The Influence of Fiber Dispersion on the Properties of MgO Concrete and Engineering Applications
Abstract
1. Introduction
2. Materials and Methods
2.1. Materials
2.2. Methods
2.2.1. Compressive Strength Test and Splitting Tensile Strength Test
2.2.2. Fiber Distribution Test Process
- (1)
- Cutting of test piece. First, as shown in Figure 2, drill and core the steel fiber concrete to obtain a cylinder with a diameter of 70 mm and a height of 150 mm. Next, divide the cylinder into five equal parts along the height direction, numbered 1–5 (1 for the top surface and 5 for the bottom surface). The height of each small test block is 30 mm, and the cutting diagram is shown in Figure 3;
- (2)
- Crushing of test pieces. Place the cut small test block flat on the workbench and slowly tap it with a hammer to break it;
- (3)
- Weighing of steel fibers. Use a strong magnet to suck out all steel fibers from the crushed small test block and weigh them, recording the weight as mi (where i is the test piece number).
2.2.3. Calculation Method
2.2.4. Microstructure Testing
3. Results and Discussion
3.1. Mechanical Properties of Concrete
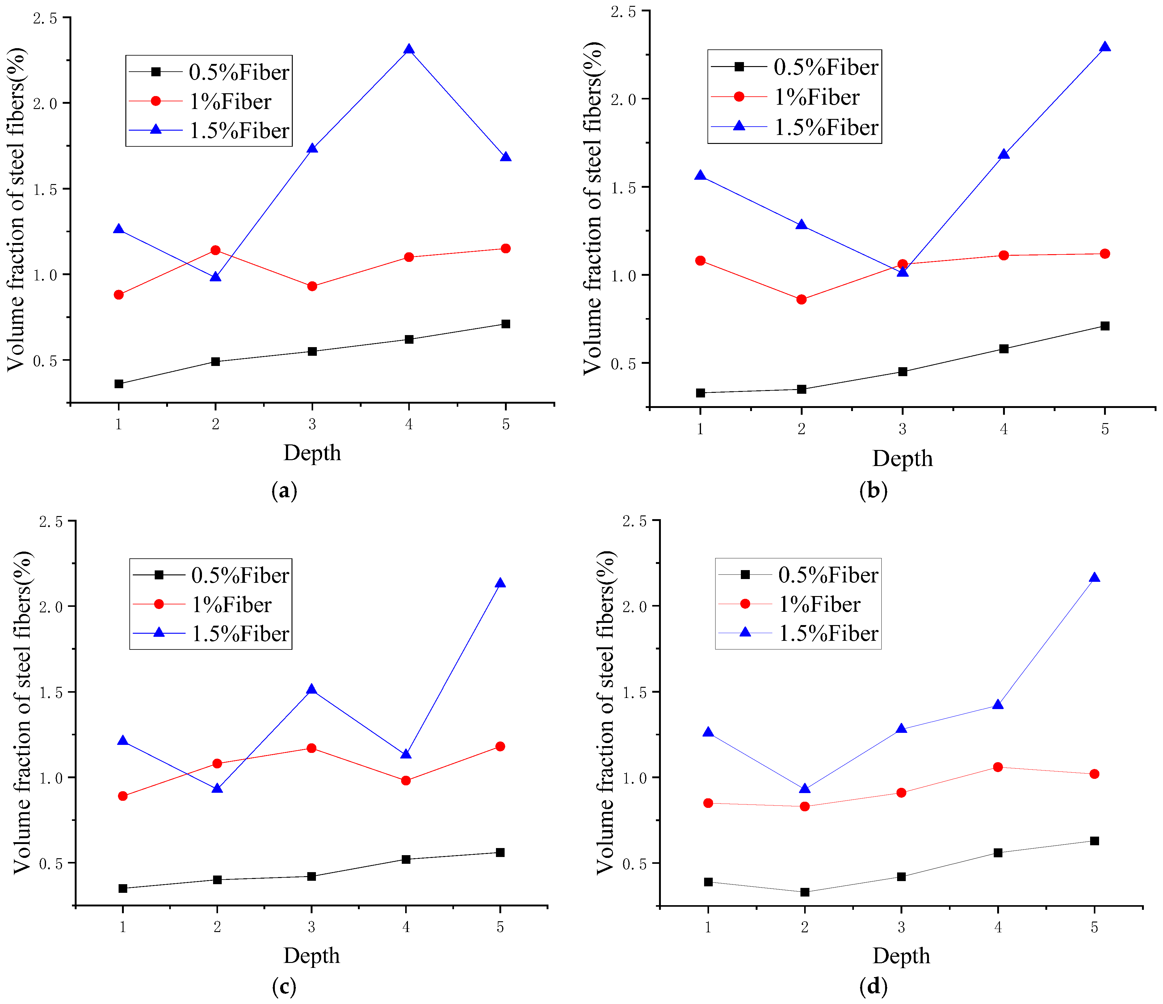
3.2. Analysis of Steel Fiber Distribution at Different Depths
Distribution Coefficient of Steel Fibers
3.3. Microstructure of Concrete
3.4. Engineering Application
3.4.1. Project Overview
3.4.2. Analysis of the Performance of the Concrete in the Basement Platform
- (1)
- Huge size: In super high-rise buildings, the concrete platform has a large surface area and substantial thickness. The large surface area leads to rapid drying shrinkage of concrete, resulting in significant drying shrinkage. And the substantial thickness results in the slow dissipation and accumulation of heat generated by the hydration reaction, leading to a significant temperature drop and shrinkage at later stages. When the shrinkage is restrained, tensile stress develops, which can cause cracking in the concrete;
- (2)
- Complex load: The platform needs to withstand the combined effects of static loads from the upper structure and dynamic loads from vehicles. Therefore, it requires concrete to have high strength;
- (3)
- High waterproof requirements: The basement floor concrete, as the bottom structure of the building, needs to have good waterproof performance to prevent damage to the building caused by groundwater leakage;
- (4)
- Durability requirements: Due to the long service life of super high-rise buildings, the concrete of the platform needs to have good durability and crack resistance to cope with long-term loads and environmental factors.
3.4.3. On-Site Testing
3.4.4. Economic Analysis
- (1)
- Initial material cost
- (2)
- Post-Maintenance cost analysis
- (a)
- Crack resistance
- (b)
- Durability
- (3)
- Economic comparison
- (4)
- Overall recommendations
4. Conclusions
- (1)
