Estimation of the Band Gap of Carbon Nanotube Bundles
Abstract
1. Introduction
2. Model and Methodology
3. Results and Discussion
3.1. Flattened Case
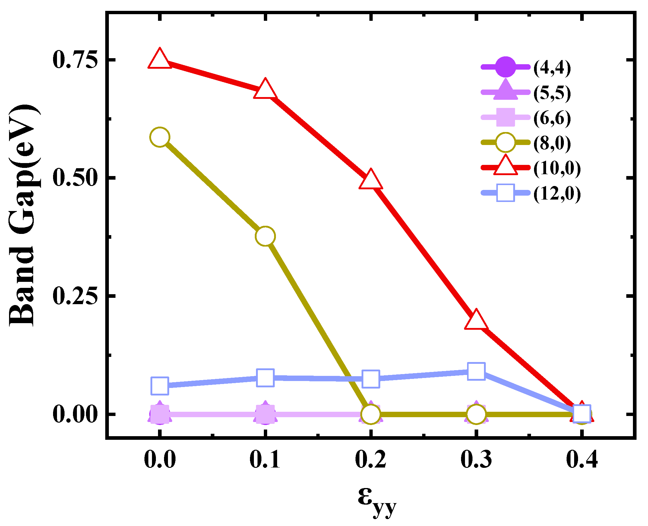
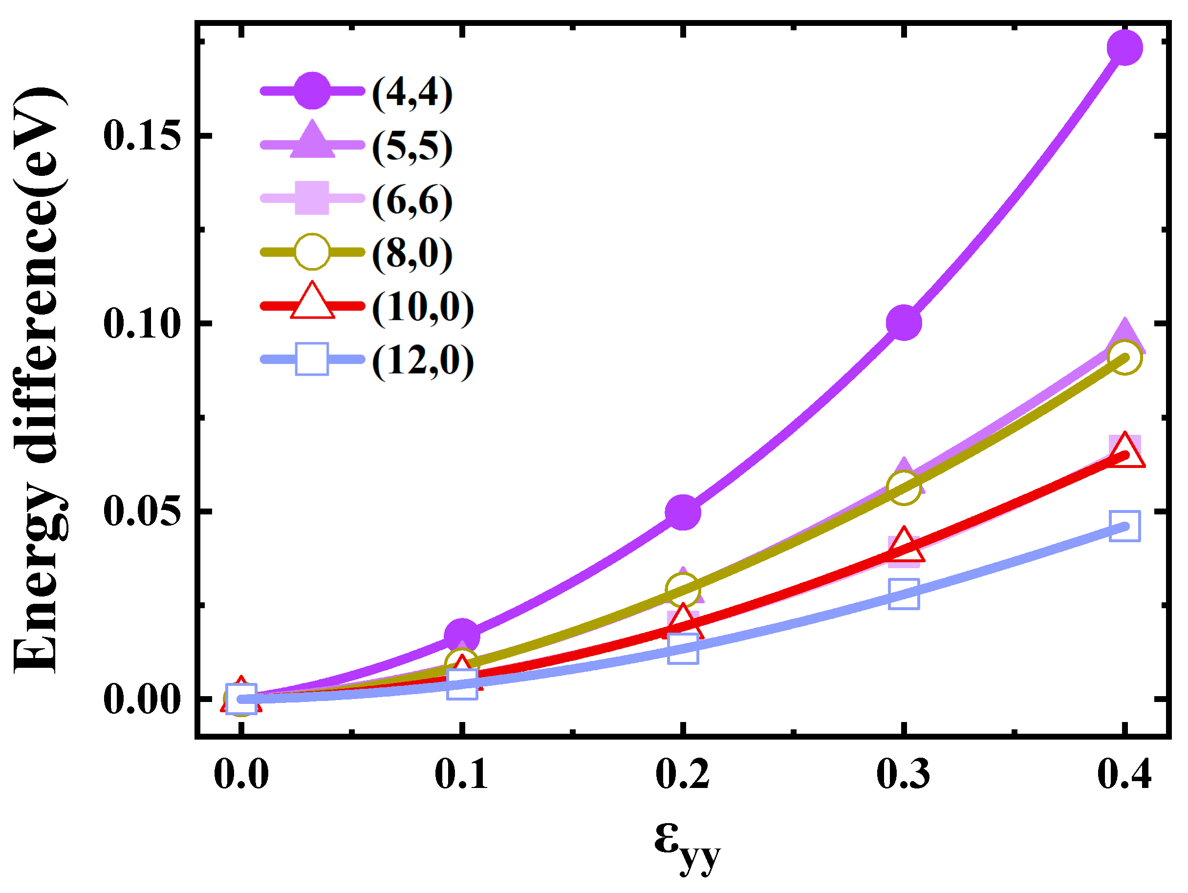
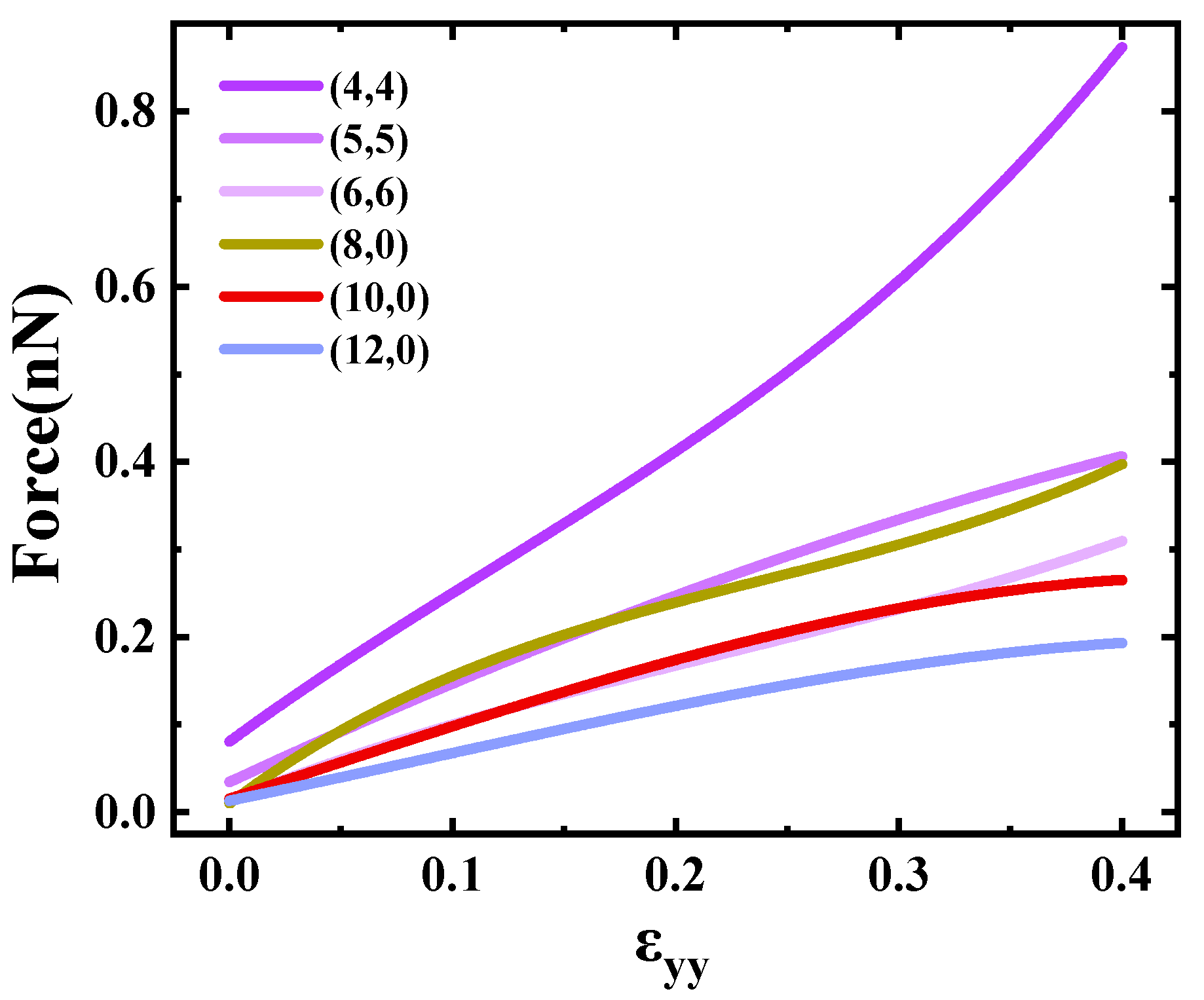
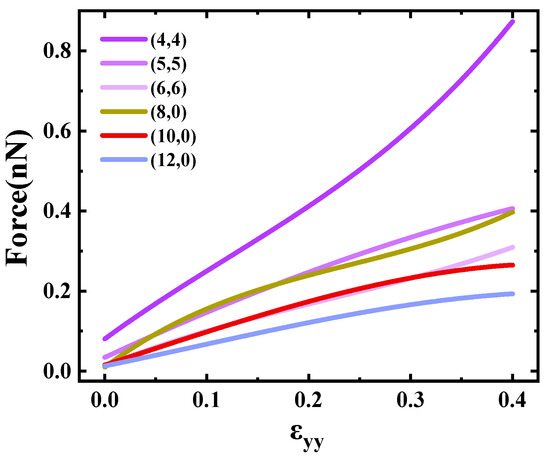
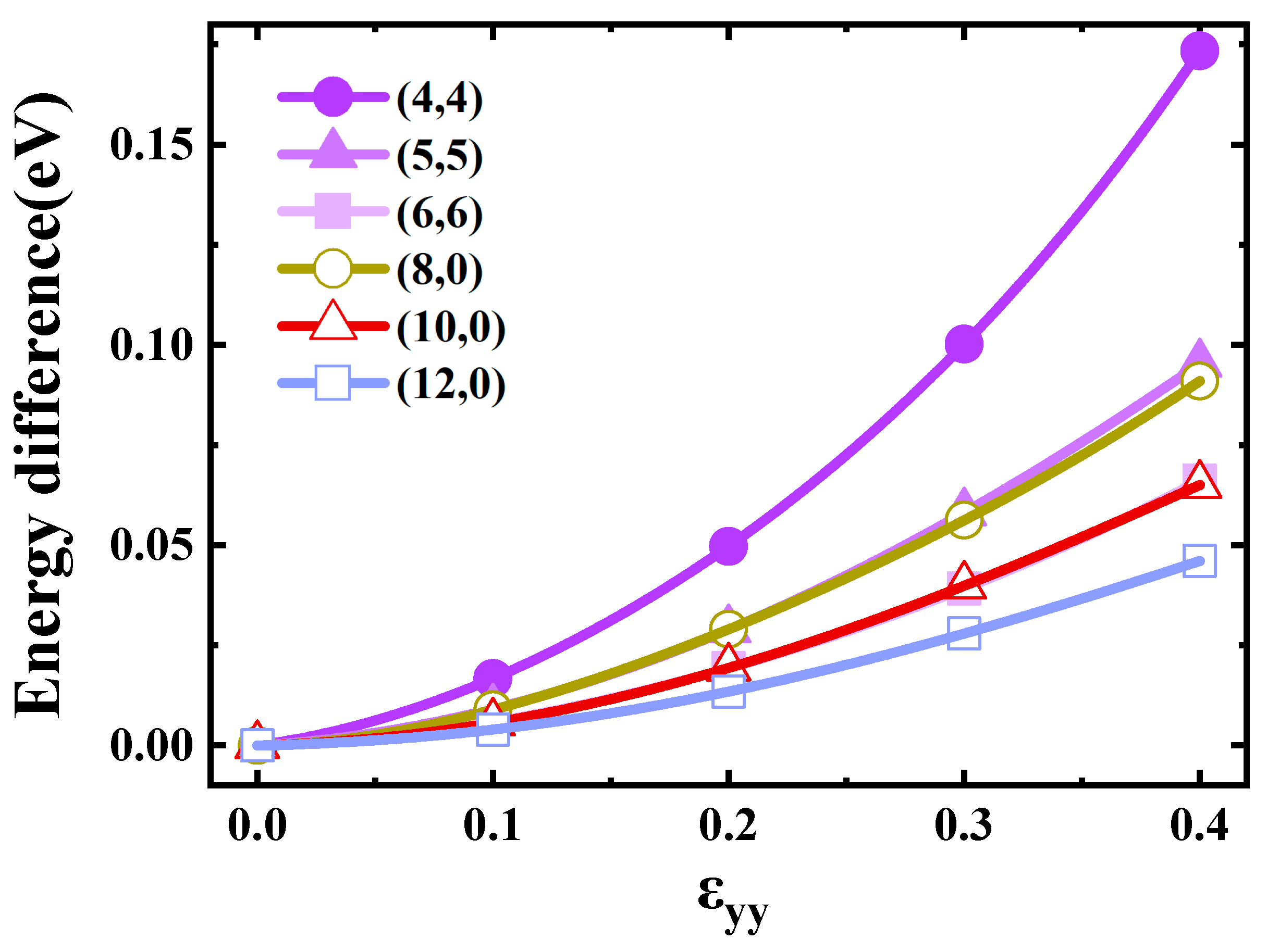
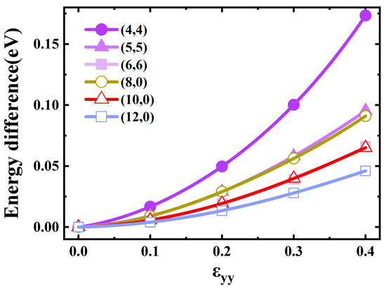
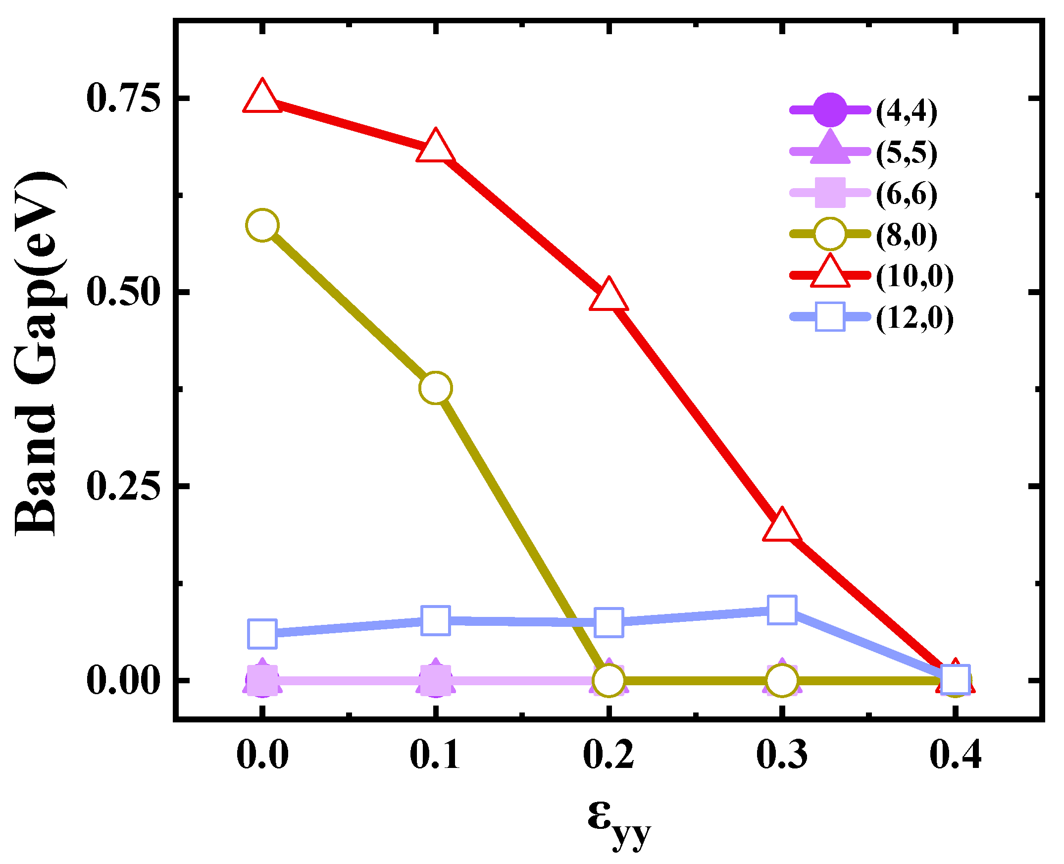
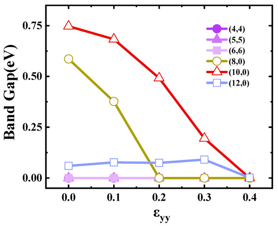
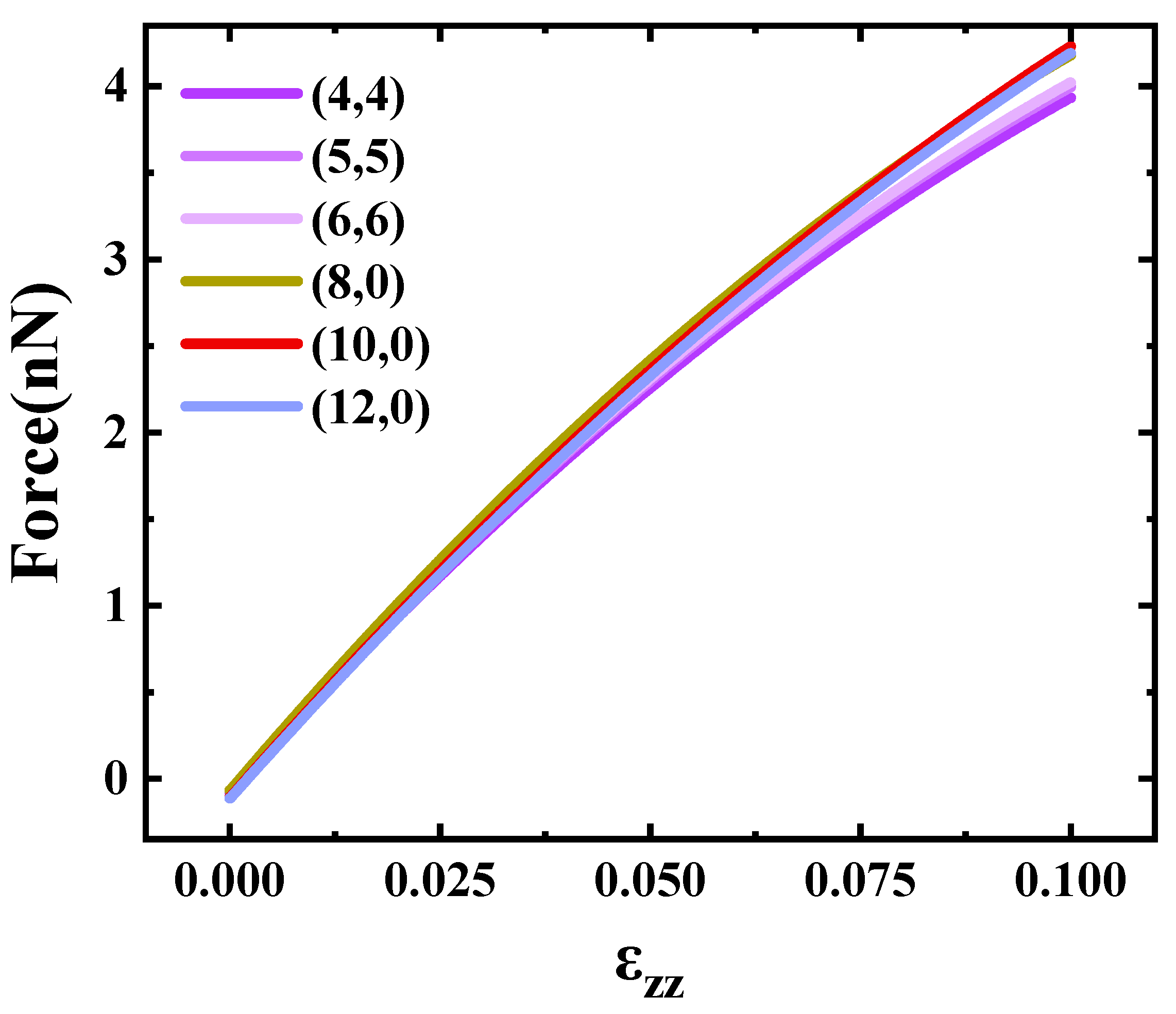
3.2. Tensioned Case
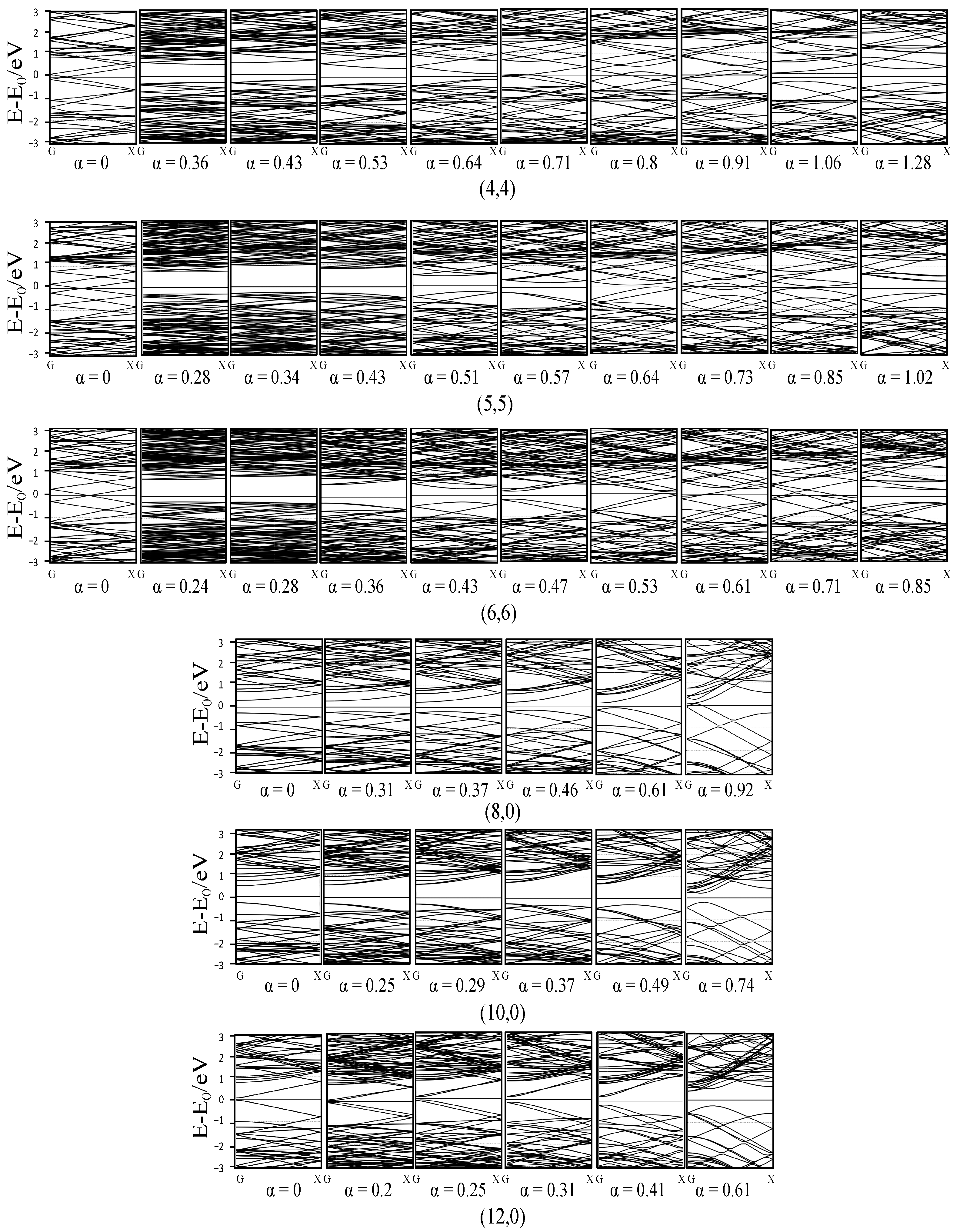
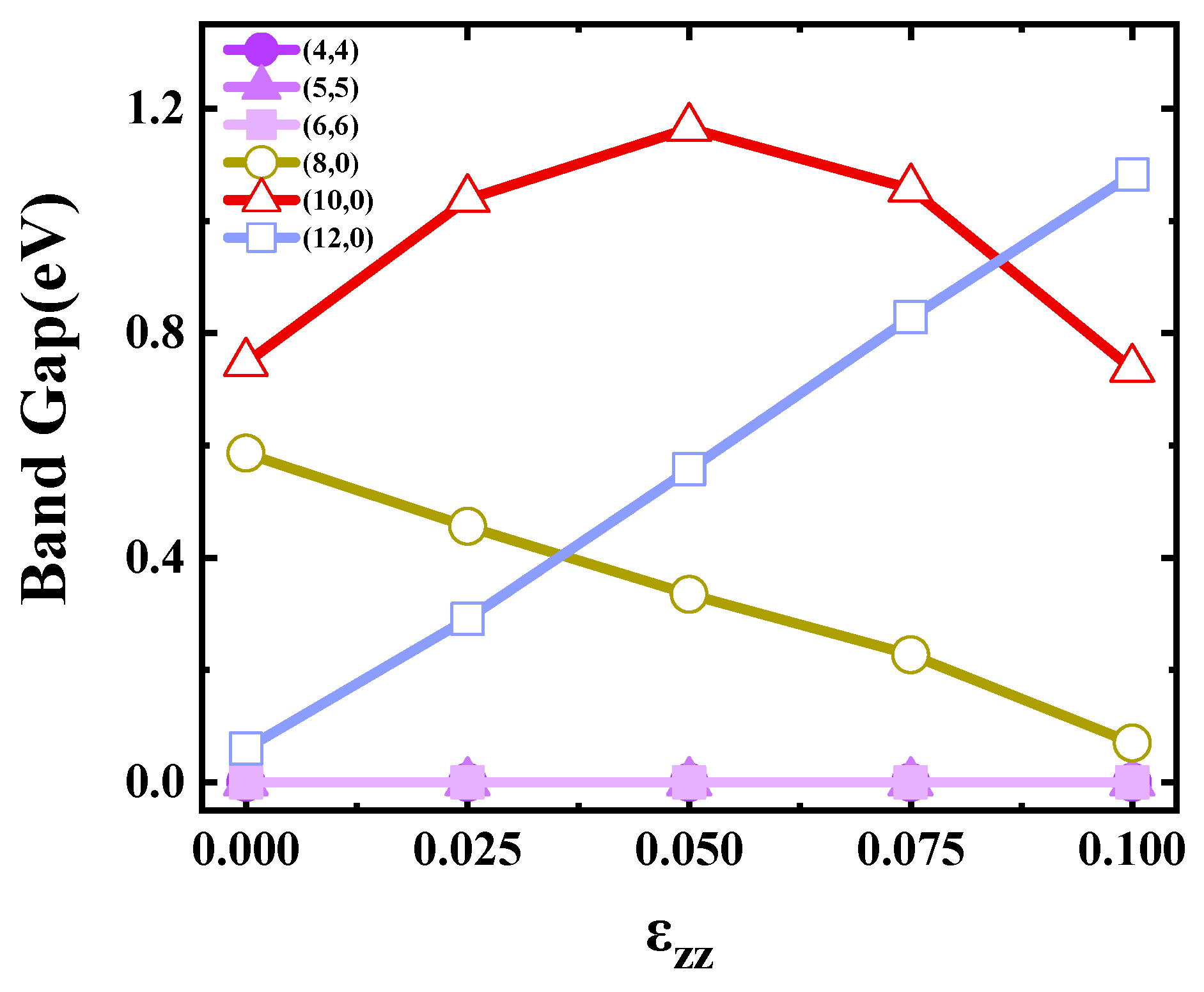
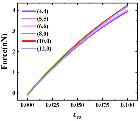
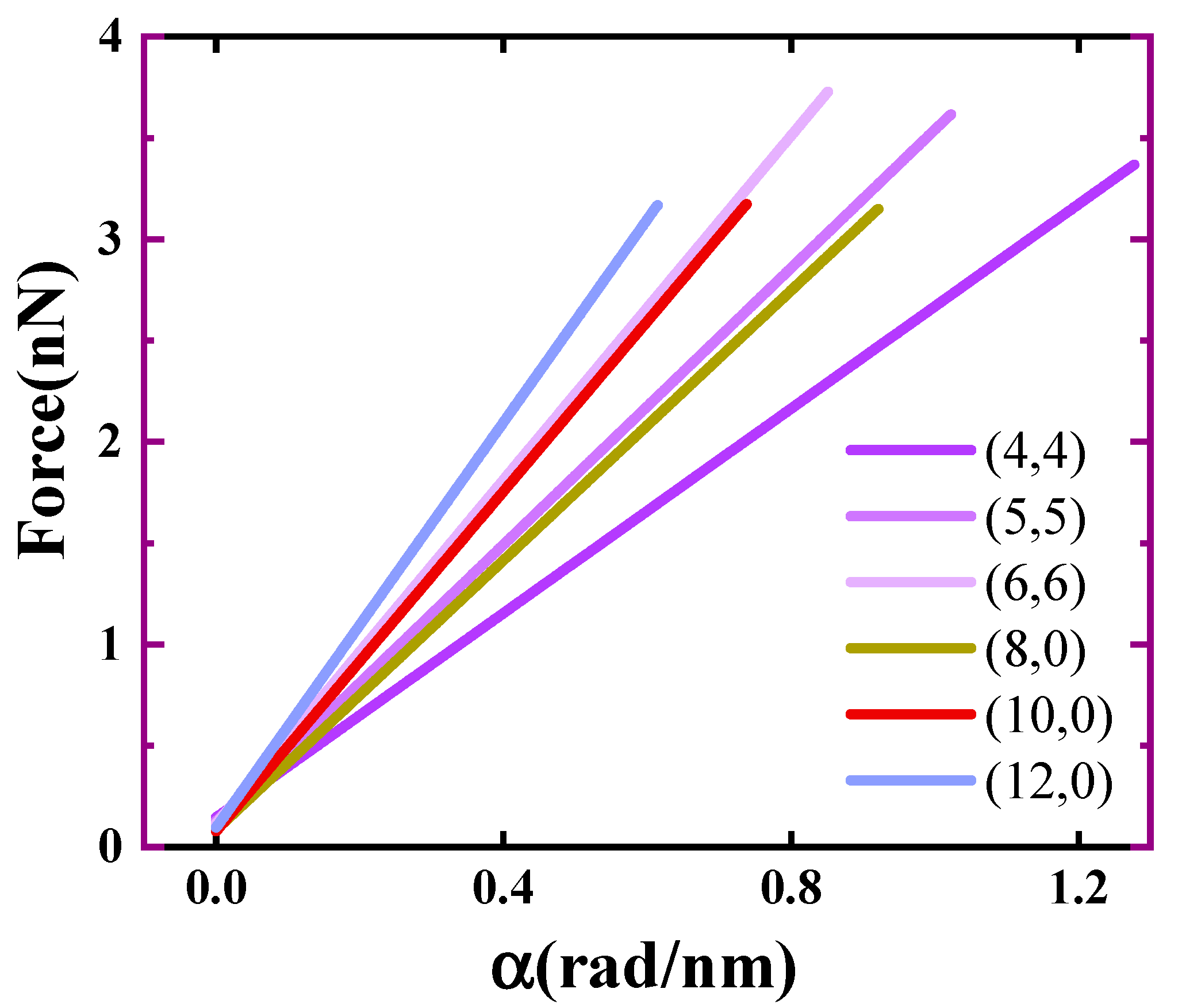
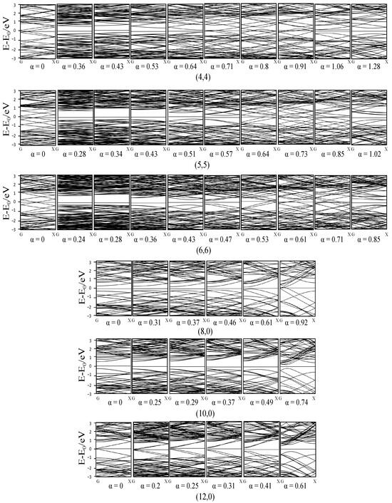
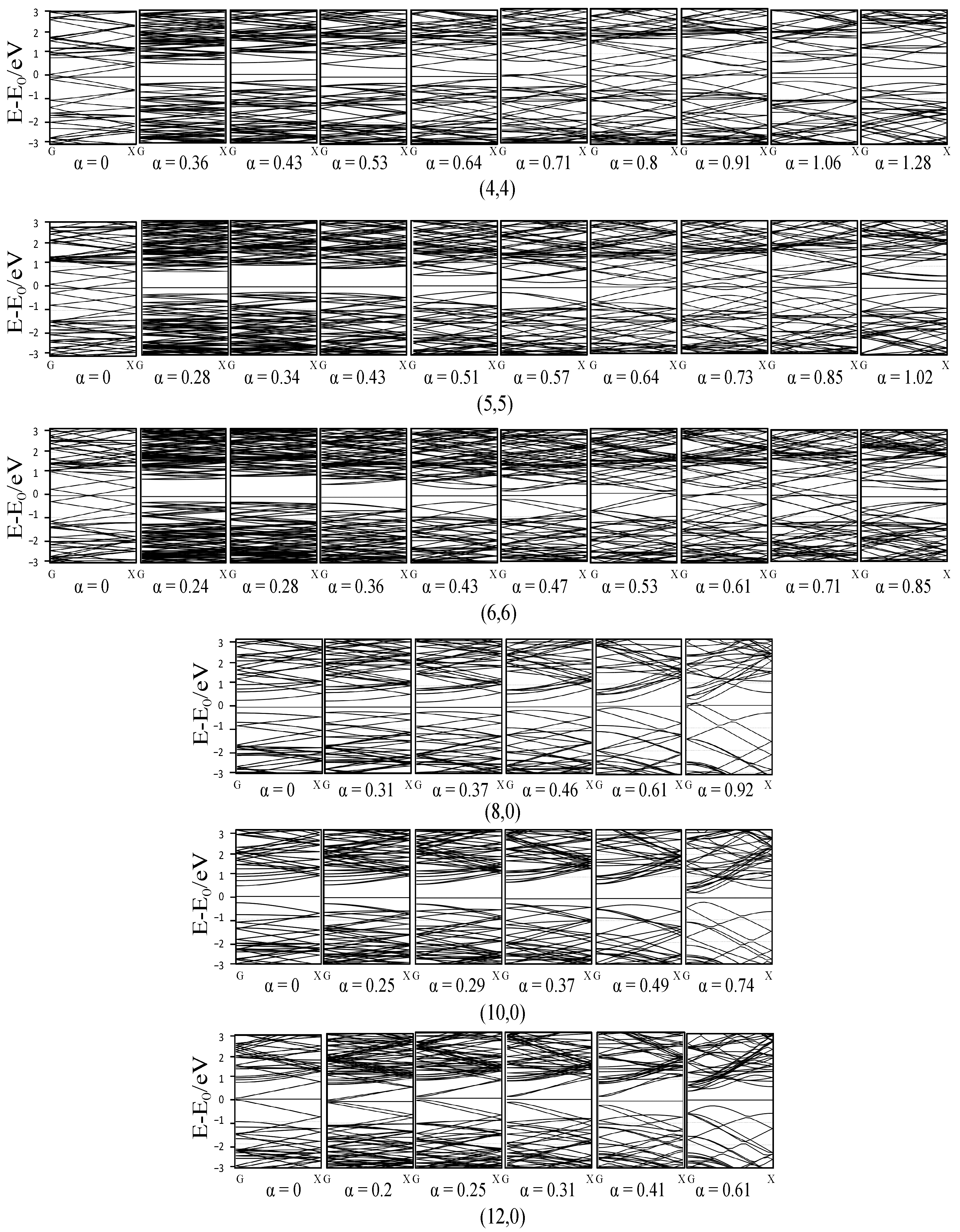
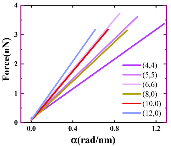
3.3. Torsional Case
3.4. CNTBs’ Discussion
4. Conclusions
Author Contributions
Funding
Institutional Review Board Statement
Informed Consent Statement
Data Availability Statement
Conflicts of Interest
References
- Iijima, S.; Ichihashi, T. Single-shell carbon nanotubes of 1-nm diameter. Nature 1993, 363, 603–605. [Google Scholar] [CrossRef]
- Iijima, S. Helical microtubules of graphitic carbon. Nature 1991, 354, 56–58. [Google Scholar] [CrossRef]
