Review of the Anti-Candida albicans Activity and Physical Properties of Soft Lining Materials Modified with Polyene Antibiotics, Azole Drugs, and Chlorohexidine Salts
Abstract
1. Introduction
2. Classification of SLMs
3. Antifungal Compounds Used in Clinical Dentistry
3.1. Polyene Antibiotics
3.2. Azole Drugs
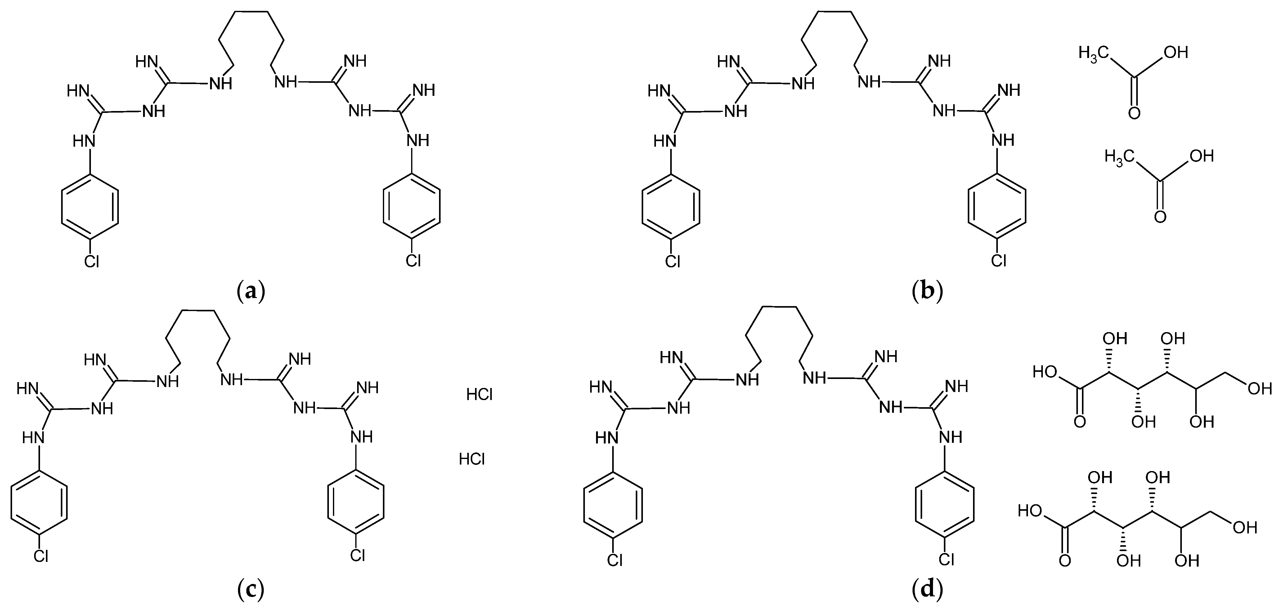
3.3. Chlorohexidine Salts
4. Antifungal Activity
4.1. Polyene Antibiotics
4.1.1. Nystatin
4.1.2. Amphotericin B
4.2. Azole Drugs
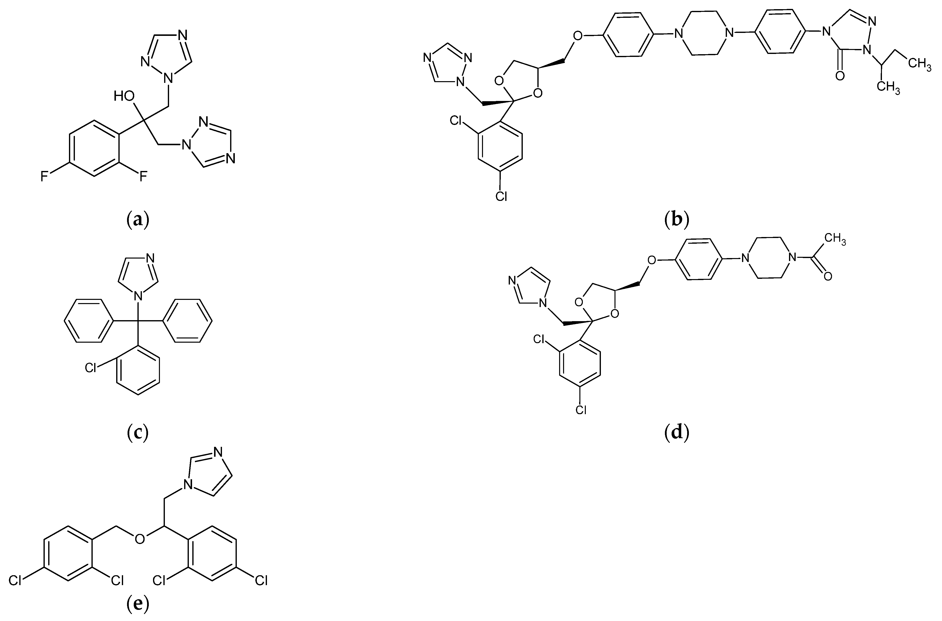
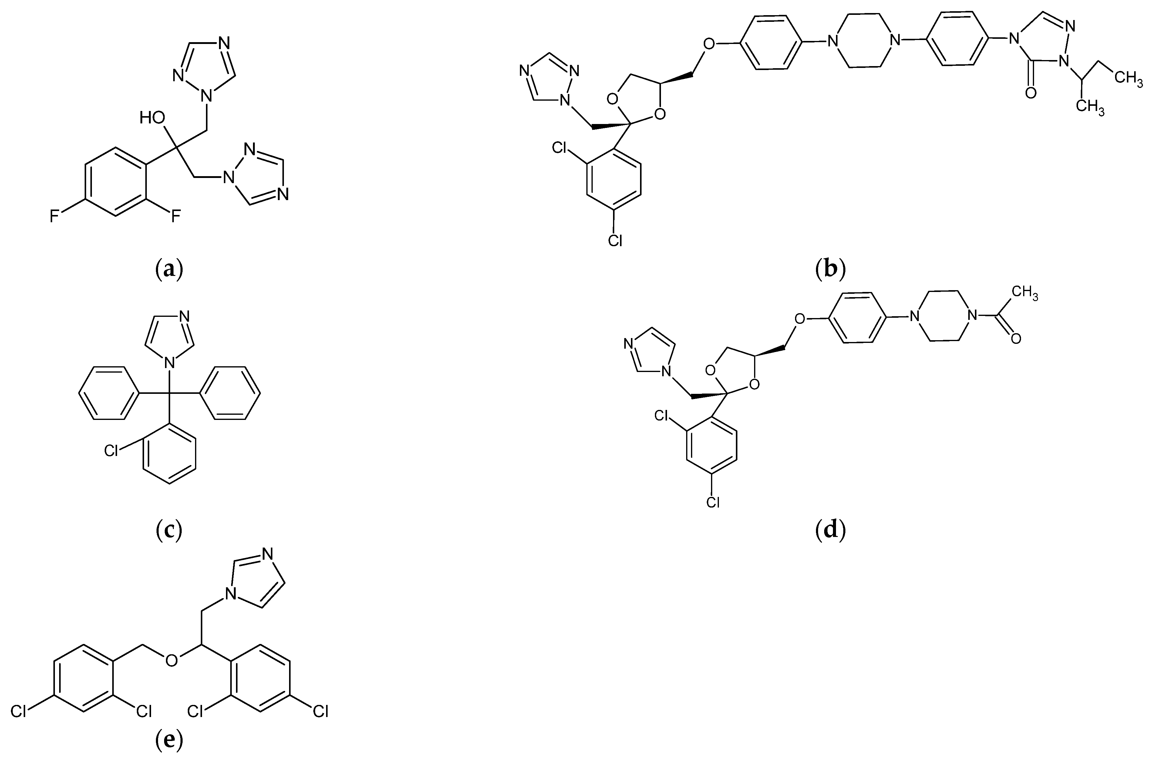
4.2.1. Fluconazole
4.2.2. Itraconazole
4.2.3. Clotrimazole
4.2.4. Ketoconazole
4.2.5. Miconazole
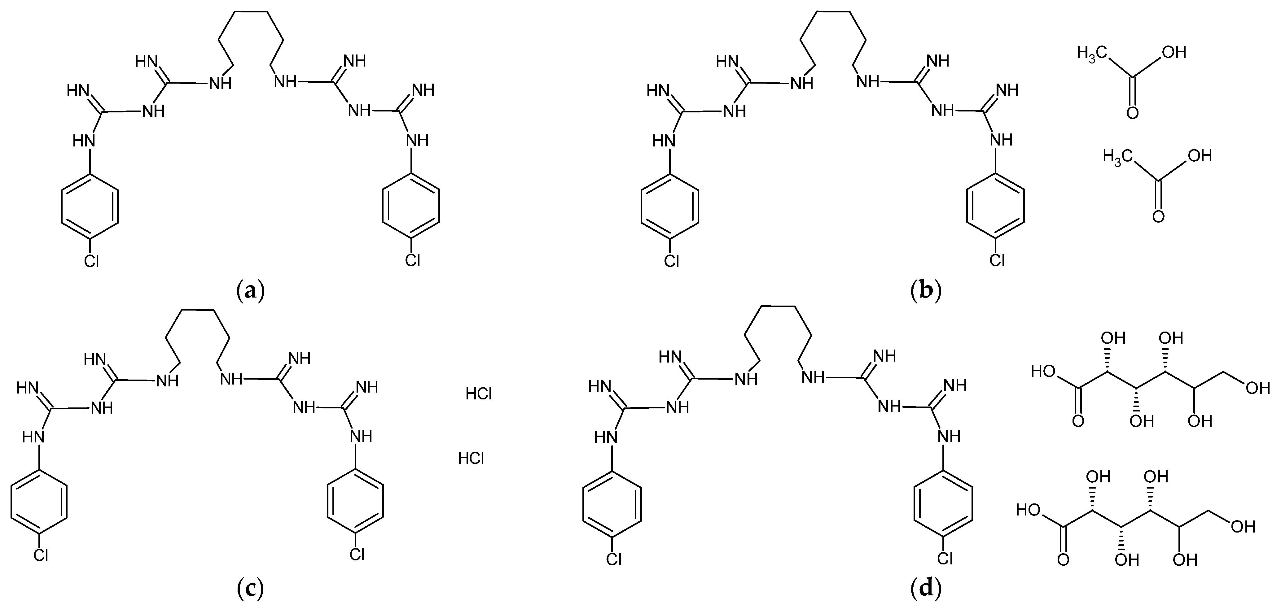
4.3. Chlorhexidine Salts
4.3.1. Chlorhexidine Diacetate
4.3.2. Chlorhexidine Gluconate
5. Comparison of Antifungal Compounds by Their Influence on Antifungal Activity of SLMs
6. Antibacterial Activity
7. Biocompatibility
8. Drug Release
9. Water Sorption
10. Bond Strength
11. Tensile Strength
12. Hardness
13. Surface Properties
14. Conclusions
Author Contributions
Funding
Institutional Review Board Statement
Informed Consent Statement
Data Availability Statement
Conflicts of Interest
References
- World Health Organization. Global Oral Health Status Report: Towards Universal Health Coverage for Oral Health by 2030; World Health Organization: Geneva, Switzerland, 2022. [Google Scholar]
- Hashem, M.I. Advances in Soft Denture Liners: An Update. J. Contemp. Dent. Pract. 2015, 16, 314–318. [Google Scholar] [PubMed]
- Lee, J.H.; Kim, D.H.; Park, Y.G.; Lee, S.Y. Chewing Discomfort According to Dental Prosthesis Type in 12,802 Adults: A Cross-Sectional Study. Int. J. Environ. Res. Public Health 2021, 18, 71. [Google Scholar] [CrossRef] [PubMed]
- Elawady, A.; Mohamed, S.; Nassif, M.R. A study to compare adhered oral flora to soft liner and conventional denture base surface in complete denture patients. Egypt Dent. J. 2019, 65, 3777–3786. [Google Scholar] [CrossRef][Green Version]
- Mutluay, M.M.; Ruyter, I.E. Evaluation of bond strength of soft relining materials to denture base polymers. Dent. Mater. 2007, 23, 1373–1381. [Google Scholar] [CrossRef] [PubMed]
- Zarb, G.A. Prosthodontic Treatment for Edentulous Patients, 12th ed.; Mosby: St. Louis, MO, USA, 2004; pp. 199–203. [Google Scholar]
- Krishnamurth, S.; Hallikerimath, R.B. An In-vitro evaluation of retention, colonization and penetration of commonly used denture lining materials by Candida albicans. J. Clin. Diagn. Res. 2016, 10, 84–88. [Google Scholar] [CrossRef]
- Keyf, F.; Etikan, I. Evaluation of gloss changes of two dentures acrylic resin materials in four different beverages. Dent. Mater. 2004, 20, 244–251. [Google Scholar] [CrossRef]
- León, B.L.; Del Bel Cury, A.A.; Rodrigues Garcia, R.C. Water sorption, solubility, and tensile bond strength of resilient denture lining materials polymerized by different methods after thermal cycling. J. Prosthet. Dent. 2005, 93, 282–287. [Google Scholar] [CrossRef]
- Sahal, G.; Woerdenbag, H.J.; Hinrichs, W.L.; Visser, A.; Tepper, P.G.; Quax, W.J.; van der Mei, H.C.; Bilkay, I.S. Antifungal and biofilm inhibitors effect of Cymbopogon citratus (lemongrass) essential oil on biofilm forming by Candida tropicalis isolates; an in vitro study. J. Ethnopharmacol. 2020, 246, 112188. [Google Scholar] [CrossRef]
- Pavan, S.; Arioli Filho, J.N.; Dos Santos, P.H.; Nogueira, S.S.; Batista, A.U.D. Effect of disinfection treatments on the hardness of soft denture liner materials. J. Prosthodont. 2007, 16, 101–106. [Google Scholar] [CrossRef]
- Avila, M.; Ojcius, D.M.; Yilmaz, O. The oral microbiota: Living with a permanent guest. DNA Cell Biol. 2009, 28, 405–411. [Google Scholar] [CrossRef]
- Chandra, J.; Mukherjee, P.; Leidich, S.; Faddoul, F.; Hoyer, L.; Douglas, L.; Ghannoum, M. Antifungal resistance of candidal biofilms formed on denture acrylic in vitro. J. Dent. Res. 2001, 80, 903–908. [Google Scholar] [CrossRef] [PubMed]
- Arendorf, T.M.; Walker, D.M. Denture stomatitis: A review. J. Oral Rehabil. 1987, 14, 217–227. [Google Scholar] [CrossRef] [PubMed]
- Manikandan, S.; Vinesh, E.; Selvi, D.T.; Kannan, R.K.; Jayakumar, A.; Dinakaran, J. Prevalence of Candida among Denture Wearers and Nondenture Wearers. J. Pharm. Bioallied Sci. 2022, 14, S702–S705. [Google Scholar] [CrossRef] [PubMed]
- Reichart, P.A. Oral mucosal lesions in a representative cross-sectional study of aging Germans. Community Dent. Oral Epidemol. 2000, 28, 390–398. [Google Scholar] [CrossRef]
- Taei, M.; Chadeganipour, M.; Mohammadi, R. An alarming rise of non-albicans Candida species and uncommon yeasts in the clinical samples; a combination of various molecular techniques for identification of etiologic agents. BMC Res. Notes 2019, 12, 779. [Google Scholar] [CrossRef]
- Das, S.; Goswami, A.M.; Saha, T. An insight into the role of protein kinases as virulent factors, regulating pathogenic attributes in Candida albicans. Microbe Pathog. 2022, 164, 105418. [Google Scholar] [CrossRef]
- Akpan, A.; Morgan, R. Oral candidiasis. Postgrad. Med. J. 2002, 78, 455–459. [Google Scholar] [CrossRef]
- Banting, D.W.; Hill, S.A. Microwave disinfection of dentures for the treatment of oral candidiasis. Spec. Care Dent. 2001, 21, 4–8. [Google Scholar] [CrossRef]
- Zhao, H.; Chu, M.; Huang, Z.; Yang, X.; Ran, S.; Hu, B.; Zhang, C.; Liang, J. Variations in oral microbiota associated with oral cancer. Sci. Rep. 2017, 7, 11773. [Google Scholar] [CrossRef]
- Sharma, N.; Bhatia, S.; Sodhi, A.S.; Batra, N. Oral microbiome and health. AIMS Microbiol. 2018, 4, 42–66. [Google Scholar] [CrossRef]
- Cavaleiro, I.; Proença, L.; Félix, S.; Salema-Oom, M. Prevalence of Yeast Other than Candida albicans in Denture Wearers. J. Prosthodont. 2013, 22, 351–357. [Google Scholar] [CrossRef] [PubMed]
