The Effect of the MgO/Al2O3 Ratio on the Thermal and Refractory Behaviors of Cordierite Ceramics
Abstract
1. Introduction
2. Experimental Methods
2.1. Sample Preparation
2.2. Characterization
3. Results and Discussion
3.1. XRD Analysis
3.2. Thermal Behavior During Heating
3.3. Physical Properties and Microstructure Analysis
3.4. Refractory Behavior of the Pyrometric Cone
4. Conclusions
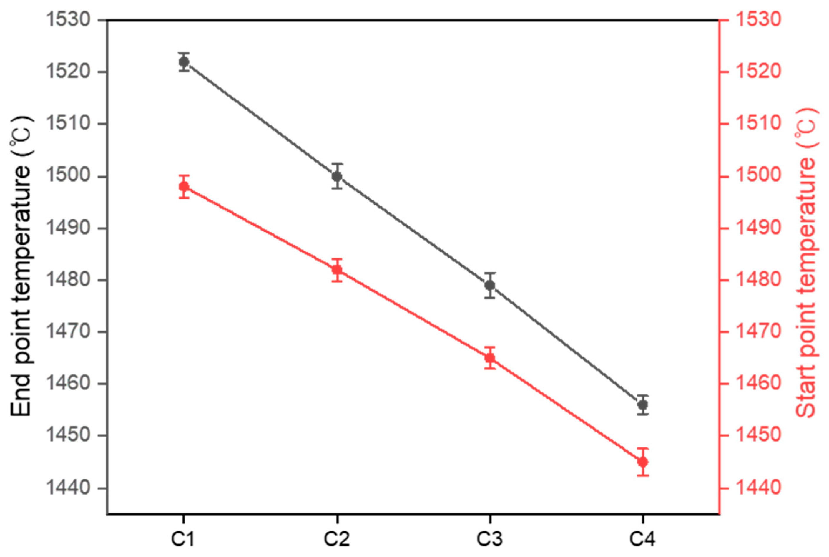
- As the M/A ratio increased from 1 to 1.86, the liquid formation temperature and the characteristic temperatures of softening, melting, and flowing decreased, the viscosity decreased, and the fluidity of the viscous liquid increased. The observed thermal behavior demonstrated that the maximum sintering temperature decreased from 1491 °C to 1441 °C, the hemisphere temperature decreased from 1539 °C to 1453 °C, and the flow temperature decreased from 1553 °C to 1457 °C. The time from the maximum sintering temperature to the flow temperature was reduced from 6 min 12 s to 1 min 36 s, indicating that the thermal behavior was accelerated. Additionally, the start point temperature of the pyrometric cone decreased from 1498 °C to 1445 °C, and the end point temperature decreased from 1522 °C to 1456 °C, with the time from the start to the end of deformation reduced from 9 min 36 s to 4 min 24 s, indicating an increase in the deformation rate.
- As the M/A ratio increased from 1 to 1.86, a low-viscosity liquid phase was formed at lower temperatures, enabling it to easily infiltrate between particles. Consequently, the density of the sintered bodies increased from 1.56 g/cm3 to 2.27 g/cm3, the porosity decreased from 38.62% to 2.24%, and the shrinkage increased from 0.25% to 9.7%. As densification was promoted, grain boundaries gradually became blurred, and larger grains grew.
- All the samples sintered at 1300, 1350, and 1400 °C contained cordierite as the primary phase, with more cordierite forming as the temperature increased. In contrast, secondary phases, such as spinel, cristobalite, and enstatite, tended to decrease as the sintering temperature increased. Additionally, it was observed that the intensity of cordierite decreased as the M/A ratio increased.
