Understanding the Dissolution of Cellulose and Silk Fibroin in 1-ethyl-3-methylimidazolium Acetate and Dimethyl Sulphoxide for Application in Hybrid Films
Abstract
1. Introduction
2. Materials and Methods
2.1. Materials
2.2. Sample Preparation
2.3. Optical Microscopy
2.4. Rheology
2.5. Nuclear Magnetic Resonance
3. Results and Discussion
3.1. Effects of Binary Solvent Composition
3.1.1. Optical Microscopy
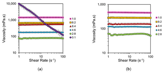
3.1.2. Rheology of Samples
3.2. Weight Percentage of Biopolymers in Optimal Solvent Systems
3.2.1. Optical Microscopy
3.2.2. Rheology
3.2.3. NMR
3.3. Preparation of Hybrid Solutions and Coagulated Films
4. Conclusions
Supplementary Materials
Author Contributions
Funding
Data Availability Statement
Acknowledgments
Conflicts of Interest
Abbreviations
| SF | Silk Fibroin |
| MCC | Micro-Crystalline Cellulose |
| DP | Degree of polymerisation |
| IL | Ionic Liquid |
| EmimAc | 1-ethyl-3-methylimidazolium acetate |
| DMSO | Dimethyl Sulphoxide |
| NMR | Nuclear Magnetic Resonance |
References
- Eom, J.; Park, S.; Jin, H.J.; Kwak, H.W. Multiscale Hybridization of Natural Silk–Nanocellulose Fibrous Composites With Exceptional Mechanical Properties. Front. Mater. 2020, 7, 98. [Google Scholar] [CrossRef]
- Baghaei, B.; Skrifvars, M. All-Cellulose Composites: A Review of Recent Studies on Structure, Properties and Applications. Molecules 2020, 25, 2836. [Google Scholar] [CrossRef] [PubMed]
- Ciobanu, L. Development of 3D Knitted Fabrics for Advanced Composite Materials In Advances in Composite Materials Ecodesign and Analysis; InTech: Houston, TX, USA, 2011. [Google Scholar]
- Cianci, C.; Chelazzi, D.; Poggi, G.; Modi, F.; Giorgi, R.; Laurati, M. Hybrid fibroin-nanocellulose composites for the consolidation of aged and historical silk. Colloids Surfaces A Physicochem. Eng. Asp. 2022, 634, 127944. [Google Scholar] [CrossRef]
- Kostag, M.; Jedvert, K.; Seoud, O.A.E. Engineering of sustainable biomaterial composites from cellulose and silk fibroin: Fundamentals and applications. Int. J. Biol. Macromol. 2021, 167, 687–718. [Google Scholar] [CrossRef]
- Victoria, A.; Ries, M.E.; Hine, P.J. Use of interleaved films to enhance the properties of all-cellulose composites. Compos. Part A Appl. Sci. Manuf. 2022, 160, 107062. [Google Scholar] [CrossRef]
- King, J.A.; Zhang, X.; Ries, M.E. The Formation of All-Silk Composites and Time–Temperature Superposition. Materials 2023, 16, 3804. [Google Scholar] [CrossRef]
- Mayank; Bardenhagen, A.; Sethi, V.; Gudwani, H. Spider-silk composite material for aerospace application. Acta Astronaut. 2022, 193, 704–709. [Google Scholar] [CrossRef]
- Khalil, H.P.A.; Bhat, A.H.; Yusra, A.F.I. Green composites from sustainable cellulose nanofibrils: A review. Carbohydr. Polym. 2012, 87, 963–979. [Google Scholar] [CrossRef]
- Squinca, P.; Bilatto, S.; Badino, A.C.; Farinas, C.S. The use of enzymes to isolate cellulose nanomaterials: A systematic map review. Carbohydr. Polym. Technol. Appl. 2022, 3, 100212. [Google Scholar] [CrossRef]
- Qi, Y.; Wang, H.; Wei, K.; Yang, Y.; Zheng, R.Y.; Kim, I.S.; Zhang, K.Q. A review of structure construction of silk fibroin biomaterials from single structures to multi-level structures. Int. J. Mol. Sci. 2017, 18, 237. [Google Scholar] [CrossRef]
