Accelerating Discontinuous Precipitation to Increase Strength by Pre-Deformation in Cu-Ni-Si Alloys
Abstract
1. Introduction
2. Experiment Procedure
3. Result and Discussion
4. Conclusions
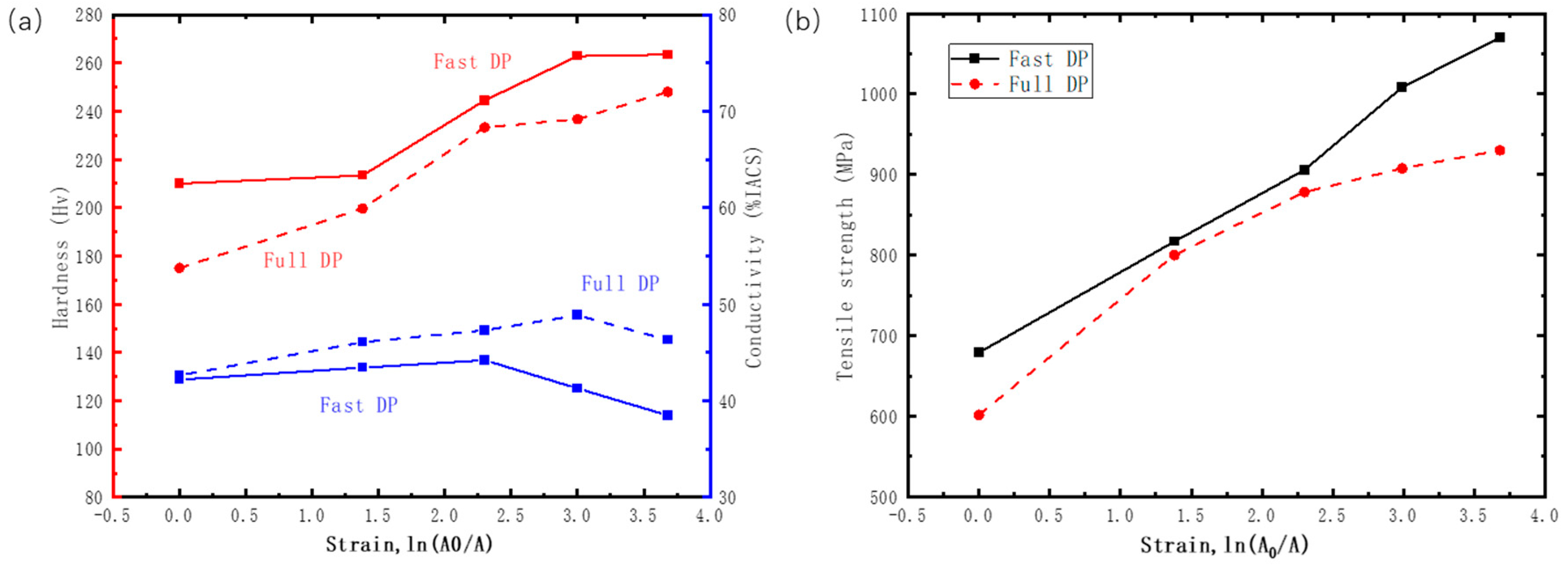
- Compared to traditional Cu-Ni-Si alloys, the fast DP alloy exhibits a higher strength and a good conductivity, with values of 1070 MPa and 38.5% IACS, while the full DP alloy demonstrates a relatively high strength and a superior conductivity, at 930 MPa and 46% IACS, respectively.
- The higher strength of the fast DP alloy is attributed to the shorter inter-distance of DPs and a smaller DP thickness, approximately 38.8 nm and 5.78 nm, respectively. Moreover, fewer coarsened DPs are present near the grain boundaries, as the shorter aging time effectively restrains DP coarsening behavior.
