Impact Damage Localization in Composite Structures Using Data-Driven Machine Learning Methods
Abstract
1. Introduction
2. Algorithm of BP Neural Network and Signal Preprocessing
2.1. The Mechanism of the BP Neural Network
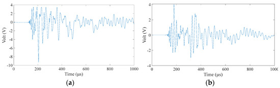
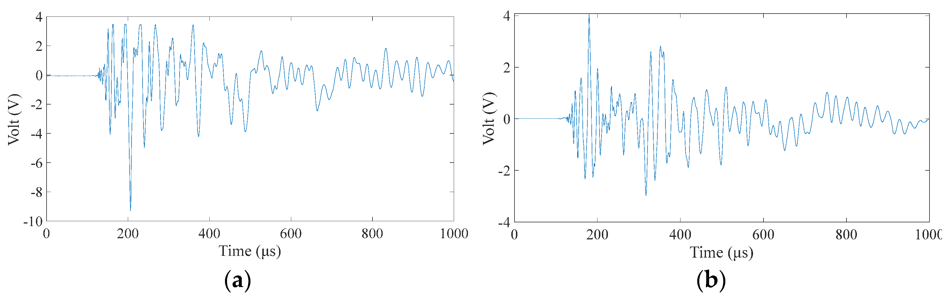
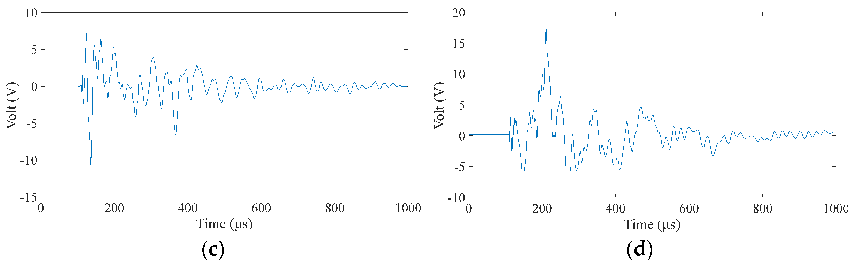
2.2. Processing of Captured Signals
3. Experimental Procedure
3.1. Experimental Setup
3.2. Experimental Process
- (1)
- At the center points of nine areas, use a small steel ball with a diameter of 10 mm to drop from a height of 200 mm; repeat ten times for each area center, and a total of 90 sets of data are utilized as the training set of the model.
- (2)
- Explore the impact of different drop heights on prediction accuracy. Also, use 10 mm small steel balls to fall at the center points of each area, change the length of the guide rail, and make the small balls fall from the heights of 150 mm and 100 mm, respectively, as shown in Figure 5a. Each regional center is repeated ten times, and a total of 90 sets of data are used as the test set of the neural network.
- (3)
- Explore the influence of different steel ball diameters on the prediction accuracy. Also, use a 200 mm long guide rail at the center point of each area to ensure that the steel balls fall at the same height, change the diameter of the small balls used, and use small steel balls with diameters of 8 mm and 15 mm to drop from the same height, as shown in Figure 5a. Each regional center is repeated ten times, and a total of 90 sets of data are utilized as the test set of the model.
- (4)
- Explore the impact of different falling positions on prediction accuracy. Steel balls of the same diameter as the test set were dropped from the same height. For the aluminum plate, offset the drop point by 30 mm and 60 mm from the center of the area. For two composite material panels, the landing point positions are randomly selected at 20 mm and 60 mm from the center of the area. As shown in Figure 5. Each drop point is repeated ten times, and 90 sets of data are used as the test set.
