Modeling and Simulation of Dynamic Recrystallization Microstructure Evolution for GCr15 Steel Using the Level Set Method
Abstract
1. Introduction
2. Materials and Experiment
3. Modeling of Dynamic Recrystallization for GCr15 Steel
3.1. LS Modeling of DRX
3.1.1. Level Set Method Formulation
3.1.2. Dynamic Recrystallization Grain Growth Mechanism
3.1.3. Nucleation Mechanism
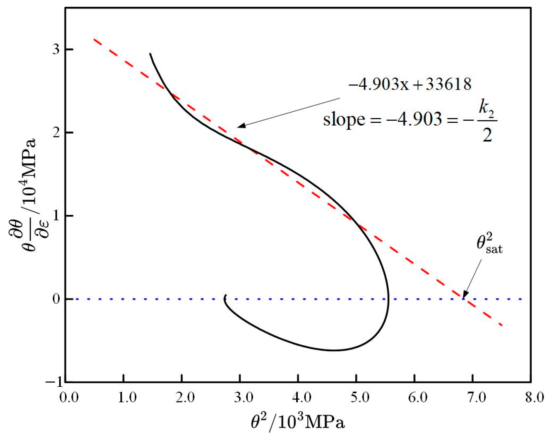
3.2. Dislocation Dynamics Model and Parameters Identification
3.3. Mesoscale Finite Element Modeling Based on Level Set Method
4. Results and Discussion
4.1. Analysis of the Flow Stress Curves
4.2. Simulation and Verification of Microstructure Evolution for GCr15 Steel
4.2.1. Effects of Strain on DRX Behavior
4.2.2. Effects of Temperature on DRX Behavior
4.2.3. Effects of Strain Rate on DRX Behavior
5. Conclusions
- A Yoshie–Laasraoui–Jonas dislocation dynamics model was established using dislocation density as an internal variable, considering uniform grain boundary energy and mobility, and parameter identification was performed. To reduce cumulative errors, a particle swarm optimization algorithm was proposed for parameters’ inverse optimization. The optimized model’s correlation coefficient was 0.9969. This shows that the inverse optimization method for microstructure model parameters proposed in this paper is accurate and effective.
- A DRX microstructure evolution model based on the LS method was established, and the Yoshie–Laasraoui–Jonas model parameters were embedded in DIGIMU® software through secondary programming for simulation calculations. The initial grain morphology was reconstructed in situ to study its influence on microstructural topology. The established model was validated through metallographic experiments by comparing actual metallographic images with simulation results. It was demonstrated that the finite element microstructure evolution model can predict complex grain topology evolution after large and non-uniform deformations.
- The impacts of different hot processing parameters on the DRX microstructure evolution of GCr15 steel were studied and analyzed using curve charts and distribution maps. The results were validated by comparing the hot compression experiment results with the simulation results. The findings indicate that hot deformation significantly affects grain size, with lower strain rates and higher temperatures both leading to a reduction in the critical strain for DRX, resulting in larger grain sizes.
Author Contributions
Funding
Institutional Review Board Statement
Informed Consent Statement
Data Availability Statement
Conflicts of Interest
References
- Song, Y.-L.; Yu, C.; Miao, X.; Han, X.-H.; Qian, D.-S.; Chen, X. Tribological performance improvement of bearing steel GCr15 by an alternating magnetic treatment. Acta Metall. Sin. 2017, 30, 957–964. [Google Scholar] [CrossRef]
- Su, Y.; Miao, L.J.; Yu, X.F.; Liu, T.M.; Liu, L.; Liu, J.L. Effect of isothermal quenching on microstructure and hardness of GCr15 steel. J. Mater. Res. Technol. 2021, 15, 2820–2827. [Google Scholar] [CrossRef]
- Kareem, S.A.; Anaele, J.U.; Aikulola, E.O.; Olanrewaju, O.F.; Omiyale, B.O.; Bodunrin, M.O.; Alaneme, K.K. Hot deformation behaviour, constitutive model description, and processing map analysis of superalloys: An overview of nascent developments. J. Mater. Res. Technol. 2023, 26, 8624–8669. [Google Scholar] [CrossRef]
- Deng, X.H.; Qu, Z.D.; Zhang, L.W.; Ju, D.Y. Modeling and simulation of dynamic recrystallization of GCr15 steel using cellular automaton method. Mater. Sci. Forum 2013, 750, 156–159. [Google Scholar] [CrossRef]
- McQueen, H.J.; Blum, W. Dynamic recovery: Sufficient mechanism in the hot deformation of Al (<99.99). Mater. Sci. Eng. A 2000, 290, 95–107. [Google Scholar] [CrossRef]