- Loster, J.E.; Wieczorek, A.; Loster, B.W. Correlation between age and gender in Candida species infections of complete denture wearers: A retrospective analysis. Clin. Interv. Aging 2016, 11, 1707–1714. [Google Scholar] [CrossRef] [PubMed]
- Gleiznys, A.; Zdanavičienė, E.; Žilinskas, J. Candida albicans importance to denture wearers. A literature review. Stomatologija 2015, 17, 54–66. [Google Scholar] [PubMed]
- Silva, M.M.; de Oliveira Mima, E.G.; Colombo, A.L.; Sanitá, P.V.; Jorge, J.H.; Massucato, E.M.S.; Vergani, C.E. Comparison of denture microwave disinfection and conventional antifungal therapy in the treatment of denture stomatitis: A randomized clinical study. Oral Surg. Oral Med. Oral Pathol. Oral Radiol. 2012, 114, 469–479. [Google Scholar] [CrossRef] [PubMed]
- Budtz-Jörgensen, E.; Stenderup, A.; Grabowski, M. An epidemiological study of yeasts in elderly denture wearers. Community Dent. Oral Epidemiol. 1975, 3, 115–159. [Google Scholar] [CrossRef]
- Wright, P.S.; Young, K.A.; Riggs, P.D.; Parker, S.; Kalachandra, S. Evaluating the effect of soft lining materials on the growth of yeast. J. Prosthet. Dent. 1998, 79, 404–409. [Google Scholar] [CrossRef]
- Samaranayake, Y.H.; Samaranayake, L.P. Experimental oral candidiasis in animal models. Clin. Microbiol. Rev. 2001, 14, 398–429. [Google Scholar] [CrossRef]
- Holzheimer, R.G.; Dralle, H. Management of mycoses in surgical patients—Review of the literature. Eur. J. Med. Res. 2002, 7, 200–226. [Google Scholar]
- Lim, C.S.; Rosli, R.; Seow, H.F.; Chong, P.P. Candida and invasive candidiasis: Back to basics. Eur. J. Clin. Microbiol. Infect. Dis. 2012, 31, 21–31. [Google Scholar] [CrossRef]
- Arendrup, M.C. Candida and candidaemia. Susceptibility and epidemiology. Dan. Med. J. 2013, 60, B4698. [Google Scholar]
- McCullough, M.J.; Ross, B.C.; Reade, P.C. Candida albicans: A review of its history, taxonomy, epidemiology, virulence attributes, and methods of strain differentiation. Int. J. Oral Maxillofac. Surg. 1996, 25, 136–144. [Google Scholar] [CrossRef] [PubMed]
- Bueno, M.; Urban, V.; Barbério, G.; da Silva, W.; Porto, V.; Pinto, L.; Neppelenbroek, K. Effect of antimicrobial agents incorporated into resilient denture relines on the Candida albicans biofilm. Oral Dis. 2015, 21, 57–65. [Google Scholar] [CrossRef] [PubMed]
- Verran, J.; Maryan, C.J. Retention of Candida albicans on acrylic resin and silicone of different surface topography. J. Prosthet. Dent. 1997, 77, 535–539. [Google Scholar] [CrossRef] [PubMed]
- Radford, D.R.; Challacombe, S.J.; Walter, J.D. Denture plaque and adherence of Candida albicans to denture-base materials in vivo and in vitro. Crit. Rev. Oral Biol. Med. 1999, 10, 99–116. [Google Scholar] [CrossRef] [PubMed]
- Farrell, D.J. Tissue conditioning and tissue conditioners. Dent. Clin. N. Am. 1975, 19, 255–268. [Google Scholar] [CrossRef]
- Marin Zuluaga, D.J.; Gomez Velandia, O.C.; Rueda Clauijo, D.M. Denture-related stomatitis managed with tissue conditioner and hard autopolymerizing reline material. Gerodontology 2011, 28, 258–263. [Google Scholar] [CrossRef]
- Chopde, N.; Pharande, A.; Khade, M.N.; Khadtare, Y.R.; Shah, S.S.; Apratim, A. In vitro Antifungal Activity of Two Tissue Conditioners Combined with Nystatin, Miconazole and Fluconazole against Candida albicans. J. Contemp. Dent. Pract. 2012, 13, 695–708. [Google Scholar]
- Ghannoum, M.A.; Rice, L.B. Antifungal agents: Mode of action, mechanisms of resistance, and correlation of these mechanisms with bacterial resistance. Clin. Microbiol. Rev. 1999, 12, 501–517. [Google Scholar] [CrossRef]
- Carter, G.M.; Kerr, M.A.; Shepherd, M.G. The rational management of oral candidosis associated with dentures. N. Z. Dent. J. 1986, 82, 81–84. [Google Scholar]
- Addy, M.; Handley, R. The effects of the incorporation of chlorhexidine acetate on some physical properties of polymerized and plasticized acrylics. J. Oral Rehabil. 1981, 8, 155–163. [Google Scholar] [CrossRef]
- Schneid, T.R. An in vitro analysis of a sustained release system for the treatment of denture stomatitis. Spec. Care Dent. 1992, 12, 245–250. [Google Scholar] [CrossRef] [PubMed]
- Urban, V.M.; de Souza, R.F.; Arrais, C.A.; Borsato, K.T.; Vaz, L.G. Effect of the association of nystatin with a tissue conditioner on its ultimate tensile strength. J. Prosthodont. 2006, 15, 295–299. [Google Scholar] [CrossRef] [PubMed]
- Addy, M. In vitro studies into the use of denture base and soft liner materials as carriers for drugs in the mouth. J. Oral Rehabil. 1981, 8, 131–142. [Google Scholar] [CrossRef] [PubMed]
- Iqbal, Z.; Zafar, M.S. Role of antifungal medicaments added to tissue conditioners: A systematic review. J. Prosthodont. Res. 2016, 60, 231–239. [Google Scholar] [CrossRef]
- Shaikh, M.S.; Alnazzawi, A.; Habib, S.R.; Lone, M.A.; Zafar, M.S. Therapeutic Role of Nystatin Added to Tissue Conditioners for Treating Denture-Induced Stomatitis: A Systematic Review. Prosthesis 2021, 3, 61–74. [Google Scholar] [CrossRef]
- Yudaev, P.; Chuev, V.; Klyukin, B.; Kuskov, A.; Mezhuev, Y.; Chistyakov, E. Polymeric Dental Nanomaterials: Antimicrobial Action. Polymers 2022, 14, 864. [Google Scholar] [CrossRef]
- EN ISO 10139-1:2018; Dentistry—Soft Lining Materials for Removable Dentures—Part 1: Materials for Short-Term Use. ISO International Organization for Standardization: London, UK, 2018.
- EN ISO 10139-2:2016; Dentistry—Soft Lining Materials for Removable Dentures—Part 2: Materials for Long-Term Use. ISO International Organization for Standardization: London, UK, 2016.
- Anusavice, K.J.; Phillip, R.W. Phillip’s Science of Dental Materials, 11th ed.; Elsevier: St. Louis, MO, USA, 2003; pp. 269–271, 751–753. [Google Scholar]
