Abstract
There is an urgent need to develop novel and high-performance catalysts for chlorinated volatile organic compound oxidation as a co-benefit of NOx. In this work, HSiW/CeO2 was used for chlorobenzene (CB) oxidation as a co-benefit of NOx reduction and the inhibition mechanism of NH3 was explored. CB oxidation over HSiW/CeO2 primarily followed the Mars–van–Krevelen mechanism and the Eley-Rideal mechanism, and the CB oxidation rate was influenced by the concentrations of surface adsorbed CB, Ce4+ ions, lattice oxygen species, gaseous CB, and surface adsorbed oxygen species. NH3 not only strongly inhibited CB adsorption onto HSiW/CeO2, but also noticeably decreased the amount of lattice oxygen species; hence, NH3 had a detrimental effect on the Mars–van–Krevelen mechanism. Meanwhile, NH3 caused a decrease in the amount of oxygen species adsorbed on HSiW/CeO2, which hindered the Eley-Rideal mechanism of CB oxidation. Hence, NH3 significantly hindered CB oxidation over HSiW/CeO2. This suggests that the removal of NOx and CB over this catalyst operated more like a two-stage process rather than a synergistic one. Therefore, to achieve simultaneous NOx and CB removal, it would be more meaningful to focus on improving the performances of HSiW/CeO2 for NOx reduction and CB oxidation separately.
1. Introduction
Volatile organic compounds (VOCs) are important precursors for the formation of secondary pollutants such as fine particles and ozone, which leads to atmospheric environmental problems such as haze and photochemical smog [1,2,3]. Among them, chlorinated volatile organic compounds (Cl-VOCs) are particularly concerning due to their high toxicity towards living organisms and their persistence in the environment [4,5]. Therefore, there is a pressing need to strictly regulate and control the release of these pollutants. In various industrial processes, such as steel sintering, waste incineration, and coking, Cl-VOCs are often found in coexistence with nitrogen oxides (NOx, x = 1 and 2) in flue gases [6]. Currently, selective catalytic reduction (SCR) of NOx with NH3 has been considered a promising technology to control NOx emissions from these industrial processes [7]. Therefore, the catalytic oxidation of harmful Cl-VOCs to non-toxic CO2, H2O, and soluble HCl using SCR catalysts may be an economically viable and environmentally friendly technology to control the emission of Cl-VOCs from flue gases in these industries [8].
However, the traditional commercial SCR catalyst (i.e., V2O5-WO3/TiO2) has encountered some challenges when it comes to the catalytic oxidation of Cl-VOCs, which include the low activity and accumulation of polychlorinated species [9]. In an effort to overcome these limitations, some researchers have attempted to enhance the performance of V2O5-WO3/TiO2 for the catalytic oxidation of Cl-VOCs through various modifications. For instance, Li et al. discovered that the loading of Ru significantly reduced the kinetic barriers associated with both C–Cl cleavage and HCl formation on V2O5-WO3/TiO2, resulting in a substantial improvement in the effectiveness of chlorobenzene (CB) oxidation [10]. Similarly, Si et al. observed that loading Sb onto V2O5-WO3/TiO2 not only weakened the Lewis acid sites on the surface but also enhanced the formation of oxygen vacancies. Therefore, the Sb-doped V2O5-WO3/TiO2 catalyst had high CB conversion efficiency while minimizing the formation of polychlorinated species [11]. However, despite these modifications, the CB oxidation activity and selectivities of CO2 and HCl of these modified V2O5-WO3/TiO2 catalysts still fall short of being satisfactory. Additionally, these modified catalysts exhibit low N2 selectivity, have a narrow temperature range for optimal performance, and rely on the use of toxic vanadium pentoxide. These drawbacks restrict the application of these modified V2O5-WO3/TiO2 catalysts for NOx reduction. As a result, there is a significant need to develop novel and highly efficient catalysts specifically for the catalytic oxidation of Cl-VOCs while also providing the co-benefit of NOx reduction.
The catalyst used to remove NOx and Cl-VOCs should possess excellent surface acidity and redox properties. Ce-based oxides generally have prominent oxygen mobility, high oxygen storage and release capacity, and even some acidic properties [12], which have been widely utilized in the reduction of NOx and the catalytic oxidation of Cl-VOCs. Further research conducted by Zhang et al. revealed that Ce-Ti amorphous oxide demonstrated remarkable SCR activity across a wide temperature range. This was attributed to the presence of abundant active sites provided by the Ce–O–Ti species [13]. Another study by Peng et al. reported that CeO2-WO3 exhibited exceptional SCR activity and displayed resistance against alkali metal poisoning [14]. Jia et al. observed that S-Ce0.7Zr0.3O2 showed superior CB oxidation activity and lower by-product selectivity. This was explained by the synergistic effect of Lewis and Brønsted acid sites present on the catalyst [15]. Additionally, Weng et al. discovered that sulfide-modified NiO/CeO2 displayed excellent CB oxidation activity and selectivity towards COx. This was attributed to the enhanced Lewis acidity and the presence of surface oxygen vacancies [16]. Consequently, based on these findings, Ce-based oxides may be promising alternatives to the commercial V2O5-WO3/TiO2 catalyst for the catalytic oxidation of Cl-VOCs. This substitution is advantageous, as it provides the additional co-benefit of NOx reduction.
Previous studies have found that CeO2 modified by silicotungstic acid (HSiW/CeO2) not only exhibited excellent SCR performance [17] but also displayed remarkable efficacy in catalyzing the oxidation of CB [18]. This dual functionality of HSiW/CeO2 for NOx reduction and CB oxidation makes it a promising candidate for the simultaneous removal of NOx and Cl-VOCs. In this work, the performance of HSiW/CeO2 for CB (the model compound for Cl-VOCs) oxidation as a co-benefit of NOx reduction was investigated, and the inhibition mechanism of NH3 on CB oxidation over HSiW/CeO2 was deeply explored. The results from in situ DRIFTS and kinetics studies revealed that CB oxidation over HSiW/CeO2 mainly followed the Mars–van–Krevelen mechanism and the Eley–Rideal mechanism, and the rate of CB oxidation was primarily influenced by the concentrations of surface adsorbed CB, Ce4+ ions, lattice oxygen species, gaseous CB, and surface adsorbed oxygen species. NH3 was found to inhibit the adsorption of CB onto HSiW/CeO2 and decrease the amount of lattice oxygen species, thereby significantly suppressing the contribution of the Mars–van–Krevelen mechanism to CB oxidation. Additionally, NH3 reduced the amount of oxygen species adsorbed on HSiW/CeO2, leading to a remarkable inhibition of the Eley–Rideal mechanism. Consequently, NH3 greatly inhibited the catalytic oxidation of CB over HSiW/CeO2, resulting in a close to two-stage removal of NOx and CB rather than a synergistic removal.
2. Experimental Section
2.1. Catalyst Preparation
CeO2 was obtained from the calcination of Ce(NO3)3·6H2O at 300 °C for 120 min in air. The resulting CeO2 weighing 20 g was then immersed in a solution of HSiW with a concentration of 20 g L−1 and a volume of 500 mL for 120 min under the condition of an ice bath. After the immersion, the mixture was subjected to centrifugation, followed by drying. Subsequently, the CeO2 was calcined at 500 °C for 180 min in air to obtain HSiW/CeO2. In addition, V2O5-WO3/TiO2, containing 1% of V2O5 and 10% of WO3, was prepared by the traditional impregnation method.
2.2. Catalytic Performance Evaluation
The catalytic performances of NOx reduction and CB oxidation were evaluated in a fixed-bed quartz reactor at temperatures ranging from 250 to 450 °C. The catalyst mass was typically 30 mg, and the total flow rate of the gas was 200 mL min−1. This resulted in a gas hourly space velocity (GHSV) of 400,000 cm3 g−1 h−1. The simulated flue gas generally contained 500 ppm NOx (during use), 500 ppm NH3 (during use), 100 ppm CB (during use), 5% O2, 100 ppm SO2 (during use), 8% H2O (during use), and N2 balance. The concentrations of NO, NO2, N2O, NH3, CB, CO, CO2, and HCl in the outlet of the reactor were measured online using an infrared gas analyzer (Thermo Fisher, IGS Analyzer, Waltham, MA, USA). The catalytic efficiency was evaluated based on the following parameters: NOx conversion efficiency, N2 selectivity, CB conversion efficiency, and COx selectivity (which includes both CO and CO2). These parameters were calculated using specific equations:
where [NOx]in, [NH3]in, and [CB]in are the concentrations of NOx, NH3, and CB in the inlet, respectively, and [NOx]out, [NH3]out, [CB]out, and [COx]out are the concentrations of NOx, NH3, CB, and COx in the outlet, respectively.