- When steel fiber is used alone, the bond strength between steel fiber and incomplete hydration matrix is low at the early stage, and the fiber–matrix interface transition zone becomes the weak point of concrete, so the fiber can not improve the compressive strength. In the later stage, with the continuous hydration of cement, the matrix–fiber bond strength gradually increased, the fiber gradually played a “bridging effect”, and the compressive strength increased by 7.0%. Without restraint (fiber), harmful expansion will occur when the MgO content reaches 10%, and the strength of M-10-0 is 1.4mpa lower than that of M-8-0, indicating that the MgO content cannot be blindly increased. It is necessary to avoid harmful expansion after excessive MgO under free conditions. In engineering practice, the use of steel fiber and MgO alone has some negative effects;
- (2)
- After using MgO and steel fiber at the same time, the strength of concrete increases by 20.6%, which is greater than the sum of increments when using MgO and steel fiber alone (7.0% + 5.8%), indicating that MgO and steel fiber have a super superposition effect. When the expansion is limited by the steel fiber, it will introduce compressive stress (self-stress) between the fiber and the matrix. This kind of self-stress effectively offsets the shrinkage tensile stress at the initial stage of concrete hardening and reduces the generation of micro-cracks caused by shrinkage. The preloading stress applied by MgO to the matrix can produce a higher bonding force in the interface transition zone, which makes the interface between steel fiber and cement matrix more stable and reduces the occurrence of interface micro-cracks so as to give better play to the reinforcement effect of steel fiber. Of course, this strengthening effect is closely related to the distribution of fibers, and only the uniform distribution of fibers can better restrain the expansion of MgO;
- (3)
- The distribution of fiber has a great influence on the properties of MgO concrete. When the fiber content is small, and the distribution is uneven, it can not play the role of “bridge” and “limiting expansion”. When the fiber content is large, it will produce agglomeration, which has a serious impact on the performance of MgO concrete. Firstly, fiber agglomeration reduces the uniformity of concrete and the bond strength between fiber and matrix. The weak interface between fiber and matrix will become a channel for harmful ions to penetrate, thus reducing the durability of concrete. Secondly, agglomeration reduces the constraint of fiber on MgO expansion and self-stress, which is unfavorable to crack resistance. Finally, due to the increase in fiber content, it also increases the construction cost, resulting in a waste of resources;
- (4)
- When the content of steel fiber is 0.5%, the stability of fiber volume fraction is poor, which is less affected by the content of MgO but more affected by the depth (gravity). When the content of steel fiber is 1.5%, the stability of the fiber volume fraction is very poor. Due to the random fiber agglomeration, the content of steel fiber fluctuates violently. Therefore, in terms of fiber distribution, 1% steel fiber is the most evenly distributed in space, which can better play the role of steel fiber in strengthening and toughening and has a stronger restraining effect on MgO expansion. At this time, the strength of concrete is also higher. When the steel fiber continues to increase to 1.5%, the cost increases, but the strength is no longer significantly improved. It is most reasonable to add 1% steel fiber during construction;
