Abstract
The aim of the work was to investigate the influence of the machining parameters on the surface roughness and tool wear during slot milling of a polyurethane block (PUB). In the experiment, the influence of the cutting speed, the feed per tooth and the depth of cut on the roughness Ra and Rz of the milling slot surface and wear of the end mill was analyzed. A three-axis CNC milling machine Emco Concept Mill 55 was used to perform the study. After the machining, the values of parameters Ra and Rz were measured using the Hommel Tester T500 induction profilometer. Three polyurethane materials of different densities were considered: the Labelite 45, the Prolab 65 and the LAB 1000. The wear of the end mill was also examined for each of the tested materials by a workshop microscope. In conclusion, it was indicated how and to what extent the variation in the machining parameters affects the surface geometrical structure of a polyurethane plate. Moreover, the research results for the tested materials were compared with each other.
1. Introduction
Polyurethane (PU) materials are a group of plastics (polymers). They differ in chemical and physical properties depending on their composition and molecular weight. As a result, polyurethanes can have the form of cast resins, adhesives, varnishes, rubbers and foams and can be used in various applications, e.g., in biomedicine [1,2,3]. This paper concerns polyurethane foams.
Polyurethane foams of adequate density are characterized by low porosity, good machinability and good dimensional stability, thanks to which they are widely used in prototyping as a less expensive alternative to metallic materials. Polyurethane foams are used, for example, in model-making and architecture to make mock-ups or reference models [4,5]. Another well-known use is the manufacture of testing instruments for automotive parts [6,7].
The above-mentioned applications of polyurethane foams require them to be machined using CNC machine tools [8] or industrial robots [7] supported by CAM software [8]. The most common form of the semi-finished part is a polyurethane block (PUB), and the final shape of the workpiece is obtained by milling with various types of cutting tools: face mills, end mills or ball end mills, depending on the shape of the surface to be machined [9,10,11,12]. At the same time, one of the important aspects of the PUB machining process is the quality of the machined surfaces, on the one hand, and the durability of the cutting tools used, on the other hand.
Surface roughness is one of the most important ingredients for assessing the quality of a part. Measurement of Ra or Rz parameter is a method commonly used to describe surface roughness. This method can be applied to every solid material: metals, non-metals, plastics, composites, etc. The paper of Mitalova et al. [13] presented a surface topography evaluation of wood plastic composite (WPC) materials after turning. Zhang et al. [14] in their paper investigated the surface roughness prediction and roughness reliability evaluation of CNC milling based on surface topography simulation. To verify the accuracy of the surface topography and surface roughness model, experimental milling tests of an aluminum alloy 7050 were conducted. The paper of Duplak et al. [15] investigated surface roughness and microhardness of C45 steel material using high-speed machining (HSM).
It should be noted that, during the milling of metallic materials, the machining conditions, including, among other things, the cutting parameters and the properties of the workpiece material, play a decisive role in PUB machining. Their relevance is indicated by the few available studies.
The paper of Catherine et al. [6] investigated the effect of machining conditions on the surface roughness of a polyurethane block after milling using two- and four-flute high-speed steel (HSS) end mills. The tests were carried out without the use of a coolant because it had been shown that the coolant had been absorbed by the porous material, which, over time, had caused geometric distortions in the surface and a deterioration in surface roughness. It was observed that lower surface roughness could be obtained by dry milling (without coolants). Under these conditions, machining was carried out by varying the values of cutting parameters such as depth of cut (back engagement), feed rate, width of cut (working engagement), spindle rotational speed and vertical cutting speed. Experience has shown that roughness was most influenced by changes in the width of cut. The smallest roughness was achieved for the lower width of cut, and the higher value of the parameter resulted in the highest roughness value out of all the studied machining parameters. Subsequently, the following parameters had a decreasing effect on the roughness of the resulting surface: cutting speed, feed rate, depth of cut and spindle rotational speed.
The paper of Hafner et al. [16] investigated the effect of milling process parameters for polyurethane foam of different densities on its surface roughness. Dry machining was carried out using a two-flute end mill, milling the surfaces of the samples using various values of feed per tooth, spindle rotational speed and depth of cut. The study showed that, of all the parameters determining the machining conditions, the density of the workpiece material had the greatest influence on surface roughness. It was observed that the higher the density of the polyurethane foam, the lower the surface roughness (Ra) after milling. It was also shown that another important parameter was the spindle rotational speed, an increase of which resulted in a decrease in surface roughness. Equally important was feed per tooth, which was changed during the later stages of the experiment when milling two foams of different densities at constant and maximum spindle rotational speed. Based on experimental results, it was found that increasing the feed per tooth increased the roughness of the machined surface, i.e., reduced its quality.
Utomo et al., in their paper [8], identified the cutting parameters as having a significant influence on the surface roughness (Rz) and the flank wear (VB) obtained after milling. These parameters included spindle rotational speed and the resulting cutting speed, depth of cut and feed rate. At the same time, the authors of the paper [8] stated that due to the different properties of polyurethane foams, milling required a careful selection of the cutting parameters in each case in order to achieve the required quality of the machined surface. In this aspect, it is also important to use tools with sharp cutting edges and the smallest possible rounding radius.
In addition, the authors of the paper [8] pointed out that the correct choice of machining conditions during PUB milling was indicated by the formation of a continuous chip, resulting in a better quality of the machined surface. In contrast, obtaining intermittent chips is associated with surface damage in the form of porous holes that result from crack propagation rather than actual cutting. It is worth noting that the formation of different types of chips and the final quality of the machined surface are influenced by the depth of cut and the cell size of the machined polyurethane foam. Machining with appropriate parameters can reduce surface roughness and ensure continuous chip formation at a depth of one to two widths of the PU cell.
A significant effect of the chips produced during PU milling on tool life was pointed out by Muflikhun et al. in their paper [17]. Machining was carried out using end mills made of HSS with a constant spindle rotational speed of 3000 rpm and a variable feed rate: 150, 300, 450, 600 mm/min and depth of cut: 0.5, 1, 1.5, 2 mm. The authors showed that, for each feed rate, increasing the depth of cut resulted in more chips adhering to the cutting edges. This shortens tool life and reduces the quality of the machined surface.
In summary of the above, it should be concluded that the surface roughness of the polyurethane foam obtained by milling is most influenced by its density and the machining conditions. The parameters of the latter, especially the cutting parameters, are selected individually, depending on the properties of the machined material. Most of the researchers cited above used one roughness parameter—Ra or Rz—to assess surface quality. However, using more than one parameter, each determined differently based on the roughness profile, enables a better assessment of the quality of the machined surface. This is confirmed by other research, e.g., [18,19]. In addition, milling cutting tools made of HSS with two to four cutting blades are most commonly used for PUB milling, which, due to the large chip grooves, enables efficient run-off of a large volume of chips and slower clogging of the spaces between the cutting blades. It should be noted that only a few studies have addressed the subject of tool wear as a function of the machining conditions. They limit themselves to a general statement about the presence of wear, without providing specific wear indicators. It seems that, because of the possibility of different forms of wear [20,21], it is appropriate to measure the wear marks on the flank face and tooth face of the blades, as presented in other studies, e.g., [22,23,24].