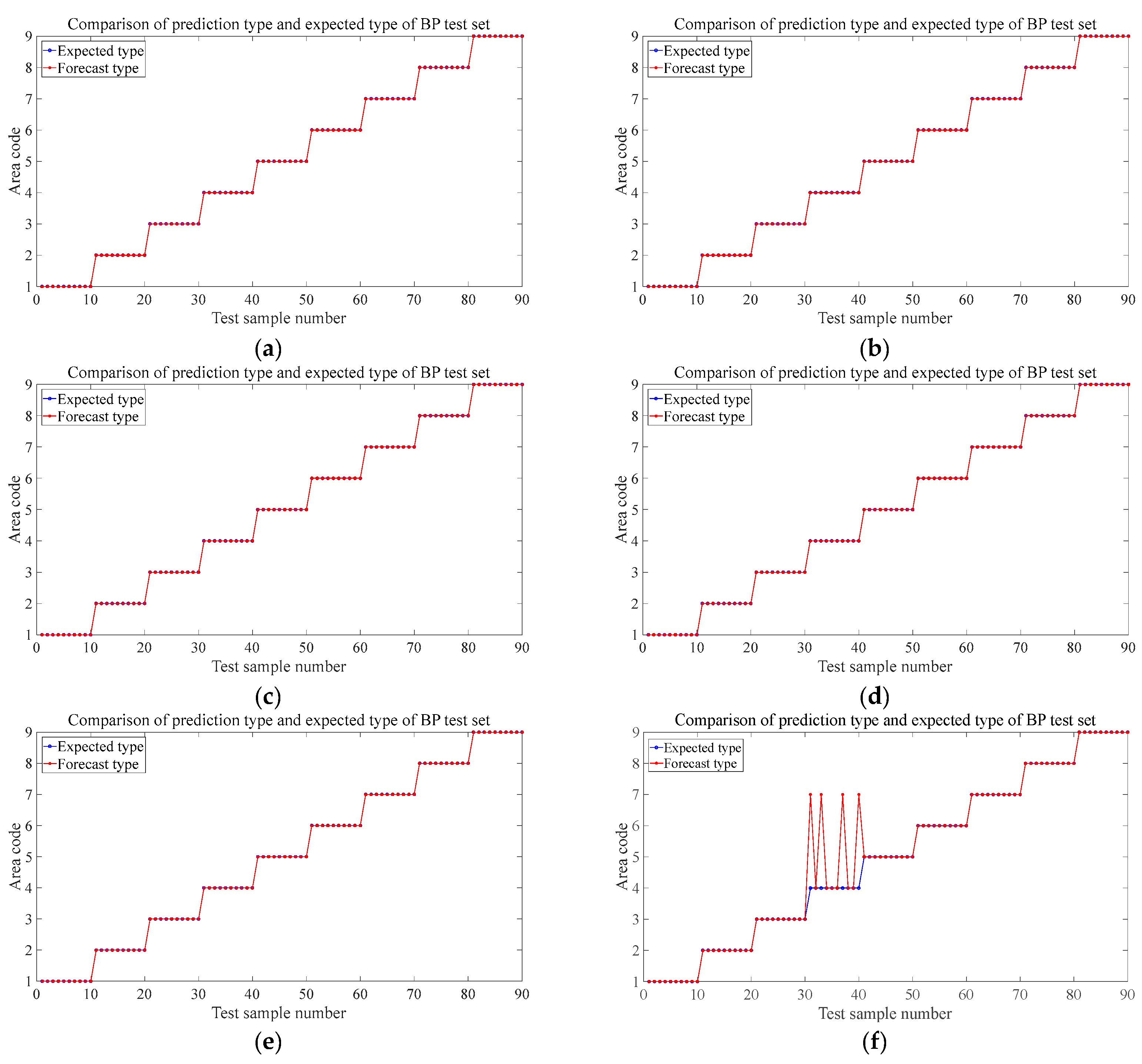
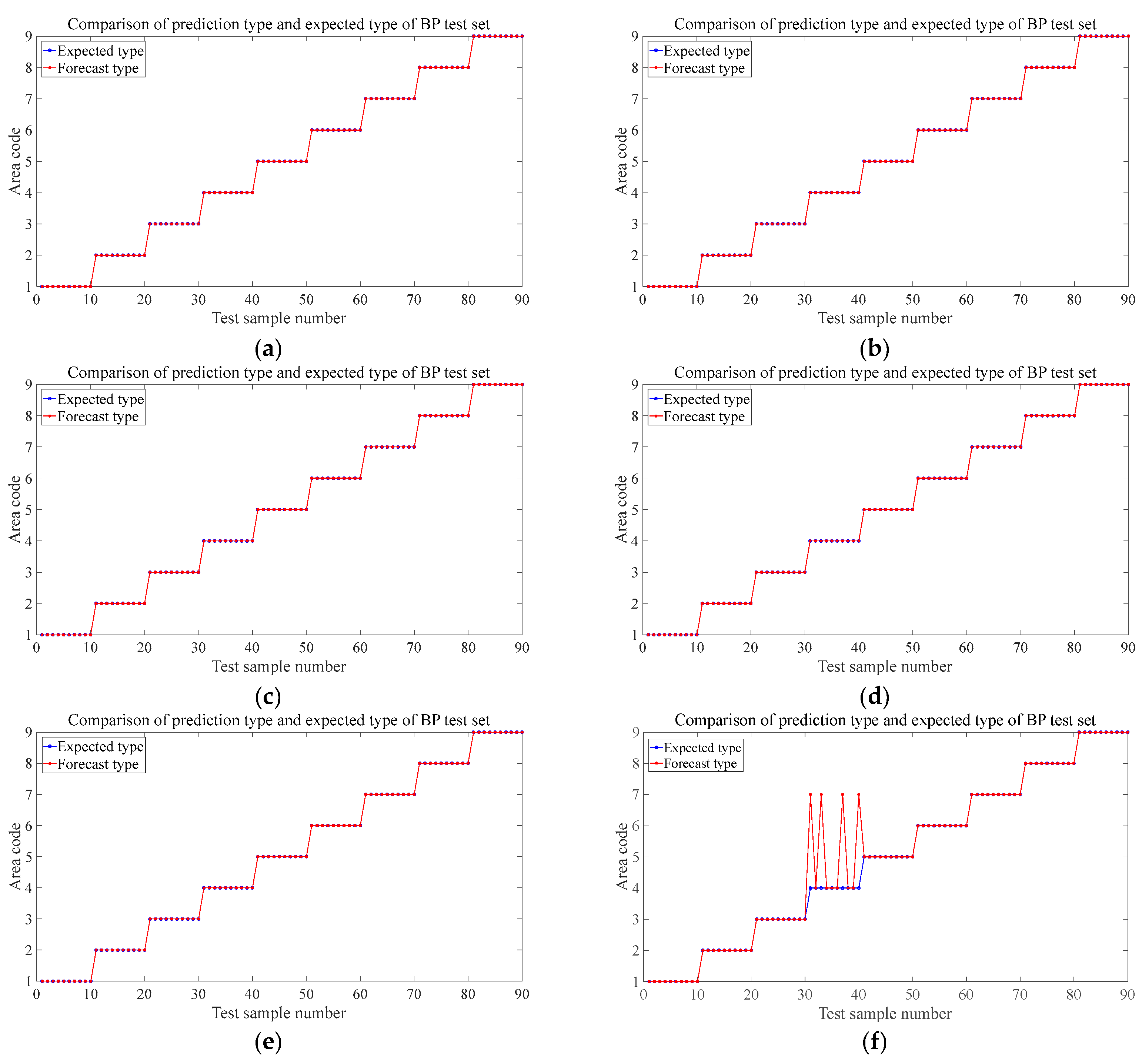
4. Prediction Results of Impact Source Localization
4.1. Prediction Results of Impact Source Localization in Aluminum Plate
4.2. Impact Source Localization Results in Composite Panels
5. Conclusions
Author Contributions
Funding
Institutional Review Board Statement
Informed Consent Statement
Data Availability Statement
Conflicts of Interest
References
- Cheng, H. Composite Material Application and Development in Pressure Vessels. Adv. Mater. Res. 2011, 321, 222–225. [Google Scholar] [CrossRef]
- Huo, X.; Luo, Q.; Li, Q.; Sun, G. Measurement of fracture parameters based upon digital image correlation and virtual crack closure techniques. Compos. B Eng. 2021, 224, 109157. [Google Scholar] [CrossRef]
- Nsengiyumva, W.; Zhong, S.; Lin, J.; Zhang, Q.; Zhong, J.; Huang, Y. Advances, limitations and prospects of nondestructive testing and evaluation of thick composites and sandwich structures: A state-of-the-art review. Compos. Struct. 2021, 256, 112951. [Google Scholar] [CrossRef]
- Dixit, A. Structural Health Monitoring Systems and Methods. Recent Pat. Mech. Eng. 2017, 10, 118–125. [Google Scholar] [CrossRef]
- Cui, L.; Zhao, Y.; Zhao, P.; Sun, J.C.; Jia, Z.Q. Review of Noncontact Ultrasonic Nondestructive Testing for the Solid Materials. Appl. Mech. Mater. 2014, 528, 346–352. [Google Scholar] [CrossRef]
- Dzenis, Y.; Qian, J. Analysis of microdamage evolution histories in composites. Int. J. Solids Struct. 2001, 38, 1831–1854. [Google Scholar] [CrossRef]
- Qiu, Z.; Wang, J.; Fan, H. Low velocity flexural impact behaviors of bamboo fiber reinforced composite beams. Polym. Test. 2021, 94, 107047. [Google Scholar] [CrossRef]
- Coverley, P.T.; Staszewski, W.J. Impact damage location in composite structures using optimized sensor triangulation procedure. Smart Mater. Struct. 2003, 12, 795. [Google Scholar] [CrossRef]
