Experimental Study on the Size Effect of Compression-Shear Fracture Characteristics of Rock-like Materials Containing Open Cracks
Abstract
1. Introduction
2. Test Materials and Methods
2.1. Specimen Preparation
2.2. Test Protocol
2.3. Loading Method
3. Compression-Shear Fracture Theory of Rock-like Materials
3.1. Stress Field at the Open Crack Tip
3.2. Crack Extension Criterion Considering T-Stress
4. Test Results Analysis
4.1. Compressive Strength of Open Crack Specimens
4.2. Failure Characteristics Analysis
4.3. Theoretical Analysis of Crack Initiation Angle Under Compression-Shear Stress
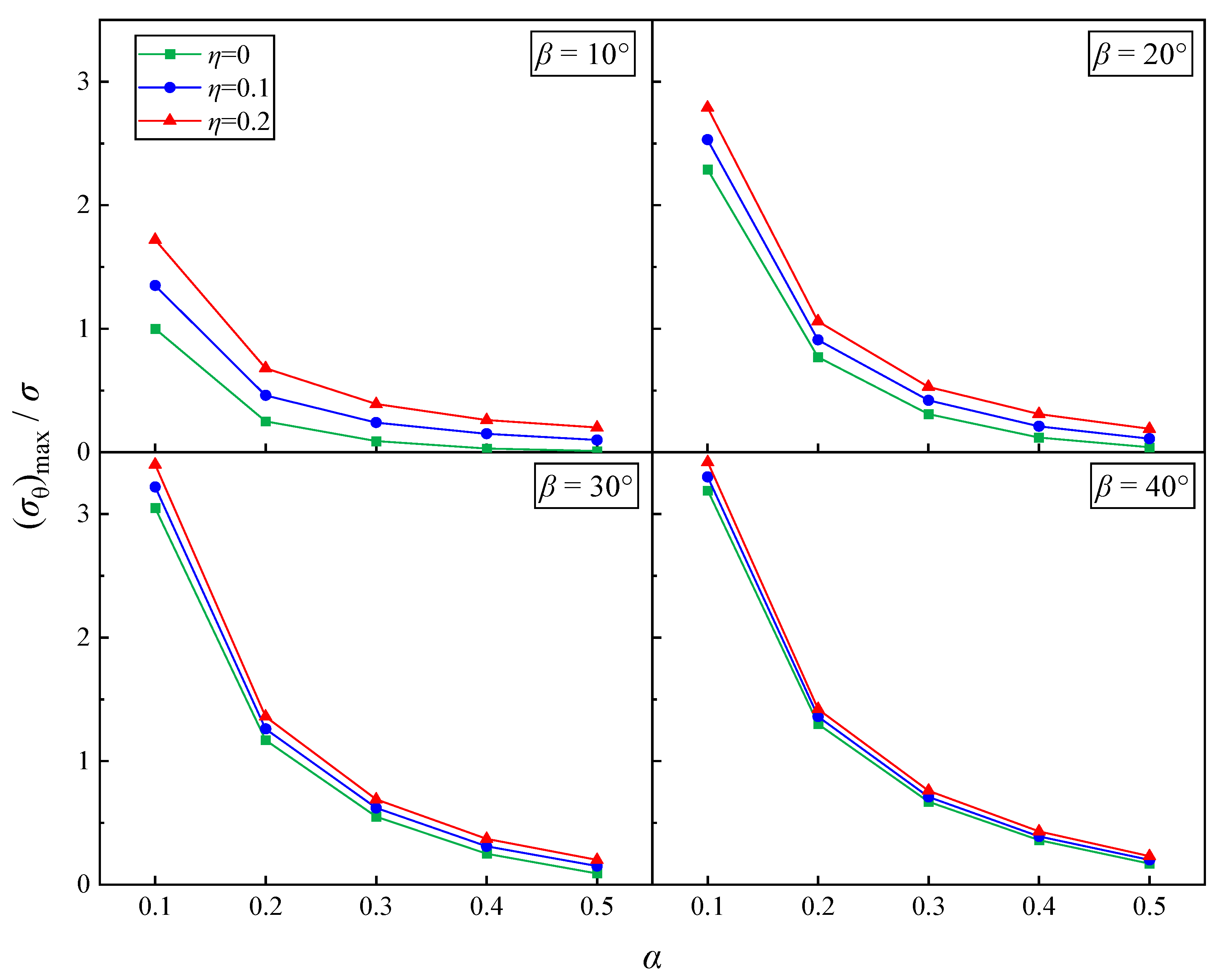
4.4. Circumferential Stress at the Crack Under Compression-Shear Stress
4.5. Fracture Process Zone Analysis of Open Crack Specimens Under Compression-Shear Stress

5. Conclusions
- (1)
- Open crack gypsum specimens of different sizes produce similar stress–strain curves that initially rises slowly in a nonlinear fashion, followed by a linear increase. After reaching the peak stress, the specimen fails, and the curve drops and gradually stabilizes. The uniaxial compressive strength of the specimens exhibits a significant size effect, with smaller specimens exhibiting higher compressive strength.
