Acceleration Mechanism of Steel Slag Hydration Using THEED
Abstract
1. Introduction
2. Experimental Section
2.1. Materials
2.2. Testing Methods
2.2.1. Compressive Strength
2.2.2. Isothermal Calorimetry
2.2.3. XRD and TG Testing
2.2.4. Pore Structure Measurement
2.2.5. Morphology Observation
2.2.6. Elemental Concentrations of the Aqueous Phase of the SS Pastes
3. Results and Discussion
3.1. Compressive Strength
3.2. Hydration Exotherm of the Hydrating SS Pastes
3.3. XRD of Hydrating SS Pastes
3.4. TG/DTG Analysis of Hydrating SS Pastes
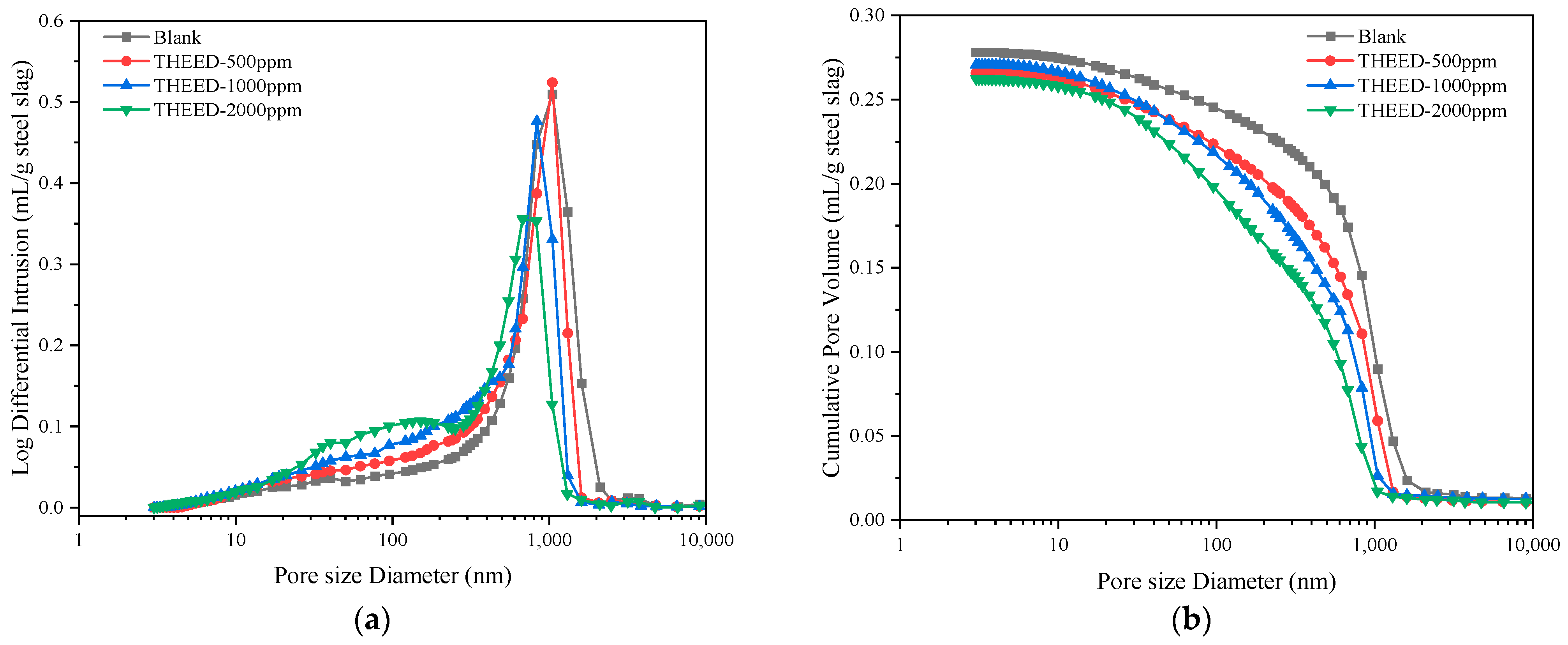
3.5. Pore Structure of Hydrating SS Pastes
3.6. Morphologies of Hardened SS Pastes
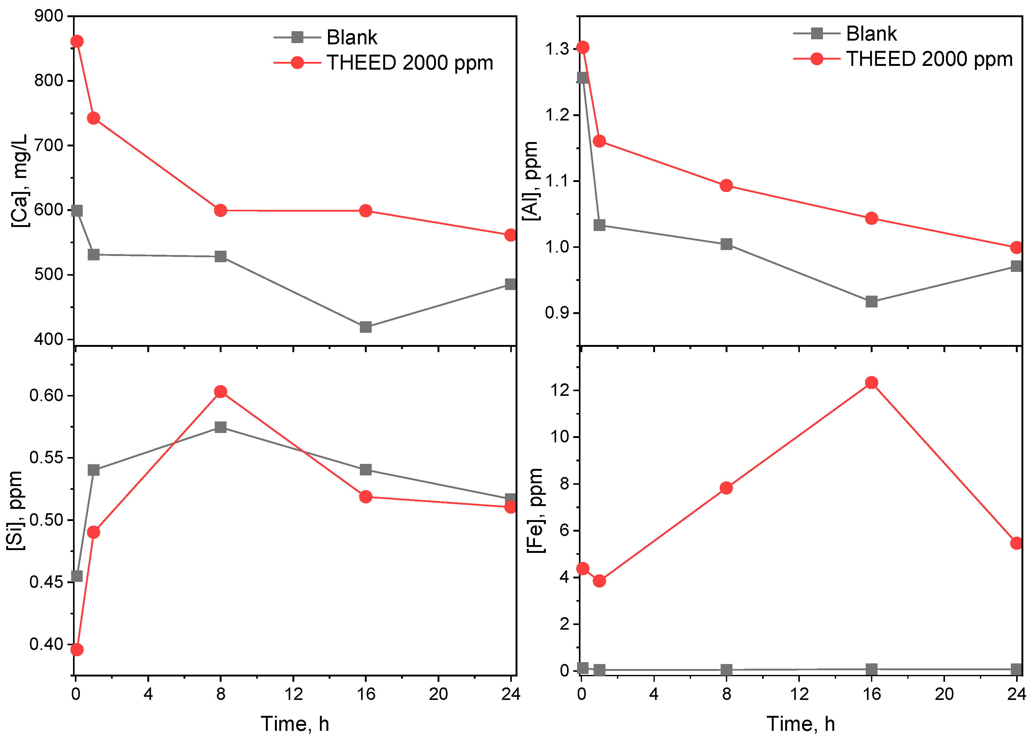
3.7. Dissolution and Precipitate in Hydrating SS Pastes
3.8. Acceleration Mechanism of THEED
4. Conclusions
- (1)
- THEED additions significantly increase the compressive strength of hardened steel slag paste in the early (3 d) and late (28 d) stages. The enhancement effect increases with the dosage of THEED. At a concentration of 2000 ppm, THEED increases the compressive strength of hardened SS pastes by 733%, 665%, 545% at 3 d, 7 d, and 28 d, respectively.
- (2)
- THEED additions improve the hydration degree of SS by accelerating the hydration of the aluminum phase (C3A, C12A7) and the ferrite phase (C2F) to form Mc and Pa in the presence of CaCO3. Also, the silicate hydration is increased by THEED. In this way, THEED refines the pore structure of the hardened steel slag paste by increasing the pore volume with a diameter below 300 nm to achieve an enhancement in compressive strength.
- (3)
- A working mechanism of THEED for the enhancement is proposed. The chelating solubilization effect of THEED is believed to offer the driving force for promoting the hydration of SS. The dissolution of SS is accelerated by THEED to promote the precipitation of hydration products.
Author Contributions
Funding
Institutional Review Board Statement
Informed Consent Statement
Data Availability Statement
Conflicts of Interest
References
- Feng, J.; Sun, J. A comparison of the 10-year properties of converter steel slag activated by high temperature and an alkaline activator. Constr. Build. Mater. 2020, 234, 116948. [Google Scholar] [CrossRef]
- Chang, L.; Liu, H.; Wang, J.; Liu, H.; Song, L.; Wang, Y.; Cui, S. Effect of chelation via ethanol-diisopropanolamine on hydration of pure steel slag. Constr. Build. Mater. 2022, 357, 129372. [Google Scholar] [CrossRef]
- Zhuang, S.; Wang, Q. Inhibitio+\n mechanisms of steel slag on the early-age hydration of cement. Cem. Concr. Res. 2021, 140, 06283. [Google Scholar] [CrossRef]