- Gaul, L.; Hurlebaus, S. Identification of the impact location on a plate using wavelets. Mech. Syst. Signal Process. 1998, 12, 783–795. [Google Scholar] [CrossRef]
- Sai, Y.; Jiang, M.; Sui, Q.; Lu, S.; Jia, L. FBG sensor array-based-low speed impact localization system on composite plate. J. Mod. Opt. 2016, 63, 462–467. [Google Scholar] [CrossRef]
- Jiang, M.; Sai, Y.; Geng, X.; Sui, Q.; Liu, X.; Jia, L. Development of an FBG Sensor Array for Multi-Impact Source Localization on CFRP Structures. Sensors 2016, 16, 1770. [Google Scholar] [CrossRef] [PubMed]
- Kundu, T.; Nakatani, H.; Takeda, N. Acoustic source localization in anisotropic plates. Ultrasonics 2012, 52, 740–746. [Google Scholar] [CrossRef] [PubMed]
- Zheng, K.; Shao, S.; Hameed, M.S.; Li, X.; Zhu, W.; Chen, J.; Li, Z.; Shui, G. Damage detection method based on continuous wavelet transform of second harmonic Lamb waves. Nondestruct. Test. Eval. 2023, 38, 1006–1026. [Google Scholar] [CrossRef]
- Seydel, R.; Chang, F.K. Impact identification of stiffened composite panels: II. Implementation studies. Smart Mater. Struct. 2001, 10, 370. [Google Scholar] [CrossRef]
- Sai, Y.; Jiang, M.; Sui, Q.; Lu, S.; Jia, L. Composite plate low energy impact localization system based on FBG sensing network and hybrid algorithm. Opt. Fiber Technol. 2015, 24, 84–88. [Google Scholar] [CrossRef]
- Shrestha, P.; Kim, J.H.; Park, Y.; Kim, C.G. Impact localization on composite structure using FBG sensors and novel impact localization technique based on error outliers. Compos. Struct. 2016, 142, 263–271. [Google Scholar] [CrossRef]
- Kim, J.H.; Kim, Y.Y.; Park, Y.; Kim, C.G. Low-velocity impact localization in a stiffened composite panel using a normalized cross-correlation method. Smart Mater. Struct. 2015, 24, 045036. [Google Scholar] [CrossRef]
- Zhao, G.; Li, S.; Hu, H.; Zhong, Y.; Li, K. Impact localization on composite laminates using fiber Bragg grating sensors and a novel technique based on strain amplitude. Opt. Fiber Technol. 2018, 40, 172–179. [Google Scholar] [CrossRef]
