
| Rank | 3 | 4 | 1 | 2 | 5 | Rank | 3 | 5 | 1 | 2 | 4 |
| Source | Degre of Freedom (DoF) | Sum of Squares (SS) | Mean Square (MS) | F-Value | p-Value | Impact Rates (%) |
|---|---|---|---|---|---|---|
| Cure period | 1 | 6.4601 | 6.4601 | 18.58 | 0 | 17.06% |
| W/Dm | 1 | 2.576 | 2.576 | 7.41 | 0.011 | 10.61% |
| A/B | 1 | 22.3887 | 22.3887 | 64.4 | 0 | 48.74% |
| Aggregate | 1 | 3.1625 | 3.1625 | 9.1 | 0.005 | 11.89% |
| Binder | 2 | 1.2622 | 0.6311 | 1.82 | 0.181 | 7.75% |
| Error | 29 | 10.0826 | 0.3477 | 3.95% | ||
| Total | 35 | 45.932 | 100.00% |
| Aggregate | Binder | |||
|---|---|---|---|---|
| 70CB | 100L | Result | = | 12.80 − 0.03026 Cure period − 10.70 water/dry materials − 1.577 aggregate/binder ratio |
| 70CB | 10M | Result | = | 13.08 − 0.03026 Cure period − 10.70 water/dry materials − 1.577 aggregate/binder ratio |
| 70CB | 20BFS | Result | = | 13.26 − 0.03026 Cure period − 10.70 water/dry materials − 1.577 aggregate/binder ratio |
| 50CB | 100L | Result | = | 13.39 − 0.03026 Cure period − 10.70 water/dry materials − 1.577 aggregate/binder ratio |
| 50CB | 10M | Result | = | 13.68 − 0.03026 Cure period − 10.70 water/dry materials − 1.577 aggregate/binder ratio |
| 50CB | 20BFS | Result | = | 13.85 − 0.03026 Cure period − 10.70 water/dry materials − 1.577 aggregate/binder ratio |
| Taguchi Method | Linear Regression | Quadratic Regression | ||||
|---|---|---|---|---|---|---|
| 28-0.2-3-70CB-100L | 56-0.2-3-50CB-100L | 28-0.2-3-70CB-100L | 56-0.2-3-50CB-100L | 28-0.2-3-70CB-100L | 56-0.2-3-50CB-100L | |
| Experimental result | 4.98 | 5.38 | 4.98 | 5.38 | 4.98 | 5.38 |
| Estimation | 5.52 | 5.12 | 5.65 | 5.11 | 5.4 | 5.21 |
| Error (%) | 10.8 | 4.8 | 14.2 | 5 | 8.4 | 3.1 |
Disclaimer/Publisher’s Note: The statements, opinions and data contained in all publications are solely those of the individual author(s) and contributor(s) and not of MDPI and/or the editor(s). MDPI and/or the editor(s) disclaim responsibility for any injury to people or property resulting from any ideas, methods, instructions or products referred to in the content. |
© 2025 by the authors. Licensee MDPI, Basel, Switzerland. This article is an open access article distributed under the terms and conditions of the Creative Commons Attribution (CC BY) license (https://creativecommons.org/licenses/by/4.0/).
Share and Cite
İsafça-Kaya, T.; Kaya, Y.; Mardani, N.; Mardani, A.; Doğangün, A. Improving Lime-Based Restoration Mortars: Effect of Type and Utilization Rate of Binder and Aggregate. Materials 2025, 18, 961. https://doi.org/10.3390/ma18050961
İsafça-Kaya T, Kaya Y, Mardani N, Mardani A, Doğangün A. Improving Lime-Based Restoration Mortars: Effect of Type and Utilization Rate of Binder and Aggregate. Materials. 2025; 18(5):961. https://doi.org/10.3390/ma18050961
Chicago/Turabian Styleİsafça-Kaya, Tuğçe, Yahya Kaya, Naz Mardani, Ali Mardani, and Adem Doğangün. 2025. "Improving Lime-Based Restoration Mortars: Effect of Type and Utilization Rate of Binder and Aggregate" Materials 18, no. 5: 961. https://doi.org/10.3390/ma18050961
APA Styleİsafça-Kaya, T., Kaya, Y., Mardani, N., Mardani, A., & Doğangün, A. (2025). Improving Lime-Based Restoration Mortars: Effect of Type and Utilization Rate of Binder and Aggregate. Materials, 18(5), 961. https://doi.org/10.3390/ma18050961