- Ergun, G.; Nagas, I.C. Color stability of silicone or acrylic denture liners: An in vitro investigation. Eur. J. Dent. 2007, 1, 144–151. [Google Scholar] [CrossRef]
- Braden, M. Tissue conditioners. Composition and structure. J. Dent. Res. 1970, 49, 145–148. [Google Scholar] [CrossRef]
- Więckiewicz, W. Experimental, Laboratory and Clinical Studies of the Latest Silicone Elastomers Used for Lining Postoperative Dentures of the Jaw. Habilitation Thesis, Medical University of Silesia, Katowice, Poland, 2003. [Google Scholar]
- Chladek, G.; Żmudzki, J.; Kasperski, J. Long-Term Soft Denture Lining Materials. Materials 2014, 7, 5816–5842. [Google Scholar] [CrossRef]
- Rodrigues, S.; Shenoy, V.; Shetty, T. Resilient liners: A review. J. Indian Prosthodont. Soc. 2013, 13, 155–164. [Google Scholar] [CrossRef]
- Parker, S.; Braden, M. Formulation of tissue conditioners. Biomaterials 1990, 11, 579–584. [Google Scholar] [CrossRef] [PubMed]
- Jones, D.W.; Hall, G.C.; Sutow, E.J.; Langman, M.F.; Robertson, K.N. Chemical and molecular weight analyzes of prosthodontics soft polymers. J. Dent. Res. 1991, 70, 874–879. [Google Scholar] [CrossRef] [PubMed]
- Jones, D.W.; Sutow, E.J.; Hall, G.C.; Tobin, W.M.; Graham, B.S. Dental soft polymers: Plasticizer composite and leachability. Dent. Mater. 1988, 4, 1–7. [Google Scholar] [CrossRef] [PubMed]
- Dorocka-Bobkowska, B.; Medyński, D.; Pryliński, M. Recent advances in tissue conditions for prosthetic treatment: A review. Adv. Clin. Exp. Med. 2017, 26, 723–728. [Google Scholar] [CrossRef]
- Songsang, N.; Anunmana, C.; Pudla, M.; Eiampongpaiboon, T. Effects of Litsea cubeba Essential Oil Incorporated into Denture Soft Lining Materials. Polymers 2022, 14, 3261. [Google Scholar] [CrossRef]
- Chow, C.K.; Matear, D.W.; Lawrence, H.P. Efficacy of antifungal agents in tissue conditioners in treating candidiasis. Gerodontology 1999, 16, 110–118. [Google Scholar] [CrossRef]
- Pachava, K.R.; Shenoy, K.; Chittaranjan, B.; Ginjupalli, K. Comparative antifungal efficacy of denture soft liners with clotrimazole: An invitro study. Indian J. Dent. Adv. 2014, 6, 1593–1595. [Google Scholar]
- Bertolini, M.M.; Portela, M.B.; Curvelo, J.A.R.; Soares, R.M.A.; Lourenço, E.J.V.; Telles, D.M. Resins-based denture soft lining materials modified by chlorhexidine salt incorporation: An in vitro analysis of antifungal activity, drug release and hardness. Dent. Mater. 2014, 30, 793–798. [Google Scholar] [CrossRef]
- Sánchez-Aliaga, A.; Pellissari, C.V.G.; Arrais, C.A.G.; Michél, M.D.; Neppelenbroek, K.H.; Urban, V.M. Peel bond strength of soft lining materials with antifungal to a denture base acrylic resin. Dent. Mater. J. 2016, 35, 194–203. [Google Scholar] [CrossRef]
- Hotta, J.; Garlet, G.P.; Cestari, T.M.; Lima, J.F.M.; Porto, V.C.; Urban, V.M.; Neppelenbroek, K.H. In vivo biocompatibility of an interim denture resilient liner containing antifungal drugs. J. Prosthet. Dent. 2019, 121, 135–142. [Google Scholar] [CrossRef]
- Neppelenbroek, K.H.; Lima, J.F.M.; Hotta, J.; Galitesi, L.L.; Almeida, A.L.P.F.; Urban, V.M. Effect of Incorporation of Antifungal Agents on the Ultimate Tensile Strength of Temporary Soft Denture Liners. J. Prosthodont. 2018, 27, 177–181. [Google Scholar] [CrossRef] [PubMed]
- Bueno, M.G.; Sousa, E.J.; Hotta, J.; Porto, V.C.; Urban, V.M.; Neppelenbroek, K.H. Surface properties of temporary soft liners modified by minimum inhibitory concentrations of antifungals. Braz. Dent. J. 2017, 28, 158–164. [Google Scholar] [CrossRef] [PubMed]
- Albrecht, N.; Fidalgo, T.K.D.S.; DEAlencar, M.J.S.; Cople, L.; Urban, V.M.; Neppelenbroek, K.H.; Reis, K.R. Peel bond strength and antifungal activity of two soft denture lining materials incorporated with 1% chlorhexidine diacetate. Dent. Mater. J. 2018, 37, 725–733. [Google Scholar] [CrossRef] [PubMed]
- Sunil, S.; Julian, J.; Baby, G.G. Efficacy of tissue conditioner acting as effective fungicidal drug delivery system—An invitro study. J. Oral Maxillofac. 2010, 1, 10–15. [Google Scholar]
- Thomas, C.J.; Nutt, G.M. The in-vitro fungicidal properties of Visco-gel, alone and combined with nystatin and amphotericin B. J. Oral Rehabil. 1978, 5, 167–172. [Google Scholar] [CrossRef]
- Barua, D.R.; Basavanna, J.M.; Varghese, R.K. Efficacy of Neem Extract and Three Antimicrobial Agents Incorporated into Tissue Conditioner in Inhibiting the Growth of C. Albicans and S. Mutans. J. Clin. Diagn. Res. 2017, 11, 97–101. [Google Scholar] [CrossRef]
- Geerts, G.A.; Stuhlinger, M.E.; Basson, N.J. Effect of an antifungal denture liner on the saliva yeast count in patients with denture stomatitis: A pilot study. J. Oral Rehabil. 2008, 35, 664–669. [Google Scholar] [CrossRef]
- AlHamdan, E.M. Soft Denture liner and microbial disinfection with contemporary and conventional agents. Photodiagnosis Photodyn. Ther. 2022, 38, 102768. [Google Scholar] [CrossRef]
- Truhlar, M.R.; Shay, K.; Sohnle, P. falah. Use of a new assay technique for quantification of antifungal activity of nystatin incorporated in denture liners. J. Prosthet. Dent. 1994, 71, 517–524. [Google Scholar] [CrossRef]
- Sharma, S.; Hegde, V. Comparative evaluation of antifungal activity of melaleuca oil and fluconazole when incorporated in tissue conditioner: An in vitro study. J. Prosthodont. 2014, 23, 367–373. [Google Scholar] [CrossRef]
- Radnai, M.; Whiley, R.; Friel, T.; Wright, P.S. Effect of antifungal gels incorporated into a tissue conditioning material on the growth of Candida albicans. Gerodontology 2010, 27, 292–296. [Google Scholar] [CrossRef] [PubMed]