- Salehi, H.; Burgueno, R. Emerging artificial intelligence methods in structural engineering. Eng. Struct. 2018, 171, 170–189. [Google Scholar] [CrossRef]
- Cuomo, C.; De Simone, M.E.; Andreades, C.; Ciampa, F.; Meo, M. Machine learning for impact detection on composite structures. Mater. Today-Proc. 2021, 34, 93–98. [Google Scholar] [CrossRef]
- Geng, X.; Lu, S.; Jiang, M.; Sui, Q.; Lv, S.; Xiao, H.; Jia, Y.; Jia, L. Research on FBG-Based CFRP Structural Damage Identification Using BP Neural Network. Photonic Sens. 2018, 8, 168–175. [Google Scholar] [CrossRef]
- Dipietrangelo, F.; Nicassio, F.; Scarselli, G. Structural Health Monitoring for impact localisation via machine learning. Mech. Syst. Signal Process. 2023, 183, 109621. [Google Scholar] [CrossRef]
- Liu, Q.; Wang, F.; Li, J.; Xiao, W. A hybrid support vector regression with multi-domain features for low-velocity impact localization on composite plate structure. Mech. Syst. Signal Process. 2021, 154, 107547. [Google Scholar] [CrossRef]
- Jiang, M.; Lu, S.; Sui, Q.; Dong, H.; Sai, Y.; Jia, L. Low velocity impact localization on CFRP based on FBG sensors and ELM algorithm. IEEE Sens. J. 2015, 15, 4451–4456. [Google Scholar] [CrossRef]
- Sai, Y.; Zhao, X.; Wang, L.; Hou, D. Impact localization of CFRP structure based on FBG sensor network. Photonic Sens. 2020, 10, 88–96. [Google Scholar] [CrossRef]
- Ai, L.; Soltangharaei, V.; Bayat, M.; Tooren, M.V.; Ziehl, P. Detection of impact on aircraft composite structure using machine learning techniques. Meas. Sci. Technol. 2021, 32, 084013. [Google Scholar] [CrossRef]
- Chen, T.; Guo, L.; Duan, A.; Gao, H.; Feng, T.; He, Y. A feature learning-based method for impact load reconstruction and localization of the plate-rib assembled structure. Struct. Health Monit. Int. J. 2021, 21, 1590–1607. [Google Scholar] [CrossRef]