Taking this into account, the aim of the research described in this paper was to investigate the effects of polyurethane foam density and cutting parameters on the roughness of the obtained surface and the wear of cutting tool edges. During the tests, three PU blocks differing in density were dry-milled using the same sets of variable cutting parameters each time, comprising four cutting speeds vc, six values of feed per tooth fz and five depths of cut ap. Two-flute end mills made of HSS, with a standard geometry, were used as the cutting tool. Each PUB was machined with a new cutting tool. Two roughness parameters, Ra and Rz, were used to assess surface roughness. The tool wear was determined by measuring the flank wear (VB) and outside edge wear (OE), respectively. Taking into account surface quality, the final ranges of cutting parameters were determined. The final section of the paper summarizes the results of the tests and presents the final conclusions.
2. Materials and Methods
2.1. Materials
Three polyurethane materials were used for the tests: Labelite 45 PK, Prolab 65 and LAB 1000. They are characterized by good machinability and dimensional stability. Their physical and mechanical properties are shown in Table 1 based on [25,26,27]. Figure 1 shows the cuboidal material samples prepared for testing, measuring 135 × 40 × 50 mm.
Table 1.
Physical and mechanical properties of polyurethane materials [25,26,27].
Figure 1.
The view of samples: (a) Labelite 45 PK, (b) Prolab 65 and (c) LAB 1000.
2.2. Machine Tool
The machine tool used for the tests was a three-axis CNC milling machine from EMCO with the designation Concept Mill 55. Table 2 presents the basic machine data (based on [28]), while Figure 2 shows a view of the machine.
Table 2.
Technical data of EMCO Concept Mill 55 [28].
Figure 2.
The view of EMCO Concept Mill 55.
2.3. Cutting Tool
The grooves were milled using double-blade end milling shank cutting tools with a diameter of 16 mm and the designation NFPg (according to DIN 327) made of HSS without wear coating. Based on [29], the technical specifications of the cutting tools are listed in Table 3, and their illustrations are shown in Figure 3. A new cutting tool was used for each tested material so that the wear of its blades could be assessed later in the study.
Table 3.
Technical data of an end mill [29].
Figure 3.
End mill 16 HSS DIN 327 [29].
2.4. Cutting Conditions
The study began with the milling process. For this purpose, samples of the selected material were clamped in a precision machine vice and placed on the machine table as shown in Figure 4. The samples were set in the middle of a vice to minimize deflection on both sides of the sample. Moreover, both chucks of vice were equipped with locks to protect against the displacement of a sample. The grooves were then milled using 120 sets of variable cutting parameters; the values of which are shown in Table 4. The range of cutting parameters was selected based on the limitations of the machine tool. The maximum rotational speed of a spindle is 3500 rpm, and the maximum feed rate is 2000 mm/min. To avoid exceeding the limits, the diameter of the tool was selected to be 16 mm. This is also the maximum possible size of an end mill, which can be used on this machine tool. As evidenced by Figure 4, the size of a single sample was sufficient to make six grooves. The milling process was carried out without coolants.
Figure 4.
The view of a milled sample.
Table 4.
Cutting parameters.
After a whole series of milling operations (120 grooves) on samples of a given material, the surface roughness of the groove bottom and cutting tool wear was measured.
The procedure described above was repeated using samples made of the subsequent material.
2.5. Surface Roughness Measurements
Measurements of groove bottom roughness after milling were carried out using a Hommel Tester T500 (Hommelwerke GmbH, Schwenningen, Germany) portable contact profilometer with a T5E stylus [30]. The measuring conditions were chosen in accordance with EN ISO 4288 and are summarized in Table 5.
Table 5.
Surface roughness measurement conditions [30].
The relative positioning of the sample and profilometer during the measurement is shown in Figure 5a,b. The stylus moved along the groove bottom surface along five measuring sections lt distributed along the A-axis at the locations indicated in Figure 5c. In the considered case, the A-axis is identical to the line of travel of the axis of rotation of the cutting tool during milling, so its direction is consistent with the direction of the feed motion of the cutting tool.
Figure 5.
The view of Hommel Tester T500: (a) upper view, (b) side view and (c) location of tracing length on the groove axis.
The above measurement of the groove bottom enabled the determination of surface roughness parameters that could be used to evaluate roughness. Two roughness parameters were used in accordance with PN-ISO 4287—the amplitude parameter Ra and the vertical parameter Rz. Since, as mentioned earlier, each surface was measured five times, the arithmetic average of the five measurements was taken as the Ra and Rz values representative of the individual surface.
2.6. Wear Measurement
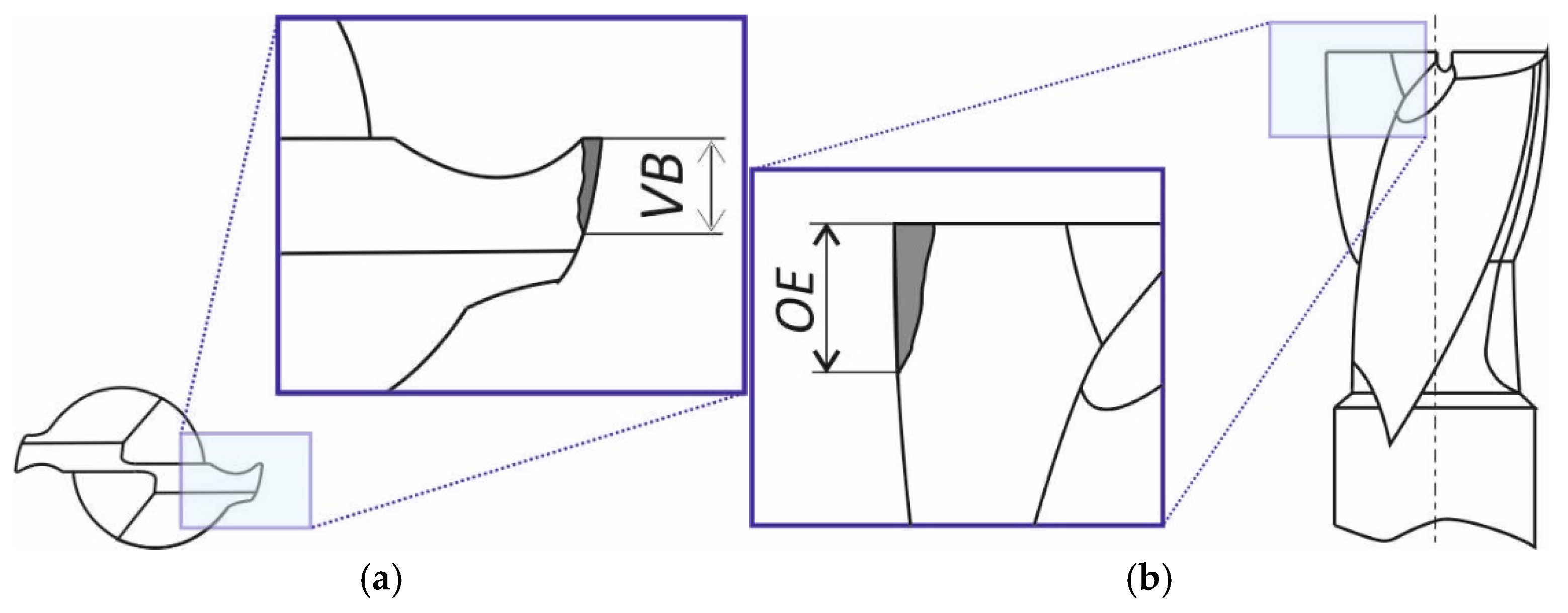
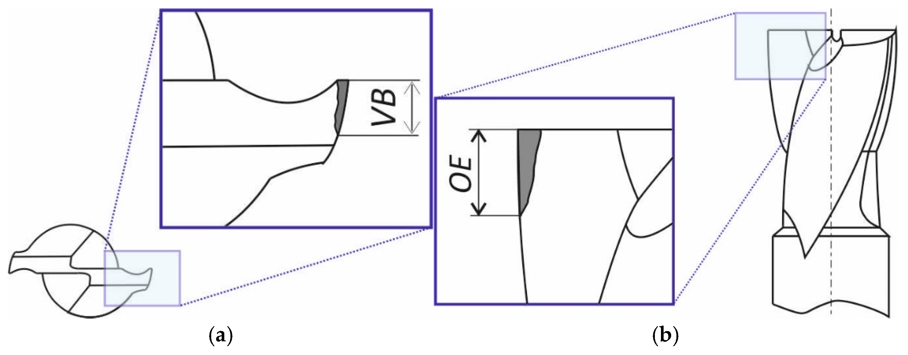
A visual inspection of the cutting tool blades showed signs of wear in the form of abrasion on the flank face and rake face. For this reason, it was decided to take measurements only in these areas and determine two wear indices, VB on the flank face and OE on the rake face, respectively. These indices were adopted from descriptions of studies in the literature [23,31]. Their location on cutting tool surfaces is shown in Figure 6.