- Luo, T.; Wang, X.; Zhuang, S. Value-added utilization of steel slag as a hydration heat controlling material to prepare sustainable and green mass concrete. Case Stud. Constr. Mater. 2023, 19, e02619. [Google Scholar] [CrossRef]
- Wang, J.; Chang, L.; Wang, Y.; Liu, H.; Yue, D.; Cui, S.; Lan, M. Research status of improving cementitious activity and volume stability of steel slag. Mater. Rep. 2023, 37, 119–127. [Google Scholar]
- Kriskova, L.; Pontikes, Y.; Cizer, Ö.; Mertens, G.; Veulemans, W.; Geysen, D.; Jones, P.T.; Vandewalle, L.; Van Balen, K.; Blanpain, B. Effect of mechanical activation on the hydraulic properties of stainless steel slags. Cem. Concr. Res. 2012, 42, 778–788. [Google Scholar] [CrossRef]
- Tamas, K.; Gábor, M.; Kumar, S.; Ferenc, K. Carbon-dioxide sequestration by mechanical activation of Linz-Donawitz steel slag; the effect of water on CO2 capture. Fuel 2023, 352, 128951. [Google Scholar]
- Rakhimova, N.R.; Rakhimov, R.Z. A review on alkali–activated slag cementsincorporated with supplementary materials. J. Sustain. Cem. Mater. 2014, 3, 61–74. [Google Scholar]
- Salman, M.; Cizer, O.; Pontikes, Y.; Vandewalle, L.; Blanpain, B.; Van Balen, K. Effect of curing temperatures on the alkali activation of crystalline continuous casting stainless steel slag. Constr. Build. Mater. 2014, 71, 308–316. [Google Scholar] [CrossRef]
- Lu, X.; Dai, W.; Liu, X.; Cang, D.; Zhou, L. Effect of basicity on cementitious activity of modified electric arc furnace steel slag. Metall. Res. Technol. 2019, 116, 217. [Google Scholar] [CrossRef]
- Chang, L.; Liu, H.; Yue, D.; Wang, Y.; Cui, S.; Wang, J. Effect of ethanol-diisopropanolamine on the hydration and mechanical properties of steel slag-cement composite system. J. Adv. Concr. Technol. 2022, 20, 525–534. [Google Scholar] [CrossRef]
- Xu, Z.; Li, W.; Sun, J.; Hu, Y.; Xu, K.; Ma, S.; Shen, X. Hydration of Portland cement with alkanolamines by thermal analysis. J. Therm. Anal. Calorim. 2017, 131, 37–47. [Google Scholar] [CrossRef]
- Zunino, F.; Scrivener, K. Assessing the effect of alkanolamine grinding aids in limestone calcined clay cements hydration. Constr. Build. Mater. 2021, 266, 121293. [Google Scholar] [CrossRef]
- Aliakbar, D.; Arezoo, G.; Seyed, E.V. Study of the effect of calcium nitrate, calcium formate, triethanolamine, and triisopropanolamine on compressive strength of Portland-pozzolana cement. Case Stud. Constr. Mater. 2023, 18, e01799. [Google Scholar]