2.3. Catalyst Characterization
X-ray diffraction pattern (XRD), BET surface area, X-ray photoelectron spectra (XPS), and X-ray fluorescence (XRF) were measured by an X-ray diffractometer (Bruker-AXS D8 ADVANCE, Billerica, MA, USA), N2 adsorption analyzer (Quantachrome 2200e, Boynton Beach, FL, USA), X-ray photoelectron spectroscope (Thermo Fisher ESCALAB 250, Waltham, MA, USA), and X-ray fluorescence analyzer (XRF, Thermo Fisher ARL, Waltham, MA, USA), respectively.
Temperature-programmed desorption of CB (CB-TPD) was conducted on the same fixed-bed quartz reactor that was used for the catalytic performance evaluation. 200 mg of HSiW/CeO2 was firstly pretreated with 200 mL min−1 of 5% O2/N2 at 400 °C for 60 min and then cooled to 50 °C. Afterward, HSiW/CeO2 was exposed to 100 ppm CB and 500 ppm NH3 (during use) for 60 min. Finally, HSiW/CeO2 was purged by 100 mL min−1 of N2 from 50 to 600 °C at the heating rate of 10 °C min−1.
In situ diffuse reflectance infrared Fourier transform spectroscopy (DRIFTS) was conducted on a Fourier transform infrared spectrometer (Thermo Fisher, Nicolet iS50, Waltham, MA, USA) equipped with an MCT detector. The spectra were collected at a resolution of 4 cm−1 and over 32 scans.
3. Results and Discussion
3.1. Performances for NOx Reduction and CB Oxidation
3.1.1. Activity and Product Selectivity
HSiW/CeO2 exhibited excellent NOx reduction activity in a broad temperature range under a high GHSV of 400,000 cm3 g−1 h−1, and the NOx conversion efficiency was higher than 60% at 250–450 °C (Figure 1a). Meanwhile, little N2O was formed during NOx reduction over HSiW/CeO2 at 200–450 °C (Figure S1), resulting in excellent N2 selectivity of approximately 100% (Figure 1b). Although NOx reduction over HSiW/CeO2 was slightly inhibited by CB, the NOx conversion still reached at least 60% at 250–450 °C in the presence of CB (Figure 1a). Meanwhile, the N2 selectivity of HSiW/CeO2 for NOx reduction scarcely changed when CB was present (Figure 1b). These results suggest that HSiW/CeO2 still had excellent performance for NOx reduction even in the presence of CB, which was also much better than that of V2O5-WO3/TiO2 (Figure 1a,b).

Figure 1.
(a) NOx conversion efficiency, (b) N2 selectivity, (c) CB conversion efficiency, and (d) COx selectivity of HSiW/CeO2 and V2O5-WO3/TiO2. Reaction conditions: [NOx] = 500 ppm (during use), [NH3] = 500 ppm (during use), [CB] = 100 ppm (during use), [O2] = 5%, catalyst mass = 30 mg, total flow rate = 200 mL min−1, and GHSV = 400,000 cm3 g−1 h−1.
HSiW/CeO2 also showed excellent CB oxidation activity under a high GHSV of 400,000 cm3 g−1 h−1, and the CB conversion efficiency was approximately 23–68% at 300–450 °C (Figure 1c). Meanwhile, the catalytic oxidation of CB over HSiW/CeO2 showed excellent selectivity of COx, and it reached higher than 95% at 300–450 °C (Figure 1b). This suggests that a low selectivity of other organic intermediates or by-products occurred during CB oxidation over HSiW/CeO2. After the introduction of NOx, neither the CB conversion efficiency nor COx selectivity changed (Figure 1c,d). This suggests that the catalytic oxidation of CB over HSiW/CeO2 was barely affected by NOx. However, both the CB conversion efficiency and COx selectivity of HSiW/CeO2 remarkably decreased after the introduction of NH3 (Figure 1c,d), suggesting that the catalytic oxidation of CB over HSiW/CeO2 was remarkably inhibited by NH3. Furthermore, the catalytic oxidation of CB over HSiW/CeO2 was also restrained by the coexistence of NOx and NH3, but the inhibition effect was not as obvious as that of NH3 alone (Figure 1c,d). Moreover, the performance of HSiW/CeO2 for CB oxidation in the presence of NOx and NH3 was also much better than that of V2O5-WO3/TiO2 (Figure 1a,b).
3.1.2. Long-Term Stability
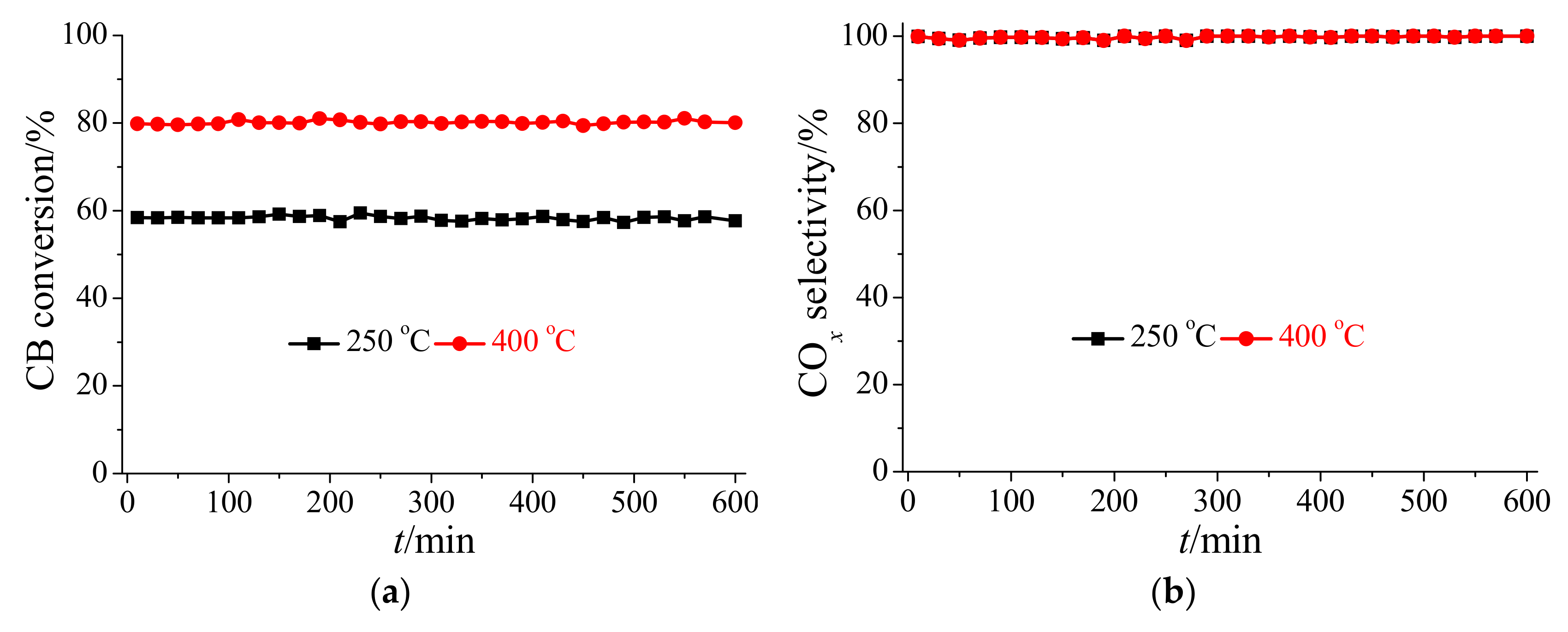
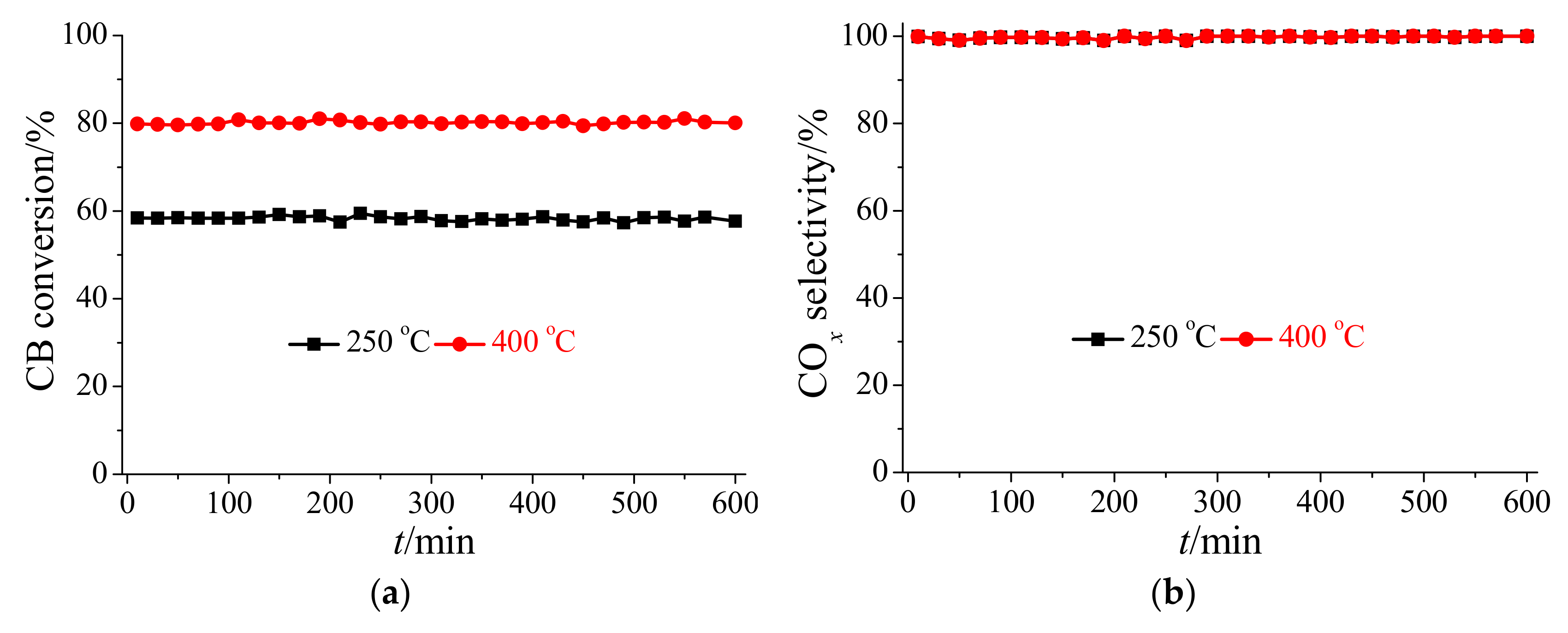