- Falah-Tafti, A.; Jafari, A.A.; Lotfi-Kamran, M.H.; Fallahzadeh, H.; Hayan, R.S. A Comparison of the efficacy of Nystatin and Fluconazole Incorporated into Tissue Conditioner on the In Vitro Attachment and Colonization of Candida albicans. Dent. Res. J. 2010, 7, 18–22. [Google Scholar]
- Kumpanich, J.; Eiampongpaiboon, T.; Kanchanavasita, W.; Chitmongkolsuk, S.; Puripattanavong, J. Effect of Piper betle extract on anti-candidal activity, gelation time, and surface hardness of a short-term soft lining material. Dent. Mater. J. 2020, 39, 1016–1021. [Google Scholar] [CrossRef] [PubMed]
- Krishnaveni, G.; Sampath, A.; Krishna, G.P.; Krishna, K.R.; Sushma, D.S.; Hita, B. Assessment of Disinfectants on Adherence of Candida albicans to Soft Denture Liner. Ann. Rom. Soc. Cell Biol. 2021, 25, 8750–8758. [Google Scholar]
- Hyun-Jin, K.; Jun-Sik, S.; Tae-Yub, K. Antifungal Effect of a Dental Tissue Conditioner Containing Nystatin-Loaded Alginate Microparticles. J. Nanosci. Nanotechnol. 2018, 18, 848–852. [Google Scholar]
- Kostić, M.; Igić, M.; Gligorijević, N.; Nikolić, V.; Stošić, N.; Nikolić, L. The Use of Acrylate Polymers in Dentistry. Polymers 2022, 14, 4511. [Google Scholar] [CrossRef]
- Phoenix, R.D. Denture base resins. In Phillips’ Science of Dental Materials, 11th ed.; Anusavice, K., Ed.; Saunders: St. Louis, MO, USA, 2003; pp. 750–752. [Google Scholar]
- Chladek, G.; Kalamarz, I.; Pakieła, W.; Barszczewska-Rybarek, I.; Czuba, Z.; Mertas, A. A Temporary Acrylic Soft Denture Lining Material Enriched with Silver-Releasing Filler-Cytotoxicity, Mechanical and Antifungal Properties. Materials 2024, 17, 902. [Google Scholar] [CrossRef]
- Abraham, A.Q.; Abdul-Fattah, N. The Influence of Chlorhexidine Diacetate Salt Incorporation into Soft Denture Lining Material on Its Antifungal and Some Mechanical Properties. J. Bagh Coll. Dent. 2017, 29, 9–15. [Google Scholar] [CrossRef]
- McCabe, J.F. A polyvinylsiloxane denture soft lining material. J. Dent. 1998, 26, 521–526. [Google Scholar] [CrossRef]
- Doğan, O.M.; Keskin, S.; Doğan, A.; Ataman, H.; Usanmaz, A. Structure-property relation of a soft liner material used in denture applications. Dent. Mater. J. 2007, 26, 329–334. [Google Scholar] [CrossRef][Green Version]
- Colas, A.; Curtis, J. Silicone biomaterials: History and chemistry. In Biomaterial Science: An Introduction to Materials in Medicine, 2nd ed.; Ratner, B.D., Hoffman, A.S., Schoen, F.J., Lemmons, J.E., Eds.; Elsevier: Amsterdam, The Netherlands, 2004; pp. 83–85. [Google Scholar]
- Vojdani, M.; Zibaei, M.; Khaledi, A.; Zomorodian, K.; Ranjbar, M.; Boshehri, S. In-vitro study of the effect of clotrimazole incorporation into silicone soft liner on fungal colonization. J. Dent. Shiraz Univ. Med. Sci. 2009, 9, 19–23. [Google Scholar]
- Alsaiari, M.; Roghani, K.; Liaqat, S.; Alkorbi, A.S.; Sharif, F.; Irfan, M.; Rizk, M.A.; Uroos, M.; Ahmad, N.; Muhammad, N. Effect of Ionic Liquids on Mechanical, Physical, and Antifungal Properties and Biocompatibility of a Soft Denture Lining Material. ACS Omega 2023, 8, 27300–27311. [Google Scholar] [CrossRef] [PubMed]
- Rathore, P.; Hegde, A.; Ginjupalli, K.; Nagaraja-Upadhya, P. Evaluation of antifungial activity of additives to resilient liners: An in vitro pilot study. Trends Biomater. Artif. Organs 2009, 23, 6–9. [Google Scholar]
- Godil, A.Z.; Bhagat, D.; Das, P.; Kazi, A.I.; Dugal, R.; Satpute, S. Incorporation of Fluconazole and Ocimum Sanctum Oil in Soft Denture Liners to Treat Biofilms of Candida albicans Associated with Denture Stomatitis. Dent. 3000 2021, 9, 11–12. [Google Scholar] [CrossRef]
- Bassi, R.C.; Boriollo, M.F.G. Amphotericin B, fluconazole, and nystatin as development inhibitors of Candida albicans biofilms on a dental prosthesis reline material: Analytical models in vitro. J. Prosthet. Dent. 2022, 127, 320–330. [Google Scholar] [CrossRef]
- Mack, P.J. Denture soft linings: Clinical indications. Aust. Dent. J. 1989, 34, 454–458. [Google Scholar] [CrossRef]
- Zegarelli, D.J. Fungal infections of the oral cavity. Otolaryngol. Clin. N. Am. 1993, 26, 1069–1089. [Google Scholar] [CrossRef]
- Kester, M.; Karpa, K.D.; Vrana, K.E. Treatment of Infectious Diseases. In Elsevier’s Integrated Review Pharmacology, 2nd ed.; Elsevier: Amsterdam, The Netherlands, 2012; pp. 41–78. [Google Scholar]
- Arikan, S.; Ostrosky-Zeichner, L.; Lozano-Chiu, M.; Peatznick, V.; Gordon, D.; Wallace, T.; Rex, J.H. In Vitro Activity of Nystatin Compared with Those of Liposomal Nystatin, Amphotericin B, and Fluconazole against Clinical Candida Isolates. J. Clin. Microbiol. 2002, 40, 1406–1412. [Google Scholar] [CrossRef]
- Al-Sanabani, F.A.; Al-Rammahy, A.K.; Faraj, S.A.A. Antifungal activity of nystatin, miconazole and fluconazole incorporated into four denture liners (in vitro study). J. Coll. Dent. 2002, 14, 103–110. [Google Scholar]
- Coelho, I.M.; Claudino, A.L.R.; Chavasco, J.M.; Birman, E.G.; Gambale, W.; Aleva, N.A.; Dias, A.L.T.; Paula, C.R.; Chavasco, J.K. Antifungal susceptibility evaluation of Candida albicans isolated from buccal lesions of hiv-positive and HIV-negative patient. Rev. Univ. Val. Rio Verde 2012, 10, 156–166. [Google Scholar] [CrossRef]
- Ishida, K.; Ueda-Yamaguchi, M.; Yamada-Ogatta, S.F.; Ueda-Naklamura, T.; Svidzinski, T.I.E.; Nakamura, C.V. Characterization of Candida spp. isolated from vaginal fluid: Identification, antifungal susceptibility, and virulence profile. Acta Scientiarum. Health Sci. 2013, 35, 1–8. [Google Scholar] [CrossRef]
- Deravi, N.; Fathi, M.; Tabatabaeifar, S.N.; Pooransari, P.; Ahmadi, B.; Shokoohi, G.; Yaghoobpoor, S.; Vakili, K.; Lotfali, E.; Ansari, S. Azole Antifungal Resistance in Candida albicans and Candida glabrata Isolated from Vulvovaginal Candidiasis Patients. Arch. Clin. Infect. Dis. 2021, 16, e106360. [Google Scholar] [CrossRef]