- Baochun, Z.; Tan, Z.; Guiyan, L.; Qiang, L. Effect of nitrogen on the dynamic recrystallization behaviors of vanadium and titanium microalloyed steels. Arch. Metall. Mater. 2018, 63, 379–386. [Google Scholar] [CrossRef]
- Zhong, X.; Huang, L.; Wang, L.; Liu, F.; Dong, X.; Zhang, Z. A discontinuous dynamic recrystallization model incorporating characteristics of initial microstructure. Trans. Nonferrous Met. Soc. China 2018, 28, 2294–2306. [Google Scholar] [CrossRef]
- Sakai, T.; Belyakov, A.; Kaibyshev, R.; Miura, H.; Jonas, J.J. Dynamic and post-dynamic recrystallization under hot, cold and severe plastic deformation conditions. Prog. Mater. Sci. 2014, 60, 130–207. [Google Scholar] [CrossRef]
- Humphreys, F.J.; Hatherly, M. Recrystallization and Related Annealing Phenomena; Elsevier: Kidlington, UK, 2012; pp. 173–177. [Google Scholar]
- Doherty, R.D.; Hughes, D.A.; Humphreys, F.J.; Jonas, J.J.; Jensen, D.J.; Kassner, M.E.; King, W.E.; McNelley, T.R.; McQueen, H.J.; Rollett, A.D. Current issues in recrystallization: A review. Mater. Sci. Eng. A 1997, 238, 219–274. [Google Scholar] [CrossRef]
- Grand, V.; Flipon, B.; Gaillac, A.; Bernacki, M. Simulation of continuous dynamic recrystallization using a level-set method. Materials 2022, 15, 8547. [Google Scholar] [CrossRef]
- Chen, F.; Zhu, H.; Chen, W.; Ou, H.; Cui, Z. Multiscale modeling of discontinuous dynamic recrystallization during hot working by coupling multilevel cellular automaton and finite element method. Int. J. Plast. 2021, 145, 103064. [Google Scholar] [CrossRef]
- Baron, T.J.; Khlopkov, K.; Pretorius, T.; Balzani, D.; Brands, D.; Schröder, J. Modeling of microstructure evolution with dynamic recrystallization in finite element simulations of martensitic steel. Steel Res. Int. 2015, 87, 37–45. [Google Scholar] [CrossRef]
- Chen, M.-S.; Yuan, W.-Q.; Lin, Y.C.; Li, H.-B.; Zou, Z.-H. Modeling and simulation of dynamic recrystallization behavior for 42CrMo steel by an extended cellular automaton method. Vacuum 2017, 146, 142–151. [Google Scholar] [CrossRef]
- Fuyong, S.U.; Wenli, L.I.U.; Zhi, W.E.N. Three-dimensional cellular automaton simulation of austenite grain growth of Fe-1C-1.5Cr alloy steel. J. Mater. Res. Technol. 2020, 9, 180–187. [Google Scholar] [CrossRef]
- Avrami, M. Kinetics of phase change. I General theory. J. Chem. Phys. 2004, 7, 1103–1112. [Google Scholar] [CrossRef]
- Avrami, M. Kinetics of phase change. II Transformation-time relations for random distribution of nuclei. J. Chem. Phys. 2004, 8, 212–224. [Google Scholar] [CrossRef]
- Avrami, M. Granulation, phase change, and microstructure kinetics of phase change. III. J. Chem. Phys. 2004, 9, 177–184. [Google Scholar] [CrossRef]
- Marthinsen, K.; Lohne, O.; Nes, E. The development of recrystallization microstructures studied experimentally and by computer simulation. Acta Metall. 1989, 37, 135–145. [Google Scholar] [CrossRef]
- Furu, T.; Marthinsen, K.; Nes, E. Modelling recrystallisation. Mater. Sci. Technol. 1990, 6, 1093–1102. [Google Scholar] [CrossRef]
- Saetre, T.O.; Hunderi, O.; Nes, E. Computer simulation of primary recrystallisation microstructures: The effects of nucleation and growth kinetics. Acta Metall. 1986, 34, 981–987. [Google Scholar] [CrossRef]
- Beltran, O.; Huang, K.; Logé, R.E. A mean field model of dynamic and post-dynamic recrystallization predicting kinetics, grain size and flow stress. Comput. Mater. Sci. 2015, 102, 293–303. [Google Scholar] [CrossRef]
- Bernard, P.; Bag, S.; Huang, K.; Logé, R.E. A two-site mean field model of discontinuous dynamic recrystallization. Mater. Sci. Eng. A 2011, 528, 7357–7367. [Google Scholar] [CrossRef]
- Montheillet, F.; Lurdos, O.; Damamme, G. A grain scale approach for modeling steady-state discontinuous dynamic recrystallization. Acta Mater. 2009, 57, 1602–1612. [Google Scholar] [CrossRef]