Figure 6.
Wear measurements on end mill cutting tool blades: (a) flank wear VB and (b) outside edge wear OE.
3. Results and Discussion
3.1. Surface Roughness
Figure 7 shows the values of the Ra parameter obtained by measuring the surface roughness of samples made of Labelite 45 PK.
Figure 7.
Results of surface roughness Ra for Labelite 45 PK: (a) vc = 25 m/min, (b) vc = 75 m/min, (c) vc = 125 m/min and (d) vc = 175 m/min.
The smallest Ra was 7.34 μm, and it was measured for a surface milled with a cutting speed vc = 125 m/min, the smallest feed per tooth fz = 0.05 mm/tooth and the smallest depth of cut ap = 1 mm. The highest Ra was 18.29 μm, and it was achieved after milling with the smallest cutting speed vc = 25 m/min, the highest feed per tooth fz = 0.3 mm/tooth and the depth of cut ap = 3 mm. The relative increase between the above Ra values was 149.18%. The relative increases in roughness for the individual cutting speed groups in the direction of increasing speed, in turn, were 141.83%, 80.73%, 76.11% and 53.45%, respectively. The change in Ra due to the change in feed per tooth for the different cutting speed groups, starting from the lowest, was 135.90%, 74.44%, 75.95% and 34.95%, respectively. Similarly, for depth of cut, the change reached values of 38.77%, 16.55%, 22.70% and 23.33%. The steepest increase in Ra was observed for a cutting speed of vc = 25 m/min and for a feed per tooth greater than fz = 0.25 mm/tooth.
Figure 8 shows the values of the roughness parameter Rz obtained for the milled surface of samples made of Labelite 45 PK.
Figure 8.
Results of surface roughness Rz for Labelite 45 PK: (a) vc = 25 m/min, (b) vc = 75 m/min, (c) vc = 125 m/min and (d) vc = 175 m/min.
The lowest Rz was 40.12 μm, and it was achieved for the cutting speed vc = 75 m/min, the lowest feed per tooth fz = 0.05 mm/tooth and the depth of cut ap = 4 mm. The highest Rz was 99.17 μm, and it was achieved for the lowest cutting speed vc = 25 m/min, the highest feed per tooth fz = 0.3 mm/tooth and the depth of cut ap = 3 mm. The relative increase for these values was 147.17%. The Rz increment for cutting speeds vc = 25/75/125/175 m/min was 131.44%, 89.80%, 91.87% and 93.80%, respectively. The relative spread of the parameter Rz for the different cutting speed groups due to the change in feed per tooth was, in the direction of increasing cutting speed, 127.55%, 83.84%, 84.17% and 80.54%, respectively. Similarly, the relative spread due to the change in depth of cut was 52.22%, 29.04%, 20.90% and 42.31%. Figure 8a,d show a rapid increase in roughness for feed per tooth greater than fz = 0.25 mm/tooth. For the lowest feed per tooth fz = 0.05 mm/tooth, the lowest values of the parameter Rz were recorded, with the exception of the values for the lowest cutting speed vc = 25 m/min and depth of cut ap = 4 mm and ap = 5 mm.
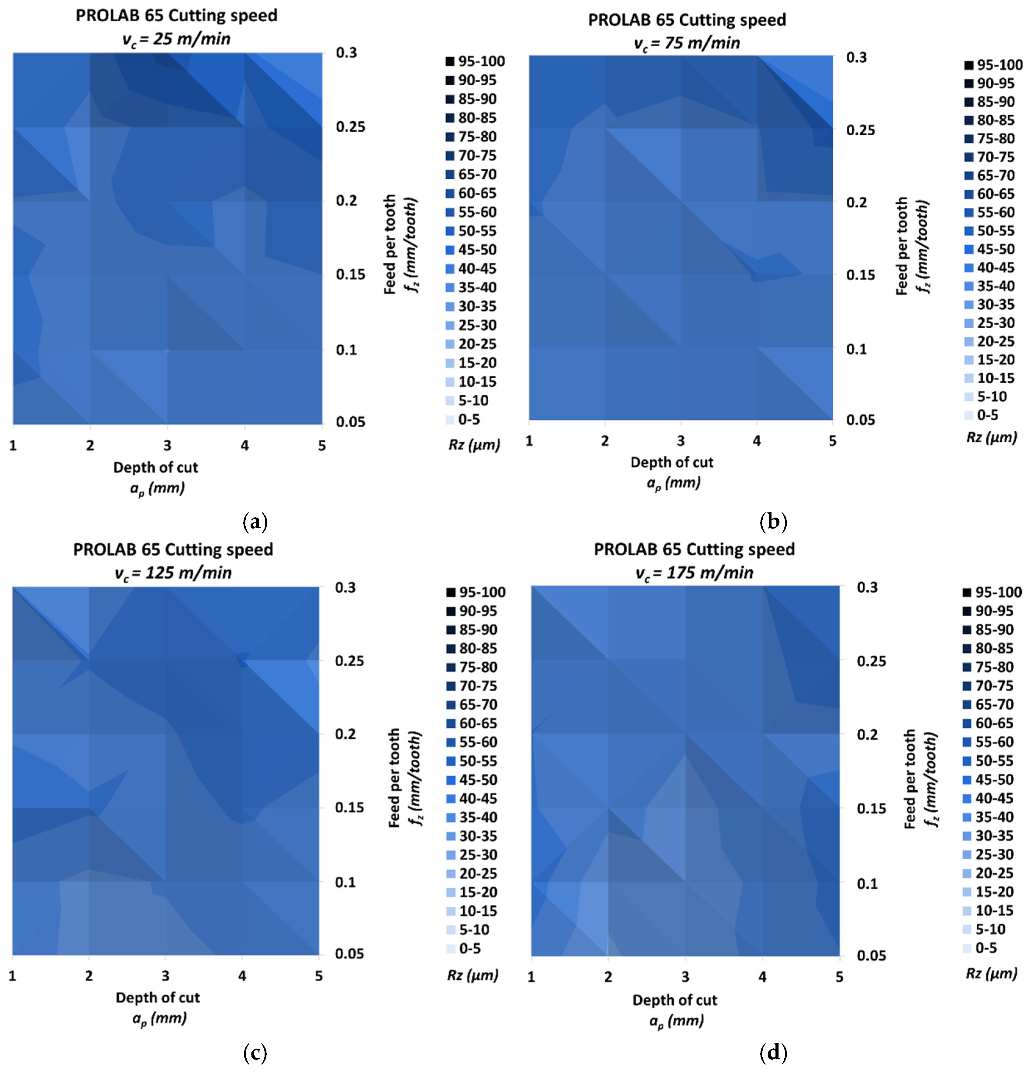
Figure 9 shows the results of measuring the roughness Ra of the milled surface for the Prolab 65 material.