Supplementary Materials
Author Contributions
Funding
Institutional Review Board Statement
Informed Consent Statement
Data Availability Statement
Conflicts of Interest
References
- Redaoui, D.; Sahnoune, F.; Heraiz, M.; Saheb, N. Phase formation and crystallization kinetics in cordierite ceramics prepared from kaolinite and magnesia. Ceram. Int. 2018, 44, 3649–3657. [Google Scholar] [CrossRef]
- Araújo, P.A.; Andrade, R.M.; Araujo, A.J.; Raimundo, R.A.; Grilo, J.P.; Dutra, R.P.; Macedo, D.A.; Nascimento, R.M. Cordierite-based ceramics with coffee husk ash addition: I–microstructure and physical properties. J. Mater. Res. Technol. 2021, 15, 2471–2483. [Google Scholar] [CrossRef]
- Camerucci, M.A.; Cavalieri, A.L. Wetting and penetration of cordierite and mullite materials by non-stoichiometric cordierite liquids. Ceram. Int. 2008, 34, 1753–1762. [Google Scholar] [CrossRef]
- Song, I.H.; Kim, M.J.; Kim, H.D.; Kim, Y.W. Processing of microcellular cordierite ceramics from a preceramic polymer. Scr. Mater. 2006, 54, 1521–1525. [Google Scholar] [CrossRef]
- Idbenjadi, F.E.; Benhammou, A.; Abourriche, A.; Abouliatim, Y. Effect of sintering temperature on the thermal and mechanical properties of cordierite-based refractory. Mater. Today Proc. 2024, in press. [Google Scholar] [CrossRef]
- Khattab, R.M.; Abo-Almaged, H.H.; Ajiba, N.A.; Badr, H.A.; Gaber, A.A.; Taha, M.A.; Sadek, H.E.H. Sintering, physicomechanical, thermal expansion and microstructure properties of cordierite ceramics based on utilizing silica fume waste. Mater. Chem. Phys. 2021, 270, 124829. [Google Scholar] [CrossRef]
- Saheb, N.; Alghanim, A. Low temperature synthesis of highly pure cordierite materials by spark plasma sintering nano-oxide powders. Ceram. Int. 2020, 46, 23910–23921. [Google Scholar] [CrossRef]
- Cao, J.W.; Shi, X.M.; Jiao, Y.F.; Zhang, C.; Li, Z.P.; Zheng, Y.; Cheng, Y.Y.; Ren, L.H. Pressureless sintering of cordierite ceramics with optimized strength and thermal expansion. IOP Conf. Ser. Mater. Sci. Eng. 2020, 770, 012069. [Google Scholar] [CrossRef]
- Senguttuvan, T.D.; Kalsi, H.S.; Sharda, S.K.; Das, B.K. Sintering behavior of alumina rich cordierite porous ceramics. Mater. Chem. Phys. 2001, 67, 146–150. [Google Scholar] [CrossRef]
- Montanaro, L.; Pagliolico, S.; Negro, A. Durability of cordierite honeycomb structure for automotive emissions control. Thermochim. Acta. 1993, 227, 27–33. [Google Scholar] [CrossRef]
- Bejjaoui, R.; Benhammou, A.; Nibou, L.; Tanouti, B.; Bonnet, J.P.; Yaacoubi, A.; Ammar, A. Synthesis and characterization of cordierite ceramic from Moroccan stevensite and andalusite. Appl. Clay Sci. 2010, 49, 334–336. [Google Scholar] [CrossRef]
- Sembiring, S.; Simanjuntak, W.; Situmeang, R.; Riyanto, A.; Sebayang, K. Preparation of refractory cordierite using amorphous rice husk silica for thermal insulation purposes. Ceram. Int. 2016, 42, 8431–8437. [Google Scholar] [CrossRef]
- Jang, D.-H.; Kim, Y.-W.; Kim, H.-D. Processing of porous cordierite ceramics with controlled porosity. J. Ceram. Soc. Jpn. 2007, 115, 52. [Google Scholar] [CrossRef]