Ce-based oxide catalysts are generally easily deactivated by Cl poisoning during CB oxidation [19,20], and thus the long-term stabilities of HSiW/CeO2 for CB oxidation were investigated at different reaction temperatures. Figure 2a shows that the CB conversion efficiency of HSiW/CeO2 was stable at approximately 58% at 250 °C for 600 min. Meanwhile, the COx selectivity of HSiW/CeO2 stabilized at approximately 100% at 250 °C for 600 min (Figure 2b). These results suggest that HSiW/CeO2 showed excellent stability for CB oxidation at low reaction temperatures. As the reaction temperature increased to 400 °C, both the CB conversion efficiency and COx selectivity of HSiW/CeO2 were stable at approximately 80% and 100% for 600 min, respectively (Figure 2). This suggests that HSiW/CeO2 exhibited excellent stability for CB oxidation at high reaction temperatures. Therefore, HSiW/CeO2 showed excellent resistance to Cl poisoning during CB oxidation, resulting in excellent stability of CB conversion efficiency and COx selectivity.
Figure 2.
(a) CB conversion efficiency and (b) COx selectivity of HSiW/CeO2 at 250 and 400 °C for a long time. Reaction conditions: [CB] = 100 ppm (during use), [O2] = 5%, catalyst mass = 50 mg, total flow rate = 200 mL min−1, and GHSV = 240,000 cm3 g−1 h−1.
3.2. Characterization
3.2.1. XRD and BET Surface Area
The XRD pattern of HSiW/CeO2 showed a remarkable similarity to that of cerianite (CeO2), which was characterized by a specific diffraction pattern known as JPCDS 43-1002. This suggests that the grafting of HSiW onto CeO2 did not significantly alter the cubic fluorite structure of CeO2. Additionally, the BET surface area of HSiW/CeO2 was approximately 54.4 m2 g−1.
3.2.2. XPS
The Ce 3d binding energies for HSiW/CeO2 were observed at 882.1, 885.4, 888.8, 898.0, 900.7, 902.8, 907.2, and 916.4 eV (Figure 3a), which were attributed to two different oxidation states of Ce: Ce3+ (including 885.4 and 902.8 eV) and Ce4+ (including 882.1, 888.8, 898.0, 900.7, 907.2, and 916.4 eV) [21,22]. Similarly, the O 1s binding energies for HSiW/CeO2 were observed at 529.6, 531.2, and 532.6 eV (Figure 3b). The binding energy at 529.6 eV corresponded to the lattice oxygen, while the binding energies at 531.2 and 532.6 eV were related to the adsorbed oxygen and oxygen in the HSiW, respectively [17,22]. In addition, the W 4f binding energies for HSiW/CeO2 were observed at 35.1 and 37.1 eV (Figure 3c), which were attributed to W 4f7/2 and W 4f5/2 of W6+ in the HSiW, respectively [23]. These results suggest that both Ce3+ and Ce4+ species, as well as lattice oxygen and adsorbed oxygen species, were present on HSiW/CeO2. Meanwhile, the Keggin structure of HSiW remained intact in HSiW/CeO2. Furthermore, the percentages of W and Ce species in HSiW/CeO2 resulted from XPS analysis, and the contents of W and Ce species in HSiW/CeO2 resulted from XRF analysis, as compared in Table S1. Table S1 revealed that the percentage of W species on the surface of HSiW/CeO2 was significantly larger than its content within HSiW/CeO2, suggesting that HSiW was predominantly present on the surface of CeO2.

Figure 3.
XPS spectra of HSiW/CeO2 and HSiW/CeO2 after CB oxidation in the spectral regions of (a,d) Ce 3d, (b,e) O 1s, (c,f) W 4f, and (g) Cl 2p.
After conducting CB oxidation for 600 min, the Ce 3d, W 4f, and O 1s spectra of HSiW/CeO2 did not vary significantly (Figure 3d–f). Additionally, there was no detectable peak corresponding to Cl 2p in the spectrum of HSiW/CeO2 after the 600 min CB oxidation (Figure 3g). These findings indicate that there was very little deposition of Cl species on the surface of HSiW/CeO2 during the CB oxidation process. Hence, HSiW/CeO2 displayed remarkable resilience against Cl poisoning, which has been illustrated in Figure 2.
3.3. Mechanism of CB Oxidation
The potential mechanism of CB oxidation over HSiW/CeO2 generally followed the Mars–van–Krevelen mechanism (i.e., gaseous CB was firstly physically adsorbed on the catalyst, which was then oxidized by the lattice oxygen species to form the final product, and finally gaseous O2 replenished the lattice oxygen species consumed) and the Eley–Rideal mechanism (i.e., gaseous CB reacted with the surface adsorbed oxygen species to form the final product) [24,25].