- Han, J.; Wang, K.; Shi, J.; Wang, Y. Mechanism of triethanolamine on Portland cement hydration process and microstructure characteristics. Constr. Build. Mater. 2015, 93, 457–462. [Google Scholar] [CrossRef]
- Lu, Z.; Kong, X.; Jansen, D.; Zhang, C.; Wang, J.; Pang, X.; Yin, J. Towards a further understanding of cement hydration in the presence of triethanolamine. Cem. Concr. Res. 2020, 132, 106041. [Google Scholar] [CrossRef]
- Heinz, D.; Göbel, M.; Hilbig, H.; Urbonas, L.; Bujauskaite, G. Effect of TEA on fly ash solubility and early age strength of mortar. Cem. Concr. Res. 2010, 40, 392–397. [Google Scholar] [CrossRef]
- Zhang, Y.; Kong, X.; Lu, Z.; Lu, Z.; Zhang, Q.; Dong, B.; Xing, F. Influence of triethanolamine on the hydration product of portlandite in cement paste and the mechanism. Cem. Concr. Res. 2016, 87, 64–76. [Google Scholar]
- Wang, J.; Chang, L.; Yue, D.; Zhou, Y.; Liu, H.; Wang, Y.; Yang, S.; Cui, S. Effect of chelating solubilization via different alkanolamines on the dissolution properties of steel slag. J. Clean. Prod. 2022, 365, 132824. [Google Scholar] [CrossRef]
- Ma, S.; Li, W.; Shen, X. Study on the physical and chemical properties of Portland cement with THEED. Constr. Build. Mater. 2019, 213, 617–626. [Google Scholar] [CrossRef]
- Xu, Z.; Li, W.; Sun, J.; Hu, Y.; Xu, K.; Ma, S.; Shen, X. Research on cement hydration and hardening with different alkanolamines. Constr. Build. Mater. 2017, 141, 296–306. [Google Scholar] [CrossRef]
- Liu, H.; Wang, J.; Wang, J.; Cui, S. Influence of Theed on strength development and hydration of blended cementitious systems containing titanium slag. Adv. Cem. Res. 2020, 32, 234–243. [Google Scholar] [CrossRef]
- Lu, X.; Ye, Z.; Zhang, L.; Hou, P.; Cheng, X. The influence of ethanol-diisopropanolamine on the hydration and mechanical properties of Portland cement. Constr. Build. Mater. 2017, 135, 484–489. [Google Scholar] [CrossRef]
- Chen, J.; Jia, J.; Zhu, M.; Zhang, L. Advances of alkanolamine in hydration of Portland cement. Mater. Today Commun. 2023, 37, 107129. [Google Scholar] [CrossRef]
- Chang, J.; Xiong, C. Accelerated carbonation mechanism of monocarboaluminate under alkaline envferritement. J. Dalian Univ. Technol. 2019, 59, 536–542. [Google Scholar]
- Teng, Y.; Liu, S.; Zhang, Z.; Xue, J.; Guan, X. Effect of triethanolamine on the chloride binding capacity of cement paste with a high volume of fly ash. Constr. Build. Mater. 2022, 315, 125612. [Google Scholar] [CrossRef]
- Cui, C.; Yu, C.; Zhao, J.; Zheng, J. Steel Slag/Precarbonated Steel Slag as a Partial Substitute for Portland Cement: Effect on the Mechanical Properties and Microstructure of Stabilized Soils. Ksce J. Civ. Eng. 2022, 26, 3803–3814. [Google Scholar] [CrossRef]