- Seki, Y.; Selli, F.; Erdoğan, Ü; Atagür, M.; Özgür Seydibeyoğlu, M. A review on alternative raw materials for sustainable production: Novel plant fibers. Cellulose 2022, 29, 4877–4918. [Google Scholar] [CrossRef]
- Verma, C.; Mishra, A.; Chauhan, S.; Verma, P.; Srivastava, V.; Quraishi, M.A.; Ebenso, E.E. Dissolution of cellulose in ionic liquids and their mixed cosolvents: A review. Sustain. Chem. Pharm. 2019, 13, 100162. [Google Scholar] [CrossRef]
- Song, J.; Zhang, Q.; Quesada, F.D.; Rizvi, M.H.; Tracy, J.B.; Ilavsky, J.; Narayanan, S.; Gado, E.D.; Leheny, R.L.; Holten-Anderse, N.; et al. Microscopic dynamics underlying the stress relaxation of arrested soft materials. Proc. Natl. Acad. Sci. USA 2022, 119, e2201566119. [Google Scholar] [CrossRef] [PubMed]
- Gupta, K.M.; Jiang, J. Cellulose dissolution and regeneration in ionic liquids: A computational perspective. Chem. Eng. Sci. 2015, 121, 180–189. [Google Scholar] [CrossRef]
- Takada, A.; ichi Kadokawa, J. Preparation of cellulosic soft and composite materials using ionic liquid media and ion gels. Cellulose 2022, 29, 2745–2754. [Google Scholar] [CrossRef]
- Seoud, O.A.E.; Jedvert, K.; Kostag, M.; Possidonio, S. Cellulose, chitin and silk: The cornerstones of green composites. Emergent Mater. 2021, 5, 785–810. [Google Scholar] [CrossRef]
- Noishiki, Y.; Nishiyama, Y.; Wada, M.; Kuga, S.; Magoshi, J. Mechanical properties of silk fibroin-microcrystalline cellulose composite films. J. Appl. Polym. Sci. 2002, 86, 3425–3429. [Google Scholar] [CrossRef]
- Blessing, B.; Trout, C.; Morales, A.; Rybacki, K.; Love, S.A.; Lamoureux, G.; O’malley, S.M.; Hu, X.; la Cruz, D.S.D. The impact of composition and morphology on ionic conductivity of silk/cellulose bio-composites fabricated from ionic liquid and varying percentages of coagulation agents. Int. J. Mol. Sci. 2020, 21, 4695. [Google Scholar] [CrossRef]
- Wang, K.; Ma, Q.; Zhang, Y.M.; Han, G.T.; Qu, C.X.; Wang, S.D. Preparation of bacterial cellulose/silk fibroin double-network hydrogel with high mechanical strength and biocompatibility for artificial cartilage. Cellulose 2020, 27, 1845–1852. [Google Scholar] [CrossRef]
- Guzman-Puyol, S.; Heredia-Guerrero, J.A.; Ceseracciu, L.; Hajiali, H.; Canale, C.; Scarpellini, A.; Cingolani, R.; Bayer, I.S.; Athanassiou, A.; Mele, E. Low-Cost and Effective Fabrication of Biocompatible Nanofibers from Silk and Cellulose-Rich Materials. ACS Biomater. Sci. Eng. 2016, 2, 526–534. [Google Scholar] [CrossRef]
- Stanton, J.; Xue, Y.; Waters, J.C.; Lewis, A.; Cowan, D.; Hu, X.; de la Cruz, D.S. Structure–property relationships of blended polysaccharide and protein biomaterials in ionic liquid. Cellulose 2017, 24, 1775–1789. [Google Scholar] [CrossRef]
- Nagamine, R.; Kobayashi, K.; Kusumi, R.; Wada, M. Cellulose fiber biodegradation in natural waters: River water, brackish water, and seawater. Cellulose 2022, 29, 2917–2926. [Google Scholar] [CrossRef]
- Owens, C.E.; Du, J.; Sánchez, P.B. Understanding the Dynamics of Cellulose Dissolved in an Ionic Liquid Solvent Under Shear and Extensional Flows. Biomacromolecules 2022, 23, 1958–1969. [Google Scholar] [CrossRef]
- Love, S.A.; Hu, X.; de la Cruz, D.S. Controlling the structure and properties of semi-crystalline cellulose/silk-fibroin biocomposites by ionic liquid type and hydrogen peroxide concentration. Carbohydr. Polym. Technol. Appl. 2022, 3, 100193. [Google Scholar] [CrossRef]