The catalytic oxidation of CB over HSiW/CeO2 through the Mars–van–Krevelen mechanism can be approximately expressed as:
The catalytic oxidation of CB over HSiW/CeO2 through the Eley–Rideal mechanism can approximately be expressed as:
In order to examine the role of the Mars–van–Krevelen mechanism in the catalytic oxidation of CB over HSiW/CeO2, in situ DRIFTS of passing O2 over HSiW/CeO2 pre-adsorbed by CB at temperatures ranging from 100 to 400 °C were conducted. Upon exposure to CB at 100 °C for 30 min, four distinctive bands were observed at 1444, 1477, 1582, and 1625 cm−1 (Figure 4a). The bands at 1444 and 1477 cm−1 were attributed to the stretching vibration of the C=C bond in CB adsorbed on Brønsted acid sites due to Ce–OH in CeO2, and the band at 1477 cm−1 was also ascribed to the stretching vibration of the C=C bond in CB adsorbed on Brønsted acid sites due to W–OH in HSiW. The band at 1582 cm−1 was assigned to the stretching vibration of the C=C bond in CB adsorbed on Lewis acid sites, which were formed by Ce3+/Ce4+ species in CeO2. The band at 1625 cm−1 corresponded to the out-plane bending vibration of the C–H bond in the aromatic ring of CB adsorbed on Lewis acid sites, which were associated with W6+ species in HSiW. These observations indicated the adsorption of CB on the surface of HSiW/CeO2. When the reaction temperature was raised to 150 °C, the bands corresponding to the adsorbed CB almost disappeared, while six new bands appeared at 1265, 1413, 1528, 1590, 1660, and 1680 cm−1 (Figure 4a). The bands at 1265 and 1590 cm−1 were attributed to the stretching vibrations of the C–O bond in phenolate species and the C=C bond in the aromatic ring, respectively [26]. This suggests that the phenolate species were formed through the cleavage of the C–Cl bond in CB via a nucleophilic substitution reaction with lattice oxygen species. The bands at 1660 and 1680 cm−1 were assigned to the stretching vibration of the C=O bond in p-benzoquinone and o-benzoquinone species, respectively [27], indicating that some phenolate species were attacked by lattice oxygen species, resulting in the formation of benzoquinone. The band at 1528 cm−1 was associated with the symmetric stretching vibration of COO− groups, indicating the presence of maleic anhydride species [28]. This suggests that certain benzoquinone species were attacked by lattice oxygen, leading to the cleavage of the aromatic ring and the formation of maleic anhydride. The band at 1413 cm−1 corresponded to the asymmetric stretching vibration of COO− groups [29], suggesting that the maleic anhydride species were further oxidized to form acetate species. With further increase in the reaction temperature to 200 °C, two additional bands at 1362 and 1605 cm−1 were observed, which were attributed to the stretching vibration of COO− groups from acetate species [30]. This indicates that the remaining maleic anhydride species were being further oxidized. As the reaction temperature reached 300 °C, the bands corresponding to phenolate species, benzoquinone species, and maleic anhydride species nearly disappeared. Only two new bands at 1515 and 1620 cm−1 were present, which were attributed to the stretching vibrations of COO− groups from acetate species and –OH groups from water molecules, respectively [31]. This indicates that some acetate species were undergoing further oxidation to form the final products. These results strongly suggest that CB adsorbed on HSiW/CeO2 can be oxidized by lattice oxygen species, ultimately leading to the formation of the final products. Hence, the Mars–van–Krevelen mechanism played a significant role in the catalytic oxidation of CB over HSiW/CeO2.
Figure 4.
(a) In situ DRIFTS spectra of passing O2 over HSiW/CeO2 pre-adsorbed by CB from 100 to 400 °C. (b) In situ DRIFTS spectra of passing CB+O2 over HSiW/CeO2 from 100 to 400 °C.
According to Reaction (6), the rate of HSiW/CeO2 for CB oxidation through the Mars–van–Krevelen mechanism (i.e., δMvK) can be approximately expressed as:
where k1, [C6H5Cl(ad)], [≡Ce4+], [O2−], α, and β are the kinetic constant of Reaction (6), amounts of CB adsorbed, Ce4+ ions and lattice oxygen species on the surface, and reaction orders of Reaction (6) with respect to the amounts of surface Ce4+ and O2−, respectively.
According to Reaction (9), the rate of HSiW/CeO2 for CB oxidation through the Eley–Rideal mechanism (i.e., δE-R) can be approximately expressed as:
where k2, [C6H5Cl(g)], [O(ad)], and γ are the kinetic constant of Reaction (9), amounts of gaseous CB in the flue gas and surface adsorbed oxygen species, and reaction order of Reaction (9) with respect to the amount of surface adsorbed oxygen species, respectively.
Therefore, the rate of HSiW/CeO2 for CB oxidation can be approximately expressed as:
The concentration of CB in the flue gas was found to be generally high, with an approximate concentration of 100 ppm. This suggests that HSiW/CeO2 was nearly saturated with the adsorption of CB. Therefore, the amount of CB adsorbed on the surface of HSiW/CeO2 can be considered as a constant. Furthermore, both Ce4+ and O2− can be quickly recovered through Reaction (7), so the concentrations of Ce4+ and O2− ions on HSiW/CeO2 can also be regarded as constants. In addition, the concentration of O2 in the flue gas was approximately 5%, which was approximately 500 times that of CB. This suggests that the decrease in the concentration of O(ad) on HSiW/CeO2 due to CB oxidation (i.e., Reaction (9)) can be approximately neglected. Therefore, the concentration of O(ad) on HSiW/CeO2 can be deemed as a constant. As suggested by Equation (11), it was anticipated that the rate of CB oxidation would exhibit an excellent linear relationship with the CB concentration. The intercept and slope of this relationship can be used to describe the kinetic constants of CB oxidation through the Mars–van–Krevelen mechanism (i.e., kMvK) and the Eley–Rideal mechanism (i.e., kE-R), respectively.
Therefore, Equation (12) can be approximately revised as:
In order to determine the kinetic constants of CB oxidation using the Mars–van–Krevelen mechanism and the Eley–Rideal mechanism, the kinetics experiment of CB oxidation over HSiW/CeO2 at 250–450 °C with lower than 15% of CB conversion efficiency was performed, and the dependence of CB conversion rate on CB concentration was shown in Figure 5. Figure 5 shows that the CB conversion rate of HSiW/CeO2 significantly increased as the CB concentration increased. Furthermore, the relationship between the CB oxidation rate and the CB concentration was found to be linear, indicating a direct dependence. This result was in agreement with the assumption stated in Equation (13). To further analyze the data, a linear regression analysis was performed on Figure 5, using Equation (13) as the basis. The obtained slope, intercept, and regression coefficient of the linear regression analysis are all listed in Table 1.
Figure 5.
Dependence of CB conversion rate on the CB concentration. Reaction conditions: [CB] = 50–150 ppm, [O2] = 5%, catalyst mass = 3–30 mg, total flow rate = 200 mL min−1, and GHSV = 400,000–4,000,000 cm3 g−1 h−1.
Table 1.
Reaction kinetic constants of CB oxidation over HSiW/CeO2.