Figure 9.
Results of surface roughness Ra for Prolab 65: (a) vc = 25 m/min, (b) vc = 75 m/min, (c) vc = 125 m/min and (d) vc = 175 m/min.
The smallest Ra was 4.28 μm, and it was measured for the smallest cutting speed vc = 175 m/min, the smallest feed per tooth fz = 0.05 mm/tooth and the depth of cut ap = 2 mm. The highest Ra was 8.98 μm, and it was achieved for the lowest cutting speed vc = 25 m/min, the highest feed per tooth fz = 0.3 mm/tooth and the depth of cut ap = 3 mm. The relative increase between these values was 110.05%. The relative increases in roughness for the individual cutting speed groups in the direction of increasing speed were 75.53%, 47.96%, 45.72% and 54.62%, respectively. The change in Ra due to the change in feed per tooth for the different speed groups, starting from the lowest, was 45.60%, 37.40%, 37.22% and 38.85%, respectively. Similarly, for the depth cut, the change reached values of 35.50%, 23.13%, 20.07% and 20.15%. Figure 8d shows that for the depth of cut ap = 2 mm and ap = 3 mm and a feed per tooth lower than or equal to fz = 0.2 mm/tooth, the roughness values are significantly lower than for the other depths of cut.
Figure 10 shows the results of measuring the roughness Ra of the milled surface for the Prolab 65 material.
Figure 10.
Results of surface roughness Rz for Prolab 65: (a) vc = 25 m/min, (b) vc = 75 m/min, (c) vc = 125 m/min and (d) vc = 175 m/min.
The lowest Rz was 29.62 μm, and it was achieved for the highest cutting speed vc = 175 m/min, the lowest feed per tooth fz = 0.05 mm/tooth and the depth of cut ap = 2 mm. The highest Rz was 52.02 μm, and it was achieved for the lowest cutting speed vc = 25 m/min, the highest feed per tooth fz = 0.3 mm/tooth and the depth of cut ap = 3 mm. The relative increase for these values was 75.59%. The Rz increase for cutting speeds vc = 25/75/125/175 m/min was 49.45%, 34.59%, 32.19% and 49.13%, respectively. The relative spread of the parameter Rz for the different cutting speed groups due to the change in feed per tooth was, in the direction of increasing speed, 34.49%, 27.78%, 23.17% and 38.24%, respectively. Similarly, the relative spread due to the change in the depth of cut was 27.66%, 22.79%, 14.96% and 20.16%. The highest and lowest Rz were obtained for the same machining conditions as for Ra. Similarly, for the cutting speed vc = 175 m/min, depth of cut ap = 2 mm and ap = 3 mm for a feed per tooth lower than or equal to fz = 0.2 mm/tooth, the Rz is significantly lower than for the other depths of cut.
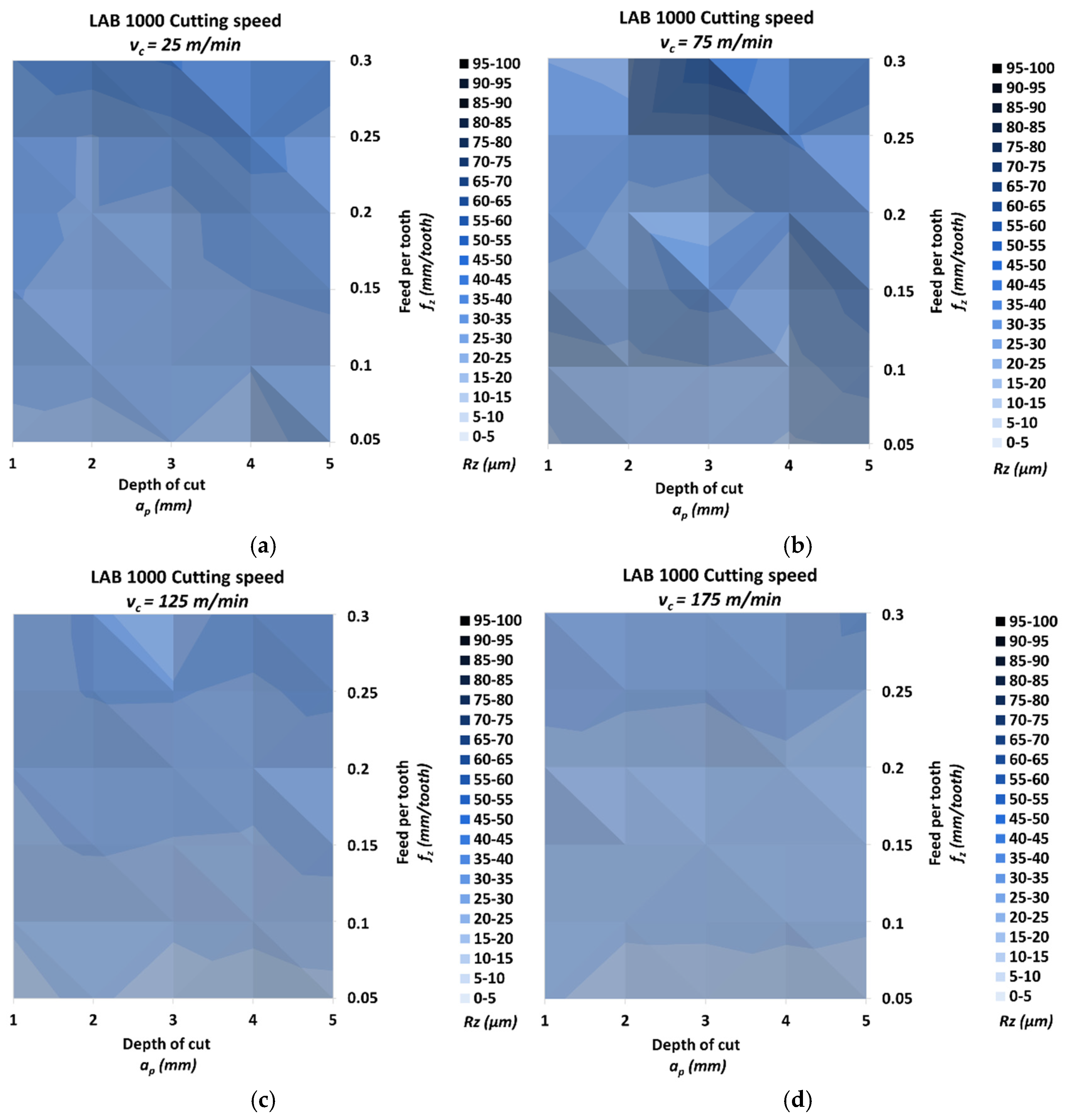
Figure 11 shows the results of measuring the roughness Ra of the milled surface for the LAB 1000 material.