- Banjuraizah, J.; Mohamad, H.; Ahmad, Z.A. Densification and crystallization of nonstoichiometric cordierite glass with excess MgO synthesized from kaolin and talc. J. Am. Ceram. Soc. 2011, 94, 687–694. [Google Scholar] [CrossRef]
- Banjuraizah, J.; Mohamad, H.; Ahmad, Z.A. Effect of excess MgO mole ratio in a stoichiometric cordierite (2MgO2Al2O3·5SiO2) composition on the phase transformation and crystallization behavior of magnesium aluminum silicate phases. Int. J. Appl. Ceram. Technol. 2011, 8, 637. [Google Scholar] [CrossRef]
- Lamara, S.; Redaoui, D.; Sahnoune, F.; Saheb, N. Microstructure, thermal expansion, hardness and thermodynamic parameters of cordierite materials synthesized from Algerian natural clay minerals and magnesia. Bol. Soc. Esp. Ceram. Vidr. 2021, 60, 291. [Google Scholar] [CrossRef]
- Lee, S.-J.; Kriven, W.M. Crystallization and densification of nano-size amorphous cordierite powder prepared by a PVA solution-polymerization route. J. Am. Ceram. Soc. 1998, 81, 2605. [Google Scholar] [CrossRef]
- Tabit, K.; Waqif, M.; Saâdi, L. Crystallization behavior and properties of cordierite synthesized by sol-gel technique and hydrothermal treatment. J. Aust. Ceram. Soc. 2018, 54, 243. [Google Scholar] [CrossRef]
- Nadafan, M.; Malekfar, R.; Dehghani, Z.; Khorrami, G.H. Synthesis and analysis of optical properties of cordierite nanopowder prepared by the Pechini method. Procedia Mater. Sci. 2015, 11, 331. [Google Scholar] [CrossRef][Green Version]
- Eskandari, M.; Jahantigh, F.; Malekfar, R. Synthesis and characterization of nanosized pure α-cordierite glass-ceramic powders. J. Aust. Ceram. Soc. 2017, 54, 243. [Google Scholar] [CrossRef]
- Xu, X.; Lao, X. Effect of MgO/SiO2 ratio and Al2O3 content on crystallization behavior and properties of cordierite-based glass–ceramics. J. Eur. Ceram. Soc. 2020, 40, 305. [Google Scholar] [CrossRef]
- Amista, P.; Cesari, M.; Montenero, A.; Gnappi, G. Crystallization behaviour in the system MgO∙Al2O3∙SiO2. J. Non-Cryst. Solids 1995, 192, 529. [Google Scholar] [CrossRef]
- Kaya, Y.; Kobya, V.; Mardani, A.; Mardani, N.; Beytekin, H.E. Effect of Grinding Conditions on Clinker Grinding Efficiency: Ball Size, Mill Rotation Speed, and Feed Rate. Buildings 2024, 14, 2356. [Google Scholar] [CrossRef]
- Khater, G.A.; Romero, M.; López-Delgado, A.; Padilla, I.; El-Kheshen, A.A.; Farag, M.M.; Elmaghraby, M.S.; Shendy, H.; Nasralla, N.H.S. Utilizing Ceramic Factory Waste to Produce Low-Cost Refractory Ceramics. Recycling 2024, 9, 98. [Google Scholar] [CrossRef]
- Yu, Y.; Wang, J.; Yu, Y.; Yan, Z.; Du, Y.; Chu, P.; Jing, Q.; Liu, P. Synthesis and Characterization of Single-Phase α-Cordierite Glass-Ceramics for LTCC Substrates from Tuff. Materials 2022, 15, 8758. [Google Scholar] [CrossRef] [PubMed]
- Yoo, D.; Kim, M.; Oh, S.K.; Hwang, S.; Kim, S.; Kim, W.; Kwon, Y.; Jo, Y.; Jeon, J.-K. Synthesis of Hydroxylammonium Nitrate and Its Decomposition over Metal Oxide/Honeycomb Catalysts. Catalysts 2024, 14, 116. [Google Scholar] [CrossRef]
- KS L ISO 1146; Pyrometric Reference Cones for Laboratory Use—Specification. KS: Sejong City, Republic of Korea, 1988.