- (2)
- The open crack specimens usually produce tension cracks first, and specimens of different sizes exhibit similar crack propagation paths which are strongly influenced by β. As β increases θ gradually increases. At β = 90°, shear failure is observed to occur. When specimens of the same β are compared, an increase in specimen size leads to a corresponding rise in θ, indicating size effect.
- (3)
- With β below 50°, the MTS theoretical curve differs significantly from the test value, while the GMTS theoretical curves of smaller α are consistent with the test values of lager specimens. As β increases, the theoretical curve gradually exceeds the test value, and the deviation degree gradually increases.
- (4)
- For the same β, larger specimens had higher circumferential stress, requiring less stress to reach failure. The decrease in the effect of the passivation coefficient (η) on circumferential stress as β increases indicates that the role of η becomes less significant at higher β values.
- (5)
- Under uniaxial compression, rc decreases with increasing specimen size, fitting a linear relationship: (R2 = 0.45622). From an energy perspective, the FPZ serves as a crucial energy-absorbing zone that influences fracture behavior, indicating that the size effect is a vital consideration in the design and assessment of quasi-brittle materials under compression-shear stress.
Author Contributions
Funding
Institutional Review Board Statement
Informed Consent Statement
Data Availability Statement
Conflicts of Interest
References
- Aliha, M.R.M.; Ayatollahi, M.R.; Smith, D.J.; Pavier, M.J. Geometry and size effects on fracture trajectory in a limestone rock under mixed mode loading. Eng. Fract. Mech. 2010, 77, 2200–2212. [Google Scholar] [CrossRef]
- Adams, M.; Sines, G. Crack extension from flaws in a brittle material subjected to compression. Tectonophysics 1978, 49, 97–118. [Google Scholar] [CrossRef]
- Manouchehrian, A.; Sharifzadeh, M.; Marji, M.F.; Gholamnejad, J. A bonded particle model for analysis of the flaw orientation effect on crack propagation mechanism in brittle materials under compression. Arch. Civ. Mech. Eng. 2014, 14, 40–52. [Google Scholar] [CrossRef]
- Fowell, R.J. Suggested method for determining mode I fracture toughness using Cracked Chevron Notched Brazilian Disc (CCNBD) specimens. Int. J. Rock Mech. Min. Sci. Geomech. Abstr. 1995, 32, 57–64. [Google Scholar] [CrossRef]
- Yuan, B.; Liang, J.; Huang, X.; Huang, Q.; Zhang, B.; Yang, G.; Wang, Y.; Yuan, J.; Wang, H.; Yuan, P. Eco-efficient recycling of engineering muck for manufacturing low-carbon geopolymers assessed through LCA: Exploring the impact of synthesis conditions on performance. Acta Geotech. 2024. [CrossRef]
- Liu, H.; Chu, J.; Kavazanjian, E. Biogeotechnics: A new frontier in geotechnical engineering for sustainability. Biogeotechnics 2023, 1, 100001. [Google Scholar] [CrossRef]
- Tang, S.B.; Bao, C.Y.; Liu, H.Y. Brittle fracture of rock under combined tensile and compressive loading conditions. Can. Geotech. J. 2016, 54, 88–101. [Google Scholar] [CrossRef]
- Vasarhelyi, B.; Bobet, A. Modeling of crack initiation, propagation and coalescence in uniaxial compression. Rock Mech. Rock Eng. 2000, 33, 119–139. [Google Scholar] [CrossRef]
