Antioxidant Behavior of Carbon/Carbon Composites with Hot Dip Plating and Electroplating for Single-Crystal Furnaces
Abstract
1. Introduction
2. Experimental Materials and Methods
2.1. Experimental Methods
2.2. Coating Characterization
2.3. High-Temperature Oxidation Test
2.4. Silicon Vapor Corrosion Test
- Sample pretreatment: The coated samples and C/C composites materials are subjected to degreasing and decontamination procedures to eliminate any impurity elements that could potentially influence the corrosion results during the experimental process.
- Corrosion experiment: The sample is positioned in a crucible with a layer of monocrystalline silicon raw material added to the bottom. The crucible is then subjected to multiple vacuum cycles, followed by the introduction of argon to purge the furnace of air. The temperature is subsequently raised to 1450 °C and maintained for 5 h. After cooling, the sample is extracted and analyzed using microscopic morphology observation and energy-dispersive spectroscopy.
3. Results and Analysis
3.1. Analysis of Orthogonal Experiment Results
3.2. XRD Scanning Results After Coating and Coating Oxidation
3.3. Coating SEM Scanning Results and Microstructure
3.4. Coating EDS Analysis
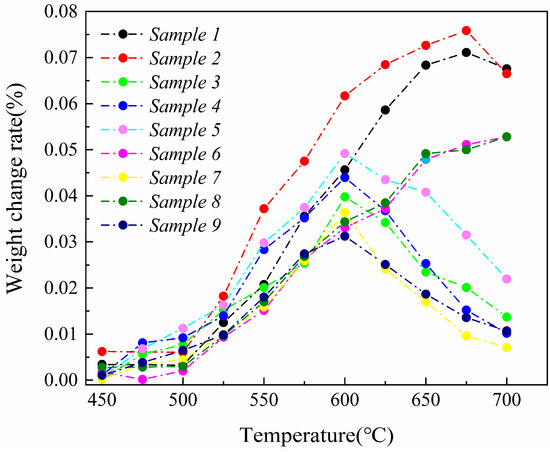
3.5. High-Temperature Oxidation Performance of Coatings
3.6. Micro-Morphology of Coatings After Oxidation
3.7. Silicon Vapor Corrosion Test Results for Coatings
4. Conclusions
Author Contributions
Funding
Institutional Review Board Statement
Informed Consent Statement
Data Availability Statement
Acknowledgments
Conflicts of Interest
Appendix A. Orthogonal Analysis Method
| No. | A | B | C | Index |
|---|---|---|---|---|
| 1 | 1 | 1 | 1 | X1 |
| 2 | 1 | 2 | 2 | X2 |
| 3 | 1 | 3 | 3 | X3 |
| 4 | 2 | 1 | 2 | X4 |
| 5 | 2 | 2 | 3 | X5 |
| 6 | 2 | 3 | 1 | X6 |
| 7 | 3 | 1 | 3 | X7 |
| 8 | 3 | 2 | 1 | X8 |
| 9 | 3 | 3 | 2 | X9 |
| I1j | I11 = X1 + X2 + X3 | I12 = X1 + X4 + X7 | I13 = X1 + X6 + X8 | |
| II2j | II21 = X4 + X5 + X6 | II22 = X2 + X5 + X8 | II23 = X2 + X4 + X9 | |
| III3j | III31 = X7 + X8 + X9 | III32 = X3 + X6 + X9 | III33 = X3 + X5 + X7 | |
| K1j | I11/3 | I12/3 | I13/3 | |
| K2j | II21/3 | II22/3 | II23/3 | |
| K3j | III31/3 | III32/3 | III33/3 | |
| R | (Max–Min)(I11, II21, III31) | (Max–Min)(I12, II22, III32) | (Max–Min)(I13, II23, III33) |
References
- Song, L.; Yu, X. Defect Engineering in Cast Mono-like Silicon: A Review. Prog. Photovolt. Res. Appl. 2021, 29, 294–314. [Google Scholar] [CrossRef]
- Fu, Q.; Zhang, P.; Zhuang, L.; Zhou, L.; Zhang, J.; Wang, J.; Hou, X.; Riedel, R.; Li, H. Micro/Nano Multiscale Reinforcing Strategies toward Extreme High-Temperature Applications: Take Carbon/Carbon Composites and Their Coatings as the Examples. J. Mater. Sci. Technol. 2022, 96, 31–68. [Google Scholar] [CrossRef]
- Sanoj, P.; Kandasubramanian, B. Hybrid Carbon-Carbon Ablative Composites for Thermal Protection in Aerospace. J. Compos. 2014, 2014, 825607. [Google Scholar] [CrossRef]
- Tzeng, S.-S.; Chr, Y.-G. Evolution of Microstructure and Properties of Phenolic Resin-Based Carbon/Carbon Composites during Pyrolysis. Mater. Chem. Phys. 2002, 73, 162–169. [Google Scholar] [CrossRef]