According to the data shown in Table 1, the values of the intercept (kMvK) were found to be approximately 2.77, 3.89, 4.07, 4.63, and 4.79 µmol g−1 min−1 at 250, 300, 350, 400, and 450 °C, respectively. Similarly, Table 1 also shows that the values of the slope (kE-R) were approximately 0.008, 0.021, 0.060, 0.132, and 0.170 µmol g−1 min−1 at 250, 300, 350, 400, and 450 °C, respectively. Based on these, it can be inferred that the catalytic oxidation of CB over HSiW/CeO2 was influenced not only by the Mars–van–Krevelen mechanism but also by the Eley–Rideal mechanism. Additionally, it was revealed that the rate of CB oxidation over HSiW/CeO2 via the Eley–Rideal mechanism was directly proportional to the CB concentration, as indicated by Equation (11). Therefore, when the CB concentration was approximately 346, 185, 68, 49, and 28 ppm at 250, 300, 350, 400, and 450 °C, respectively, the CB oxidation rate through the Eley–Rideal mechanism was equal to that through the Mars–van–Krevelen mechanism. This suggests that at these specific CB concentrations, both mechanisms contribute equally to CB oxidation over HSiW/CeO2. However, when the CB concentration was lower than the aforementioned values at each temperature, the CB oxidation rate through the Mars–van–Krevelen mechanism was larger than that through the Eley–Rideal mechanism. This indicates that at lower CB concentrations, the Mars–van–Krevelen mechanism played a more dominant role in CB oxidation over HSiW/CeO2. On the other hand, when the CB concentration was higher than the stated values, the CB oxidation rate through the Eley–Rideal mechanism was larger than that through the Mars–van–Krevelen mechanism. This implies that at higher CB concentrations, the Eley–Rideal mechanism became more significant in CB oxidation over HSiW/CeO2. Considering that the CB concentration in the flue gas was generally approximately 100 ppm, the CB oxidation rate of HSiW/CeO2 through the Mars–van–Krevelen mechanism was larger than that through the Eley–Rideal mechanism at 250–300 °C, but smaller than that through the Eley–Rideal mechanism at 350–450 °C. Therefore, the catalytic oxidation of CB over HSiW/CeO2 was influenced by both the temperature and the CB concentration. The Mars–van–Krevelen mechanism appeared to be more important at lower temperatures and lower CB concentrations, while the Eley–Rideal mechanism became more dominant at higher temperatures and higher CB concentrations.
Although the adsorption of CB onto HSiW/CeO2 (i.e., Reaction (5)) was hindered by the increase in reaction temperature increased, both Reactions (6) and (7) were greatly accelerated. Hence, the value of kMvK was observed to gradually increase with the rise in reaction temperature (Table 1). On the other hand, the adsorption of O2 onto HSiW/CeO2 (i.e., Reaction (8)) was suppressed with the increase in reaction temperature, while Reaction (9) was significantly accelerated. Thus, the kE-R value also displayed a gradual increase with the elevation of reaction temperature (Table 1). Therefore, the catalytic oxidation of CB over HSiW/CeO2 was noticeably facilitated with the increase in reaction temperature, as illustrated in Figure 1c.
To gain a deeper understanding of the reaction pathway of CB oxidation over HSiW/CeO2 through the Eley–Rideal mechanism, in situ DRIFTS of passing CB+O2 over HSiW/CeO2 was performed at different temperatures ranging from 100 to 400 °C. In addition to the bands corresponding to adsorbed CB at 1444, 1477, 1582, and 1625 cm−1, benzoquinone species at1660 and 1680 cm−1, maleic anhydride species at 1528 cm−1, and acetate species at 1605 cm−1, four new bands at 1302, 1395, 1540, and 1578 cm−1 were observed on HSiW/CeO2 (Figure 4b). The bands at 1302, 1540, and 1578 cm−1 were assigned to the stretching vibrations of the C–O bond in phenolate species (1302 cm−1) and the C=C bond in the aromatic ring (1540 and 1578 cm−1), respectively [32]. Meanwhile, the band at 1395 cm−1 was attributed to the stretching vibration of the –CH2– bond in acetate species [30]. Their results suggest that the intermediates of CB oxidation over HSiW/CeO2 through the Eley–Rideal mechanism at most included the phenolate species, benzoquinone species, maleic anhydride species, and acetate species. Therefore, the reaction pathway of CB oxidation over HSiW/CeO2 through the Eley–Rideal mechanism may be the same as or simpler than that observed in the Mars–van–Krevelen mechanism.
Based on the analysis results of in situ DRIFTS and reaction kinetics, it was found that the catalytic oxidation of CB over HSiW/CeO2 primarily followed two mechanisms: the Mars–van–Krevelen mechanism and the Eley–Rideal mechanism. Therefore, a credible reaction pathway of CB oxidation over HSiW/CeO2 was summarized in Figure 6: (1) A small portion of gaseous CB molecules were adsorbed onto the Brønsted acid sites of HSiW and CeO2 in HSiW/CeO2, as well as the Lewis acid sites of CeO2 in HSiW/CeO2. (2) The C–Cl bond in a fraction of the absorbed CB molecules, as well as most of the gaseous CB molecules, underwent a cleavage reaction through nucleophilic substitution with the lattice oxygen species. This reaction led to the formation of phenolate species. (3) The phenolate species were then attacked by the lattice oxygen species through an electrophilic substitution reaction, resulting in the formation of benzoquinone species. (4) The aromatic ring in the benzoquinone species was cleaved through the attack of the lattice oxygen species, leading to the formation of maleic anhydride species. (5) The maleic anhydride species underwent further deep oxidation, first transforming into acetate species and ultimately oxidizing into CO2, CO, and H2O. Moreover, the Cl species present in HSiW/CeO2 were rapidly eliminated. This was achieved through two potential reactions: the dissociatively adsorbed Cl reacting with surface hydroxyl groups to form HCl, or the Cl species reacting with other compounds to produce Cl2, which is known as the Deacon reaction [10].
Figure 6.
A credible reaction pathway of CB oxidation over HSiW/CeO2.
3.4. Inhibition Mechanism of NH3 on CB Oxidation
Equation (12) indicates that the rate of CB oxidation over HSiW/CeO2 was primarily influenced by the concentrations of surface-adsorbed CB, Ce4+ ions, lattice oxygen species, gaseous CB, and surface-adsorbed oxygen species. However, the concentration of gaseous CB was generally not affected by NH3. Therefore, the way NH3 inhibited the catalytic oxidation of CB over HSiW/CeO2 was likely related to the hindrance of CB adsorption, the reduction of the lattice oxygen species, or the reduction of oxygen species adsorbed on the surface.
To investigate the impact of NH3 on the adsorption of CB onto HSiW/CeO2, a CB-TPD analysis was carried out. Figure 7 reveals that the amount of CB adsorbed on HSiW/CeO2 was approximately 42.3 μmol g−1. However, in the presence of NH3, the amount of CB adsorbed on HSiW/CeO2 significantly decreased to approximately 18.2 μmol g−1 (Figure 7). This only accounted for around 43% of the amount of CB adsorbed in the absence of NH3. Therefore, NH3 played a dominant role in inhibiting the adsorption of CB onto HSiW/CeO2, which may be primarily attributed to the competitive adsorption between NH3 and CB molecules.
Figure 7.
Influence of NH3 on CB-TPD profile of HSiW/CeO2.
To further ascertain the competitive adsorption between NH3 and CB onto HSiW/CeO2, in situ, DRIFTS of NH3 adsorption onto HSiW/CeO2 and NH3 adsorption onto HSiW/CeO2 pre-adsorbed by CB were conducted. After the adsorption of NH3 at 100 °C, four distinct bands at 1178, 1420, 1573, and 1663 cm−1 appeared on HSiW/CeO2 (Figure 8a). The bands at 1178 and 1573 cm−1 were attributed to the coordinated NH3 adsorbed on Lewis acid sites, which were formed by Ce3+/Ce4+ in CeO2 and W6+ in HSiW [17]. On the other hand, the bands at 1420 and 1663 cm−1 were ascribed to ionic NH4+ adsorbed on Brønsted acid sites, which were formed by Ce–OH in CeO2 and W–OH in HSiW [17]. Meanwhile, CB was also adsorbed on Lewis acid sites due to Ce3+/Ce4+ in CeO2 and W6+ in HSiW and Brønsted acid sites due to Ce–OH in CeO2 and W–OH in HSiW (Figure 4a). These results suggest that NH3 and CB generally had common adsorption sites, resulting in the competitive adsorption of NH3 and CB onto HSiW/CeO2. Furthermore, when NH3 was introduced into HSiW/CeO2 pre-adsorbed by CB at 100 °C, the bands corresponding to coordinated NH3 and ionic NH4+ were also observed (Figure 8b). However, it was challenging to differentiate the bands corresponding to adsorbed CB due to the overlapping signals of coordinated NH3 and ionic NH4+. To address this issue, a subtraction technique was employed by comparing the spectra before and after NH3 adsorption. Interestingly, three negative bands at 1444, 1477, and 1582 cm−1, which corresponded to CB adsorbed on HSiW/CeO2, became significantly apparent (Figure 8c). This suggests that the intensity of bands corresponding to CB adsorbed on HSiW/CeO2 decreased substantially following NH3 adsorption. Therefore, NH3 can displace CB adsorbed on HSiW/CeO2, leading to the inhibition of CB adsorption. Moreover, it was possible that NH3 could react with HCl produced from CB oxidation over HSiW/CeO2, forming NH4Cl [33]. This NH4Cl formation can cover the surface’s adsorption sites, thereby hindering the adsorption of CB.