- Treacy, M.M.J.; Ebbesen, T.W.; Gibson, J.M. Exceptionally high Young’s modulus observed for individual carbon nanotubes. Nature 1996, 381, 678–680. [Google Scholar] [CrossRef]
- Krishnan, A.; Dujardin, E.; Ebbesen, T.W.; Yianilos, P.N.; Treacy, M.M.J. Young’s modulus of single-walled nanotubes. Phys. Rev. B 1998, 58, 14013–14019. [Google Scholar] [CrossRef]
- Takakura, A.; Beppu, K.; Nishihara, T.; Fukui, A.; Kozeki, T.; Namazu, T.; Miyauchi, Y.; Itami, K. Strength of carbon nanotubes depends on their chemical structures. Nat. Commun. 2019, 10, 3040. [Google Scholar] [CrossRef] [PubMed]
- Bai, Y.X.; Zhang, R.F.; Ye, X.; Zhu, Z.X.; Xie, H.H.; Shen, B.Y.; Cai, D.L.; Liu, B.F.; Zhang, C.X.; Jia, Z.; et al. Carbon nanotube bundles with tensile strength over 80 GPa. Nat. Nanotechnol. 2018, 13, 589–595. [Google Scholar] [CrossRef] [PubMed]
- Moon, S.; Song, W.; Kim, N.; Lee, J.S.; Na, P.S.; Lee, S.G.; Park, J.; Jung, M.H.; Lee, H.W.; Kang, K.H.; et al. Current-carrying capacity of double-wall carbon nanotubes. Nanotechnology 2007, 18, 235201. [Google Scholar] [CrossRef]
- Ahlskog, M.; Herranen, O.; Johansson, A.; Leppaniemi, J.; Mtsuko, D. Electronic transport in intermediate sized carbon nanotubes. Phys. Rev. B 2009, 79, 155408. [Google Scholar] [CrossRef]
- Coskun, U.C.; Wei, T.-C.; Vishveshwara, S.; Goldbart, P.M.; Bezryadin, A. h/e Magnetic Flux Modulation of the Energy Gap in Nanotube Quantum Dots. Science 2004, 304, 1132–1134. [Google Scholar] [CrossRef][Green Version]