- Han, M.; Zhou, C.; Silberschmidt, V.V.; Bi, Q. Oxidation Behaviour and Residual Mechanical Properties of Carbon/Carbon Composites. Carbon Lett. 2023, 33, 1241–1252. [Google Scholar] [CrossRef]
- McKee, D.W. Oxidation Behavior and Protection of Carbon/Carbon Composites. Carbon 1987, 25, 551–557. [Google Scholar] [CrossRef]
- Sheehan, J.E.; Buesking, K.W.; Sullivan, B.J. Carbon-Carbon Composites. Annu. Rev. Mater. Res. 1994, 24, 19–44. [Google Scholar] [CrossRef]
- Jin, X.; Fan, X.; Lu, C.; Wang, T. Advances in Oxidation and Ablation Resistance of High and Ultra-High Temperature Ceramics Modified or Coated Carbon/Carbon Composites. J. Eur. Ceram. Soc. 2018, 38, 1–28. [Google Scholar] [CrossRef]
- Shojaie-bahaabad, M.; Bozorg, M.; Najafizadeh, M.; Cavaliere, P. Ultra High Temperature Ceramic Coatings in Thermal Protection Systems (TPS). Ceram. Int. 2024, 50, 9937–9951. [Google Scholar] [CrossRef]
- Chen, S.; Qiu, X.; Zhang, B.; Xu, J.; Zhong, F.; Zhu, B.; Zhang, Y.; Ou-Yang, J.; Yang, X. Advances in Antioxidation Coating Materials for Carbon/Carbon Composites. J. Alloys Compd. 2021, 886, 161143. [Google Scholar] [CrossRef]
- Xu, L.; Yang, W.; Fan, Z.; Li, X.; Li, W.; Song, Y.; Feng, Z.; Zhang, D. Fabrication of Low-Density Carbon-Bonded Carbon Fiber Composites with an Hf-Based Coating for High Temperature Applications. RSC Adv. 2018, 8, 19171–19180. [Google Scholar] [CrossRef] [PubMed]
- Zhu, X.; Zhang, Y.; Zhang, J.; Li, T.; Li, J.; Chen, R. A Gradient Composite Coating to Protect SiC-Coated C/C Composites against Oxidation at Mid and High Temperature for Long-Life Service. J. Eur. Ceram. Soc. 2021, 41, 123–131. [Google Scholar] [CrossRef]
- Li, J.; Luo, R.; Lin, C.; Bi, Y.; Xiang, Q. Oxidation Resistance of a Gradient Self-Healing Coating for Carbon/Carbon Composites. Carbon 2007, 45, 2471–2478. [Google Scholar] [CrossRef]
- Huang, J.; Guo, L.; Xu, M.; Zhang, P. Effect of Pack Cementation Temperatures on Component, Microstructure and Anti-Oxidation Performance of Al-Modified SiC Coatings on C/C Composites. Ceram. Int. 2020, 46, 8293–8298. [Google Scholar] [CrossRef]
- Chen, H.; Ma, Z.; Wang, Y.; Wei, T.; Yang, H.; Du, P.; Wang, X.; Zhang, R. An Orthogonal Experimental Study on the Preparation of Cr Coatings on Long-Size Zr Alloy Tubes by Arc Ion Plating. Materials 2022, 15, 7177. [Google Scholar] [CrossRef]
- Feng, G.; Chen, L.; Yao, X.; Yu, Y.; Li, H. Design and Characterization of Zirconium-Based Multilayer Coating for Carbon/Carbon Composites against Oxyacetylene Ablation. Corros. Sci. 2021, 192, 109785. [Google Scholar] [CrossRef]
- Goodwin, F.E. Overview of Recent Advancements in Hot Dip Metallic Coatings for Steel. Trans. Indian Inst. Met. 2023, 76, 2295–2305. [Google Scholar] [CrossRef]
- Dey, P.P.; Sahu, S.; Banerjee, P.S.; Ghosh, M. A Review on Metallurgical Features of Hot-Dip Aluminized Steel. Eng. Res. Express 2023, 5, 012002. [Google Scholar] [CrossRef]
- Yu, Z.; Hu, J.; Meng, H. A Review of Recent Developments in Coating Systems for Hot-Dip Galvanized Steel. Front. Mater. 2020, 7, 74. [Google Scholar] [CrossRef]
