Numerical Study to Analyze the Influence of Process Parameters on Temperature and Stress Field in Powder Bed Fusion of Ti-6Al-4V
Abstract
1. Introduction
2. Materials and Methods
2.1. Materials
2.2. Modeling Methodology
2.2.1. Model Assumptions
2.2.2. Governing Equations
Thermal Analysis
Stress Analysis
2.2.3. Model Dimensions, Meshing, and Time Steps
2.3. Experimental Procedure
3. Results and Discussion
3.1. Model Validation
3.1.1. Maximum Temperature Validation
3.1.2. Melt Pool Dimension Validation
3.1.3. Residual Stress Evolution
3.2. Effect of Process Parameters
3.2.1. Laser Velocity
3.2.2. Laser Power
3.2.3. Hatch Space
3.2.4. Laser Scanning Pattern
3.2.5. Overall Residual Stress Results Under Studied Process Parameters
4. Conclusions
- A volumetric heat source with a decaying absorptivity function, accounting for laser velocity and power, provided results that aligned with experimental data;
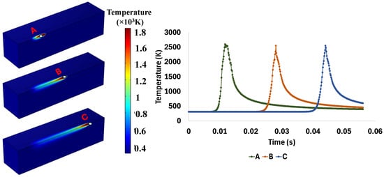
- Thermal cycles of heating and cooling in each track caused material melting and solidification. The material melted when temperatures exceeded the melting point and solidified as the laser moved away, cooling to an ambitious temperature;
- There were also three stages of thermal stress formation. Stress initially appeared in the first cycle of heating, then decreased by melting, and again increased significantly by solidification. Tensile stress increased with cooling, while compressive stress decreased;
- Thermal cycles and phase change are the main controlling factors in the formation of residual stress. Increasing the thermal gradient and greater shrinkage volume results in higher residual stress;
- Increasing laser velocity from 600 mm/s to 1500 mm/s reduced melt pool size, initially decreasing residual stress at 1200 mm/s and slightly increasing it at 1500 mm/s due to higher cooling rates;
- Higher laser power increased the thermal gradient, melted area, and residual stress;
- Increasing hatch space from 25 µm to 75 µm led to a wider deposited area but introduced a lack of fusion at 75 µm, while 25 µm caused surface pores due to material vaporization;
- Hatch space affected the melted area and residual stress distribution. At 75 µm, wider areas melted, with reduced residual stress due to lower heat accumulation and volumetric heat density;
- Unidirectional scanning resulted in sharper thermal gradients and higher residual stress while alternating and domain patterns produced more uniform heat distribution and lower residual stress.
Author Contributions
Funding
Institutional Review Board Statement
Informed Consent Statement
Data Availability Statement
Conflicts of Interest
References
- Beaman, J.J.; Bourell, D.L.; Seepersad, C.C.; Kovar, D. Additive Manufacturing Review: Early Past to Current Practice. J. Manuf. Sci. Eng. 2020, 142, 110812. [Google Scholar] [CrossRef]
- Agbedor, S.-O.; Wu, H.; Ren, Y.; Liang, L.; Yang, D.; Liu, B.; Liu, Y.; Baker, I. A two-decade odyssey in fusion-based additive manufacturing of titanium alloys and composites. Appl. Mater. Today 2024, 39, 102242. [Google Scholar] [CrossRef]
- Cao, S.; Zou, Y.; Lim, C.V.S.; Wu, X. Review of laser powder bed fusion (LPBF) fabricated Ti-6Al-4V: Process, post-process treatment, microstructure, and property. Light Adv. Manuf. 2021, 2, 313–332. [Google Scholar] [CrossRef]
- Ajabshir, S.Z.; Hare, C.; Sofia, D.; Barletta, D.; Poletto, M. Investigating the effect of temperature on powder spreading behaviour in powder bed fusion additive manufacturing process by Discrete Element Method. Powder Technol. 2024, 436, 119468. [Google Scholar] [CrossRef]