- Frank, S.; Poncharal, P.; Wang, Z.L.; Heer, W.A.d. Carbon Nanotube Quantum Resistors. Science 1998, 280, 1744–1746. [Google Scholar] [CrossRef]
- Fischer, J.E.; Johnson, A.T. Electronic properties of carbon nanotubes. Curr. Opin. Solid State Mater. Sci. 1999, 4, 28–33. [Google Scholar] [CrossRef]
- Wei, H.Q.; Ting, H.Z.J.; Gong, Y.J.; Lue, C.F.; Glukhova, O.E.; Zhan, H.F. Torsional Properties of Bundles with Randomly Packed Carbon Nanotubes. Nanomaterials 2022, 12, 760. [Google Scholar] [CrossRef] [PubMed]
- Asadollahi, D.; Shariati, M. Investigation of shear forces in twisted carbon nanotube bundles using a structural mechanics approach. Acta Mech. 2021, 232, 2425–2441. [Google Scholar] [CrossRef]
- Pereira, M.L.; Oliveira, T.D.; Monteiro, F.F.; Da Cunha, W.F.; Neto, P.H.D.; Ribeiro, L.A. Torsional fracture of carbon nanotube bundles: A reactive molecular dynamics study. Phys. Chem. Chem. Phys. 2022, 24, 15068–15074. [Google Scholar] [CrossRef] [PubMed]
- Singh, R.S.; Takagi, K.; Aoki, T.; Moon, J.H.; Neo, Y.; Iwata, F.; Mimura, H.; Moraru, D. Precise Deposition of Carbon Nanotube Bundles by Inkjet-Printing on a CMOS-Compatible Platform. Materials 2022, 15, 4935. [Google Scholar] [CrossRef] [PubMed]