- Zhao, J.; Li, Z.; Zhu, H.; Liu, Q.; Liu, J. Dissolution-precipitation hydration mechanism of steel slag based on ion exchange of a layered alkali-activator. Constr. Build. Mater. 2024, 411, 134795. [Google Scholar] [CrossRef]
- Ghorbani, S.; Sun, Y.; Mohan, M.; Matthys, S. Effect of copper and stainless steel slags on fresh, mechanical and pore structure properties of alkali activated ground granulated blast furnace slag. Case Stud. Constr. Mater. 2023, 18, E01981. [Google Scholar] [CrossRef]
- Zhang, S.; Niu, D. Hydration and mechanical properties of cement-steel slag system incorporating different activators. Constr. Build. Mater. 2023, 363, 129981. [Google Scholar] [CrossRef]










| Chemical Composition | CaO | SiO2 | Al2O3 | Fe2O3 | MgO | SO3 | Cl | LOI | Others |
|---|---|---|---|---|---|---|---|---|---|
| wt% | 39.58 | 12.41 | 4.05 | 25.57 | 5.54 | 0.35 | 0.12 | 1.85 | 10.53 |
| Mineral Composition | C3S | C2S | C3A | C12A7 | C2F | FeO | Ca(OH)2 | CaCO3 |
|---|---|---|---|---|---|---|---|---|
| wt% | 6.48 | 27.78 | 7.95 | 0.57 | 9.78 | 12.32 | 0.64 | 0.88 |
Disclaimer/Publisher’s Note: The statements, opinions and data contained in all publications are solely those of the individual author(s) and contributor(s) and not of MDPI and/or the editor(s). MDPI and/or the editor(s) disclaim responsibility for any injury to people or property resulting from any ideas, methods, instructions or products referred to in the content. |
© 2024 by the authors. Licensee MDPI, Basel, Switzerland. This article is an open access article distributed under the terms and conditions of the Creative Commons Attribution (CC BY) license (https://creativecommons.org/licenses/by/4.0/).
Share and Cite
Yue, D.; Wang, J.; Huo, P.; Chang, L.; He, D.; Cui, S.; Liu, H. Acceleration Mechanism of Steel Slag Hydration Using THEED. Materials 2024, 17, 858. https://doi.org/10.3390/ma17040858
Yue D, Wang J, Huo P, Chang L, He D, Cui S, Liu H. Acceleration Mechanism of Steel Slag Hydration Using THEED. Materials. 2024; 17(4):858. https://doi.org/10.3390/ma17040858
Chicago/Turabian StyleYue, Deyu, Jianfeng Wang, Pengchen Huo, Lei Chang, Dingyong He, Suping Cui, and Hui Liu. 2024. "Acceleration Mechanism of Steel Slag Hydration Using THEED" Materials 17, no. 4: 858. https://doi.org/10.3390/ma17040858
APA StyleYue, D., Wang, J., Huo, P., Chang, L., He, D., Cui, S., & Liu, H. (2024). Acceleration Mechanism of Steel Slag Hydration Using THEED. Materials, 17(4), 858. https://doi.org/10.3390/ma17040858