Author Contributions
Funding
Institutional Review Board Statement
Informed Consent Statement
Data Availability Statement
Conflicts of Interest
References
- Hu, T.; Chen, J.; Liu, J.; Liu, Z.; Wu, C. The crystallographic and morphological evolution of the strengthening precipitates in Cu–Ni–Si alloys. Acta Mater. 2013, 61, 1210–1219. [Google Scholar] [CrossRef]
- Li, J.; Huang, G.; Mi, X.; Peng, L.; Xie, H.; Kang, Y. Effect of Ni/Si mass ratio and thermomechanical treatment on the microstructure and properties of Cu-Ni-Si alloys. Materials 2019, 12, 2076. [Google Scholar] [CrossRef] [PubMed]
- Li, J.; Huang, G.; Mi, X.; Peng, L.; Xie, H.; Kang, Y. Microstructure evolution and properties of a quaternary Cu–Ni–Co–Si alloy with high strength and conductivity. Mater. Sci. Eng. A 2019, 766, 138390. [Google Scholar] [CrossRef]
- Liu, F.; Li, J.; Peng, L.; Huang, G.; Xie, H.; Ma, J.; Mi, X. Simultaneously enhanced hardness and electrical conductivity in a Cu–Ni–Si alloy by addition of Cobalt. J. Alloys Compd. 2021, 862, 158667. [Google Scholar] [CrossRef]
- Yi, J.; Jia, Y.; Zhao, Y.; Xiao, Z.; He, K.; Wang, Q.; Wang, M.; Li, Z. Precipitation behavior of Cu-3.0 Ni-0.72 Si alloy. Acta Mater. 2019, 166, 261–270. [Google Scholar] [CrossRef]
- Kim, Y.; Park, D.; Han, J. Mechanical properties and electrical conductivity of Cu-Ni-Si-P alloy for semiconductor leadframe application. In Proceedings of the MS-AIME Fall Meeting, Detroit, MI, USA, 16–20 September 1984; Volume 56. [Google Scholar]
- Rdzawski, Z.; Stobrawa, J. Thermomechanical processing of Cu–Ni–Si–Cr–Mg alloy. Mater. Sci. Technol. 1993, 9, 142–150. [Google Scholar] [CrossRef]
- Lockyer, S.; Noble, F. Precipitate structure in a Cu-Ni-Si alloy. J. Mater. Sci. 1994, 29, 218–226. [Google Scholar] [CrossRef]
- Suzuki, S.; Shibutani, N.; Mimura, K.; Isshiki, M.; Waseda, Y. Improvement in strength and electrical conductivity of Cu–Ni–Si alloys by aging and cold rolling. J. Alloys Compd. 2006, 417, 116–120. [Google Scholar] [CrossRef]
- Monzen, R.; Watanabe, C. Microstructure and mechanical properties of Cu–Ni–Si alloys. Mater. Sci. Eng. A 2008, 483, 117–119. [Google Scholar] [CrossRef]
- Liao, W.; Liu, X.; Yang, Y. Relationship and mechanism between double cold rolling-aging process, microstructure and properties of Cu–Ni–Si alloy prepared by two-phase zone continuous casting. Mater. Sci. Eng. A 2020, 797, 140148. [Google Scholar] [CrossRef]
- Wei, H.; Chen, Y.; Zhao, Y.; Yu, W.; Su, L.; Tang, D. Correlation mechanism of grain orientation/microstructure and mechanical properties of Cu–Ni–Si–Co alloy. Mater. Sci. Eng. A 2021, 814, 141239. [Google Scholar] [CrossRef]
- Tao, S.; Lu, Z.; Xie, H.; Zhang, J.; Wei, X. Effect of preparation method and heat treatment on microstructure and properties of Cu-Ni-Si alloy. Mater. Lett. 2022, 315, 131790. [Google Scholar] [CrossRef]
- Wang, C.; Fu, H.; Zhang, H.; He, X.; Xie, J. Simultaneous enhancement of mechanical and electrical properties of Cu–Ni–Si alloys via thermo-mechanical process. Mater. Sci. Eng. A 2022, 838, 142815. [Google Scholar] [CrossRef]
- Fu, H.; Zhang, Y.; Zhang, M.; Yun, X. Microstructure evolution, precipitation behavior, and mechanical properties of continuously extruded Cu–Ni–Si alloys at different aging treatments. J. Mater. Process. Technol. 2023, 317, 117986. [Google Scholar] [CrossRef]
- Jia, Y.; Pang, Y.; Yi, J.; Lei, Q.; Li, Z.; Xiao, Z. Effects of pre-aging on microstructure and properties of Cu-Ni-Si alloys. J. Alloys Compd. 2023, 942, 169033. [Google Scholar] [CrossRef]