- Gratchev, I.; Kim, D.H.; Yeung, C.K. Strength of Rock-Like Specimens with Pre-existing Cracks of Different Length and Width. Rock Mech. Rock Eng. 2016, 49, 4491–4496. [Google Scholar] [CrossRef]
- Yuan, B.; Chen, W.; Li, Z.; Zhao, J.; Luo, Q.; Chen, W.; Chen, T. Sustainability of the polymer SH reinforced recycled granite residual soil: Properties, physicochemical mechanism, and applications. J. Soils Sediments 2023, 23, 246–262. [Google Scholar] [CrossRef]
- Yuan, B.; Liang, J.; Lin, H.; Wang, W.; Xiao, Y. Experimental Study on Influencing Factors Associated with a New Tunnel Waterproofing for Improved Impermeability. J. Test. Eval. 2024, 52, JTE20230417. [Google Scholar] [CrossRef]
- Wang, J.; Huang, S.; Hu, J. Limit of crack depth in KIC testing for a clay. Eng. Fract. Mech. 2016, 164, 19–23. [Google Scholar] [CrossRef]
- Zhao, Y.; Zheng, K.; Wang, C.; Bi, J.; Zhang, H. Investigation on model-I fracture toughness of sandstone with the structure of typical bedding inclination angles subjected to three-point bending. Theor. Appl. Fract. Mech. 2022, 119, 103327. [Google Scholar] [CrossRef]
- Han, X.; Wu, Z.; Jia, M.; Zheng, J.; Yu, R.C. A new method for determining the tension-softening curve of concrete. Theor. Appl. Fract. Mech. 2023, 126, 103992. [Google Scholar] [CrossRef]
- Chen, S. A Stress Intensity Factor Analysis of Lining with Cracks. J. Wuyi Univ. Nat. Sci. Ed. 2017, 31, 73–78. (In Chinese) [Google Scholar] [CrossRef]
- Li, H.; Wong, L.N.Y. Influence of flaw inclination angle and loading condition on crack initiation and propagation. Int. J. Solids Struct. 2012, 49, 2482–2499. [Google Scholar] [CrossRef]
- Cao, R.; Cao, P.; Lin, H.; Ma, G.; Chen, Y. Failure characteristics of intermittent fissures under a compressive-shear test: Experimental and numerical analyses. Theor. Appl. Fract. Mech. 2018, 96, 740–757. [Google Scholar] [CrossRef]
- Wang, J.; Lv, C.; Huang, S.; Qiu, Z. Size effect on fracture behavior of quasi-brittle materials during uniaxial compression tests. Arch. Appl. Mech. 2023, 93, 3171–3188. [Google Scholar] [CrossRef]
- Zhang, X.; Wong, L.N.Y. Cracking Processes in Rock-Like Material Containing a Single Flaw Under Uniaxial Compression: A Numerical Study Based on Parallel Bonded-Particle Model Approach. Rock Mech. Rock Eng. 2012, 45, 711–737. [Google Scholar] [CrossRef]
- Williams, M.L. On the Stress Distribution at the Base of a Stationary Crack. J. Appl. Mech. 2021, 24, 109–114. [Google Scholar] [CrossRef]
- Ren, L.; Zhu, Z.; Wang, M.; Zheng, T.; Ai, T. Mixed-Mode Elastic-Plastic Fractures: Improved R-Criterion. J. Eng. Mech. 2014, 140, 4014033. [Google Scholar] [CrossRef]
- Gupta, M.; Alderliesten, R.C.; Benedictus, R. A review of T-stress and its effects in fracture mechanics. Eng. Fract. Mech. 2015, 134, 218–241. [Google Scholar] [CrossRef]
- Liu, H. Wing-crack initiation angle: A new maximum tangential stress criterion by considering T-stress. Eng. Fract. Mech. 2018, 199, 380–391. [Google Scholar] [CrossRef]
- Ayatollahi, M.R.; Aliha, M.R.M. Fracture toughness study for a brittle rock subjected to mixed mode I/II loading. Int. J. Rock Mech. Min. Sci. 2007, 44, 617–624. [Google Scholar] [CrossRef]