- Budtz-Jörgensen, E. Clinical aspects of Candida infection in denture wearers. J. Am. Dent. Assoc. 1978, 96, 474–479. [Google Scholar] [CrossRef] [PubMed]
- Andriole, V.T. Current and future antifungal therapy: New targets for antifungal therapy. Int. J. Antimicrob. Agents 2000, 16, 317–321. [Google Scholar] [CrossRef]
- Song, Y.B.; Suh, M.K.; Ha, G.Y.; Kim, H. Antifungal Susceptibility Testing with Etest for Candida Species Isolated from Patients with Oral Candidiasis. Ann. Dermatol. 2015, 27, 715–720. [Google Scholar] [CrossRef]
- Rathod, S.V.; Raut, J.; Karuppayil, S.M. In Vitro antifungal susceptibility reveals occurrence of azole resistance among clinical isolates of Candida albicans. Asian J. Pharm. Clin. Res. 2012, 5, 170–173. [Google Scholar]
- Vardanyan, R.; Hruby, V. Synthesis of Essential Drugs, 1st ed.; Elsevier: Amsterdam, The Netherlands, 2006; pp. 535–547. [Google Scholar]
- Bailey, E.M.; Krakovsky, D.J.; Rybak, M.J. The triazole antifungal agents: A review of itraconazole and fluconazole. Pharmacotherapy 1990, 10, 146–153. [Google Scholar] [CrossRef]
- Zaman, R.; Ullah, I.; Arif, A. Antifungal resistance in Candida species isolated from patients presenting with vulvovaginal candidiasis during different trimesters of pregnancy. J. Popul. Ther. Clin. Pharmacol. 2024, 31, 57–65. [Google Scholar]
- Vasic, S.M.; Stefanovic, O.; Licina, B.Z.; Radojevic, I.D.; Comic, L.R. Biological activities of extracts from cultivated Granadilla Passiflora alata. EXCLI J. 2012, 11, 208–218. [Google Scholar]
- Nehmatullah, V.B. The minimum inhibitory concentration of different antifungal agents against Candida species. Zanco J. Pure Appl. Sci. 2019, 31, 36–41. [Google Scholar]
- Falahati, M.; Mahmoodian, M.; Mahammad Ali Roodaki, M.M.; Shariat, M.J. Study of Antifungal Effects of Nystatin, Clotrimazole and Miconazole on Candida Specimens Isolated from Patients. Res. J. Med. Sci. 2005, 12, 99–106. [Google Scholar]
- Frej-Mądrzak, M.; Golec, S.; Włodarczyk, K.; Choroszy-Król, I.; Nawrot, U. Susceptibility to clotrimazole of Candida spp. isolated from the genitourinary system—A single center study. Pathogens 2021, 10, 1142. [Google Scholar] [CrossRef] [PubMed]
- Drugs.com Home Page. Drug Dosage Guides for over 5000 Medications. Available online: https://www.drugs.com/ (accessed on 26 August 2024).
- Mohammadi, Z.; Abbott, P.V. The properties and applications of chlorhexidine in endodontics. Int. Endod. J. 2009, 42, 288–302. [Google Scholar] [CrossRef] [PubMed]
- Łukomska-Szymańska, M.; Sokołowski, J.; Łapińska, B. Chlorhexidine—Mechanism of action and its application to dentistry. J. Stoma 2017, 70, 405–417. [Google Scholar]
- Johnson, E.M.; Warnock, D.W.; Luker, J.; Porter, S.R.; Scully, C. Emergence of azole drug resistance in Candida species from HIV-infected patients receiving prolonged fluconazole therapy for oral candidosis. J. Antimicrob. Chemother. 1995, 35, 103–114. [Google Scholar] [CrossRef]
- Thurmond, J.M.; Brown, A.T.; Sims, R.E.; Ferretti, G.A.; Raybould, T.P.; Lillich, T.T.; Henslee, P.J. Oral Candida albicans in bone marrow transplant patients given chlorhexidine rinses: Occurrences and susceptibilities to the agent. Oral Surg. Oral Med. Oral Pathol. 1991, 72, 291–295. [Google Scholar] [CrossRef]
- Zeng, P.; Rao, A.; Wiedmann, T.S.; Bowles, W. Solubility Properties of Chlorhexidine Salts. Drug Dev. Ind. Pharm. 2009, 35, 172–176. [Google Scholar] [CrossRef]
- Lim, K.S.; Kam, P.C.A. Chlorhexidine—Pharmacology and clinical applications. Anaesth. Intensive Care 2008, 36, 502–512. [Google Scholar] [CrossRef]
- Patel, M.P.; Cruchley, A.T.; Coleman, D.C.; Swai, H.; Braden, M.; Williams, D.M. A polymeric system for the intra-oral delivery of an anti-fungal agent. Biomaterials 2001, 22, 2319–2324. [Google Scholar] [CrossRef]
- Gomes, B.P.F.d.A.; Vianna, M.E.; Matsumoto, C.U.; Rossi, V.d.P.e.S.; Zaia, A.A.; Ferraz, C.C.R.; Filho, F.J.d.S. Disinfection of gutta-percha cones with chlorhexidine and sodium hypochlorite. Oral Surg. Oral Med. Oral Pathol. Oral Radiol. Endod. 2005, 100, 512–517. [Google Scholar] [CrossRef]
- Ellepola, A.N.; Samaranayake, L.P. The effect of brief exposure to sub-therapeutic concentrations of chlorhexidine gluconate on germ tube formation of oral Candida albicans and its relationship to post-antifungal effect. Oral Dis. 2000, 6, 166–171. [Google Scholar] [CrossRef] [PubMed]
- Cortes, M.E.; Sinisterra, R.D.; Avilacampos, M.J.; Tortamano, N.; Rocha, R.G. The Chlorhexidine: β-Cyclodextrin Inclusion Compound: Preparation, Characterization and Microbiological Evaluation. J. Incl. Phenom. Macrocycl. Chem. 2001, 40, 297–302. [Google Scholar] [CrossRef]
- Hiom, S.J.; Furr, J.R.; Russell, A.D.; Dickinson, J.R. Effects of chlorhexidine diacetate on Candida albicans, C. glabrata and Saccharomyces cerevisiae. J. Appl. Bacteriol. 1992, 4, 335–340. [Google Scholar] [CrossRef] [PubMed]
- Buxbaum, A.; Kratzer, C.; Graninger, W.; Georgopoulos, A. Antimicrobial and toxicological profile of the new biocide Akacid plus. J. Antimicrob. Chemother. 2006, 58, 193–197. [Google Scholar] [CrossRef] [PubMed]
- Douglas, W.H.; Walker, D.M. Nystatin in denture liners—An alternative treatment of denture stomatitis. Br. Dent. J. 1973, 135, 55–59. [Google Scholar] [CrossRef]
- Luu, A. Effect of Glaze Coatings and Pressure-Heat Processing on Short-Term Soft Denture Liners. Ph.D. Thesis, University of Florida, Gainesville, FL, USA, 2000. [Google Scholar]
- COE-COMFORT (Liquid); Reviewed on 1 September 2018 [Online]; GC America Inc.: Alsip, IL, USA, 9 January 2018; Available online: https://www.gc.dental/america/sites/america.gc.dental/files/products/downloads/coecomfort/sds/coe-comfort-liquid-sds-ca-en.pdf (accessed on 30 August 2024).