Figure 8.
(a) In situ DRIFTS spectra of passing NH3 over HSiW/CeO2 for 30 min at 100 °C. (b) In situ DRIFTS spectra of passing NH3 over HSiW/CeO2 pre-adsorbed by CB for 30 min at 100 °C. (c) In situ, DRIFTS spectra resulted from subtracting the spectra of HSiW/CeO2 pre-adsorbed by CB after and before NH3 adsorption.
To ascertain the formation of NH4Cl during CB oxidation over HSiW/CeO2, the transient reaction of CB oxidation with NH3 was performed at 250 and 400 °C, respectively. After CB oxidation over HSiW/CeO2 was stable with approximately 58% conversion efficiency and 100% COx selectivity for 50 min at 250 °C, 500 ppm NH3 was introduced into the reaction atmosphere (Figure 9). Then, the CB conversion efficiency and COx selectivity decreased to approximately 10% and 53%, respectively (Figure 9). This further demonstrated that CB oxidation over HSiW/CeO2 was remarkably inhibited by NH3. However, the CB conversion efficiency and COx selectivity only converted to approximately 41% and 81% when the introduction of NH3 into the reaction atmosphere was stopped, respectively (Figure 9). This suggests that NH4Cl was formed on HSiW/CeO2 during CB oxidation at low reaction temperature, resulting in the deterioration of its performance for CB oxidation. As the reaction temperature increased to 400 °C, the CB conversion efficiency and COx selectivity of HSiW/CeO2 still decreased after the introduction of NH3 into the reaction atmosphere (Figure 9). This also demonstrated that CB oxidation over HSiW/CeO2 can be remarkably inhibited by NH3. However, the CB conversion efficiency and COx selectivity can come back to the original once the introduction of NH3 into the reaction atmosphere is stopped (Figure 9). This suggests that little NH4Cl was formed on HSiW/CeO2 during CB oxidation at high reaction temperatures.
Figure 9.
(a) CB conversion efficiency and (b) COx selectivity during the transient reaction of CB oxidation over HSiW/CeO2 with NH3 at 250 and 400 °C. Reaction conditions: [CB] = 100 ppm, [NH3] = 500 ppm (during use), [O2] = 5%, catalyst mass = 50 mg, total flow rate = 200 mL min−1, and GHSV = 240,000 cm3 g−1 h−1.
NH3 not only competed with CB for the available adsorption sites on HSiW/CeO2, but it also had the capability to easily displace already adsorbed CB on the adsorption sites. Moreover, NH4Cl formed by the reaction between NH3 and HCl covered the same adsorption sites further limiting their availability for CB adsorption. Therefore, the presence of NH3 led to a significant inhibition of CB adsorption onto HSiW/CeO2.
To further investigate the impact of NH3 on the quantities of lattice oxygen species and oxygen species adsorbed on HSiW/CeO2, the catalytic oxidation of NH3 over HSiW/CeO2 was conducted. Figure 10 shows that NH3 can be oxidized by HSiW/CeO2, with the NH3 conversion efficiency of approximately 3–68% at 300–450 °C. Meanwhile, the catalytic oxidation of NH3 over HSiW/CeO2 was hardly affected by CB (Figure 10). These findings strongly suggest that the presence of NH3 significantly reduced the quantities of both lattice oxygen species and oxygen species adsorbed on HSiW/CeO2, owing to the oxidation of NH3 [34,35]. Moreover, the formation of NH4Cl through the reaction between NH3 and HCl can lead to the coverage of the surface of HSiW/CeO2, thereby resulting in a decrease in the quantities of both lattice oxygen species and adsorbed oxygen species.
Figure 10.
Influence of CB on NH3 oxidation over HSiW/CeO2. Reaction conditions: [NH3] = 500 ppm, [CB] = 100 ppm (during use), [O2] = 5%, catalyst mass = 30 mg, total flow rate = 200 mL min−1, and GHSV = 400,000 cm3 g−1 h−1.
NH3 not only significantly blocked the adsorption of CB onto HSiW/CeO2, but it also noticeably reduced the amount of lattice oxygen species present on HSiW/CeO2. Thus, the Mars–van–Krevelen mechanism was greatly hindered by NH3. Meanwhile, NH3 also greatly reduced the amount of oxygen species adsorbed on HSiW/CeO2, leading to significant inhibition of the Eley–Rideal mechanism. In consequence, NH3 had a profound inhibitory effect on the catalytic oxidation of CB over HSiW/CeO2.
3.5. CB Oxidation under a Low GHSV of Normal SCR Condition
Figure 11a shows that HSiW/CeO2 showed excellent ability for CB oxidation exceeding 350 °C with a CB conversion efficiency of over 90% under a low GHSV of normal SCR conditions. However, the catalytic oxidation of CB over HSiW/CeO2 was significantly hindered by NH3, and hence HSiW/CeO2 hardly functioned as a catalyst for CB oxidation when NH3 was present. Nonetheless, as the SCR reaction progressed, the concentration of NH3 gradually decreased. Therefore, even though NH3 inhibited CB oxidation to a remarkable extent, the surplus HSiW/CeO2 catalyst can still drive the catalytic oxidation of CB (Figure S3). This suggests that when NH3 is no longer present, CB can still be oxidized by the excess HSiW/CeO2 catalyst, resulting in only a slight decrease in CB conversion efficiency upon the introduction of NOx+NH3 (Figure 11a). However, the catalytic oxidation of CB over HSiW/CeO2 was severely impeded by SO2 and H2O, which were inevitable components in flue gas (Figure 11a) [36,37]. Therefore, when NOx, NH3, SO2, and H2O were all present, HSiW/CeO2 exhibited poor ability for CB oxidation, yielding a CB conversion efficiency of less than 47%. However, the CB conversion efficiency of HSiW/CeO2 significantly improved with a further decrease in GHSV. In fact, a high CB conversion efficiency (>90%) can still be achieved by HSiW/CeO2 in the presence of 500 ppm NOx, 500 ppm NH3, 100 ppm SO2, and 8% H2O, with a GHSV of 15,000 cm3 g−1 h−1 at temperatures exceeding 350 °C (Figure 11b).
Figure 11.
(a) CB conversion efficiency of HSiW/CeO2 with a low GHSV of normal SCR condition. Reaction conditions: [NOx] = 500 ppm (during use), [NH3] = 500 ppm (during use), [CB] = 100 ppm (during use), [O2] = 5%, [SO2] = 100 ppm (during use), [H2O] = 8% (during use), catalyst mass = 200 mg, total flow rate = 200 mL min−1, and GHSV = 60,000 cm3 g−1 h−1. (b) Influence of GHSV on CB conversion efficiency of HSiW/CeO2. Reaction conditions: [NOx] = 500 ppm, [NH3] = 500 ppm, [CB] = 100 ppm, [O2] = 5%, [SO2] = 100 ppm, [H2O] = 8%, catalyst mass = 200–800 mg, and total flow rate = 200 mL min−1.
3.6. Significance
The catalytic oxidation of CB over HSiW/CeO2 was found to be significantly hindered by the presence of NH3, suggesting that CB was hardly removed by HSiW/CeO2 as a co-benefit of NOx reduction. Therefore, the simultaneous removal of NOx and CB over HSiW/CeO2 can be regarded as a two-stage process rather than a synergistic one. The first stage of this process involved the reduction of NOx over HSiW/CeO2, and the second stage was the catalytic oxidation of CB over the excess HSiW/CeO2 catalyst (Figure S4). It was observed that both the reduction of NOx and the oxidation of CB over HSiW/CeO2 were significantly inhibited by SO2 and H2O. To maintain efficient conversion efficiencies of NOx and CB in the presence of SO2 and H2O, it was necessary to increase the amount of HSiW/CeO2 used. However, the specific sequence of NOx reduction followed by CB oxidation over HSiW/CeO2 remained unchanged even in the presence of SO2 and H2O. Hence, in order to achieve simultaneous removal of NOx and CB over a single HSiW/CeO2 catalyst, it would be more meaningful to focus on improving the individual performances of HSiW/CeO2 for NOx reduction and CB oxidation, respectively.