- Chakraborty, A.; Ghosh, R.; Sudan, M.; Mondal, A. Improvement in Hot Dip Galvanized Coating Microstructure and Properties by Pre-Metallic Deposition on Steel Surface: A Comprehensive Review. Surf. Coat. Technol. 2022, 449, 128972. [Google Scholar] [CrossRef]
- Li, F.; Ni, H.; Yang, L.; Jiang, Y.; Wang, D.; Sun, B. Investigation of Fused Alumina Based-Mold Facecoats for DZ22B Directionally Solidified Blades. Materials 2019, 12, 606. [Google Scholar] [CrossRef] [PubMed]
- Tu, H.; Zhang, Z.; Liu, Y.; Wu, C.; Peng, H.; Wang, J.; Su, X. Phase Equilibria of the Al-Ni-Sn System at 600 and 800 °C. J. Phase Equilibria Diffus. 2020, 41, 56–65. [Google Scholar] [CrossRef]
- Mensinger, M.; Gaigl, C. Hot Dip Galvanized Steel Constructions under Fire Exposure. In Proceedings of the IFire SS 2nd International Fire Safety Symposium, Naples, Italy, 7–9 June 2017. [Google Scholar]
- Cheng, W.-J.; Wang, C.-J. Microstructural Evolution of Intermetallic Layer in Hot-Dipp ed Aluminide Mild Steel with Silicon Addition. Surf. Coat. Technol. 2011, 205, 4726–4731. [Google Scholar] [CrossRef]
- Zhang, Y.; Qie, J.; Cui, K.; Fu, T.; Fan, X.; Wang, J.; Zhang, X. Effect of Hot Dip Silicon-Plating Temperature on Microstructure Characteristics of Silicide Coating on Tungsten Substrate. Ceram. Int. 2020, 46, 5223–5228. [Google Scholar] [CrossRef]
- Li, X.; Feng, J.; Jiang, Y.; Li, L.; Feng, J. Anti-Oxidation Performance of Carbon Aerogel Composites with SiCO Ceramic Inner Coating. Ceram. Int. 2019, 45, 9704–9711. [Google Scholar] [CrossRef]
- Zou, X.; Fu, Q.; Liu, L.; Li, H.; Wang, Y.; Yao, X.; He, Z. ZrB2–SiC Coating to Protect Carbon/Carbon Composites against Ablation. Surf. Coat. Technol. 2013, 226, 17–21. [Google Scholar] [CrossRef]
- Raphael, N.; Namratha, K.; Chandrashekar, B.N.; Sadasivuni, K.K.; Ponnamma, D.; Smitha, A.S.; Krishnaveni, S.; Cheng, C.; Byrappa, K. Surface Modification and Grafting of Carbon Fibers: A Route to Better Interface. Prog. Cryst. Growth Charact. Mater. 2018, 64, 75–101. [Google Scholar] [CrossRef]
- Zhang, J.; Zhang, Y.; Fu, Y.; Hu, D.; Meng, J.; Li, T. Ablation Behavior of HfC Coating with Different Thickness for Carbon/Carbon Composites at Ultra-High Temperature. J. Eur. Ceram. Soc. 2021, 41, 1769–1778. [Google Scholar] [CrossRef]
- Zuo, H.; Ruan, F.; Wang, H.; Wang, H.; Wang, X.; Huang, Y.; Wang, R.; Zou, L.; Xu, Z.; Li, D. Advances in Ablation or Oxidation Mechanisms and Behaviors of Carbon Fiber-Reinforced Si-Based Composites. Molecules 2023, 28, 6022. [Google Scholar] [CrossRef]
- Nasonova, A.; Pham, H.C.; Kim, D.-J.; Kim, K.-S. NO and SO2 Removal in Non-Thermal Plasma Reactor Packed with Glass Beads-TiO2 Thin Film Coated by PCVD Process. Chem. Eng. J. 2010, 156, 557–561. [Google Scholar] [CrossRef]
- Ren, X.; Li, H.; Chu, Y.; Li, K.; Fu, Q. ZrB2–SiC Gradient Oxidation Protective Coating for Carbon/Carbon Composites. Ceram. Int. 2014, 40, 7171–7176. [Google Scholar] [CrossRef]
- Su, X.; Bao, Y.; Wan, D.; Zhang, H.; Xu, L.; Grasso, S.; Hu, C. Thermal Shock Resistance of Ti3SiC2 Ceramic under Extremely Rapid Thermal Cycling. J. Alloys Compd. 2021, 866, 158985. [Google Scholar] [CrossRef]