- KS L ISO 18754; Fine Ceramics (Advanced Ceramics, Advanced Technical Ceramics)—Determination of Density and Apparent Porosity. KS: Sejong City, Republic of Korea, 2020.
- KS L ISO 3113; Testing Method for Refractoriness of Refractory Materials and Products. KS: Sejong City, Republic of Korea, 2016.
- Wu, J.; Lu, C.; Xu, X.; Wang, D.; Sang, Y.; Zhang, C. Influence of silica phase transformation on synthesis of cordierite ceramic. J. Aust. Ceram. Soc. 2017, 53, 365. [Google Scholar] [CrossRef]
- Ogiwara, T.; Noda, Y.; Shoji, K.; Kimura, O. Solid state synthesis and its characterization of high density cordierite ceramics using fine oxide powders. J. Ceram. Soc. Jpn. 2010, 118, 246–249. [Google Scholar] [CrossRef][Green Version]
- Wang, H.; Wang, S.; Meng, Z.; Chen, Z.; Liu, L.; Wang, X.; Qian, D.; Xing, Y. Mechanism of cordierite formation obtained by high temperature sintering technique. Ceram. Int. 2023, 49, 20544. [Google Scholar] [CrossRef]
- Panna, W.; Wyszomirski, P.; Kohut, P. Application of hot-stage microscopy to evaluating sample morphology changes on heating. J. Therm. Anal. Calorim. 2016, 123, 1153. [Google Scholar] [CrossRef]
- Garcia-Valles, M.; Hafez, H.S.; Cruz-Matías, I.; Vergés, E.; Aly, M.H.; Nogués, J.; Ayala, D.; Martinez, S. Calculation of viscosity–temperature curves for glass obtained from four wastewater treatment plants in Egypt. J. Therm. Anal. Calorim. 2013, 111, 107. [Google Scholar] [CrossRef]
- Dumitrache, R.L.; Teoreanu, I. Melting behaviour of feldspar porcelain glazes. UPB Sci. Bull. Series B 2006, 68, 1–16. [Google Scholar]
- Stábile, F.M.; Piccico, M.; Serra, M.F.; Rafti, M.; Súarez, G.; Rendtorff, N.M. Viscosity and thermal evolution of density and wetting angle of a commercial glaze by means of hot stage microscopy. Procedia Mater. Sci. 2015, 9, 563. [Google Scholar] [CrossRef]
- Mills, K.C.; Hayashi, M.; Wang, L.; Watanabe, T. Chapter 2.2.—The Structure and Properties of Silicate Slags. In Treatise on Process Metallurgy; Elsevier: Amsterdam, The Netherlands, 2014; Volume 1, pp. 149–286. [Google Scholar] [CrossRef]
- Mohri, M.; Sasaki, Y.; Ishii, K. Comparative roles of Al3+ and Fe3+ ions for network construction in sodium silicate melts. ISIJ Int. 2001, 41, 410. [Google Scholar] [CrossRef]
- Deng, B.; Shi, Y.; Zhou, Q.; Bauchy, M. Revealing the structural role of MgO in aluminosilicate glasses. Acta Mater. 2022, 222, 117417. [Google Scholar] [CrossRef]
- Jiusti, J.; Zanotto, E.D.; Feller, S.A.; Austin, H.J.; Detar, H.M.; Bishop, I.; Manzani, D.; Nakatsuka, Y.; Watanabe, Y.; Inoue, H. Effect of network formers and modifiers on the crystallization resistance of oxide glasses. J. Non-Cryst. Solids 2020, 550, 120359. [Google Scholar] [CrossRef]
- Li, Y.; Qian, H.; Cheng, X.; Zhang, R.; Zhang, H. Fabrication of dense cordierite ceramic through reducing Al2O3 mole ratio. Mater. Lett. 2014, 116, 262. [Google Scholar] [CrossRef]