- (5)
- Different from the conventional fiber-reinforced concrete, the uniformity of fiber is more important for the composite system using MgO and steel fiber at the same time. In the composite system, steel fiber not only plays the role of “bridge” but also needs to effectively restrain the expansion of MgO to produce self-stress. Only under the premise of uniform distribution and reliable fiber–matrix bonding can the fiber restrain the expansion. Considering the high price of steel fiber and MgO, adding 8% MgO and 1% steel fiber has the maximum benefit. If the dosage continues to increase, the cost of purchasing raw materials will be significantly increased, but the strength cannot be significantly improved.
Author Contributions
Funding
Institutional Review Board Statement
Informed Consent Statement
Data Availability Statement
Acknowledgments
Conflicts of Interest
References
- Bogas, J.A.; Ahmed, H.H.; Diniz, T. Influence of Cracking on the Durability of Reinforced Concrete with Carbon Nanotubes. Appl. Sci. 2021, 11, 1672. [Google Scholar] [CrossRef]
- Srinivasan, S.S.; Ferron, R.D. Effect of Crack Width, Density, and Depth on Strength and Durability of Concrete-Equivalent Mortar. Aci Mater. J. 2021, 118, 65–77. [Google Scholar]
- Li, K.F.; Li, L. Crack-altered durability properties and performance of structural concretes. Cem. Concr. Res. 2019, 124, 105811. [Google Scholar] [CrossRef]
- Deysel, R.C.; Boshoff, W.P.; Smit, M.S. Implementing capillary pressure control measures to prevent plastic shrinkage cracking in concrete. Constr. Build. Mater. 2023, 397, 132407. [Google Scholar] [CrossRef]
- Heweidak, M.; Kafle, B.; Al-Ameri, R. Influence of Discrete Basalt Fibres on Shrinkage Cracking of Self-Compacting Ambient-Cured Geopolymer Concrete. J. Compos. Sci. 2023, 7, 202. [Google Scholar] [CrossRef]
- Miao, Y.C.; Lu, Z.Y.; Wang, F.J.; Wang, H.; Li, Y.L.; Lin, J.L.; Jiang, J. Shrinkage cracking evolvement in concrete cured under low relative humidity and its relationship with mechanical development. J. Build. Eng. 2023, 72, 106670. [Google Scholar] [CrossRef]
- Zhang, M.M.; Gao, S.; Liu, T.; Guo, S.Y.; Zhang, S.T. High-Performance Materials Improve the Early Shrinkage, Early Cracking, Strength, Impermeability, and Microstructure of Manufactured Sand Concrete. Materials 2024, 17, 2465. [Google Scholar] [CrossRef]
- Du, J.; Tan, X.; Wang, Y.H.; Bao, Y.; Meng, W.N. Reducing the cracking potential of ultra-high-performance concrete (UHPC) with the prewet expansive agent. Constr. Build. Mater. 2024, 431, 136597. [Google Scholar] [CrossRef]
- Meyer, D.M.; Combrinck, R. Utilising microCT scanning technology as a method for testing and analysing plastic shrinkage cracks in concrete. Constr. Build. Mater. 2022, 317, 125895. [Google Scholar] [CrossRef]