- Tang, S.B. The effect of T-stress on the fracture of brittle rock under compression. Int. J. Rock Mech. Min. Sci. 2015, 79, 86–98. [Google Scholar] [CrossRef]
- Li, X.F. Elastic T-Stresses for a Closed Crack With and Without Kink. In Encyclopedia of Thermal Stresses; Hetnarski, R.B., Ed.; Springer: Dordrecht, The Netherlands, 2014; pp. 1183–1191. ISBN 978-94-007-2739-7. [Google Scholar]
- Smith, D.; Ayatollahi, M.R.; Pavier, M.J. The Role of T-Stress in Brittle Fracture for Linear Elastic Materials Under Mixed Mode Loading. Fatigue Fract. Eng. Mater. Struct. 2008, 24, 137–150. [Google Scholar] [CrossRef]
- Li, X.; Liu, G.; Lee, K.Y. Effects of T-stresses on fracture initiation for a closed crack in compression with frictional crack faces. Int. J. Fract. 2009, 160, 19–30. [Google Scholar] [CrossRef]
- Esmaeili, A.; Mohammadi, B.; Yousefi, A. Investigation of T-stress and tensile strength effect on crack tip conditions and crack initiation angle in off-axis laminate composite. Theor. Appl. Fract. Mech. 2024, 130, 104283. [Google Scholar] [CrossRef]
- Zhang, J.; Zhou, X. Fracture process zone (FPZ) in quasi-brittle materials: Review and new insights from flawed granite subjected to uniaxial stress. Eng. Fract. Mech. 2022, 274, 108795. [Google Scholar] [CrossRef]
- Cao, X.; Pan, Y.; Zhang, C.; Bi, Y.; Liu, P.; Wang, C.; Tang, C. Molecular Dynamics Study on Crack Angle Effect on Amorphous Silica Fracture Performance. Minerals 2023, 13, 1068. [Google Scholar] [CrossRef]
- Wang, J.; Huang, S.; Guo, W.; Qiu, Z.; Kang, K. Experimental study on fracture toughness of a compacted clay using semi-circular bend specimen. Eng. Fract. Mech. 2020, 224, 106814. [Google Scholar] [CrossRef]
- Ayatollahi, M.R.; Mirmohammadi, S.A.; Shirazi, H.A. The tension-shear fracture behavior of polymeric bone cement modified with hydroxyapatite nano-particles. Arch. Civ. Mech. Eng. 2018, 18, 50–59. [Google Scholar] [CrossRef]
- Golewski, G.L. Effect of Coarse Aggregate Grading on Mechanical Parameters and Fracture Toughness of Limestone Concrete. Infrastructures 2023, 8, 117. [Google Scholar] [CrossRef]
- Rao, Q.; Sun, Z.; Stephansson, O.; Li, C.; Stillborg, B. Shear fracture (Mode II) of brittle rock. Int. J. Rock Mech. Min. Sci. 2003, 40, 355–375. [Google Scholar] [CrossRef]
- Xu, J.; Li, Z. Damage evolution and crack propagation in rocks with dual elliptic flaws in compression. Acta Mech. Solida Sin. 2017, 30, 573–582. [Google Scholar] [CrossRef]
- Lin, H.; Yang, H.; Wang, Y.; Zhao, Y.; Cao, R. Determination of the stress field and crack initiation angle of an open flaw tip under uniaxial compression. Theor. Appl. Fract. Mech. 2019, 104, 102358. [Google Scholar] [CrossRef]
- Bažant, Z.P. Size Effect in Blunt Fracture: Concrete, Rock, Metal. J. Eng. Mech. 1984, 110, 518–535. [Google Scholar] [CrossRef]
- Ayatollahi, M.R.; Akbardoost, J. Size and geometry effects on rock fracture toughness; mode I fracture. Rock Mech. Rock Eng. 2014, 47, 677–687. [Google Scholar] [CrossRef]
- Baecher, G.B.; Einstein, H.H. Size effect in rock testing. Geophys. Res. Lett. 1981, 8, 671–674. [Google Scholar] [CrossRef]