- Azam, M.A.; Alias, F.M.; Tack, L.W.; Seman, R.; Taib, M.F.M. Electronic properties and gas adsorption behaviour of pristine, silicon-, and boron-doped (8,0) single-walled carbon nanotube: A first principles study. J. Mol. Graph. Model. 2017, 75, 85–93. [Google Scholar] [CrossRef]
- Kang, Y.J.; Kim, Y.H.; Chang, K.J. Electrical transport properties of nanoscale devices based on carbon nanotubes. Curr. Appl. Phys. 2009, 9, S7–S11. [Google Scholar] [CrossRef]
- Khademhosseini, V.; Dideban, D.; Ahmadi, M.T.; Ismail, R. The impact of vacancy defects on the performance of a single-electron transistor with a carbon nanotube island. J. Comput. Electron. 2019, 18, 428–435. [Google Scholar] [CrossRef]
- Fagan, S.B.; da Silva, L.B.; Mota, R. Ab initio study of radial deformation plus vacancy on carbon nanotubes: Energetics and electronic properties. Nano Lett. 2003, 3, 289–291. [Google Scholar] [CrossRef]
- Berd, M.; Moussi, K.; Aouabdia, Y.; Benchallal, L.; Chahi, G.; Kahouadji, B. From metallic to semiconductor conversion of single-walled carbon nanotubes by chlorination. Chem. Phys. Lett. 2021, 781, 138988. [Google Scholar] [CrossRef]
- Sinha, S.; Bandyopadhyay, J. Metal to semiconductor conversion by hydrogenation in guanine functionalized SWCNT. Microsyst. Technol.-Micro-Nanosyst.-Inf. Storage Process. Syst. 2019, 25, 1863–1874. [Google Scholar] [CrossRef]