- Visco-Gel (Liquid); Reviewed on 26 March 2015 [Online]; DENTSPLY DeTrey GmbH: Konstanz, Germany, 26 March 2015; Available online: https://www.dentsplysirona.com/content/dam/dentsply/pim/manufacturer/Preventive/Other/Visco_Gel_Tissue_Treatment_Material/A72100/MSDS-ViscoGel-Improved-Formulation-2gffnkc-en-1510.pdf (accessed on 30 August 2024).
- Kumar, N.; Kumari, A.; Priyadarshi, V.; Kumar, A.; Prasad, R.S.; Kumar, B. A comparative efficacy of Nystatin and Fluconazole incorporated into tissue conditioner as drug delivery method for Denture stomatitis. J. Adv. Med. Dent. Sci. Res. 2020, 8, 159–162. [Google Scholar]
- Ibraheem, E.M.A.; Dehis, W.M. Effect of tissue conditioner combined with nystatin on growth of Candida albicans in complete denture wearers. Egypt Dent. J. 2016, 62, 393–398. [Google Scholar] [CrossRef]
- Nairn, R.I. Nystatin and amphotericin B in the treatment of denture-related candidiasis. Oral Surg. Oral Med. Oral Pathol. 1975, 40, 68–75. [Google Scholar] [CrossRef]
- Murata, H.; Hamada, T.; Djulaeha, E.; Nikawa, H. Rheology of tissue conditioners. J. Prosthet. Dent. 1998, 79, 188–199. [Google Scholar] [CrossRef]
- Pigno, M.A.; Goldschmidt, M.C.; Lemon, J.C. The efficacy of antifungal agents incorporated into a facial prosthetic silicone elastomer. J. Prosthet. Dent. 1994, 71, 295–300. [Google Scholar] [CrossRef]
- Lowbury, E.J.; Lilly, H.A.; Bull, J.P. Disinfection of the skin of operation sites. BMJ 1960, 2, 1039–1044. [Google Scholar] [CrossRef] [PubMed][Green Version]
- Block, S.S. Disinfection, Sterilization, and Preservation, 5th ed.; Lippincott Williams & Wilkins: Philadelphia, PA, USA, 2001; pp. 321–336. [Google Scholar]
- Shrestha, A.; Rimal, J.; Rao, A.; Sequeira, P.S.; Doshi, D.; Bhat, G.K. In vitro antifungal effect of mouth rinses containing chlorhexidine and thymol. J. Dent. Sci. 2011, 6, 1–5. [Google Scholar] [CrossRef]
- Ngai, J.H.; Ho, J.K.W.; Chan, R.K.H.; Cheung, S.H.; Leung, L.M.; So, S.K. Growth, characterization, and thin film transistor application of CH3NH3PbI3 perovskite on polymeric gate dielectric layers. RSC Adv. 2017, 7, 49353–49360. [Google Scholar] [CrossRef]
- Nikawa, H.; Egusa, H.; Makihira, S.; Yamashiro, H.; Fukushima, H.; Jin, C.; Nishimura, M.; Pudji, R.R.; Hamada, T. Alteration of the coadherence of Candida albicans with oral bacteria by dietary sugars. Oral Microbiol. Immunol. 2001, 16, 279–283. [Google Scholar] [CrossRef] [PubMed]
- Monroy, T.B.; Maldonado, V.M.; Martínez, F.F.; Barrios, B.A.; Quindós, G.; Vargas, L.O.S. Candida albicans, Staphylococcus aureus and Streptococcus mutans colonization in patients wearing dental prostheses. Med. Oral Patol. Oral Cir. Bucal 2005, 10, 27–39. [Google Scholar]
- Rocha, E.P.; Francisco, S.B.; Cury, A.A.D.B.; Cury, J.A. Longitudinal study of the influence of removable partial denture and chemical control on the levels of Streptococcus mutans in saliva. J. Oral Rehabil. 2003, 30, 131–138. [Google Scholar] [CrossRef]
- Liu, J.X.; Werner, J.; Kirsch, T.; Zuckerman, J.; Virk, M.S. Cytotoxicity evaluation of chlorhexidine gluconate on human fibroblasts, myoblasts, and osteoblasts. J. Bone Jt. Infect. 2018, 3, 165–172. [Google Scholar] [CrossRef]
- Zheng, H.; Audus, K.L. Cytotoxic effects of chlorhexidine and nystatin on cultured hamster buccal epithelial cells. Int. J. Pharm. 1994, 101, 121–126. [Google Scholar] [CrossRef]
- Pusateri, C.R.; Monaco, E.A.; Edgerton, M. Sensitivity of Candida albicans biofilm cells grown on denture acrylic to antifungal proteins and chlorhexidine. Arch. Oral Biol. 2009, 54, 588–594. [Google Scholar] [CrossRef]
- Tallury, P.; Airrabeelli, R.; Li, J.; Paquette, D.; Kalachandra, S. Release of antimicrobial and antiviral drugs from methacrylate copolymer system: Effect of copolymer molecular weight and drug loading on drug release. Dent. Mater. 2008, 24, 274–280. [Google Scholar] [CrossRef]
- Lima, J.F.M.; Maciel, J.G.; Arrais, C.A.G.; Porto, V.C.; Urban, V.M.; Neppelenbroek, K.H. Effect of incorporating antifungals on the water sorption and solubility of interim resilient liners for denture base relining. J. Prosthet. Dent. 2016, 115, 611–616. [Google Scholar] [CrossRef] [PubMed]
- Sinobad, D.; Murphy, W.M.; Huggett, R.; Brooks, S. Bond strength and rupture properties of some soft denture liners. J. Oral Rehabil. 1992, 19, 151–160. [Google Scholar] [CrossRef] [PubMed]
- Kawano, F.; Dootz, E.R.; Koran, A., 3rd; Craig, R.G. Comparison of bond strength of six soft denture liners to denture base resin. J. Prosthet. Dent. 1992, 68, 368–371. [Google Scholar] [CrossRef] [PubMed]
- Kulak-Ozkan, Y.; Sertgoz, A.; Gedik, H. Effect of thermocycling on tensile bond strength of six silicone-based, resilient denture liners. J. Prosthet. Dent. 2003, 89, 303–310. [Google Scholar] [CrossRef]
- Khan, Z.; Martin, J.; Collard, S. Adhesion characteristics of visible light-cured denture base material bonded to resilient lining materials. J. Prosthet. Dent. 1989, 62, 196–200. [Google Scholar] [CrossRef]
- Waters, M.G.; Jagger, R.G. Mechanical properties of an experimental denture soft lining material. J. Dent. 1999, 27, 197–202. [Google Scholar] [CrossRef]
- Garg, A.; Shenoy, K.K. A comparative evaluation of effect on water sorption and solubility of a temporary soft denture liner material when stored either in distilled water, 5.25% sodium hypochlorite or artificial saliva: An in vitro study. J. Indian Prosthodont. Soc. 2016, 16, 53–62. [Google Scholar] [CrossRef]
- Sakaguchi, R.L.; Powers, J.M. Craig’s Restorative Dental Materials, 13th ed.; Elsevier: St. Louis, MO, USA; Mosby: St. Louis, MO, USA, 1997; p. 295. [Google Scholar]
- Mikulewicz, M.; Chojnacka, K.; Raszewski, Z. Comparison of Mechanical Properties of Three Tissue Conditioners: An Evaluation In Vitro Study. Medicina 2023, 8, 1359. [Google Scholar] [CrossRef]
- Mutahar, M.; Al Ahmari, N.M.; Gadah, T.S.; Kariri, M.A.M.; Madkhli, H.Y.; Somaili, D.M.; Mobarki, Y.M.Y.; Darraj, O.A.; Halawi, S.M.; Al Moaleem, M.M. Comparative Evaluation of Hardness and Energy Absorption of Some Commercially Available Chairside Silicone-Based Soft Denture Liners and a Heat-Cured Soft Denture Liner. Clin. Cosmet. Investig. Dent. 2023, 15, 205–213. [Google Scholar] [CrossRef]