- Florez, S.; Shakoor, M.; Toulorge, T.; Bernacki, M. A new finite element strategy to simulate microstructural evolutions. Comput. Mater. Sci. 2020, 172, 109335. [Google Scholar] [CrossRef]
- Maire, L.; Scholtes, B.; Moussa, C.; Bozzolo, N.; Muñoz, D.P.; Settefrati, A.; Bernacki, M. Modeling of dynamic and post-dynamic recrystallization by coupling a full field approach to phenomenological laws. Mater. Des. 2017, 133, 498–519. [Google Scholar] [CrossRef]
- De Micheli, P.O.; Maire, L.; Cardinaux, D.; Moussa, C.; Bozzolo, N.; Bernacki, M. DIGIMU®: Full field recrystallization simulations for optimization of multi-pass processes. In Proceedings of the 22nd International Esaform Conference on Material Forming: Esaform 2019, Vitoria-Gasteiz, Spain, 8–10 May 2019. [Google Scholar]
- Rollett, A.D.; Raabe, D. A hybrid model for mesoscopic simulation of recrystallization. Comput. Mater. Sci. 2001, 21, 69–78. [Google Scholar] [CrossRef]
- Raabe, D. Introduction of a scalable three-dimensional cellular automaton with a probabilistic switching rule for the discrete mesoscale simulation of recrystallization phenomena. Philos. Mag. A 1999, 79, 2339–2358. [Google Scholar] [CrossRef]
- Hallberg, H. Approaches to modeling of recrystallization. Metals 2011, 1, 16–48. [Google Scholar] [CrossRef]
- Barrales Mora, L.A.; Gottstein, G.; Shvindlerman, L.S. Three-dimensional grain growth: Analytical approaches and computer simulations. Acta Mater. 2008, 56, 5915–5926. [Google Scholar] [CrossRef]
- Schwarze, C.; Darvishi Kamachali, R.; Kühbach, M.; Mießen, C.; Tegeler, M.; Barrales-Mora, L.; Steinbach, I.; Gottstein, G. Computationally efficient phase-field simulation studies using RVE sampling and statistical analysis. Comput. Mater. Sci. 2018, 147, 204–216. [Google Scholar] [CrossRef]
- Murgas, B.; Flipon, B.; Bozzolo, N.; Bernacki, M. Level-set modeling of grain growth in 316L stainless steel under different assumptions eegarding grain boundary properties. Materials 2022, 15, 2434. [Google Scholar] [CrossRef] [PubMed]
- Fausty, J.; Bozzolo, N.; Bernacki, M. A 2D level set finite element grain coarsening study with heterogeneous grain boundary energies. Appl. Math. Model. 2020, 78, 505–518. [Google Scholar] [CrossRef]
- Bernacki, M.; Chastel, Y.; Coupez, T.; Logé, R.E. Level set framework for the numerical modelling of primary recrystallization in polycrystalline materials. Scr. Mater. 2008, 58, 1129–1132. [Google Scholar] [CrossRef]
- Bernacki, M.; Resk, H.; Coupez, T.; Logé, R.E. Finite element model of primary recrystallization in polycrystalline aggregates using a level set framework. Model. Simul. Mater. Sci. Eng. 2009, 17, 064006. [Google Scholar] [CrossRef]
- Hallberg, H. A modified level set approach to 2D modeling of dynamic recrystallization. Model. Simul. Mater. Sci. Eng. 2013, 21, 085012. [Google Scholar] [CrossRef]
- Scholtes, B.; Shakoor, M.; Settefrati, A.; Bouchard, P.-O.; Bozzolo, N.; Bernacki, M. New finite element developments for the full field modeling of microstructural evolutions using the level-set method. Comput. Mater. Sci. 2015, 109, 388–398. [Google Scholar] [CrossRef]
- Osher, S.; Sethian, J.A. Fronts propagating with curvature-dependent speed: Algorithms based on Hamilton-Jacobi formulations. J. Comput. Phys. 1988, 79, 12–49. [Google Scholar] [CrossRef]
- Ruiz Sarrazola, D.A.; Pino Muñoz, D.; Bernacki, M. A new numerical framework for the full field modeling of dynamic recrystallization in a CPFEM context. Comput. Mater. Sci. 2020, 179, 109645. [Google Scholar] [CrossRef]
- Read, W.T.; Shockley, W. Dislocation Models of crystal grain boundaries. Phys. Rev. 1950, 78, 275–289. [Google Scholar] [CrossRef]