- Liu, J.P.; Tian, Q.; Wang, Y.J.; Li, H.; Xu, W. Evaluation Method and Mitigation Strategies for Shrinkage Cracking of Modern Concrete. Engineering 2021, 7, 348–357. [Google Scholar] [CrossRef]
- Mo, L.W.; Deng, M.; Tang, M.S.; Al-Tabbaa, A. MgO expansive cement and concrete in China: Past, present and future. Cem. Concr. Res. 2014, 57, 1–12. [Google Scholar] [CrossRef]
- Guo, J.N.; Zhang, S.W.; Qi, C.G.; Cheng, L.; Yang, L. Effect of calcium sulfoaluminate and MgO expansive agent on the mechanical strength and crack resistance of concrete. Constr. Build. Mater. 2021, 299, 123833. [Google Scholar] [CrossRef]
- Zhang, J. Recent advance of MgO expansive agent in cement and concrete. J. Build. Eng. 2022, 45, 103633. [Google Scholar] [CrossRef]
- Kabir, H.; Hooton, R.D. Evaluating soundness of concrete containing shrinkage-compensating MgO admixtures. Constr. Build. Mater. 2020, 253, 119141. [Google Scholar] [CrossRef]
- Choi, S.W.; Jang, B.S.; Kim, J.H.; Lee, K.M. Durability characteristics of fly ash concrete containing lightly-burnt MgO. Constr. Build. Mater. 2014, 58, 77–84. [Google Scholar] [CrossRef]
- Li, F.X.; Chen, Y.Z.; Long, S.Z.; Wang, B.; Li, G.G. Research on the preparation and properties of MgO expansive agent. Adv. Cem. Res. 2010, 22, 37–44. [Google Scholar] [CrossRef]
- Jiang, F.F.; Deng, M.; Mo, L.W.; Wu, W.Q. Effects of MgO Expansive Agent and Steel Fiber on Crack Resistance of a Bridge Deck. Materials 2020, 13, 3074. [Google Scholar] [CrossRef]
- Wang, L.; Song, X.; Yang, H.; Wang, L.; Tang, S.; Wu, B.; Mao, W. Pore Structural and Fractal Analysis of the Effects of MgO Reactivity and Dosage on Permeability and F–T Resistance of Concrete. Fractal Fract. 2022, 6, 113. [Google Scholar] [CrossRef]
- Ye, Q.; Yu, K.; Zhang, Z. Expansion of ordinary Portland cement paste varied with nano-MgO. Constr. Build. Mater. 2015, 78, 189–193. [Google Scholar] [CrossRef]
- Zhou, X.J.; Hou, D.S.; Chen, T.; Wang, X.P. The development of concrete filled steel tube with enhanced performance via the use of expansive ultra high performance concrete. J. Build. Eng. 2023, 79, 107793. [Google Scholar] [CrossRef]
- Yu, L.; Deng, M.; Mo, L.; Liu, J.; Jiang, F. Effects of Lightly Burnt MgO Expansive Agent on the Deformation and Microstructure of Reinforced Concrete Wall. Adv. Mater. Sci. Eng. 2019, 2019, 1948123. [Google Scholar] [CrossRef]
- Jiang, F.F.; Liu, R.G.; Mao, Z.Y.; Deng, M. The combined effect of steel fiber and MgO on the deformation and mechanical properties of high- strength concrete. J. Mater. Res. Technol. 2023, 26, 4296–4309. [Google Scholar] [CrossRef]
- Zhang, S.L.; Liao, L.; Song, S.Z.; Zhang, C.S. Experimental and analytical study of the fibre distribution in SFRC: A comparison between image processing and the inductive test. Compos. Struct. 2018, 188, 78–88. [Google Scholar] [CrossRef]
- Omidinasab, F.; Moghadam, A.S. Effect of Purposive Distribution of Fibers to Prevent the Penetration of Bullet in Concrete Walls. KSCE J. Civ. Eng. 2021, 25, 843–853. [Google Scholar] [CrossRef]
- GB/T 50081-2016; Standard for Test Method of Mechanical Properties of Ordinary Concrete. China Standards Press: Beijing, China, 2016.