- Ajabshir, S.Z.; Sofia, D.; Hare, C.; Barletta, D.; Poletto, M. Experimental characterisation of the spreading of polymeric powders in powder bed fusion additive manufacturing process at changing temperature conditions. Adv. Powder Technol. 2024, 35, 104412. [Google Scholar] [CrossRef]
- Zhou, Z.; Liu, Y.; Liu, X.; Wu, L. High-temperature tensile and creep properties of TiB-reinforced Ti6Al4V composite fabricated by laser powder bed fusion. Mater. Charact. 2023, 200, 112859. [Google Scholar] [CrossRef]
- Moyle, M.S.; Haghdadi, N.; Luzin, V.; Salvemini, F.; Liao, X.Z.; Ringer, S.P.; Primig, S. Correlation of microstructure, mechanical properties, and residual stress of 17-4 PH stainless steel fabricated by laser powder bed fusion. J. Mater. Sci. Technol. 2024, 198, 83–97. [Google Scholar] [CrossRef]
- Pathania, A.; Kumar, S.A.; Nagesha, B.K.; Barad, S.; Suresh, T.N. Reclamation of titanium alloy based aerospace parts using laser based metal deposition methodology. Mater. Today Proc. 2021, 45, 4886–4892. [Google Scholar] [CrossRef]
- Charles, A.; Hofer, A.; Elkaseer, A.; Scholz, S.G. Additive Manufacturing in the Automotive Industry and the Potential for Driving the Green and Electric Transition. In Proceedings of the International Conference on Sustainable Design and Manufacturing, Split, Croatia, 15–17 September 2021; Springer: Singapore, 2022; pp. 339–346. [Google Scholar] [CrossRef]
- Mishra, R.R.; Kumar, R.; Sahoo, A.K.; Panda, A. Machinability behaviour of biocompatible Ti-6Al-4V ELI titanium alloy under flood cooling environment. Mater. Today Proc. 2020, 23, 536–540. [Google Scholar] [CrossRef]
- Lin, Z.; Zhou, Y.; Zuo, S.; Cai, X.; Feng, K.; Wang, K.; Wei, H.; Xiao, F.; Jin, X. Controlling the crystal texture and microstructure of NiTi alloy by adjusting the thermal gradient of laser powder bed melting. Mater. Sci. Eng. A 2024, 912, 146970. [Google Scholar] [CrossRef]
- Ghosh, S.; McReynolds, K.; Guyer, J.E.; Banerjee, D. Simulation of temperature, stress and microstructure fields during laser deposition of Ti-6Al-4V. Model Simul. Mat. Sci. Eng. 2018, 26, 075005. [Google Scholar] [CrossRef]
- Pathania, A.; Subramaniyan, A.K.; Nagesha, B.K. Influence of post-heat treatments on microstructural and mechanical properties of LPBF-processed Ti6Al4V alloy. Prog. Addit. Manuf. 2022, 7, 1323–1343. [Google Scholar] [CrossRef]
- Promoppatum, P.; Onler, R.; Yao, S.C. Numerical and experimental investigations of micro and macro characteristics of direct metal laser sintered Ti-6Al-4V products. J. Mater. Process Technol. 2017, 240, 262–273. [Google Scholar] [CrossRef]
- Liu, S.; Zhu, H.; Peng, G.; Yin, J.; Zeng, X. Microstructure prediction of selective laser melting AlSi10Mg using finite element analysis. Mater. Des. 2018, 142, 319–328. [Google Scholar] [CrossRef]
- Zhang, Q.; Xie, J.; London, T.; Griffiths, D.; Bhamji, I.; Oancea, V. Estimates of the mechanical properties of laser powder bed fusion Ti-6Al-4V parts using finite element models. Mater. Des. 2019, 169, 107678. [Google Scholar] [CrossRef]
- Tamanna, N.; Kabir, I.R.; Naher, S. Thermo-mechanical modelling to evaluate residual stress and material compatibility of laser cladding process depositing similar and dissimilar material on Ti6Al4V alloy. Therm. Sci. Eng. Prog. 2022, 31, 101283. [Google Scholar] [CrossRef]
- Xiao, Z.; Chen, C.; Zhu, H.; Hu, Z.; Nagarajan, B.; Guo, L.; Zeng, X. Study of residual stress in selective laser melting of Ti6Al4V. Mater. Des. 2020, 193, 108846. [Google Scholar] [CrossRef]
- Bastola, N.; Jahan, M.P.; Rangasamy, N.; Rakurty, C.S. A Review of the Residual Stress Generation in Metal Additive Manufacturing: Analysis of Cause, Measurement, Effects, and Prevention. Micromachines 2023, 14, 1480. [Google Scholar] [CrossRef] [PubMed]