- Shtogun, Y.V.; Woods, L.M. Electronic Structure Modulations of Radially Deformed Single Wall Carbon Nanotubes under Transverse External Electric Fields. J. Phys. Chem. C 2009, 113, 4792–4796. [Google Scholar] [CrossRef]
- Mazzoni, M.; Chacham, H. Bandgap closure of a flattened semiconductor carbon nanotube: A first-principles study. Appl. Phys. Lett. 2000, 76, 1561–1563. [Google Scholar] [CrossRef]
- Peng, S.; Cho, K. Nano electro mechanics of semiconducting carbon nanotube. J. Appl. Mech. Trans. Asme 2002, 69, 451–453. [Google Scholar] [CrossRef]
- Shtogun, Y.V.; Woods, L.M. Electronic and magnetic properties of deformed and defective single wall carbon nanotubes. Carbon 2009, 47, 3252–3262. [Google Scholar] [CrossRef]
- Shan, B.; Lakatos, G.W.; Peng, S.; Cho, K.J. First-principles study of band-gap change in deformed nanotubes. Appl. Phys. Lett. 2005, 87, 173109. [Google Scholar] [CrossRef]
- Nishidate, K.; Hasegawa, M. Universal band gap modulation by radial deformation in semiconductor single-walled carbon nanotubes. Phys. Rev. B 2008, 78, 195403. [Google Scholar] [CrossRef]
- Gulseren, O.; Yildirim, T.; Ciraci, S.; Kilic, C. Reversible band-gap engineering in carbon nanotubes by radial deformation. Phys. Rev. B 2002, 65, 155410. [Google Scholar] [CrossRef]