- Min, B.Z.; Chen, G.L.; Sun, Y.Y.; Li, K.; Chen, X.; Wang, Z.Q. Enhancing the fracture properties of carbon fiber-calcium silicate hydrate interface through graphene oxide. Mater. Des. 2024, 241, 112916. [Google Scholar] [CrossRef]















| No. | CaO | MgO | Al2O3 | SiO2 | Fe2O3 | SO3 | K2O | Na2O | Loss | Total |
|---|---|---|---|---|---|---|---|---|---|---|
| Cement | 60.9 | 2.3 | 6.4 | 22.4 | 3.0 | 1.6 | 0.58 | 0.16 | 2.1 | 99.4 |
| Fly ash | 5.9 | 1.4 | 33.9 | 47.9 | 6.1 | 1.4 | 0.42 | 0.17 | 1.9 | 99.1 |
| No. | Cement | Fly Ash | Water | Water Reducer | Crushed Stone | Sand | MgO | Steel Fiber |
|---|---|---|---|---|---|---|---|---|
| MF-0-0 | 450 | 50 | 160 | 7 | 1025 | 713 | 0 | 0 |
| MF-6-0 | 450 | 50 | 160 | 7 | 1025 | 713 | 30 (6%) | 0 |
| MF-8-0 | 450 | 50 | 160 | 7.5 | 1025 | 713 | 40 (8%) | 0 |
| MF 10-0 | 450 | 50 | 160 | 8.5 | 1025 | 713 | 50 (10%) | 0 |
| MF-0-0.5 | 450 | 50 | 160 | 6 | 1025 | 713 | 0 | 0.5 |
| MF-0-1 | 450 | 50 | 160 | 6 | 1025 | 713 | 0 | 1 |
| MF-0-1.5 | 450 | 50 | 160 | 6.5 | 1025 | 713 | 0 | 1.5 |
| MF-6-0.5 | 450 | 50 | 160 | 7 | 1025 | 713 | 30 (6%) | 0.5 |
| MF-6-1 | 450 | 50 | 160 | 7.5 | 1025 | 713 | 30 (6%) | 1 |
| MF-6-1.5 | 450 | 50 | 160 | 8.5 | 1025 | 713 | 30 (6%) | 1.5 |
| MF-8-0.5 | 450 | 50 | 160 | 7 | 1025 | 713 | 40 (8%) | 0.5 |
| MF-8-1 | 450 | 50 | 160 | 7.5 | 1025 | 713 | 40 (8%) | 1 |
| MF-8-1.5 | 450 | 50 | 160 | 8.5 | 1025 | 713 | 40 (8%) | 1.5 |
| MF-10-0.5 | 450 | 50 | 160 | 7 | 1025 | 713 | 50 (10%) | 0.5 |
| MF-10-1 | 450 | 50 | 160 | 7.5 | 1025 | 713 | 50 (10%) | 1 |
| MF-10-1.5 | 450 | 50 | 160 | 8.5 | 1025 | 713 | 50 (10%) | 1.5 |
| ID | 0% Fiber | 0.5% Fiber | 1% Fiber | 1.5% Fiber |
|---|---|---|---|---|
| 0% MgO | 0.0% | −5.7% | −2.1% | −3.8% |
| 6% MgO | −0.2% | −4.2% | −2.5% | 3.4% |
| 8% MgO | 1.7% | 1.9% | 4.2% | 6.1% |
| 10% MgO | −1.1% | 4.0% | 7.4% | 9.3% |
| ID | 0% Fiber | 0.5% Fiber | 1% Fiber | 1.5% Fiber |
|---|---|---|---|---|
| 0% MgO | 0.0% | 1.4% | 6.1% | 7.0% |
| 6% MgO | 2.4% | 6.5% | 12.8% | 14.0% |
| 8% MgO | 5.8% | 15.5% | 19.8% | 19.1% |
| 10% MgO | 3.4% | 13.8% | 20.6% | 17.0% |
| Depth | 0.5% Fiber | 1% Fiber | 1.5% Fiber |
|---|---|---|---|
| 1 | 0.36 | 0.88 | 1.26 |
| 2 | 0.49 | 1.14 | 0.98 |
| 3 | 0.55 | 0.93 | 1.73 |
| 4 | 0.62 | 1.1 | 2.31 |
| 5 | 0.71 | 1.15 | 1.68 |
| Average value | 0.55 | 1.04 | 1.59 |
| Variation coefficient | 0.217 | 0.108 | 0.285 |
| Distribution coefficient | 0.805 | 0.897 | 0.752 |
| Depth | 0.5% Fiber | 1% Fiber | 1.5% Fiber |