- Bartlett, J.L.; Li, X. An overview of residual stresses in metal powder bed fusion. Addit. Manuf. 2019, 27, 131–149. [Google Scholar] [CrossRef]
- Platl, J.; Bodner, S.; Hofer, C.; Landefeld, A.; Leitner, H.; Turk, C.; Nielsen, M.-A.; Demir, A.G.; Previtali, B.; Keckes, J.; et al. Cracking mechanism in a laser powder bed fused cold-work tool steel: The role of residual stresses, microstructure and local elemental concentrations. Acta Mater. 2022, 225, 117570. [Google Scholar] [CrossRef]
- Levkulich, N.C.; Semiatin, S.L.; Gockel, J.E.; Middendorf, J.R.; DeWald, A.T.; Klingbeil, N.W. The effect of process parameters on residual stress evolution and distortion in the laser powder bed fusion of Ti-6Al-4V. Addit. Manuf. 2019, 28, 475–484. [Google Scholar] [CrossRef]
- Deshmukh, K.; Riensche, A.; Bevans, B.; Lane, R.J.; Snyder, K.; Halliday, H.; Williams, C.B.; Mirzaeifar, R.; Rao, P. Effect of processing parameters and thermal history on microstructure evolution and functional properties in laser powder bed fusion of 316L. Mater. Des. 2024, 244, 113136. [Google Scholar] [CrossRef]
- Evangelou, A.; Stylianou, R.; Loizou, A.; Kim, D.; Liang, A.; Reed, P.; Constantinides, G.; Kyratsi, T. Effects of process parameters and scan strategy on the microstructure and density of stainless steel 316 L produced via laser powder bed fusion. J. Alloys Metall. Syst. 2023, 3, 100027. [Google Scholar] [CrossRef]
- Liu, H.; Cheng, W.; Sun, Y.; Ma, R.; Wang, Y.; Bai, J.; Xue, L.; Song, X.; Tan, C. Effects of Process Parameters and Heat Treatment on Microstructure and Mechanical Characteristics of Laser Powder Bed Fusion Alloy Inconel 718. Coatings 2023, 13, 189. [Google Scholar] [CrossRef]
- Olleak, A.; Xi, Z. Finite Element Modeling of the Selective Laser Melting Process for Ti-6Al-4V. In Proceedings of the 29th Annual International Solid Freeform Fabrication Symposium (SSF)—An Additive Manufacturing Conference, Austin, TX, USA, 13–15 August 2018. [Google Scholar]
- Marques, B.M.; Andrade, C.M.; Neto, D.M.; Oliveira, M.C.; Alves, J.L.; Menezes, L.F. Numerical Analysis of Residual Stresses in Parts Produced by Selective Laser Melting Process. Procedia Manuf. 2020, 47, 1170–1177. [Google Scholar] [CrossRef]
- Chen, C.; Xiao, Z.; Zhang, W.; Wang, Y.; Zhu, H. Effect of laser jump speed on temperature distribution and thermal stress in laser powder bed fusion. Opt. Laser Technol. 2021, 142, 107275. [Google Scholar] [CrossRef]
- Mishra, A.K.; Kumar, A. Numerical and experimental analysis of the effect of volumetric energy absorption in powder layer on thermal-fluidic transport in selective laser melting of Ti6Al4V. Opt. Laser Technol. 2019, 111, 227–239. [Google Scholar] [CrossRef]
- Soylemez, E. Modelling the Melt Pool of the Laser Sintered Ti6Al4V Layers with Goldak’s Double-Ellipsoidal Heat Source. In Proceedings of the 29th Annual International Solid Freeform Fabrication Symposium (SSF)—An Additive Manufacturing Conference, Austin, TX, USA, 13–15 August 2018. [Google Scholar]
- Hussein, A.; Hao, L.; Yan, C.; Everson, R. Finite element simulation of the temperature and stress fields in single layers built without-support in selective laser melting. Mater. Des. 2013, 52, 638–647. [Google Scholar] [CrossRef]
- Liu, Y.; Li, Q.; Ren, Z.; Jiang, Z.; Luo, H.; Zhang, X. Effect of Process Parameters on Stress Field of Laser Additive Manufacturing. Machines 2022, 10, 1197. [Google Scholar] [CrossRef]
- Chen, C.; Yin, J.; Zhu, H.; Xiao, Z.; Zhang, L.; Zeng, X. Effect of overlap rate and pattern on residual stress in selective laser melting. Int. J. Mach. Tools Manuf. 2019, 145, 103433. [Google Scholar] [CrossRef]