- Jierula, A.; Wang, S.; Oh, T.M.; Lee, J.W.; Lee, J.H. Detection of source locations in RC columns using machine learning with acoustic emission data. Eng. Struct. 2021, 246, 112992. [Google Scholar] [CrossRef]
- Huang, Y.; Tang, C.; Hao, W.; Zhao, G. Acoustic Source Localization in Metal Plates Using BP Neural Network. Metals 2023, 13, 755. [Google Scholar] [CrossRef]
- Hao, W.; Huang, Y.; Zhao, G. Acoustic sources localization for composite pate using arrival time and BP neural network. Polym. Test. 2022, 115, 107754. [Google Scholar] [CrossRef]





















Disclaimer/Publisher’s Note: The statements, opinions and data contained in all publications are solely those of the individual author(s) and contributor(s) and not of MDPI and/or the editor(s). MDPI and/or the editor(s) disclaim responsibility for any injury to people or property resulting from any ideas, methods, instructions or products referred to in the content. |
© 2025 by the authors. Licensee MDPI, Basel, Switzerland. This article is an open access article distributed under the terms and conditions of the Creative Commons Attribution (CC BY) license (https://creativecommons.org/licenses/by/4.0/).
Share and Cite
Tang, C.; Zhou, Y.; Song, G.; Hao, W. Impact Damage Localization in Composite Structures Using Data-Driven Machine Learning Methods. Materials 2025, 18, 449. https://doi.org/10.3390/ma18020449
Tang C, Zhou Y, Song G, Hao W. Impact Damage Localization in Composite Structures Using Data-Driven Machine Learning Methods. Materials. 2025; 18(2):449. https://doi.org/10.3390/ma18020449
Chicago/Turabian StyleTang, Can, Yujie Zhou, Guoqian Song, and Wenfeng Hao. 2025. "Impact Damage Localization in Composite Structures Using Data-Driven Machine Learning Methods" Materials 18, no. 2: 449. https://doi.org/10.3390/ma18020449
APA StyleTang, C., Zhou, Y., Song, G., & Hao, W. (2025). Impact Damage Localization in Composite Structures Using Data-Driven Machine Learning Methods. Materials, 18(2), 449. https://doi.org/10.3390/ma18020449