|---|---|---|---|
| 1 | 0.33 | 1.08 | 1.56 |
| 2 | 0.35 | 0.86 | 1.28 |
| 3 | 0.45 | 1.06 | 1.01 |
| 4 | 0.58 | 1.11 | 1.68 |
| 5 | 0.71 | 1.12 | 2.29 |
| Average value | 0.48 | 1.05 | 1.56 |
| Variation coefficient | 0.297 | 0.091 | 0.275 |
| Distribution coefficient | 0.743 | 0.913 | 0.759 |
| Depth | 0.5% Fiber | 1% Fiber | 1.5% Fiber |
|---|---|---|---|
| 1 | 0.35 | 0.89 | 1.21 |
| 2 | 0.40 | 1.08 | 0.93 |
| 3 | 0.42 | 1.17 | 1.51 |
| 4 | 0.52 | 0.98 | 1.13 |
| 5 | 0.56 | 1.18 | 2.13 |
| Average value | 0.45 | 1.06 | 1.38 |
| Variation coefficient | 0.173 | 0.105 | 0.302 |
| Distribution coefficient | 0.841 | 0.900 | 0.739 |
| Depth | 0.5% Fiber | 1% Fiber | 1.5% Fiber |
|---|---|---|---|
| 1 | 0.39 | 0.85 | 1.26 |
| 2 | 0.33 | 0.83 | 0.93 |
| 3 | 0.42 | 0.91 | 1.28 |
| 4 | 0.56 | 1.06 | 1.42 |
| 5 | 0.63 | 1.02 | 2.16 |
| Average value | 0.47 | 0.93 | 1.41 |
| Variation coefficient | 0.239 | 0.098 | 0.289 |
| Distribution coefficient | 0.787 | 0.907 | 0.749 |
Disclaimer/Publisher’s Note: The statements, opinions and data contained in all publications are solely those of the individual author(s) and contributor(s) and not of MDPI and/or the editor(s). MDPI and/or the editor(s) disclaim responsibility for any injury to people or property resulting from any ideas, methods, instructions or products referred to in the content. |
© 2025 by the authors. Licensee MDPI, Basel, Switzerland. This article is an open access article distributed under the terms and conditions of the Creative Commons Attribution (CC BY) license (https://creativecommons.org/licenses/by/4.0/).
Share and Cite
Jiang, F.; Deng, W.; Wang, Q.; Gu, Z.; Wang, J. The Influence of Fiber Dispersion on the Properties of MgO Concrete and Engineering Applications. Materials 2025, 18, 261. https://doi.org/10.3390/ma18020261
Jiang F, Deng W, Wang Q, Gu Z, Wang J. The Influence of Fiber Dispersion on the Properties of MgO Concrete and Engineering Applications. Materials. 2025; 18(2):261. https://doi.org/10.3390/ma18020261
Chicago/Turabian StyleJiang, Feifei, Wencong Deng, Qi Wang, Zihan Gu, and Jialei Wang. 2025. "The Influence of Fiber Dispersion on the Properties of MgO Concrete and Engineering Applications" Materials 18, no. 2: 261. https://doi.org/10.3390/ma18020261
APA StyleJiang, F., Deng, W., Wang, Q., Gu, Z., & Wang, J. (2025). The Influence of Fiber Dispersion on the Properties of MgO Concrete and Engineering Applications. Materials, 18(2), 261. https://doi.org/10.3390/ma18020261