Figure 11.
Results of roughness Ra for LAB 1000: (a) vc = 25 m/min, (b) vc = 75 m/min, (c) vc = 125 m/min and (d) vc = 175 m/min.
The smallest Ra was 1.84 μm, and it was measured for the smallest cutting speed vc = 175 m/min, the smallest feed per tooth fz = 0.05 mm/tooth and the depth of cut ap = 4 mm. The highest Ra was 6.14 μm, and it was achieved for the cutting speed vc = 75 m/min, the highest feed per tooth fz = 0.3 mm/tooth and the depth of cut ap = 5 mm. The relative increase between these values was 233.27%. The relative increases in roughness for the individual speed groups in the direction of increasing speed were 154.97%, 153.23%, 168.66% and 113.05%, respectively. The change in Ra due to the change in feed per tooth for the different speed groups, starting from the lowest, was 137.07%, 137.48%, 153.64% and 90.49%, respectively. Similarly, for the depth of cut, the change reached values of 37.50%, 41.94%, 53.71% and 24.43%. It can be seen from the figure above that, for the highest cutting speed vc = 175 m/min, the achieved roughness values were mostly lower than those obtained for the other speeds.
Figure 12 shows the results of measuring the roughness Rz of the milled surface for the LAB 1000 material.
Figure 12.
Results of surface roughness Rz for LAB 1000: (a) vc = 25 m/min, (b) vc = 75 m/min, (c) vc = 125 m/min and (d) vc = 175 m/min.
The lowest Rz was 11.51 μm, and it was achieved for the highest cutting speed vc = 175 m/min, the lowest feed per tooth fz = 0.05 mm/tooth and the depth of cut ap = 4 mm. The highest Rz was 39.20 μm, and it was achieved for the cutting speed vc = 75 m/min, the highest feed per tooth fz = 0.3 mm/tooth and the depth of cut ap = 3 mm. The relative increase for these values was 240.54%. The Rz increment for cutting speeds vc = 25/75/125/175 m/min was 130.29%, 147.68%, 173.59% and 117.11%, respectively. The relative spread of the parameter Rz for the different cutting speed groups due to the change in feed per tooth was, in the direction of increasing cutting speed, 95.27%, 138.90%, 125.87% and 116.32%, respectively. Similarly, the relative spread due to the change in depth of cut was 27.17%, 57.73%, 26.21% and 25.27%.
The results of surface roughness measurements after milling discussed above indicate that the main cutting parameters that affect the value of the surface roughness parameters Ra and Rz are the cutting speed vc and the feed per tooth fz. As vc increases, the values of the Ra and Rz parameters decrease, while as fz increases the values of the Ra and Rz parameters also increase. At the same time, it is worth noting that changing the depth of cut ap has no significant effect on the results.
Furthermore, it should be noted that the density of the milled material has the greatest impact on surface roughness parameters Ra and Rz. For the material with the lowest density (Labelite 45 PK), the values of Ra and Rz were the highest. In contrast, the material with the highest density (LAB 1000) had the lowest values for both surface microgeometry parameters. This can be explained by the fact that the lower the density of the machined material, the more porous it is, and therefore, its natural roughness is greater.
3.2. Comparison of Ra and Rz Values
To better visualize the changes in the obtained surface roughness parameters (Ra and Rz), bar charts were created. An example set is shown in Figure 13. The set includes three charts, each one corresponding to a different PUB material: Labelite 45 PK (Figure 13a), Prolab 65 (Figure 13b) and LAB 1000 (Figure 13c), which have been milled with the same constant cutting parameters: fz = 0.3 mm/tooth and ap = 5 mm, and four different cutting speeds vc. It should be noted that the trend of changes in the R parameter values was similar for changes in cutting speed for other sets of constant cutting parameters.

Figure 13.
Example values of the roughness parameters Ra and Rz as a function of the cutting speed vc for different PUB materials: (a) Labelite 45 PK, (b) Prolab 65 and (c) LAB 1000; values of constant cutting parameters fz = 0.3 mm/tooth, ap = 5 mm.
As can be seen in Figure 13, the trend line has a significantly steeper slope for the Rz parameter compared to the Ra parameter. This is due to the greater differences between the Rz parameter values obtained for different cutting speeds. The reason for this can be attributed to the different methods of determining the values of each parameter. The Rz parameter is defined as the sum of the height of the highest peak and the depth of the lowest valley within the sampling length, while the Ra parameter is the arithmetic mean of the profile ordinates. Therefore, the Rz parameter is more sensitive to the peaks and valleys of the measured roughness profile. This also explains its several times higher value compared to the Ra parameter obtained for the same set of cutting parameters.
Based on the charts presented in Figure 13, it should be noted that changing the cutting speed vc causes changes in the values of the obtained surface roughness parameters. This observation is significant because, from a theoretical point of view, changing the cutting speed should not affect the surface roughness. It should only result from the replication of the cutting tool geometry and feed rate [20]. However, in the considered case, this effect is visible and may be related to the density of the machined PUB material. For the material with the lowest density (Labelite 45 PK), increasing the cutting speed clearly reduces the values of both roughness parameters (Figure 13a). The same trend was observed for the material with the highest density (LAB 1000); increasing vc clearly reduces the values of the Ra and Rz parameters (Figure 13c). For the third material with medium density (Prolab 65), increasing the cutting speed does not significantly affect the change in both surface roughness parameters, resulting in a trend line with a slight slope (Figure 13b).
The above observations were confirmed by conducting significance tests on the effect of cutting speed during milling, depending on the applied PUB material. The tests were carried out using a Complete Random Design (CRD) statistical program [32]. According to standard practice, the null hypothesis was assumed, stating no effect of the analyzed input factor on the output factor. Then, the calculated value was determined according to the Fisher–Snedecor F-statistic and compared with the critical value Fkr listed in the tables (significance level α = 0.05). The comparison showed that within the accepted range of variability, cutting speed significantly affects the Ra and Rz parameter values during the machining of Labelite 45 PK and LAB 1000 materials (F ≥ Fkr) and does not significantly affect the milling of Prolab 65 material (F ≤ Fkr).
As mentioned earlier, the described effect of cutting speed on the Ra and Rz parameter values depending on the type of PUB material can be linked to its density. Generally, the literature contains numerous studies indicating the dependence of the obtained R parameters on changes in cutting speed [33,34]. Interestingly, depending on the adopted research conditions, increasing the cutting speed can lead to both an increase and a decrease in surface roughness [8,35,36]. The authors of these studies explain this by various phenomena occurring at the interface between the cutting edge and the machined material, depending on the properties of the last one. Therefore, a probable reason why the surface roughness decreases with increasing cutting speed during the milling of the material with the lowest density (Labelite 45 PK) is the smaller volume of removed material, which translates into fewer chips and a more efficient process of their removal from the tool’s chip grooves and the cutting zone.