- Roberts, W.; Ahlblom, B. A nucleation criterion for dynamic recrystallization during hot working. Acta Metall. 1978, 26, 801–813. [Google Scholar] [CrossRef]
- Laasraoui, A.; Jonas, J.J. Prediction of steel flow stresses at high temperatures and strain rates. Metall. Trans. A 1991, 22, 1545–1558. [Google Scholar] [CrossRef]
- Mughrabi, H. The α-factor in the Taylor flow-stress law in monotonic, cyclic and quasi-stationary deformations: Dependence on slip mode, dislocation arrangement and density. Curr. Opin. Solid State Mater. Sci. 2016, 20, 411–420. [Google Scholar] [CrossRef]
- Li, Y.; Chen, S.; Zhu, F.; Huang, C.; Zhang, Z.; Xuan, W.; Wang, J.; Ren, Z. Effect of high magnetic field in combination with high-temperature tempering on microstructures and mechanical properties of GCr15 bearing steel. Metals 2022, 12, 1293. [Google Scholar] [CrossRef]
- Wang, D.; Tan, D.; Liu, L. Particle swarm optimization algorithm: An overview. Soft Comput. 2018, 22, 387–408. [Google Scholar] [CrossRef]
- Yang, Q.; Zhou, Y.; Li, Z.; Mao, D. Effect of hot deformation process parameters on microstructure and corrosion behavior of 35CrMoV steel. Materials 2019, 12, 1455. [Google Scholar] [CrossRef]




















| C | S | P | Mn | Si | Cr | Mo | Cu | Ni | Fe |
|---|---|---|---|---|---|---|---|---|---|
| 0.96 | 0.006 | 0.013 | 0.36 | 0.19 | 1.46 | 0.02 | 0.06 | 0.08 | Balance |
| σ0 (MPa) | k1 | k2 | |
|---|---|---|---|
| Before optimization | 34.352 | 1.195 × 109 | 9.806 |
| After optimization | 35.063 | 8.334 × 108 | 10.719 |
| Symbol | Physical Meaning | Value |
|---|---|---|
| M0 | Grain boundary mobility pre-factor/(mm4·J−1·s−1) | 2.93 × 1010 |
| Qm | Crystal boundary migration activation energy/(J·mol−1) | 2.18 × 105 |
| μ | Shear modulus/(GPa) | 80 |
| αT | Constants for microstructure-induced pattern changes | 0.2 |
| Tm | Melting temperature/(°C) | 1400 |
| b | Burr vector (geometry)/(mm) | 2.86 × 10−7 |
| Kg | Nucleation probability coefficient | 3 |
| γb | Grain boundary energy/(J·mm−2) | 5.6 × 10−7 |
| ω | Safety factor | 1.5 |
| Rg | Gas constant/(J·mol−1·K−1) | 8.314 |
Disclaimer/Publisher’s Note: The statements, opinions and data contained in all publications are solely those of the individual author(s) and contributor(s) and not of MDPI and/or the editor(s). MDPI and/or the editor(s) disclaim responsibility for any injury to people or property resulting from any ideas, methods, instructions or products referred to in the content. |
© 2025 by the authors. Licensee MDPI, Basel, Switzerland. This article is an open access article distributed under the terms and conditions of the Creative Commons Attribution (CC BY) license (https://creativecommons.org/licenses/by/4.0/).
Share and Cite
Chen, X.; Liu, M.; Yang, Y.; Si, Y.; Zhou, Z.; Zhou, X.; Jung, D. Modeling and Simulation of Dynamic Recrystallization Microstructure Evolution for GCr15 Steel Using the Level Set Method. Materials 2025, 18, 342. https://doi.org/10.3390/ma18020342
Chen X, Liu M, Yang Y, Si Y, Zhou Z, Zhou X, Jung D. Modeling and Simulation of Dynamic Recrystallization Microstructure Evolution for GCr15 Steel Using the Level Set Method. Materials. 2025; 18(2):342. https://doi.org/10.3390/ma18020342
Chicago/Turabian StyleChen, Xuewen, Mingyang Liu, Yisi Yang, Yahui Si, Zheng Zhou, Xudong Zhou, and Dongwon Jung. 2025. "Modeling and Simulation of Dynamic Recrystallization Microstructure Evolution for GCr15 Steel Using the Level Set Method" Materials 18, no. 2: 342. https://doi.org/10.3390/ma18020342
APA StyleChen, X., Liu, M., Yang, Y., Si, Y., Zhou, Z., Zhou, X., & Jung, D. (2025). Modeling and Simulation of Dynamic Recrystallization Microstructure Evolution for GCr15 Steel Using the Level Set Method. Materials, 18(2), 342. https://doi.org/10.3390/ma18020342