4. Conclusions
The catalytic oxidation of CB over HSiW/CeO2 primarily followed two mechanisms, namely the Mars–van–Krevelen mechanism and the Eley–Rideal mechanism. The CB oxidation rate of HSiW/CeO2 was determined by several factors, including the concentrations of surface-adsorbed CB, Ce4+ ions, lattice oxygen species, gaseous CB, and surface-adsorbed oxygen species. NH3 not only significantly blocked the adsorption of CB onto HSiW/CeO2, but it also noticeably reduced the amount of lattice oxygen species present on HSiW/CeO2. Therefore, the Mars–van–Krevelen mechanism was greatly hindered by NH3. Moreover, NH3 reduced the amount of surface-adsorbed oxygen species, inhibiting the Eley–Rideal mechanism. As a result, NH3 remarkably inhibited the catalytic oxidation of CB over HSiW/CeO2. This inhibition of CB oxidation by NH3 implies that HSiW/CeO2 was not effective in removing CB as a co-benefit of NOx reduction. Instead, the removal of NOx and CB over HSiW/CeO2 can be considered as two separate processes rather than a synergistic removal. Therefore, it was more meaningful to focus on enhancing the performances of HSiW/CeO2 for NOx reduction and CB oxidation individually in order to achieve simultaneous removal of both pollutants using a single HSiW/CeO2 catalyst.
Supplementary Materials
The following supporting information can be downloaded at: https://www.mdpi.com/article/10.3390/ma17040828/s1, Figures S1–S8: N2O formation during NOx reduction over HSiW/CeO2, XRD patterns of CeO2 and HSiW/CeO2, NOx conversion efficiency of HSiW/CeO2 with a high GHSV, two-stage removals of NOx and CB over HSiW/CeO2, NOx conversion efficiency of HSiW/CeO2 with a low GHSV of normal SCR condition, influence of GHSV on NOx conversion efficiency of HSiW/CeO2, Selectivities towards CO2, CO, and HCl of HSiW/CeO2 and V2O5-WO3/TiO2, in situ DRIFTS spectra of passing CB over CeO2 and HSiW for 30 min at 100 °C, analysis of chlorinated by-product by GC-MS during CB oxidation over HSiW/CeO2 at 400 °C; Table S1: Percentages of Ce and W species on/in HSiW/CeO2 and V2O5-WO3/TiO2.
Author Contributions
Investigation, L.D., K.J. and Q.S.; Writing—original draft, J.M.; Writing—review & editing, S.Y.; Funding acquisition and Writing—review & editing, L.X. All authors have read and agreed to the published version of the manuscript.
Funding
This study was supported by the National Natural Science Foundation of China (Grants 21906070 and 51978314).
Institutional Review Board Statement
Not applicable.
Informed Consent Statement
Not applicable.
Data Availability Statement
Data are contained within the article.
Conflicts of Interest
The authors declare no conflict of interest.
References
- Brummer, V.; Jecha, D.; Skryja, P.; Stehlik, P. Pilot VOC emissions mitigation by catalytic oxidation over commercial noble metal catalysts for cleaner production. Clean Technol. Environ. Policy 2023, 25, 2249–2262. [Google Scholar] [CrossRef]
- Cech, P.; Stádník, J. VOC emissions from natural upholstery leathers. Pol. J. Environ. Stud. 2021, 30, 4945–4955. [Google Scholar] [CrossRef] [PubMed]
- Monard, C.; Caudal, J.P.; Cluzeau, D.; Le Garrec, J.L.; Hellequin, E.; Hoeffner, K.; Humbert, G.; Jung, V.C.; Le Lann, C.; Nicolai, A. Short-term temporal dynamics of VOC emissions by soil systems in different biotopes. Front. Environ. Sci. 2021, 9, 650701. [Google Scholar] [CrossRef]
- Halawy, S.A.; Osman, A.I.; Mehta, N.; Abdelkader, A.; Vo, D.V.N.; Rooney, D.W. Adsorptive removal of some Cl-VOC’s as dangerous environmental pollutants using feather-like γ-Al2O3 derived from aluminium waste with life cycle analysis. Chemosphere 2022, 295, 133795. [Google Scholar] [CrossRef] [PubMed]
- Le Breton, M.; Hallquist, Å.; Pathak, R.K.; Simpson, D.; Wang, Y.J.; Johansson, J.; Zheng, J.; Yang, Y.D.; Shang, D.J.; Wang, H.C.; et al. Chlorine oxidation of VOCs at a semi-rural site in Beijing: Significant chlorine liberation from ClNO2 and subsequent gas- and particle-phase Cl-VOC production. Atmos. Chem. Phys. 2018, 18, 13013–13030. [Google Scholar] [CrossRef]
- Aathira, B.; Deepika, S.; Sounak, R.; Singh, S.A. Technological solutions for NOx, SOx, and VOC abatement: Recent breakthroughs and future directions. Environ. Sci. Pollut. Res. 2023, 30, 91501–91533. [Google Scholar]
- Mohan, S.; Dinesha, P.; Kumar, S. NOx reduction behaviour in copper zeolite catalysts for ammonia SCR systems: A review. Chem. Eng. J. 2020, 384, 123253. [Google Scholar] [CrossRef]
- Gallastegi-Villa, M.; Romero-Sáez, M.; Aranzabal, A.; González-Marcos, J.A.; González-Velasco, J.R. Strategies to enhance the stability of h-bea zeolite in the catalytic oxidation of Cl-VOCs: 1,2-Dichloroethane. Catal. Today 2013, 213, 192–197. [Google Scholar] [CrossRef]
- Delaigle, R.; Eloy, P.; Gaigneaux, E.M. Influence of the impregnation order on the synergy between Ag and V2O5/TiO2 catalysts in the total oxidation of Cl-aromatic VOC. Catal. Today 2012, 192, 2–9. [Google Scholar] [CrossRef]
- Song, Z.; Peng, Y.; Zhao, X.; Liu, H.; Gao, C.; Si, W.; Li, J. Roles of Ru on the V2O5-WO3/TiO2 catalyst for the simultaneous purification of NOx and chlorobenzene: A dechlorination promoter and a redox Inductor. ACS Catal. 2022, 12, 11505–11517. [Google Scholar] [CrossRef]
- Yuan, X.; Peng, Y.; Zhu, X.; Wang, H.; Song, Z.; Si, W.; Wang, Y.; Li, J. Anti-poisoning mechanisms of Sb on vanadia-based catalysts for NOx and chlorobenzene multi-pollutant control. Environ. Sci. Technol. 2023, 57, 10211–10220. [Google Scholar] [CrossRef] [PubMed]
- Mishra, U.K.; Chandel, V.S.; Singh, O.P.; Alam, N. Synthesis of CeO2 and Zr-Doped CeO2 (Ce1-xZrxO2) catalyst by green synthesis for soot oxidation activity. Arab. J. Sci. Eng. 2023, 48, 771–777. [Google Scholar] [CrossRef]
- Li, P.; Xin, Y.; Li, Q.; Wang, Z.; Zhang, Z.; Zheng, L. Ce–Ti amorphous oxides for selective catalytic reduction of NO with NH3: Confirmation of Ce–O–Ti active sites. Environ. Sci. Technol. 2012, 46, 9600–9605. [Google Scholar] [CrossRef] [PubMed]
- Peng, Y.; Li, J.; Chen, L.; Chen, J.; Han, J.; Zhang, H.; Han, W. Alkali metal poisoning of a CeO2-WO3 catalyst used in the selective catalytic reduction of NOx with NH3: An experimental and theoretical study. Environ. Sci. Technol. 2012, 46, 2864–2869. [Google Scholar] [CrossRef] [PubMed]