The effect of the density of the material from which the PUB is made on surface roughness is clearly visible when comparing the R values obtained using the same set of cutting parameters. Figure 14 shows example charts of changes in the Ra parameter (Figure 14a) and Rz parameter (Figure 14b) after milling with four cutting speeds vc and with constant cutting parameters: fz = 0.3 mm/tooth and ap = 5 mm. It should be noted that the nature of changes in the R parameter values under the influence of changes in cutting speed for other sets of constant cutting parameters was similar.
Figure 14.
Influence of type of PUB material and variable cutting speed vc on the surface roughness: (a) Ra and (b) Rz; values of constant cutting parameters fz = 0.3 mm/tooth, ap = 5 mm.
As shown in the charts in Figure 14, for each set of parameters including a constant fz and ap value and one of the four vc values, the highest roughness parameter R was obtained after milling the PUB with the lowest density (Labelite 45 PK), and the lowest for the surface of the PUB with the highest density (LAB 1000). This is likely due to the fact that the lower the material density, the greater the proportion of depressions on the measured surface compared to the surface of the higher-density material. The replication of this shape by the profilometer’s measuring tip stylus results in higher surface roughness parameters. Increasing the material density effectively smooths the measured surface and reduces its roughness.
Further analysis of the results was conducted for cases where the variable parameter was the depth of cut ap. Similarly to the previous analysis, significance tests were performed on the effect of the variable cutting parameter depending on the applied PUB material, using a Complete Random Design statistical program and the Fisher–Snedecor F-statistic (significance level α = 0.05). The comparison showed that within the accepted range of variability, the depth of cut does not significantly affect the milling of any of the three materials (F ≤ Fkr). Therefore, the authors decided not to show the comparison charts.
Similarly to the previously discussed case (variable vc), significant differences were observed between the values of both parameters obtained during the milling of the three materials with the same sets of cutting parameters. Figure 15 shows example charts of changes in the Ra parameter (Figure 15a) and Rz parameter (Figure 15b) after milling with five depths of cut ap and with constant cutting parameters: fz = 0.3 mm/tooth and vc = 125 m/min. It should be noted that the nature of changes in the R parameter values under the influence of changes in the depth of cut for other sets of constant cutting parameters was similar.
Figure 15.
Influence of type of PUB material and variable depth of cut ap on the surface roughness: (a) Ra and (b) Rz; values of constant cutting parameters fz = 0.3 mm/tooth, vc = 125 m/min.
As shown in the charts in Figure 15, for each set of parameters including a constant fz and vc value and one of the five ap values, the highest roughness parameter value was obtained after milling the PUB with the lowest density (Labelite 45 PK), and the lowest for the surface of the PUB with the highest density (LAB 1000). Similar to the previously discussed case, this observed property can be explained by the material structure, which, in the case of the lower-density material, has a greater number of depressions on the measured surface. Increasing the material density smooths the measured surface and reduces its roughness.
Next, the third variable cutting parameter, the feed per tooth fz, was analyzed. Similar to the previously discussed cases, bar charts were created to better visualize the obtained surface roughness results. An example set of charts is shown in Figure 16. Each of the three charts corresponds to a different PUB material: Labelite 45 PK (Figure 16a), Prolab 65 (Figure 16b) and LAB 1000 (Figure 16c), milled with the same constant cutting parameters: vc = 125 m/min and ap = 5 mm, and six feed rates fz. It should be noted that the trend of changes in the R parameter values under the influence of changes in cutting speed for other sets of constant cutting parameters was similar.

Figure 16.
Example values of the roughness parameters Ra and Rz as a function of the feed per tooth fz for different PUB materials: (a) Labelite 45 PK, (b) Prolab 65 and (c) LAB 1000; values of constant cutting parameters vc = 125 m/min, ap = 5 mm.
As expected, for each of the three types of PUB materials, increasing the feed per tooth fz increases the values of both parameters describing surface roughness (Ra and Rz). This is consistent with the literature data, both in terms of the theoretical basis for the formation of roughness due to the replication of the cutting-edge geometry and the feed motion of the cutting tool itself [20], as well as experimental data, e.g., [37,38]. The significance tests on the effect of feed per tooth depending on the applied PUB material, using a Complete Random Design statistical program, showed that within the accepted range of variability, feed per tooth significantly affects the Ra and Rz parameter values during the machining of all tested materials (F ≥ Fkr).
Similarly to the previously described cases (variables: vc and ap), a significant effect of the density of the material from which the PUB is made on surface roughness was observed. Figure 17 shows example charts of changes in the Ra parameter (Figure 17a) and Rz parameter (Figure 17b) after milling with six feed rates fz and with constant cutting parameters: vc = 125 m/min and ap = 5 mm. It should be noted that the nature of changes in the R parameter values under the influence of changes in cutting speed for other sets of constant cutting parameters was similar.
Figure 17.
Influence of type of PUB material and variable feed per tooth fz on the surface roughness: (a) Ra and (b) Rz; values of constant cutting parameters ap = 5 mm, vc = 125 m/min.
As can be observed in Figure 17, similar to the previously discussed cases (variables: vc and ap), the highest roughness parameter value was obtained after milling the PUB with the lowest density (Labelite 45 PK), and the lowest for the surface of the PUB with the highest density (LAB 1000). The reason for this has already been explained earlier.
3.3. Tool Wear
Figure 18 and Figure 19 show microscopic images of the blades of the tested cutting tools taken to measure outside edge wear (OE) and flank wear (VB). Table 6 shows the results of the tool wear measurements determined by the OE and VB indicators, respectively, and a graphical illustration of the results is shown in Figure 20.

Figure 18.
Outside edge wear: (a) fresh end mill, (b) after Labelite 45 PK machining, (c) after Prolab 65 machining and (d) after LAB 1000 machining.
Figure 19.
Flank wear: (a) fresh end mill, (b) after Labelite 45 PK machining, (c) after Prolab 65 machining and (d) after LAB 1000 machining.
Table 6.
Comparison of outside edge wear (OE) and flank wear (VB).
Figure 20.
Wear indicators (OE, VB) for different workpiece materials.
The analysis indicates that Labelite 45 PK (density: 0.45 g/cm3) results in the smallest tool wear, both in terms of OE and VB. As the density of the material increases, the wear rates increase as well. For Prolab 65 (density: 0.65 g/cm3), OE is 63% higher, while for LAB 1000 (density: 1.67 g/cm3), it is 680% higher than for PUB made from Labelite 45 PK. Similarly, the VB index measured on the blades is 61% greater than that measured for Labelite 45 PK after machining Prolab 65 and 373% greater after machining LAB 1000. It can therefore be concluded that tool wear increases with increasing material density, which results in higher cutting resistance during machining. Thus, tool wear for polyurethane materials increases with decreasing porosity of the material.
According to accepted standards, cutting edge wear should not exceed 0.2 mm for a 90° cutting edge angle or a maximum of 0.3 mm for a round-blade cutting tool [39]. Thus, for Labelite 45 PK and Prolab 65, the tool was still fit for use due to the low level of wear.