- Pahuja, R.K.; Garg, S.; Bansal, S.; Dang, R.H. Effect of denture cleansers on surface hardness of resilient denture liners at various time intervals- an in vitro study. J. Adv. Prosthodont. 2013, 3, 270–277. [Google Scholar] [CrossRef]
- Murata, H.; Murakami, S.; Shigeto, N.; Hamada, T. Viscoelastic properties of tissue conditioners—Influence of ethyl alcohol content and type of plasticizer. J. Oral Rehabil. 1994, 21, 145–156. [Google Scholar] [CrossRef] [PubMed]
- Kang, S.H.; Lee, H.-J.; Hong, S.H.; Kim, K.H.; Kwon, T.Y. Influence of surface characteristics on the adhesion of Candida albicans to various denture lining materials. Acta Odontol. Scand. 2013, 71, 241–248. [Google Scholar] [CrossRef] [PubMed]
- Pereira-Cenci, T.; Del Bel Cury, A.A.; Crielaard, W.; Ten Cate, J.M. Development of Candida-associated denture stomatitis: New insights. J. Appl. Oral Sci. 2008, 6, 86–94. [Google Scholar] [CrossRef] [PubMed]








| Product (Manufacturer, Country) | Composition (Powder/Liquid Ratio) | Antifungal Compound | Content of Antifungal Compound | Source |
|---|---|---|---|---|
| COE COMFORT™ (COE, GC America Inc., Alsip, IL, USA) | Powder: poly(ethyl methacrylate)/ Liquid: benzyl benzoate and ethanol (6 g/5 mL) | nystatin | 30 vol./vol.% | [61] |
| chlorhexidine gluconate | 5 vol./vol.% of 2 wt.% mouthwash | |||
| Coe-Soft (COE, GC America Inc., Alsip, IL, USA) | Powder: poly(ethyl methacrylate)/ Liquid: benzyl salicylate and ethanol (11 g/8 mL) | nystatin | 1, 3, 5, 7, 9 and 11 wt.% | [62] |
| itraconazole | ||||
| fluconazole | ||||
| clotrimazole | 0.5, 1 and 1.5 wt./vol.% powder and microspheres | [63] | ||
| chlorhexidine diacetate | 0.5, 1 and 2 wt.% | [64] | ||
| chlorhexidine hydrochloride | ||||
| Trusoft (Boswoth Company, Skokie, IL, USA) | Powder: poly(ethyl methacrylate)/ Liquid: benzyl butyl phthalate, dibutyl phthalate, and ethanol (9 g/6.8 mL) | nystatin | 3.1, 6, 11.3, 20.4 wt.% | [34] |
| 3.1 wt.% 1 | [65,66,67,68] | |||
| itraconazole | 3.1, 6, 11.3, 20.4 wt.% | [34] | ||
| 20.4 wt% 1 | [65,67,68] | |||
| ketoconazole | 3.1, 6, 11.3, 20.4 wt.% | [34] | ||
| 11.3 wt.% 1 | [65,66,67,68] | |||
| miconazole | 3.1, 6, 11.3, 20.4 wt.% | [34] | ||
| 20.4 wt.% 1 | [65,67,68] | |||
| chlorhexidine diacetate | 3.1, 6, 11.3, 20.4 wt.% | [34] | ||
| 0.5, 1 and 2 wt.% | [64] | |||
| 6 wt.% 1 | [65,66,67,68] | |||
| 1 wt.% | [69] | |||
| chlorhexidine hydrochloride | 0.5, 1 and 2 wt.% | [64] | ||
| Softone (Bosworth Company, Skokie, IL, USA) | Powder: poly(ethyl methacrylate)/ Liquid: dibutyl phthalate and ethanol (9 g/6.8 mL) | nystatin | 3.1, 6, 11.3, 20.4 wt.% | [34] |
| 3.1 wt.% 1 | [65,67,68] | |||
| itraconazole | 3.1, 6, 11.3, 20.4 wt.% | [34] | ||
| 20.4 wt.% 1 | [65,67,68] | |||
| ketoconazole | 3.1, 6, 11.3, 20.4 wt.% | [34] | ||
| 11.3 wt.% 1 | [65,67,68] | |||
| miconazole | 3.1, 6, 11.3, 20.4 wt.% | [34] | ||
| 20.4 wt.% 1 | [65,67,68] | |||
| chlorhexidine diacetate | 3.1, 6, 11.3, 20.4 wt.% | [34] | ||
| 6 wt.% | [65,67,68] | |||
| Visco-GEL (Dentsply DeTrey, Konstanz, Germany) | Powder: poly(ethyl methacrylate)/ Liquid: triethyl citrate and ethanol (3 g/2.2 mL) | nystatin | not specified | [39] |
| 30 vol./vol.% | [61] | |||
| 1, 3, 5, 7, 9 and 11 wt.% | [62] | |||
| 200,000, 300,000, 400,000, and 500,000 IU | [70] | |||
| 500,000 IU, 1,000,000 IU | [71] | |||
| 5 and 10 wt.% | [72] | |||
| 500,000 IU | [73] | |||
| 1,000,000 IU | [74] | |||
| 100,000 IU, 300,000 IU, 500,000 IU, and 1,000,000 IU | [75] | |||
| amphotericin B | 10 mg and 20 mg | [71] | ||
| fluconazole | not specified | [39] | ||
| 1, 3, 5 and 10 wt.% | [76] | |||
| 1, 3, 5, 7, 9 and 11 wt.% | [62] | |||
| itraconazole | ||||
| clotrimazole | 200 mg | [70] | ||
| ketoconazole | ||||
| 5 and 10 wt.% | [72] | |||
| miconazole | not specified | [39] | ||
| 5, 10, 15, 20 and 25 vol.% of 24 mg/mL oral gel | [77] | |||
| chlorhexidine diacetate | 5 and 10 wt.% | [72] | ||
| chlorhexidine gluconate | 5 vol./vol.% of 2 wt.% mouthwash | [61] | ||
| 5, 10, 15, 20 and 25 vol.% | [77] | |||
| Fitt (Kerr Corporation, Romulus, MI, USA) | No information about chemical composition. (1.5 g/1 g) | nystatin | 1, 3, 5, 7, 9 and 11 wt.% | [62] |
| fluconazole | ||||
| itraconazole | ||||
| Lynal (The L.D. Caulk Division, Dentsply International INC., Milford, Germany) | Powder: poly(ethyl methacrylate)/ Liquid: organic phthalate plasticizer and ethanol (3 g/2 mL) | nystatin | 125, 250, and 500 mg/sample unit | [43] |
| 100,000 IU, 300,000 IU, 500,000 IU, and 1,000,000 IU | [75] | |||
| fluconazole | 250, 500, and 1000 mg/sample unit | [43] | ||
| clotrimazole | ||||
| chlorhexidine (salt not specified) | ||||
| Acropars (Marlik Medical Industries Co., Tehran, Iran) | Powder: ethyl methacrylate copolymer/ Liquid: ethanol and plasticizers (No information about component ratio) | nystatin | 1, 3, 5, 10 wt.% | [78] |
| fluconazole | ||||
| GC Soft Liner (GC Corp., Tokyo, Japan) | Powder: poly(methyl methacrylate)/ Liquid: butyl phthalate butyl glycolate and ethanol (2.2 g/1.8 g) | nystatin | not specified | [39] |
| 30 vol./vol.% | [61] | |||
| 20 wt.% | [79] | |||
| fluconazole | not specified | [39] | ||
| miconazole | ||||
| chlorhexidine gluconate | 5 vol./vol.% of 2 wt.% mouthwash | [61] | ||
| chlorhexidine (salt not specified) | 2 vol.% | [80] | ||
| Soft Confort (Dencril, Pirassununga, Brazil) | Powder: poly(ethyl methacrylate)/ Liquid: phthalate ester and ethanol (No information about component ratio) | chlorhexidine diacetate | 1 wt.% | [69] |
| Dura Conditioner (Reliance Dental Manufacturing LLC, Alsip, IL, USA) | Powder: poly(ethyl methacrylate)/ Liquid: dibutyl-n phthalate and ethanol (No information about component ratio) | nystatin | 0.1 wt.% nystatin-alginate microparticles (28.6 wt.% of nystatin in microparticles) | [81] |
| Product (Manufacturer, Country) | Composition (Powder/Liquid Ratio) | Antifungal Compound | Content of Antifungal Compound | Source |
|---|---|---|---|---|
| Vertex Soft (Vertex Dental, Soesterberg, The Netherlands) | Powder: poly(ethyl methacrylate)/ Liquid: acetyl tributyl citrate, methyl methacrylate (1.2 g/1 mL) | chlorhexidine diacetate | 0.5, 1.5, 2.5 and 3.5 wt.% | [85] |
| Product (Manufacturer, Country) | Composition (Base/Catalyst Ratio) | Antifungal Compound | Content of Antifungal Compound | Source |
|---|---|---|---|---|