- Lv, X.; Cai, S.; Chen, J.; Yan, D.; Jiang, M.; Chen, J.; Jia, H. Tuning the degradation activity and pathways of chlorinated organic pollutants over CeO2 catalyst with acid sites: Synergistic effect of Lewis and Brønsted acid sites. Catal. Sci. Technol. 2021, 11, 4581–4595. [Google Scholar] [CrossRef]
- Wang, X.; Jiang, W.; Yin, R.; Sun, P.; Lu, Y.; Wu, Z.; Weng, X. The role of surface sulfation in mediating the acidity and oxidation ability of nickel modified ceria catalyst for the catalytic elimination of chlorinated organics. J. Colloid Interf. Sci. 2020, 574, 251–259. [Google Scholar] [CrossRef] [PubMed]
- Geng, Y.; Jin, K.; Mei, J.; Su, G.Y.; Ma, L.; Yang, S.J. CeO2 grafted with different heteropoly acids for selective catalytic reduction of NOx with NH3. J. Hazard. Mater. 2020, 382, 121032. [Google Scholar] [CrossRef] [PubMed]
- Zhang, X.; Wei, Y.; Song, Z.; Liu, W.; Gao, C.; Luo, J. Silicotungstic acid modified CeO2 catalyst with high stability for the catalytic combustion of chlorobenzene. Chemosphere 2021, 263, 128129. [Google Scholar] [CrossRef]
- Koller, V.; Sack, C.; Lustemberg, P.; Ganduglia-Pirovano, M.V.; Over, H. Dynamic response of oxygen vacancies in the deacon reaction over reduced single crystalline CeO2-x (111) surfaces. J. Phys. Chem. C 2022, 126, 13202–13212. [Google Scholar] [CrossRef]
- Koller, V.; Lustemberg, P.G.; Spriewald-Luciano, A.; Gericke, S.M.; Larsson, A.; Sack, C.; Preobrajenski, A.; Lundgren, E.; Ganduglia-Pirovano, M.V.; Over, H. Critical step in the HCl oxidation reaction over single-crystalline CeO2-x (111): Peroxo-induced site change of strongly adsorbed surface chlorine. ACS Catal. 2023, 13, 12994–13007. [Google Scholar] [CrossRef]
- Hunpratub, S.; Chullaphan, T.; Chumpolkulwong, S.; Chanlek, N.; Phokha, S. Characterization and electrochemical properties of carbon/CeO2 composites prepared using a hydrothermal method. Mater. Chem. Phys. 2023, 303, 127820. [Google Scholar] [CrossRef]
- Onrubia-Calvo, J.A.; López-Rodríguez, S.; Villar-García, I.J.; Pérez-Dieste, V.; Bueno-López, A.; González-Velasco, J.R. Molecular elucidation of CO2 methanation over a highly active, selective and stable LaNiO3/CeO2-derived catalyst by in situ FTIR and NAP-XPS. Appl. Catal. B Environ. 2024, 342, 123367. [Google Scholar] [CrossRef]
- Kumar, V.B.; Pulidindi, I.N.; Gedanken, A. Selective conversion of starch to glucose using carbon based solid acid catalyst. Renew. Energy 2015, 78, 141–145. [Google Scholar] [CrossRef]
- Scirè, S.; Riccobene, P.M.; Crisafulli, C. Ceria supported group IB metal catalysts for the combustion of volatile organic compounds and the preferential oxidation of CO. Appl. Catal. B Environ. 2010, 101, 109–117. [Google Scholar] [CrossRef]
- Aranzabal, A.; Ayastuy-Arizti, J.L.; González-Marcos, J.A.; González-Velasco, J.R. The reaction pathway and kinetic mechanism of the catalytic oxidation of gaseous lean TCE on Pd/alumina catalysts. J. Catal. 2003, 214, 130–135. [Google Scholar] [CrossRef]
- Chen, J.; Wang, C.Q.; Lv, X.L.; Huang, G.X.; Xu, W.J.; Li, X.L.; Jia, H.P. Pt/CeO2 coated with polyoxometallate chainmail to regulate oxidation of chlorobenzene without hazardous by-products. J. Hazard. Mater. 2023, 441, 129925. [Google Scholar] [CrossRef]
- Lomnicki, S.; Lichtenberger, J.; Xu, Z.; Waters, M.; Kosman, J.; Amiridis, M.D. Catalytic oxidation of 2,4,6-trichlorophenol over vanadia/titania-based catalysts. Appl. Catal. B Environ. 2003, 46, 105–119. [Google Scholar] [CrossRef]
- Liu, X.; Zeng, J.; Shi, W.; Wang, J.; Zhu, T.; Chen, Y. Catalytic oxidation of benzene over ruthenium-cobalt bimetallic catalysts and study of its mechanism. Catal. Sci. Technol. 2017, 7, 213–221. [Google Scholar] [CrossRef]
- Wang, J.; Wang, X.; Liu, X.; Zhu, T.; Guo, Y.; Qi, H. Catalytic oxidation of chlorinated benzenes over V2O5/TiO2 catalysts: The effects of chlorine substituents. Catal. Today 2015, 241, 92–99. [Google Scholar] [CrossRef]
- Hauchecorne, B.; Terrens, D.; Verbruggen, S.; Martens, J.A.; Van Langenhove, H.; Demeestere, K.; Lenaerts, S. Elucidating the photocatalytic degradation pathway of acetaldehyde: An FTIR in situ study under atmospheric conditions. Appl. Catal. B Environ. 2011, 106, 630–638. [Google Scholar] [CrossRef]
- Liang, W.; Zhu, Y.; Ren, S.; Shi, X. Enhanced catalytic elimination of chlorobenzene over Ru/TiO2 modified with SnO2—Synergistic performance of oxidation and acidity. Chem. Phys. 2023, 566, 111787. [Google Scholar] [CrossRef]
- Hetrick, C.E.; Lichtenberger, J.; Amiridis, M.D. Catalytic oxidation of chlorophenol over V2O5/TiO2 catalysts. Appl. Catal. B Environ. 2008, 77, 255–263. [Google Scholar] [CrossRef]
- Vainio, E.; Yrjas, P.; Hupa, L.; Hupa, M. Cold-end corrosion caused by hygroscopic ammonium chloride in thermal conversion of biomass and waste. Fuel 2023, 346, 128061. [Google Scholar] [CrossRef]
- Jabłońska, M.; Robles, A.M. A comparative mini-review on transition metal oxides applied for the selective catalytic ammonia oxidation (NH3-SCO). Materials 2022, 15, 4770. [Google Scholar] [CrossRef] [PubMed]
- Park, K.Y.; Lee, M.J.; Kim, W.G.; Kim, S.J.; Jeong, B.; Ye, B.; Kim, H.D. Oxidation of CO and slipped NH3 over a WS2-Loaded Pt/TiO2 catalyst with an extended reaction temperature range. Mater. Chem. Phys. 2023, 309, 128341. [Google Scholar] [CrossRef]
- Gouveia, J.D.; Gomes, J.R.B. Effect of the surface termination on the adsorption of flue gas by the titanium carbide MXene. Mater. Today Chem. 2023, 29, 101441. [Google Scholar] [CrossRef]
- Jacobs, J.H.; Chou, N.Y.; Lesage, K.L.; Xiao, Y.; Hill, J.M.; Marriott, R.A. Investigating activated carbons for SO2 adsorption in wet flue gas. Fuel 2023, 353, 129239. [Google Scholar] [CrossRef]
Disclaimer/Publisher’s Note: The statements, opinions and data contained in all publications are solely those of the individual author(s) and contributor(s) and not of MDPI and/or the editor(s). MDPI and/or the editor(s) disclaim responsibility for any injury to people or property resulting from any ideas, methods, instructions or products referred to in the content. |
© 2024 by the authors. Licensee MDPI, Basel, Switzerland. This article is an open access article distributed under the terms and conditions of the Creative Commons Attribution (CC BY) license (https://creativecommons.org/licenses/by/4.0/).