- Luo, C.; Qiu, J.; Yan, Y.; Yang, J.; Uher, C.; Tang, X. Finite element analysis of temperature and stress fields during the selective laser melting process of thermoelectric SnTe. J. Mater. Process Technol. 2018, 261, 74–85. [Google Scholar] [CrossRef]
- Parry, L.; Ashcroft, I.A.; Wildman, R.D. Understanding the effect of laser scan strategy on residual stress in selective laser melting through thermo-mechanical simulation. Addit. Manuf. 2016, 12, 1–15. [Google Scholar] [CrossRef]
- Ganeriwala, R.K.; Strantza, M.; King, W.E.; Clausen, B.; Phan, T.Q.; Levine, L.E.; Brown, D.W.; Hodge, N.E. Evaluation of a thermomechanical model for prediction of residual stress during laser powder bed fusion of Ti-6Al-4V. Addit. Manuf. 2019, 27, 489–502. [Google Scholar] [CrossRef]
- Li, X.; Zhang, M.; Qi, J.; Yang, Z.; Jiao, Z. A Simulation Study on the Effect of Residual Stress on the Multi-Layer Selective Laser Melting Processes Considering Solid-State Phase Transformation. Materials 2022, 15, 7175. [Google Scholar] [CrossRef] [PubMed]
- Bayat, M.; Dong, W.; Thorborg, J.; To, A.C.; Hattel, J.H. A review of multi-scale and multi-physics simulations of metal additive manufacturing processes with focus on modeling strategies. Addit. Manuf. 2021, 47, 102278. [Google Scholar] [CrossRef]
- Zhou, R.; Liu, H.; Wang, H. Modeling and simulation of metal selective laser melting process: A critical review. Int. J. Adv. Manuf. Technol. 2022, 121, 5693–5706. [Google Scholar] [CrossRef]
- Papazoglou, E.L.; Karkalos, N.E.; Karmiris-Obratański, P.; Markopoulos, A.P. On the Modeling and Simulation of SLM and SLS for Metal and Polymer Powders: A Review. Arch. Comput. Methods Eng. 2022, 29, 941–973. [Google Scholar] [CrossRef]
- Zhang, Z.; Huang, Y.; Kasinathan, A.R.; Shahabad, S.I.; Ali, U.; Mahmoodkhani, Y.; Toyserkani, E. 3-Dimensional heat transfer modeling for laser powder-bed fusion additive manufacturing with volumetric heat sources based on varied thermal conductivity and absorptivity. Opt. Laser Technol. 2019, 109, 297–312. [Google Scholar] [CrossRef]
- Mohammadkamal, H.; Caiazzo, F. Thermomechanical Simulation of Laser Powder Bed Fusion for Ti-6Al-4V: A Study on Residual Stress and Impact of Laser Process Parameters Using Volumetric Heat Source. In Proceedings of the 2024 11th International Workshop on Metrology for AeroSpace (MetroAeroSpace), Lublin, Poland, 3–5 June 2024; IEEE: Piscataway, NJ, USA, 2024; pp. 260–265. [Google Scholar] [CrossRef]
- Mohammadkamal, H.; Caiazzo, F. Influence of absorptivity variation on Laser Powder Bed Fusion simulation and impact of process parameters on residual stress formation. Procedia CIRP 2024, 124, 335–340. [Google Scholar] [CrossRef]
- Fu, C.H.; Guo, Y.B. 3-Dimensional Finite Element Modeling of Selective Laser Melting TI-6AL-4V Alloy. In Proceedings of the 25th Annual International Solid Freeform Fabrication Symposium (SSF)—An Additive Manufacturing Conference, Austin, TX, USA, 4–6 August 2014. [Google Scholar]
- Ge, W.; Fuh, J.Y.H.; Na, S.J. Numerical modelling of keyhole formation in selective laser melting of Ti6Al4V. J. Manuf. Process 2021, 62, 646–654. [Google Scholar] [CrossRef]
- Akbari, M.; Saedodin, S.; Toghraie, D.; Shoja-Razavi, R.; Kowsari, F. Experimental and numerical investigation of temperature distribution and melt pool geometry during pulsed laser welding of Ti6Al4V alloy. Opt. Laser Technol. 2014, 59, 52–59. [Google Scholar] [CrossRef]
- Sharma, R.; Kumar, A. Track-Scale Simulations of Selective Laser Melting to Investigate Development and Mitigation of Thermal Stresses. Lasers Manuf. Mater. Process. 2019, 6, 464–492. [Google Scholar] [CrossRef]