- Kato, K.; Koretsune, T.; Saito, S. Energetics and electronic properties of twisted single-walled carbon nanotubes. Phys. Rev. B 2012, 85, 115448. [Google Scholar] [CrossRef]
- Vercosa, D.G.; Barros, E.B.; Souza, A.G.; Mendes, J.; Samsonidze, G.G.; Saito, R.; Dresselhaus, M.S. Torsional instability of chiral carbon nanotubes. Phys. Rev. B 2010, 81, 165430. [Google Scholar] [CrossRef]
- Yang, L.; Han, J. Electronic structure of deformed carbon nanotubes. Phys. Rev. Lett. 2000, 85, 154–157. [Google Scholar] [CrossRef] [PubMed]
- Blochl, P.E. Projector augmented-wave method. Phys. Rev. B 1994, 50, 17953–17979. [Google Scholar] [CrossRef] [PubMed]
- Perdew, J.P.; Burke, K.; Ernzerhof, M. Generalized Gradient Approximation Made Simple. Phys. Rev. Lett. 1996, 77, 3865. [Google Scholar] [CrossRef] [PubMed]
- Langreth, D.C.; Mehl, M.J. Beyond the local-density approximation in calculations of ground-state electronic properties. Phys. Rev. B 1983, 28, 1809–1834. [Google Scholar] [CrossRef]
- Clark, S.J.; Segall, M.D.; Pickard, C.J.; Hasnip, P.J.; Probert, M.J.; Refson, K.; Payne, M.C. First principles methods using CASTEP. Z. Krist. 2005, 220, 567–570. [Google Scholar] [CrossRef]
- Hongzhiwei Technology. Available online: https://cloud.hzwtech.com (accessed on 1 September 2023).