- Holland, C.; Numata, K.; Rnjak-Kovacina, J.; Seib, F.P. The Biomedical Use of Silk: Past, Present, Future. Adv. Healthc. Mater. 2019, 8, e1800465. [Google Scholar] [CrossRef] [PubMed]
- Bai, F.; Dong, T.; Chen, W.; Wang, J.; Li, X. Nanocellulose hybrid lignin complex reinforces cellulose to form a strong, water-stable lignin–cellulose composite usable as a plastic replacement. Nanomaterials 2021, 11, 3426. [Google Scholar] [CrossRef]
- French, A.D. Glucose, not cellobiose, is the repeating unit of cellulose and why that is important. Cellulose 2017, 24, 4605–4609. [Google Scholar] [CrossRef]
- Nasir, M.; Hashim, R.; Sulaiman, O.; Asim, M. Nanocellulose: Preparation methods and applications. In Cellulose-Reinforced Nanofibre Composites: Production, Properties and Applications; Woodhead Publishing: Sawston, UK, 2017; pp. 261–276. [Google Scholar] [CrossRef]
- Azimi, B.; Maleki, H.; Gigante, V.; Bagherzadeh, R.; Mezzetta, A.; Milazzo, M.; Guazzelli, L.; Cinelli, P.; Lazzeri, A.; Danti, S. Cellulose-Based Fiber Spinning Processes Using Ionic Liquids; Springer: Dordrecht, The Netherlands, 2022; Volume 29, pp. 3079–3129. [Google Scholar] [CrossRef]
- Wang, Y.; Deng, Y. The kinetics of cellulose dissolution in sodium hydroxide solution at low temperatures. Biotechnol. Bioeng. 2009, 102, 1398–1405. [Google Scholar] [CrossRef]
- Gericke, M.; Schlufter, K.; Liebert, T.; Heinze, T.; Budtova, T. Rheological properties of cellulose/ionic liquid solutions: From dilute to concentrated states. Biomacromolecules 2009, 10, 1188–1194. [Google Scholar] [CrossRef]
- Lefroy, K.S.; Murray, B.S.; Ries, M.E. Rheological and NMR Studies of Cellulose Dissolution in the Ionic Liquid BmimAc. J. Phys. Chem. B 2021, 125, 8205–8218. [Google Scholar] [CrossRef]
- Gondhalekar, S.C.; Pawar, P.J.; Dhumal, S.S.; Thakre, S. Fate of CS2 in viscose process: A chemistry perspective. Cellulose 2022, 29, 1451–1461. [Google Scholar] [CrossRef]
- Xi, Y.; Zhang, L.; Tian, Y.; Song, J.; Ma, J.; Wang, Z. Rapid dissolution of cellulose in an AlCl3/ZnCl2aqueous system at room temperature and its versatile adaptability in functional materials. Green Chem. 2022, 24, 885–897. [Google Scholar] [CrossRef]
- Li, X.; Li, H.; You, T.; Chen, X.; Ramaswamy, S.; Wu, Y.Y.; Xu, F. Enhanced Dissolution of Cotton Cellulose in 1-Allyl-3-methylimidazolium Chloride by the Addition of Metal Chlorides. ACS Sustain. Chem. Eng. 2019, 7, 19176–19184. [Google Scholar] [CrossRef]
- Plechkova, N.V.; Seddon, K.R. Applications of ionic liquids in the chemical industry. Chem. Soc. Rev. 2008, 37, 123–150. [Google Scholar] [CrossRef] [PubMed]
- Brehm, M.; Radicke, J.; Pulst, M.; Shaabani, F.; Sebastiani, D.; Kressler, J. Dissolving cellulose in 1,2,3-triazolium-and imidazolium-based ionic liquids with aromatic anions. Molecules 2020, 25, 3539. [Google Scholar] [CrossRef] [PubMed]
- Sharma, G.; Kato, Y.; Hachisu, A.; Ishibashi, K.; Ninomiya, K.; Takahashi, K.; Hirata, E.; Kuroda, K. Synthesis of a cellulose dissolving liquid zwitterion from general and low-cost reagents. Cellulose 2022, 29, 3017–3024. [Google Scholar] [CrossRef]
- Lindman, B.; Karlstrom, G.; Stigsson, L. On the mechanism of dissolution of cellulose. J. Mol. Liq. 2010, 156, 76–81. [Google Scholar] [CrossRef]
- Ren, F.; Wang, J.; Yu, J.; Zhong, C.; Xie, F.; Wang, S. Dissolution of Cellulose in Ionic Liquid-DMSO Mixtures: Roles of DMSO/IL Ratio and the Cation Alkyl Chain Length. ACS Omega 2021, 6, 27225–27232. [Google Scholar] [CrossRef]