- Duan, K.; Hu, X.; Wittmann, F.H. Size effect on specific fracture energy of concrete. Eng. Fract. Mech. 2007, 74, 87–96. [Google Scholar] [CrossRef]
- Cornetti, P.; Pugno, N.; Carpinteri, A.; Taylor, D. Finite fracture mechanics: A coupled stress and energy failure criterion. Eng. Fract. Mech. 2006, 73, 2021–2033. [Google Scholar] [CrossRef]
- Morel, S. Size effect in quasibrittle fracture: Derivation of the energetic Size Effect Law from equivalent LEFM and asymptotic analysis. Int. J. Fract. 2008, 154, 15–26. [Google Scholar] [CrossRef]
- Bažant, Z.P. Size effect. Int. J. Solids Struct. 2000, 37, 69–80. [Google Scholar] [CrossRef]
- Ferretti, E. A discrete nonlocal formulation using local constitutive laws. Int. J. Fract. 2004, 130, L175–L182. [Google Scholar] [CrossRef]
- Saouma, V.E.; Natekar, D.; Hansen, E. Cohesive stresses and size effects in elasto-plastic and quasi-brittle materials. Int. J. Fract. 2003, 119, 287–298. [Google Scholar] [CrossRef]
- Karihaloo, B.L. Size effect in shallow and deep notched quasi-brittle structures. Int. J. Fract. 1999, 95, 379–390. [Google Scholar] [CrossRef]
- Hu, X.; Duan, K. Mechanism behind the Size Effect Phenomenon. J. Eng. Mech. 2010, 136, 60–68. [Google Scholar] [CrossRef]
- Wang, B.; Zhu, E.; Zhu, C.; Zhang, Z. Size effect on the FPZ length in notched beams: Mesoscopic method and theoretical analytical. Theor. Appl. Fract. Mech. 2023, 125, 103866. [Google Scholar] [CrossRef]
- Hu, Z.; Xie, L.; Qin, Y.; Liu, X.; Qian, J. Numerical simulation of size effect of defective rock under compression condition. Sci. Rep. 2023, 13, 420. [Google Scholar] [CrossRef]
- Jin, L.; Li, J.; Yu, W.; Du, X. Size effect modelling for dynamic biaxial compressive strength of concrete: Influence of lateral stress ratio and strain rate. Int. J. Impact Eng. 2021, 156, 103942. [Google Scholar] [CrossRef]
- Wong, L.N.Y.; Einstein, H.H. Crack Coalescence in Molded Gypsum and Carrara Marble: Part 1. Macroscopic Observations and Interpretation. Rock Mech. Rock Eng. 2009, 42, 475–511. [Google Scholar] [CrossRef]
- Einstein, H.H.; Hirschfeld, R.C. Model studies on mechanics of jointed rock. J. Soil Mech. Found. Div. 1973, 99, 229–248. [Google Scholar] [CrossRef]
- Basista, M.; Gross, D. The sliding crack model of brittle deformation: An internal variable approach. Int. J. Solids Struct. 1998, 35, 487–509. [Google Scholar] [CrossRef]
- Fan, Y.; Zhu, Z.; Zhao, Y.; Zhou, L.; Qiu, H.; Niu, C. Analytical solution of T-stresses for an inclined crack in compression. Int. J. Rock Mech. Min. Sci. 2021, 138, 104433. [Google Scholar] [CrossRef]
- Muskhelishvili, N.I. Some Basic Problems of the Mathematical Theory of Elasticity. Am. Math. Mon. 1967, 74, 752. [Google Scholar]
- Ewing, J.G.W.D. Fracture under complex stress—The angled crack problem. Int. J. Fract. 1972, 8, 441–446. [Google Scholar] [CrossRef]
- Wong, L.N.Y.; Einstein, H.H. Crack Coalescence in Molded Gypsum and Carrara Marble: Part 2—Microscopic Observations and Interpretation. Rock Mech. Rock Eng. 2009, 42, 513–545. [Google Scholar] [CrossRef]
- Erdogan, F.; Sih, G.C. On the Crack Extension in Plates Under Plane Loading and Transverse Shear. J. Basic Eng. 1963, 85, 519–525. [Google Scholar] [CrossRef]