- Najim, A.; Bajjou, O.; Bakour, A.; Rahmani, K. Electronic and optical properties of SWCNTs and spin-orbit coupling effect on their electronic structures: First-principle computing. J. Electron Spectrosc. Relat. Phenom. 2023, 265, 147321. [Google Scholar] [CrossRef]
- Thompho, S.; Saengsawang, O.; Rungrotmongkol, T.; Kungwan, N.; Hannongbua, S. Structure and electronic properties of deformed single-walled carbon nanotubes: Quantum calculations. Struct. Chem. 2018, 29, 39–47. [Google Scholar] [CrossRef]
- Kinoshita, Y.; Ohno, N. Electronic structures of boron nitride nanotubes subjected to tension, torsion, and flattening: A first-principles DFT study. Phys. Rev. B 2010, 82, 085433. [Google Scholar] [CrossRef]
- Ding, Y.; Sheng, L.-M. First-principles study of torsional single-walled carbon nanotubes. Acta Phys. Sin. 2023, 72, 197302. [Google Scholar] [CrossRef]
- Ouyang, M.; Huang, J.-L.; Cheung, C.L.; Lieber, C.M. Energy Gaps in “Metallic” Single-Walled Carbon Nanotubes. Science 2001, 292, 702–705. [Google Scholar] [CrossRef]
- Okada, S.; Oshiyama, A.; Saito, S. Pressure and orientation effects on the electronic structure of carbon nanotube bundles. J. Phys. Soc. Jpn. 2001, 70, 2345–2352. [Google Scholar] [CrossRef]






















| SWCNTs’ k-Point | Flattening | Tension | Torsion |
|---|---|---|---|
| (4,4) | (1,1,9) | (1,1,8) | (1,1,2–5) |
| (5,5) | (1,1,9) | (1,1,8) | (1,1,2–5) |
| (6,6) | (1,1,9) | (1,1,8) | (1,1,2–5) |