- Nordahl, C.S.; Messing, G.L. Sintering of α-Al2O3-Seeded Nanocrystalline γ-Al2O3 Powders. J. Eur. Ceram. Soc. 2002, 22, 415–422. [Google Scholar] [CrossRef]
- Mei, H.; Zhang, D.; Xia, J.; Yu, C.; Cheng, L. The Effect of Hole Defects on the Oxidation Behaviour of Two-Dimensional C/SiC Composites. Ceram. Int. 2016, 42, 15479–15484. [Google Scholar] [CrossRef]
- Nikanorov, S.P.; Osipov, V.N.; Regel, L.I. Structural and Mechanical Properties of Directionally Solidified Al-Si Alloys. J. Mater. Eng. Perform. 2019, 28, 7302–7323. [Google Scholar] [CrossRef]









| NiCO3 | NiCl2 | H3BO3 | pH | Stirring |
|---|---|---|---|---|
| 406 | 45 | 175.5 | 5.8~6.2 | 500 rpm |
| Reagent | NaCl | KCl | NaF | KF |
|---|---|---|---|---|
| Mass Fraction | 3.6% | 30% | 2.4% | 2.4% |
| Factor | A/min | B/°C | C/Silicon Content (wt %) | |
|---|---|---|---|---|
| Level | ||||
| 1 | 60 | 720 | 0 | |
| 2 | 120 | 740 | 2 | |
| 3 | 180 | 760 | 5 | |
| Experiment Number | A/min | B/°C | C/Silicon Content (%) | y/Oxidative Weight Change (%) |
|---|---|---|---|---|
| 1 | 1 | 1 | 1 | 13.5108 |
| 2 | 1 | 2 | 2 | 17.2460 |
| 3 | 1 | 3 | 3 | 10.0913 |
| 4 | 2 | 1 | 2 | 11.2999 |
| 5 | 2 | 2 | 3 | 15.2080 |
| 6 | 2 | 3 | 1 | 9.6719 |
| 7 | 3 | 1 | 3 | 7.8758 |
| 8 | 3 | 2 | 1 | 10.2643 |
| 9 | 3 | 3 | 2 | 8.3390 |
| I1j | 40.8481 | 32.6865 | 33.4470 | |
| II2j | 36.1798 | 42.7183 | 36.8849 | |
| III3j | 26.4791 | 28.1022 | 33.1751 | |
| K1j | 13.6160 | 10.8955 | 11.1490 | |
| K2j | 12.0599 | 14.2394 | 12.2950 | |
| K3j | 8.8264 | 9.3674 | 11.0584 | |
| R | 4.7896 | 4.8720 | 1.2366 |
Disclaimer/Publisher’s Note: The statements, opinions and data contained in all publications are solely those of the individual author(s) and contributor(s) and not of MDPI and/or the editor(s). MDPI and/or the editor(s) disclaim responsibility for any injury to people or property resulting from any ideas, methods, instructions or products referred to in the content. |
© 2024 by the authors. Licensee MDPI, Basel, Switzerland. This article is an open access article distributed under the terms and conditions of the Creative Commons Attribution (CC BY) license (https://creativecommons.org/licenses/by/4.0/).
Share and Cite
Qi, Z.; Du, C.; Bao, G.; Wang, S.; Gao, D.; Lin, H.; An, Y. Antioxidant Behavior of Carbon/Carbon Composites with Hot Dip Plating and Electroplating for Single-Crystal Furnaces. Materials 2024, 17, 5798. https://doi.org/10.3390/ma17235798
Qi Z, Du C, Bao G, Wang S, Gao D, Lin H, An Y. Antioxidant Behavior of Carbon/Carbon Composites with Hot Dip Plating and Electroplating for Single-Crystal Furnaces. Materials. 2024; 17(23):5798. https://doi.org/10.3390/ma17235798
Chicago/Turabian StyleQi, Zuxing, Chaofan Du, Guoying Bao, Shan Wang, Dedong Gao, Haixing Lin, and Yan An. 2024. "Antioxidant Behavior of Carbon/Carbon Composites with Hot Dip Plating and Electroplating for Single-Crystal Furnaces" Materials 17, no. 23: 5798. https://doi.org/10.3390/ma17235798
APA StyleQi, Z., Du, C., Bao, G., Wang, S., Gao, D., Lin, H., & An, Y. (2024). Antioxidant Behavior of Carbon/Carbon Composites with Hot Dip Plating and Electroplating for Single-Crystal Furnaces. Materials, 17(23), 5798. https://doi.org/10.3390/ma17235798