- Li, Y.-H.; Chen, S.-F.; Song, H.-W.; Zhang, S.-H. Enhanced mechanical properties and strengthening mechanism of Cu-Ni-Si alloy with trace chromium addition. Mater. Today Commun. 2024, 38, 107729. [Google Scholar] [CrossRef]
- Ahn, J.H.; Han, S.Z.; Choi, E.-A.; Lee, G.Y.; Kim, K.; Lee, J.; Han, H.N. Simple optimization for strength and conductivity of Cu-Ni-Si alloy with discontinuous precipitation. Mater. Charact. 2022, 184, 111605. [Google Scholar] [CrossRef]
- Ahn, J.H.; Han, S.Z.; Choi, E.-A.; Lee, H.; Lim, S.H.; Lee, J.; Kim, K.; Hwang, N.M.; Han, H.N. The effect of bimodal structure with nanofibers and normal precipitates on the mechanical and electrical properties of CuNiSi alloy. Mater. Charact. 2020, 170, 110642. [Google Scholar] [CrossRef]
- Choi, E.A.; Han, S.Z.; Ahn, J.H.; Semboshi, S.; Lee, J.; Lim, S.H. Computational Screening of Efficient Additive Elements to Stabilize the Interface between Cu Matrix and Ni2Si Precipitates in Cu–Ni–Si Alloys. J. Jpn. Inst. Copp. 2021, 60, 293–297. [Google Scholar]
- Choi, E.-A.; Han, S.Z.; Kim, H.G.; Ahn, J.H.; Lim, S.H.; Kim, S.; Hwang, N.-M.; Kim, K.; Lee, J. Coherent interface driven super-plastic elongation of brittle intermetallic nano-fibers at room temperature. J. Mater. Sci. Technol. 2022, 115, 97–102. [Google Scholar] [CrossRef]
- Han, S.Z.; Choi, E.-A.; Lim, S.H.; Kim, S.; Lee, J. Alloy design strategies to increase strength and its trade-offs together. Prog. Mater. Sci. 2021, 117, 100720. [Google Scholar] [CrossRef]
- Han, S.Z.; Jeong, I.-S.; Ryu, B.; Lee, S.J.; Ahn, J.H.; Choi, E.-A. Enhanced strength of Cu-Ni-Si alloy via heterogeneous nucleation at grain boundaries during homogenization. Mater. Charact. 2024, 215, 114198. [Google Scholar] [CrossRef]
- Han, S.Z.; Kang, J.; Kim, S.-D.; Choi, S.-Y.; Kim, H.G.; Lee, J.; Kim, K.; Lim, S.H.; Han, B. Reliable and cost effective design of intermetallic Ni2Si nanowires and direct characterization of its mechanical properties. Sci. Rep. 2015, 5, 15050. [Google Scholar] [CrossRef] [PubMed]
- Han, S.Z.; Lim, S.H.; Kim, S.; Lee, J.; Goto, M.; Kim, H.G.; Han, B.; Kim, K.H. Increasing strength and conductivity of Cu alloy through abnormal plastic deformation of an intermetallic compound. Sci. Rep. 2016, 6, 30907. [Google Scholar] [CrossRef] [PubMed]
- Kim, H.; Ahn, J.H.; Han, S.Z.; Jo, J.; Baik, H.; Kim, M.; Han, H.N. Microstructural characterization of cold-drawn Cu–Ni–Si alloy having high strength and high conductivity. J. Alloys Compd. 2020, 832, 155059. [Google Scholar] [CrossRef]
- Semboshi, S.; Ishikuro, M.; Iwase, A.; Takasugi, T. Microstructural subsequence and phase equilibria in an age-hardenable Cu-Ni-Si alloy. Mater. Trans. 2018, 59, 182–187. [Google Scholar] [CrossRef]
- Semboshi, S.; Kaneno, Y.; Takasugi, T.; Han, S.Z.; Masahashi, N. Effect of composition on the strength and electrical conductivity of Cu-Ti binary alloy wires fabricated by aging and intense drawing. Metall. Mater. Trans. A 2019, 50, 1389–1396. [Google Scholar] [CrossRef]
- Semboshi, S.; Sato, M.; Kaneno, Y.; Iwase, A.; Takasugi, T. Grain boundary character dependence on nucleation of discontinuous precipitates in Cu-Ti alloys. Materials 2017, 10, 415. [Google Scholar] [CrossRef]
- Semboshi, S.; Sato, S.; Ishikuro, M.; Wagatsuma, K.; Iwase, A.; Takasugi, T. Investigation of precipitation behavior in age-hardenable Cu-Ti alloys by an extraction-based approach. Metall. Mater. Trans. A 2014, 45, 3401–3411. [Google Scholar] [CrossRef]
- Semboshi, S.; Sato, S.; Iwase, A.; Takasugi, T. Discontinuous precipitates in age-hardening CuNiSi alloys. Mater. Charact. 2016, 115, 39–45. [Google Scholar] [CrossRef]