- Li, C.; Liu, Z.Y.; Fang, X.Y.; Guo, Y.B. Residual Stress in Metal Additive Manufacturing. Procedia CIRP 2018, 71, 348–353. [Google Scholar] [CrossRef]
- Mercelis, P.; Kruth, J. Residual stresses in selective laser sintering and selective laser melting. Rapid Prototyp. J. 2006, 12, 254–265. [Google Scholar] [CrossRef]
- Vastola, G.; Zhang, G.; Pei, Q.X.; Zhang, Y.-W. Controlling of residual stress in additive manufacturing of Ti6Al4V by finite element modeling. Addit. Manuf. 2016, 12, 231–239. [Google Scholar] [CrossRef]
- Zhirnov, I.; Yadroitsava, I.; Yadroitsev, I. Optical monitoring and numerical simulation of temperature distribution at selective laser melting of Ti6Al4V alloy. In Materials Science Forum; Trans Tech Publications Ltd.: Stafa-Zurich, Switzerland, 2015; Volume 828, pp. 474–481. [Google Scholar] [CrossRef]
- Dilip, J.J.S.; Zhang, S.; Teng, C.; Zeng, K.; Robinson, C.; Pal, D.; Stucker, B. Influence of processing parameters on the evolution of melt pool, porosity, and microstructures in Ti-6Al-4V alloy parts fabricated by selective laser melting. Prog. Addit. Manuf. 2017, 2, 157–167. [Google Scholar] [CrossRef]
- ADunbar, J.; Denlinger, E.R.; Heigel, J.; Michaleris, P.; Guerrier, P.; Martukanitz, R.; Simpson, T.W. Development of experimental method for in situ distortion and temperature measurements during the laser powder bed fusion additive manufacturing process. Addit. Manuf. 2016, 12, 25–30. [Google Scholar] [CrossRef]
- Bayat, M.; Thanki, A.; Mohanty, S.; Witvrouw, A.; Yang, S.; Thorborg, J.; Tiedje, N.S.; Hattel, J.H. Keyhole-induced porosities in Laser-based Powder Bed Fusion (L-PBF) of Ti6Al4V: High-fidelity modelling and experimental validation. Addit. Manuf. 2019, 30, 100835. [Google Scholar] [CrossRef]
- Keshavarzkermani, A.; Marzbanrad, E.; Esmaeilizadeh, R.; Mahmoodkhani, Y.; Ali, U.; Enrique, P.D.; Zhou, N.Y.; Bonakdar, A.; Toyserkani, E. An investigation into the effect of process parameters on melt pool geometry, cell spacing, and grain refinement during laser powder bed fusion. Opt. Laser Technol. 2019, 116, 83–91. [Google Scholar] [CrossRef]
- Tang, M.; Pistorius, P.C.; Beuth, J.L. Prediction of lack-of-fusion porosity for powder bed fusion. Addit. Manuf. 2017, 14, 39–48. [Google Scholar] [CrossRef]
- Liu, Y.; Yang, Y.; Wang, D. A study on the residual stress during selective laser melting (SLM) of metallic powder. Int. J. Adv. Manuf. Technol. 2016, 87, 647–656. [Google Scholar] [CrossRef]
- Darvish, K.; Chen, Z.W.; Pasang, T. Reducing lack of fusion during selective laser melting of CoCrMo alloy: Effect of laser power on geometrical features of tracks. Mater. Des. 2016, 112, 357–366. [Google Scholar] [CrossRef]
- Mukherjee, T.; DebRoy, T. Mitigation of lack of fusion defects in powder bed fusion additive manufacturing. J. Manuf. Process 2018, 36, 442–449. [Google Scholar] [CrossRef]
- du Plessis, A. Effects of process parameters on porosity in laser powder bed fusion revealed by X-ray tomography. Addit. Manuf. 2019, 30, 100871. [Google Scholar] [CrossRef]
- Pramod, S.; Kesavan, D. Melting modes of laser powder bed fusion (L-PBF) processed IN718 alloy: Prediction and experimental analysis. Adv. Ind. Manuf. Eng. 2023, 6, 100106. [Google Scholar] [CrossRef]
- Mukherjee, T.; Manvatkar, V.; De, A.; DebRoy, T. Mitigation of thermal distortion during additive manufacturing. Scr. Mater. 2017, 127, 79–83. [Google Scholar] [CrossRef]
- Mansouri, M.; Fallah, M.M.; Kazerooni, A. The influence of hatch distance on the surface roughness, microhardness, residual stress, and density of inconel 625 specimens in the laser powder bed fusion process. Adv. Mater. Process. Technol. 2024, 10, 1–15. [Google Scholar] [CrossRef]