- Wu, J.; Lu, C.; Xu, X.; Wang, D.; Zhang, Y.; Zhou, Y. Preparation and characterization of cordierite ceramic from coal series kaolin for electronic application. J. Aust. Ceram. Soc. 2019, 55, 305. [Google Scholar] [CrossRef]
- Hsieh, P.Y. Effects of temperature non-uniformity and effective viscosity on pyrometric cone deformation. Int. J. Ceram. Eng. Sci. 2019, 1, 216. [Google Scholar] [CrossRef]
- Carter, C.B.; Norton, M.G. Ceramic Materials: Science and Engineering, 2nd ed.; 9.12 MEASURING, TEMPERATURE; Carter, C.B., Norton, M.G., Eds.; Springer: New York, NY, USA, 2013; pp. 154–155. [Google Scholar]











| Sample | Mol Ratio | MgO | Al2O3 | SiO2 | MgO/Al2O3 |
|---|---|---|---|---|---|
| C1 | 2:2:5 | 13.7 | 34.9 | 51.4 | 1 |
| C2 | 2.2:1.8:5 | 15.4 | 32.1 | 52.5 | 1.22 |
| C3 | 2.4:1.6:5 | 17.2 | 29.2 | 53.6 | 1.5 |
| C4 | 2.6:1.4:5 | 19.0 | 26.1 | 54.9 | 1.86 |
| Parameter | C1 | C2 | C3 | C4 |
|---|---|---|---|---|
| Density (g/cm3) | 1.56 | 1.59 | 1.65 | 2.27 |
| Porosity (%) | 38.62 | 36.75 | 34.04 | 2.24 |
| Shrinkage (%) | 0.25 | 1 | 2.3 | 9.7 |
| Sample | C1 | C2 | C3 | C4 |
|---|---|---|---|---|
| Test 1 | 1498/1525 | 1483/1498 | 1462 /1481 | 1442/1453 |
| Test 2 | 1495/1523 | 1481/1497 | 1468 /1483 | 1449/1457 |
| Test 3 | 1500/1521 | 1485/1501 | 1465/1479 | 1446/1455 |
| Test 4 | 1501/1520 | 1479/1503 | 1463/1476 | 1443/1458 |
| Test 5 | 1497/1523 | 1480/1502 | 1465/1478 | 1447/1457 |
Disclaimer/Publisher’s Note: The statements, opinions and data contained in all publications are solely those of the individual author(s) and contributor(s) and not of MDPI and/or the editor(s). MDPI and/or the editor(s) disclaim responsibility for any injury to people or property resulting from any ideas, methods, instructions or products referred to in the content. |
© 2025 by the authors. Licensee MDPI, Basel, Switzerland. This article is an open access article distributed under the terms and conditions of the Creative Commons Attribution (CC BY) license (https://creativecommons.org/licenses/by/4.0/).
Share and Cite
Lee, J.-S.; Kim, J.-W.; Park, J.-S.; Lee, M.-H.; Lee, H. The Effect of the MgO/Al2O3 Ratio on the Thermal and Refractory Behaviors of Cordierite Ceramics. Materials 2025, 18, 168. https://doi.org/10.3390/ma18010168
Lee J-S, Kim J-W, Park J-S, Lee M-H, Lee H. The Effect of the MgO/Al2O3 Ratio on the Thermal and Refractory Behaviors of Cordierite Ceramics. Materials. 2025; 18(1):168. https://doi.org/10.3390/ma18010168
Chicago/Turabian StyleLee, Jae-Seung, Jin-Woo Kim, Joo-Seok Park, Min-Ho Lee, and Heesoo Lee. 2025. "The Effect of the MgO/Al2O3 Ratio on the Thermal and Refractory Behaviors of Cordierite Ceramics" Materials 18, no. 1: 168. https://doi.org/10.3390/ma18010168
APA StyleLee, J.-S., Kim, J.-W., Park, J.-S., Lee, M.-H., & Lee, H. (2025). The Effect of the MgO/Al2O3 Ratio on the Thermal and Refractory Behaviors of Cordierite Ceramics. Materials, 18(1), 168. https://doi.org/10.3390/ma18010168