- Semboshi, S.; Kaneno, Y.; Takasugi, T.; Masahashi, N. High strength and high electrical conductivity Cu-Ti alloy wires fabricated by aging and severe drawing. Metall. Mater. Trans. A 2018, 49, 4956–4965. [Google Scholar] [CrossRef]
- Han, S.Z.; Semboshi, S.; Ahn, J.H.; Choi, E.-A.; Cho, M.; Kadoi, Y.; Kim, K.; Lee, J. Accelerating heterogeneous nucleation to increase hardness and electrical conductivity by deformation prior to ageing for Cu-4 at.% Ti alloy. Philos. Mag. Lett. 2019, 99, 275–283. [Google Scholar] [CrossRef]
- Cao, Y.; Han, S.Z.; Choi, E.-A.; Ahn, J.H.; Mi, X.; Huang, G.; Lee, S.; Shin, H.; Kim, S.; Lee, J. Effect of pre-deformation before aging on discontinuous precipitation behaviour in Cu-Ni-Si alloys. Philos. Mag. Lett. 2021, 101, 51–59. [Google Scholar] [CrossRef]
- Cao, Y.; Han, S.Z.; Choi, E.-A.; Ahn, J.H.; Mi, X.; Lee, S.; Shin, H.; Kim, S.; Lee, J. Effect of inclusion on strength and conductivity of Cu-Ni-Si alloys with discontinuous precipitation. J. Alloys Compd. 2020, 843, 156006. [Google Scholar] [CrossRef]
- Hatherly, M.; Malin, A. Shear bands in deformed metals. Scr. Metall. 1984, 18, 449–454. [Google Scholar] [CrossRef]
- Quadir, M.Z.; Duggan, B.J. Shear band thickening during rolling of interstitial free steel. ISIJ Int. 2006, 46, 1495–1499. [Google Scholar] [CrossRef][Green Version]
- Bokeloh, J.; Divinski, S.V.; Reglitz, G.; Wilde, G. Tracer measurements of atomic diffusion inside shear bands of a bulk metallic glass. Phys. Rev. Lett. 2011, 107, 235503. [Google Scholar] [CrossRef]
- Chellali, M.; Nandam, S.; Hahn, H. Deformation-induced chemical inhomogeneity and short-circuit diffusion in shear bands of a bulk metallic glass. Phys. Rev. Lett. 2020, 125, 205501. [Google Scholar] [CrossRef]
- Chuang, T.; Fournelle, R.; Gust, W.; Predel, B. Discontinuous coarsening of discontinuous precipitate in a Ni-7.5 at.% In alloy. Acta Metall. 1988, 36, 775–785. [Google Scholar] [CrossRef]






Disclaimer/Publisher’s Note: The statements, opinions and data contained in all publications are solely those of the individual author(s) and contributor(s) and not of MDPI and/or the editor(s). MDPI and/or the editor(s) disclaim responsibility for any injury to people or property resulting from any ideas, methods, instructions or products referred to in the content. |
© 2024 by the authors. Licensee MDPI, Basel, Switzerland. This article is an open access article distributed under the terms and conditions of the Creative Commons Attribution (CC BY) license (https://creativecommons.org/licenses/by/4.0/).
Share and Cite
Cao, Y.; Luo, W.; Zhang, W.; Xie, H.; Yang, Z.; Li, Z.; Peng, L.; Zhu, Y. Accelerating Discontinuous Precipitation to Increase Strength by Pre-Deformation in Cu-Ni-Si Alloys. Materials 2024, 17, 5658. https://doi.org/10.3390/ma17225658
Cao Y, Luo W, Zhang W, Xie H, Yang Z, Li Z, Peng L, Zhu Y. Accelerating Discontinuous Precipitation to Increase Strength by Pre-Deformation in Cu-Ni-Si Alloys. Materials. 2024; 17(22):5658. https://doi.org/10.3390/ma17225658
Chicago/Turabian StyleCao, Yicheng, Wei Luo, Wenjing Zhang, Haofeng Xie, Zhen Yang, Zengde Li, Lijun Peng, and Yunqing Zhu. 2024. "Accelerating Discontinuous Precipitation to Increase Strength by Pre-Deformation in Cu-Ni-Si Alloys" Materials 17, no. 22: 5658. https://doi.org/10.3390/ma17225658
APA StyleCao, Y., Luo, W., Zhang, W., Xie, H., Yang, Z., Li, Z., Peng, L., & Zhu, Y. (2024). Accelerating Discontinuous Precipitation to Increase Strength by Pre-Deformation in Cu-Ni-Si Alloys. Materials, 17(22), 5658. https://doi.org/10.3390/ma17225658