| Molloplast-B (Detax GmbH & Co., Ettingen, Germany) | Hydroxyl terminated polydimethylsiloxane, methyl triacetoxysilane, dibutyltin dilaurate, poly(methyl methacrylate) (one-component material) | butyl pyridinium chloride | 2.5, 5, 10 wt.% | [90] |
| octyl pyridinium chloride | 0.65, 1.25, 2.5 wt.% | |||
| GC Reline Extra Soft (GC Dental Industrial Corp., Tokyo, Japan) | Silicon dioxide, vinyl dimethyl polysiloxane, hydrogen polysiloksane, and catalysts (1:1 volume ratio) | clotrimazole | 0.5, 1 and 1.5 wt./vol.% powder and microspheres | [63] |
| 1 wt.% | [89] | |||
| chlorhexidine digluconate | 2 wt./vol.% | [91] | ||
| Mollosil (DETAX GmbH & Co., Ettlingen, Germany) | Polydimethylsiloxane with functional group (1:1 volume ratio) | fluconazole | 100 to 1000 µg/mL | [92] |
| Silagum-Comfort Soft Relining (DMG Chemisch-Pharmazeutische Fabrik GmbH, Hamburg, Germany) | Addition-cured vinyl polysiloxanes, hydrogen polysiloxanes, and platinum catalyst (1:1 volume ratio) | nystatin | 7.8, 15.6, 31.3, 62.5, 125, 250 and 500 µg/mL | [93] |
| amphotericin B | ||||
| fluconazole | ||||
| Ufi Gel P (UG, VOCO GmbH, Cuxhaven, Germany) | Mixture of different polyalkylsiloxanes, fumed silica, and catalysts (1:1 volume ratio) | Not tested | ||
| Product (Manufacturer, Country) | Composition (Powder/Liquid Ratio) | Antifungal Compound | Content of Antifungal Compound | Source |
|---|---|---|---|---|
| GC SOFT (GC Corporation, Sydney, Australia) | No information about chemical composition (2.2 g/1.8 mL) | chlorhexidine digluconate | 0.12 wt.% | [74] |
| Super soft® (GC America Inc., Alsip, IL, USA) | Powder: poly(ethyl methacrylate)/ Liquid: dibutyl phthalate, isodecyl methacrylate, and methyl methacrylate (5 g/4 mL) | Not tested | ||
| Polyene Antibiotic | MIC (µg/mL) | Source |
|---|---|---|
| nystatin | 0.27–8.1 | [98] |
| 1.0–4.0 | [99] | |
| 3.1–12.5 | [100] | |
| 0.125–2.0 | [101] | |
| 0.125–16.0 | [97] | |
| 1.5–6.5 | [102] | |
| 0.371–0.921 | [103] | |
| amphotericin B | 0.25–4.0 | [99] |
| 0.04–0.4 | [100] | |
| 0.012–0.19 | [104] | |
| 0.032–0.5 | [101] | |
| 0.125–0.5 | [98] | |
| 0.25–1.0 | [105] |
| Azole Derivative | MIC (µg/mL) | Source |
|---|---|---|
| fluconazole | 0.125–0.5 | [98] |
| 0.064–0.75 | [104] | |
| 0.25–16 | [101] | |
| 0.12–64 | [108] | |
| 31.25–62.5 | [109] | |
| itraconazole | 0.002–0.094 | [104] |
| 0.063–1.0 | [101] | |
| 0.03–2.0 | [108] | |
| 0.443–0.58 | [110] | |
| clotrimazole | 0.125–2.0 | [105] |
| 0.03–8 | [108] | |
| 2.6 | [111] | |
| 0.008–8 | [112] | |
| ketoconazole | 32–64 | [99] |
| 0.125–1.0 | [105] | |
| 0.399–0.558 | [110] | |
| miconazole | 0.25–64 | [99] |
| 1.0–10 | [98] | |
| 0.12–16 | [108] | |
| 18 | [111] |
| Medicine | Daily Dosage |
|---|---|
| nystatin | 1,600,000–2,400,000 IU 1,2 |
| amphotericin B | 0.25–0.3 mg/kg |
| fluconazole | 100–200 mg |
| itraconazole | 200 mg |
| clotrimazole | 50 mg |
| ketoconazole | 200 mg |
| miconazole | 50 mg |
| Chlorohexidine Salt | MIC (µg/mL) | Source |
|---|---|---|
| chlorhexidine dihydrochloride | <0.125–8 | [123] |
| chlorhexidine diacetate | 25 | [124] |
| chlorhexidine digluconate | 1–16 | [125] |
| Product (Manufacturer, Country) | Type of SLM | Water Immersion Time | Shore a Hardness | Source |
|---|---|---|---|---|
| COE COMFORT™ (COE, GC America Inc., Alsip, IL, USA) | TC | 2 h | 16.32 | [61] |
| 7 d | 22.20 | |||
| Coe-Soft (COE, GC America Inc., Alsip, IL, USA) | Initial | 9.2 | [64] | |
| 2 d | 13.3 | |||
| 7 d | 19.2 | |||
| Trusoft (Boswoth Company, Skokie, IL, USA) | 24 h | 15.6 | [68] | |
| 7 d | 22.8 | |||
| 14 d | 31.4 | |||
| Softone (Bosworth Company, Skokie, IL, USA) | 24 h | 14.6 | ||
| 7 d | 19.2 | |||
| 14 d | 17.5 | |||
| GC Soft Liner (GC Corp., Tokyo, Japan) | 2 h | 21.79 | [61] | |
| 7 d | 25.56 | |||
| Visco-GEL (Dentsply DeTrey, Konstanz, Germany) | 2 h | 37.13 | ||
| 7 d | 40.20 | |||
| Fitt (Kerr Corporation, Romulus, MI, USA) | Initial | 12.7 | [154] | |
| 7 d | 39.1 | |||
| 14 d | 38.1 | |||
| Vertex Soft (Vertex Dental, Soesterberg, The Netherlands) | ST-SLM A-SLM | 24 h | 31.7 | [84] |
| 7 d | 32.5 | |||
| 28 d | 33.3 | |||
| Molloplast-B (Detax GmbH & Co., Ettingen, Germany) | LT-SLM S-SLM | 24 h | 55.1 | [155] |
| 7 d | 54.5 | |||
| 28 d | 53.5 | |||
| GC Reline Extra Soft (GC Dental Industrial Corp., Tokyo, Japan) | 24 h | 60.0 | ||
| 7 d | 61.1 | |||
| 28 d | 62.5 | |||
| Mollosil (DETAX GmbH & Co., Ettlingen, Germany) | 7 d | 21.0 | [156] | |
| 1 m | 24.6 | |||
| 3 m | 23.6 | |||
| 6 m | 28.4 |
Disclaimer/Publisher’s Note: The statements, opinions and data contained in all publications are solely those of the individual author(s) and contributor(s) and not of MDPI and/or the editor(s). MDPI and/or the editor(s) disclaim responsibility for any injury to people or property resulting from any ideas, methods, instructions or products referred to in the content. |
© 2024 by the authors. Licensee MDPI, Basel, Switzerland. This article is an open access article distributed under the terms and conditions of the Creative Commons Attribution (CC BY) license (https://creativecommons.org/licenses/by/4.0/).
Share and Cite
Barszczewska-Rybarek, I.; Kula, P.; Chladek, G. Review of the Anti-Candida albicans Activity and Physical Properties of Soft Lining Materials Modified with Polyene Antibiotics, Azole Drugs, and Chlorohexidine Salts. Materials 2024, 17, 5383. https://doi.org/10.3390/ma17215383
Barszczewska-Rybarek I, Kula P, Chladek G. Review of the Anti-Candida albicans Activity and Physical Properties of Soft Lining Materials Modified with Polyene Antibiotics, Azole Drugs, and Chlorohexidine Salts. Materials. 2024; 17(21):5383. https://doi.org/10.3390/ma17215383
Chicago/Turabian StyleBarszczewska-Rybarek, Izabela, Patrycja Kula, and Grzegorz Chladek. 2024. "Review of the Anti-Candida albicans Activity and Physical Properties of Soft Lining Materials Modified with Polyene Antibiotics, Azole Drugs, and Chlorohexidine Salts" Materials 17, no. 21: 5383. https://doi.org/10.3390/ma17215383
APA StyleBarszczewska-Rybarek, I., Kula, P., & Chladek, G. (2024). Review of the Anti-Candida albicans Activity and Physical Properties of Soft Lining Materials Modified with Polyene Antibiotics, Azole Drugs, and Chlorohexidine Salts. Materials, 17(21), 5383. https://doi.org/10.3390/ma17215383