4. Summary and Conclusions
Three different types of polyurethane blocks were milled using a wide range of different cutting parameters. After machining, the roughness measurements Ra and Rz, which are responsible for the quality of the geometric structure of the surface, were carried out. This made it possible to assess how changes in PUB density, the cutting speed, feed rate and depth of cut affected the roughness of the machined surface. An analysis of the impact of the type of polyurethane material on tool wear was then carried out by measuring the cutting tool wear marks on the rake face and flank face after machining each of the tested materials. The tests carried out in this regard support the following conclusions:
- Taking into account surface quality, for all PUB materials, the following ranges of cutting parameters are recommended:
- ➢
- cutting speed vc = 125 ÷ 175 m/min,
- ➢
- feed per tooth fz = 0.05 ÷ 0.15 mm/tooth,
- ➢
- depth of cut ap = 1 ÷ 5 mm.
- Cutting speed significantly affects the surface roughness after milling two PUB materials. For the material with the lowest density (Labelite 45 PK), increasing the cutting speed vc reduces the values of the roughness parameters Ra and Rz. The same trend was observed for the material with the highest density (LAB 1000). For the Prolab 65 material, cutting speed does not significantly affect the change in both R parameters.
- Feed rate significantly affects the values of surface roughness parameters after milling. Increasing the feed per tooth fz increases roughness parameters Ra and Rz regardless of PUB density.
- Changing the depth of cut ap has no noticeable effect on the resulting surface roughness of the workpiece, irrespective of its density.
- The best quality of the machined surface (low Ra and Rz values) was obtained for LAB 1000, followed by Prolab 65, and the worst for Labelite 45 PK. Thus, it can be found that the higher the material density, the lower the porosity and, consequently, the lower the surface roughness after milling.
- Tool wear described by VB and OE indicators increases along with the density of the machined polyurethane foam, successively for the material: Labelite 45K, Prolab 65 and LAB 1000. Thus, it can be concluded that a decrease in PUB porosity results in faster wear of the cutting tool blades.
In summary, it should be stated that the density of polyurethane foam has a significant impact on the surface roughness obtained after face milling PUB. As the density of the polyurethane foam increases, the overall level of the obtained roughness parameters Ra and Rz decreases, which translates into an improvement in the surface quality after machining. This fact should interest both those creating mock-up models or prototype models, as well as functional parts, e.g., used in control instruments. This knowledge can be utilized already at the stage of purchasing the appropriate type of polyurethane foam depending on individual needs.
The second important issue is the appropriate selection of cutting parameters, especially considering machining efficiency and production time. While changing the depth of cut ap does not significantly affect the Ra and Rz values, and changing the feed per tooth fz affects them in a predictable manner regardless of the material density, the effect of cutting speed vc on surface roughness should be considered individually in the context of PUB density. What is worth emphasizing from a practical point of view is the fact that using the highest cutting parameters ensures lower surface roughness compared to PUB materials.
From a practical point of view, the aspect of machining related to the cutting tool used is also important. In this case, increasing the density of PUB accelerates the wear of the cutting edge. Therefore, the tool should be carefully selected, considering its tool life in the context of production volume and associated time. The authors plan to investigate this topic in detail in their next work.
Author Contributions
Conceptualization, K.S. and N.K.; methodology, N.K. and R.R.; software, K.S., N.K., G.B. and W.S.; validation, K.S., B.W. and J.S.; formal analysis, N.K. and W.S.; investigation, K.S., N.K. and R.R.; data curation, K.S., B.W. and N.K.; writing—original draft, K.S., N.K. and W.S.; writing—review and editing, N.K., W.S., W.P. and M.S. All authors have read and agreed to the published version of the manuscript.
Funding
This research received no external funding.
Institutional Review Board Statement
Not applicable.
Informed Consent Statement
Not applicable.
Data Availability Statement
Data are contained within the article.
Conflicts of Interest
The authors declare no conflicts of interest.
Nomenclature
| ae | working engagement, width of cut (mm) |
| ap | back engagement, depth of cut (mm) |
| fz | feed per tooth (mm/tooth) |
| OE | outside edge wear (mm) |
| N | spindle rotational speed (rpm) |
| Ra | arithmetic average of the roughness profile height deviations from the mean line (µm) |
| Rz | average maximum height of the roughness profile (µm) |
| VB | flank wear (mm) |
| vc | cutting speed (m/min) |
References
- Wang, W.; Wang, C. 3—Polyurethane for biomedical applications: A review of recent developments. In The Design and Manufacture of Medical Devices, Woodhead Publishing Reviews: Mechanical Engineering Series; Davim, J.P., Ed.; Woodhead Publishing: Sawston, UK, 2012; pp. 115–151. ISBN 9781907568725. [Google Scholar] [CrossRef]
- de Souza, F.M.; Kahol, P.K.; Gupta, R.K. Introduction to polyurethane chemistry. In Polyurethane Chemistry: Renewable Polyols and Isocyanates; Gupta, R.K., Kahol, P.K., Eds.; American Chemical Society: Washington, DC, USA, 2021; Volume 180, pp. 1–24. [Google Scholar] [CrossRef]
- Global Polyurethane Market Overview 2024–2028. October 2024. Available online: https://www.reportlinker.com/market-report/Polymers/526744/Polyurethane?term=polyurethane%20market&matchtype=b&loc_interest=&loc_physical=9067552&hsa_acc=9351230540&hsa_cam=15072746546&hsa_grp=136578933064&hsa_ad=561721181169&hsa_src=g&hsa_tgt=kwd-563332085225&hsa_kw=polyurethane%20market&hsa_mt=b&hsa_net=adwords&hsa_ver=3&gad_source=1 (accessed on 28 October 2024).
- Prototyping Foam. Available online: https://www.generalplastics.com/markets/prototypes-and-models (accessed on 28 October 2024).
- Multi-Use Foam Series. Available online: https://www.generalplastics.com/products/fr-7100 (accessed on 28 October 2024).
- Catherine, L.D.K.; Ma’arof, R.A.R.; Arshad, A.; Suresh, S. Impact of machining parameters on the surface roughness of machined PU block. Int. J. Chem. Mol. Nucl. Mater. Metall. Eng. 2014, 8, 1476–1481. [Google Scholar]
- Pereira, A.; Prado, M.T.; Fenollera, M.; Wieczorowski, M.; Mathia, T. Study of thermostable polyurethane material produced by robotic milling machining. In Innovations in Mechanical Engineering. Icieng 2021; Machado, J., Soares, F., Trojanowska, J., Ottaviano, E., Eds.; Lecture Notes in Mechanical Engineering; Springer: Cham, Switzerland, 2022. [Google Scholar] [CrossRef]
- Utomo, A.K.C.; Ubaidillah, U.; Raharjo, W.W.; Harwijayanti, W. Analysis of polyurethane foam machining parameter influence: Current status and perspective. E3S Web Conf. 2024, 517, 12008. [Google Scholar] [CrossRef]
- High-Performance Polyurethane, Aluminum-Filled & Epoxy Board Materials. Available online: https://polytek.com/solutions/tooling-modeling-board (accessed on 28 October 2024).
- CNC Polyurethane Foam. Polyurethane Foam Milling. Available online: https://www.bakerspatterns.co.uk/services/polyurethane-foam-milling/ (accessed on 28 October 2024).
- Prototype Foam Milling. Available online: https://www.rojac.com/polyurethane-foam-solutions/prototype-foam-milling/ (accessed on 28 October 2024).