| (8,0) | (1,1,8) | (1,1,7) | (1,1,3–8) |
| (10,0) | (1,1,8) | (1,1,7) | (1,1,3–8) |
| (12,0) | (1,1,8) | (1,1,7) | (1,1,3–8) |
Disclaimer/Publisher’s Note: The statements, opinions and data contained in all publications are solely those of the individual author(s) and contributor(s) and not of MDPI and/or the editor(s). MDPI and/or the editor(s) disclaim responsibility for any injury to people or property resulting from any ideas, methods, instructions or products referred to in the content. |
© 2024 by the authors. Licensee MDPI, Basel, Switzerland. This article is an open access article distributed under the terms and conditions of the Creative Commons Attribution (CC BY) license (https://creativecommons.org/licenses/by/4.0/).
Share and Cite
Ding, Y.; Chen, J.-Z. Estimation of the Band Gap of Carbon Nanotube Bundles. Materials 2024, 17, 1530. https://doi.org/10.3390/ma17071530
Ding Y, Chen J-Z. Estimation of the Band Gap of Carbon Nanotube Bundles. Materials. 2024; 17(7):1530. https://doi.org/10.3390/ma17071530
Chicago/Turabian StyleDing, Yi, and Jing-Zhe Chen. 2024. "Estimation of the Band Gap of Carbon Nanotube Bundles" Materials 17, no. 7: 1530. https://doi.org/10.3390/ma17071530
APA StyleDing, Y., & Chen, J.-Z. (2024). Estimation of the Band Gap of Carbon Nanotube Bundles. Materials, 17(7), 1530. https://doi.org/10.3390/ma17071530