- Ayatollahi, M.R.M.A.; Ayatollahi, M.R. Two-parameter fracture analysis of SCB rock specimen under mixed mode loading. Eng. Fract. Mech. 2013, 103, 115–123. [Google Scholar]
- Miao, S.; Pan, P.; Wu, Z.; Li, S.; Zhao, S. Fracture analysis of sandstone with a single filled flaw under uniaxial compression. Eng. Fract. Mech. 2018, 204, 319–343. [Google Scholar] [CrossRef]
- Jin, J.; Cao, P.; Chen, Y.; Pu, C.; Mao, D.; Fan, X. Influence of single flaw on the failure process and energy mechanics of rock-like material. Comput. Geotech. 2017, 86, 150–162. [Google Scholar] [CrossRef]
- Wong, L.N.Y.; Einstein, H.H. Systematic evaluation of cracking behavior in specimens containing single flaws under uniaxial compression. Int. J. Rock Mech. Min. Sci. 2009, 46, 239–249. [Google Scholar] [CrossRef]
- Vesga, L.F.; Vallejo, L.E.; Lobo-Guerrero, S. DEM analysis of the crack propagation in brittle clays under uniaxial compression tests. Int. J. Numer. Anal. Methods Geomech. 2008, 32, 1405–1415. [Google Scholar] [CrossRef]
- Chang, S.H.; Lee, C.I.; Jeon, S. Measurement of rock fracture toughness under modes I and II and mixed-mode conditions by using disc-type specimens. Eng. Geol. 2002, 66, 79–97. [Google Scholar] [CrossRef]












| L/(mm) | 2b/(mm) | 2a/(mm) | β/(°) |
|---|---|---|---|
| 75 | 1 | 37.5 | 0, 10, 20, 30, 40, 50, 60, 70, 80, 90 |
| 100 | 50 | ||
| 125 | 62.5 | ||
| 150 | 75 |
| L/mm | β/° | |||
|---|---|---|---|---|
| 10 | 20 | 30 | 40 | |
| 75 | 1.15 | 2.43 | 2.16 | 2.84 |
| 100 | 1.13 | 1.81 | 2.00 | 2.53 |
| 125 | 0.76 | 1.70 | 1.60 | 1.41 |
| 150 | 0.61 | 1.37 | 1.17 | 0.19 |
Disclaimer/Publisher’s Note: The statements, opinions and data contained in all publications are solely those of the individual author(s) and contributor(s) and not of MDPI and/or the editor(s). MDPI and/or the editor(s) disclaim responsibility for any injury to people or property resulting from any ideas, methods, instructions or products referred to in the content. |
© 2024 by the authors. Licensee MDPI, Basel, Switzerland. This article is an open access article distributed under the terms and conditions of the Creative Commons Attribution (CC BY) license (https://creativecommons.org/licenses/by/4.0/).
Share and Cite
Li, Z.; Huang, S.; Lv, C.; Liao, C.; Li, X.; Du, H. Experimental Study on the Size Effect of Compression-Shear Fracture Characteristics of Rock-like Materials Containing Open Cracks. Materials 2024, 17, 5941. https://doi.org/10.3390/ma17235941
Li Z, Huang S, Lv C, Liao C, Li X, Du H. Experimental Study on the Size Effect of Compression-Shear Fracture Characteristics of Rock-like Materials Containing Open Cracks. Materials. 2024; 17(23):5941. https://doi.org/10.3390/ma17235941
Chicago/Turabian StyleLi, Zixuan, Shiyuan Huang, Chuan Lv, Cheng Liao, Xudong Li, and Hongbo Du. 2024. "Experimental Study on the Size Effect of Compression-Shear Fracture Characteristics of Rock-like Materials Containing Open Cracks" Materials 17, no. 23: 5941. https://doi.org/10.3390/ma17235941
APA StyleLi, Z., Huang, S., Lv, C., Liao, C., Li, X., & Du, H. (2024). Experimental Study on the Size Effect of Compression-Shear Fracture Characteristics of Rock-like Materials Containing Open Cracks. Materials, 17(23), 5941. https://doi.org/10.3390/ma17235941