- Kang, J.; Maeng, H.; Eun, S. Determination of manufacturing parameters for maintaining form accuracy of packaging support block made with polyurethane foam. Lond. J. Eng. Res. 2022, 22, 25–38. [Google Scholar]
- Mitalova, Z.; Duplakova, D.; Mital, D.; Litecka, J.; Dedic, V.; Sukic, E. Monitoring of surface integrity of wpc materials base on evaluation selected surface topography parameters. Int. J. Qual. Res. 2020, 14, 817–828. [Google Scholar] [CrossRef]
- Zhang, Z.; Lv, X.; Qi, B.; Qi, Y.; Zhang, M.; Tao, Z. Surface roughness prediction and roughness reliability evaluation of CNC milling based on surface topography simulation. Eksploat. I Niezawodn.—Maint. Reliab. 2024, 26, 1. [Google Scholar] [CrossRef]
- Duplak, J.; Duplakova, D.; Zajac, J. Research on Roughness and Microhardness of C45 Material Using High-Speed Machining. Appl. Sci. 2023, 13, 7851. [Google Scholar] [CrossRef]
- Hafner, R.; Pušavec, F.; Čerče, L.; Kopač, J. Influence of milling process on machined surface of porous polyurethane (PU) foam. Teh. Vjesn.-Tech. Gaz. 2016, 23, 1089–1093. [Google Scholar]
- Muflikhun, M.A.; Mahardika, M.; Rochardjo, H.S.B. Simulation and experiment based optimization of calligraphy manufacturing using a 5-Axis CNC milling machine. In Proceedings of the 2nd International Conference on Science and Technology-Computer (ICST), Yogyakarta, Indonesia, 27–28 October 2016. [Google Scholar]
- Stachurski, W.; Sawicki, J.; Januszewicz, B.; Rosik, R. The influence of the depth of grinding on the condition of the surface layer of 20MnCr5 steel ground with the minimum quantity lubrication (MQL) method. Materials 2022, 15, 1336. [Google Scholar] [CrossRef] [PubMed]
- Kępczak, N.; Rosik, R.; Pawłowski, W.; Sikora, M.; Witkowski, B.; Bechciński, G.; Stachurski, W. The dynamics of wear of cutting inserts during turning of non-homogeneous material on the example of polymer concrete. Eksploat. I Niezawodn.—Maint. Reliab. 2018, 20, 478–483. [Google Scholar] [CrossRef]
- Grzesik, W. Advanced Machining Processes of Metallic Materials—Theory, Modelling and Applications, 2nd ed.; Elsevier: Amsterdam, The Netherlands, 2017. [Google Scholar]
- Altintas, Y. Manufacturing Automation: Metal Cutting Mechanics, Machine Tool Vibrations, and CNC Design, 2nd ed.; Cambridge University Press: Cambridge, UK, 2012. [Google Scholar]
- Kępczak, N.; Zgórniak, P.; Lajmert, P.; Rosik, R.; Sikora, M. Influence of machining parameters on the polymer concrete milling process. Int. J. Adv. Manuf. Technol. 2020, 106, 3017–3032. [Google Scholar] [CrossRef]
- Alhadeff, L.; Marshall, M.; Slatter, T. The influence of tool coating on the length of the normal operating region (steady-state wear) for micro end mills. Precis. Eng. 2019, 60, 306–319. [Google Scholar] [CrossRef]
- Elkaseer, A.M.A.; Dimov, S.S.; Popov, K.B.; Minev, R. Tool wear in micro-endmilling: Material microstructure effects, modelling and experimental validation. J. Micro Nano Sci. Eng. 2014, 2, 044502. [Google Scholar] [CrossRef]
- Catalogue Card Labelite 45PK. Available online: https://www.tr-solution.pl/uploads/pdf/Labelite%2045%20PK.pdf (accessed on 28 October 2024).
- Catalogue Card Prolab 65. Available online: https://www.tr-solution.pl/uploads/P%C5%81YTY/Prolab%2065.pdf (accessed on 28 October 2024).
- Catalogue Card LAB 1000. Available online: https://www.tr-solution.pl/uploads/P%C5%81YTY/SikaBlock%C2%AE%20LAB1000.pdf (accessed on 28 October 2024).
- Technical Data EMCO Concept Mill 55. Available online: https://www.emco-world.com/en/products/industrial-training/machines/milling/concept-mill/concept-mill-55.html (accessed on 28 October 2024).
- Technical Data of an End Mill. Available online: https://artykulytechniczne.pl/frez-nfpg-16-hss-din-327.html (accessed on 28 October 2024).
- Technical Data of a Hommel Tester T500. Available online: https://www.koda.ua/download/HOMMEL_TESTER_T500_technical_data.pdf (accessed on 28 October 2024).
- Protocol for End Mill Wear Measurement in Micro-Milling. Available online: https://www.endmills-wotek.com/en/blog/detail/57 (accessed on 28 October 2024).
- Montgomery, D.C. Design and Analysis of Experiments, 10th ed.; Wiley: Hoboken, NJ, USA, 2019. [Google Scholar]
- Gökkaya, H. The effects of machining parameters on cutting forces, surface roughness, built-up edge (BUE) and built-up layer (BUL) during machining AA2014 (T4) alloy. Stroj. Vestn.—J. Mech. Eng. 2010, 56, 584–593. [Google Scholar]
- Begić-Hajdarević, D.; Čekić, A.; Kulenović, M. The effect of cutting parameters on surface roughness in high speed machining. J. Trends Dev. Mach. Assoc. Technol. 2013, 17, 21–24. [Google Scholar]
- Mgherony, A.; Mikó, B. The effect of the cutting speed on the surface roughness when ball-end milling. Hung. J. Ind. Chem. 2021, 49, 9–13. [Google Scholar] [CrossRef]
- Abellán-Nebot, J.V.; Pastor, C.V.; Siller, H.R. A review of the factors influencing surface roughness in machining and their impact on sustainability. Sustainability 2024, 16, 1917. [Google Scholar] [CrossRef]
- Teicher, U.; Pirli, S.; Nestler, A.; Hellmich, A.; Ihlenfeldt, S. Surface roughness nad its prediction in high speed milling of aluminum alloy with PCD and cemented carbide tools. MM Science Journal, Special Issue on HSM2019. In Proceedings of the 15th International Conference on High Speed Machining, Prague, Czech Republic, 8–9 October 2019. [Google Scholar] [CrossRef]
- Raza, M.H.; Hafeez, F.; Zhong, R.Y.; Imran, A. Investigation of surface roughness in face milling process. Int. J. Adv. Manuf. Technol. 2020, 111, 2589–2599. [Google Scholar] [CrossRef]
- How to Do Milling in Different Materials. Available online: https://www.sandvik.coromant.com/en-gb/knowledge/milling/milling-different-materials (accessed on 28 October 2024).
Disclaimer/Publisher’s Note: The statements, opinions and data contained in all publications are solely those of the individual author(s) and contributor(s) and not of MDPI and/or the editor(s). MDPI and/or the editor(s) disclaim responsibility for any injury to people or property resulting from any ideas, methods, instructions or products referred to in the content. |
© 2025 by the authors. Licensee MDPI, Basel, Switzerland. This article is an open access article distributed under the terms and conditions of the Creative Commons Attribution (CC BY) license (https://creativecommons.org/licenses/by/4.0/).






