- Ji, L.; Wang, S.; Wang, C.; Zhang, Y. Effect of hatch space on morphology and tensile property of laser powder bed fusion of Ti6Al4V. Opt. Laser Technol. 2022, 150, 107929. [Google Scholar] [CrossRef]
- Nazami, G.R.; Sahoo, S. Influence of hatch spacing and laser spot overlapping on heat transfer during laser powder bed fusion of aluminum alloy. J. Laser Appl. 2020, 32, 042007. [Google Scholar] [CrossRef]























| Properties | Values |
|---|---|
| Melting point, Tm (K) | 1923 |
| Vaporization point, Tv (K) | 3660 |
| Latent heat, L (kJ/kg) | 286 |
| Density, ρ (kg/m3) | 4512 − 0.154 T 308 < T < 1923 |
| Thermal conductivity, k (W/m·K) | 1.25 + 0.015 T 308 < T < 1268 3.15 + 0.012 T 1268 < T < 1923 |
| Specific heat, Cp (J/kg·K) | 483.04 + 0.215 T 308 < T < 1268 412.7 + 0.180 T 1268 < T < 1923 |
| Temperature (K) | Young’s Modulus (GPa) | Poisson’s Ratio | Yield Strength (MPa) | Coefficient of Thermal Expansion (×10−6) |
|---|---|---|---|---|
| 293 | 125 | 0.34 | 1000 | 8.78 |
| 478 | 100 | 0.36 | 663 | 10 |
| 701 | 80 | 0.38 | 500 | 11.1 |
| 923 | 55 | 0.42 | 300 | 11.7 |
| 1145 | 20 | 0.43 | 25 | 12.3 |
| 1367 | 5 | 0.43 | 5 | 12.4 |
| 1923 | 0.3 | 0.43 | 0.3 | 12.5 |
| Process Parameters | Value |
|---|---|
| Laser power (W) | 30 |
| Laser velocity (mm/s) | 50, 100, 200, 300 |
| Laser spot diameter (µm) | 70 |
| Process Parameters | Value |
|---|---|
| Laser power (W) | 50, 100, 150, 170, 195 |
| Laser velocity (mm/s) | 500, 600, 750, 900, 1200 |
| Laser spot diameter (µm) | 100 |
| Process Parameters | Values |
|---|---|
| Laser power (W) | 150 |
| Laser velocity (mm/s) | 600, 900, 1200, 1500 |
| Laser spot diameter (µm) | 100 |
| Process Parameters | Values |
|---|---|
| Laser power (W) | 100, 150, 170, 200 |
| Laser velocity (mm/s) | 900 |
| Laser spot diameter (µm) | 100 |
| Process Parameters | Value |
|---|---|
| Laser power (W) | 150 |
| Laser velocity (mm/s) | 1200 |
| Hatch space (µm) | 25, 50, 75 |
| Laser spot diameter (µm) | 100 |
Disclaimer/Publisher’s Note: The statements, opinions and data contained in all publications are solely those of the individual author(s) and contributor(s) and not of MDPI and/or the editor(s). MDPI and/or the editor(s) disclaim responsibility for any injury to people or property resulting from any ideas, methods, instructions or products referred to in the content. |
© 2025 by the authors. Licensee MDPI, Basel, Switzerland. This article is an open access article distributed under the terms and conditions of the Creative Commons Attribution (CC BY) license (https://creativecommons.org/licenses/by/4.0/).
Share and Cite
Mohammadkamal, H.; Caiazzo, F. Numerical Study to Analyze the Influence of Process Parameters on Temperature and Stress Field in Powder Bed Fusion of Ti-6Al-4V. Materials 2025, 18, 368. https://doi.org/10.3390/ma18020368
Mohammadkamal H, Caiazzo F. Numerical Study to Analyze the Influence of Process Parameters on Temperature and Stress Field in Powder Bed Fusion of Ti-6Al-4V. Materials. 2025; 18(2):368. https://doi.org/10.3390/ma18020368
Chicago/Turabian StyleMohammadkamal, Helia, and Fabrizia Caiazzo. 2025. "Numerical Study to Analyze the Influence of Process Parameters on Temperature and Stress Field in Powder Bed Fusion of Ti-6Al-4V" Materials 18, no. 2: 368. https://doi.org/10.3390/ma18020368
APA StyleMohammadkamal, H., & Caiazzo, F. (2025). Numerical Study to Analyze the Influence of Process Parameters on Temperature and Stress Field in Powder Bed Fusion of Ti-6Al-4V. Materials, 18(2), 368. https://doi.org/10.3390/ma18020368