- Tomimatsu, Y.; Suetsugu, H.; Yoshimura, Y.; Shimizu, A. The solubility of cellulose in binary mixtures of ionic liquids and dimethyl sulfoxide: Influence of the anion. J. Mol. Liq. 2019, 279, 120–126. [Google Scholar] [CrossRef]
- Hawkins, J.E.; Liang, Y.; Ries, M.E.; Hine, P.J. Time temperature superposition of the dissolution of cellulose fibres by the ionic liquid 1-ethyl-3-methylimidazolium acetate with cosolvent dimethyl sulfoxide. Carbohydr. Polym. Technol. Appl. 2021, 2, 100021. [Google Scholar] [CrossRef]
- Zajáros, A.; Szita, K.; Matolcsy, K.; Horváth, D. Life cycle sustainability assessment of DMSO solvent recovery from hazardous waste water. Period. Polytech. Chem. Eng. 2018, 62, 305–309. [Google Scholar] [CrossRef]
- Velioglu, S.; Yao, X.; Devémy, J.; Ahunbay, M.G.; Tantekin-Ersolmaz, S.B.; Dequidt, A.; Gomes, M.F.C.; Pádua, A.A. Solvation of a cellulose microfibril in imidazolium acetate ionic liquids: Effect of a cosolvent. J. Phys. Chem. B 2014, 118, 14860–14869. [Google Scholar] [CrossRef] [PubMed]
- Radhi, A.; Le, K.A.; Ries, M.E.; Budtova, T. Macroscopic and microscopic study of 1-ethyl-3-methyl-imidazolium acetate-DMSO mixtures. J. Phys. Chem. B 2015, 119, 1633–1640. [Google Scholar] [CrossRef]
- Roos, E.; Gradaus, C.; Sebastiani, D.; Brehm, M. A force field for the solubility of cellulose in DMSO/Ionic liquids. Cellulose 2024, 31, 4793–4815. [Google Scholar] [CrossRef]
- Lv, Y.; Wu, J.; Zhang, J.; Niu, Y.; Liu, C.Y.; He, J.; Zhang, J. Rheological properties of cellulose/ionic liquid/dimethylsulfoxide (DMSO) solutions. Polymer 2012, 53, 2524–2531. [Google Scholar] [CrossRef]
- Yao, Y.; Mukuze, K.S.; Zhang, Y.; Wang, H. Rheological behavior of cellulose/silk fibroin blend solutions with ionic liquid as solvent. Cellulose 2014, 21, 675–684. [Google Scholar] [CrossRef]
- Yao, Y.; Yan, Z.; Li, Z.; Zhang, Y.; Wang, H. Viscoelastic behavior and sol-gel transition of cellulose/silk fibroin/1-butyl-3-methylimidazolium chloride extended from dilute to concentrated solutions. Polym. Eng. Sci. 2018, 58, 1931–1936. [Google Scholar] [CrossRef]
- Seoud, O.A.; Kostag, M.; Possidonio, S.; Dignani, M.T.; Pires, P.A.; Lourenço, M.C. Dissolution of silk fibroin in mixtures of ionic liquids and dimethyl sulfoxide: On the relative importance of temperature and binary solvent composition. Polymers 2022, 14, 13. [Google Scholar] [CrossRef]
- DeFrates, K.; Markiewicz, T.; Callaway, K.; Xue, Y.; Stanton, J.; de la Cruz, D.S.; Hu, X. Structure–property relationships of Thai silk–microcrystalline cellulose biocomposite materials fabricated from ionic liquid. Int. J. Biol. Macromol. 2017, 104, 919–928. [Google Scholar] [CrossRef]
- Zhou, L.; Wang, Q.; Wen, J.; Chen, X.; Shao, Z. Preparation and characterization of transparent silk fibroin/cellulose blend films. Polymer 2013, 54, 5035–5042. [Google Scholar] [CrossRef]
- Le, K.A.; Sescousse, R.; Budtova, T. Influence of water on cellulose-EMIMAc solution properties: A viscometric study. Cellulose 2012, 19, 45–54. [Google Scholar] [CrossRef]
- Olsson, C.; Idström, A.; Nordstierna, L.; Westman, G. Influence of water on swelling and dissolution of cellulose in 1-ethyl-3-methylimidazolium acetate. Carbohydr. Polym. 2014, 99, 438–446. [Google Scholar] [CrossRef] [PubMed]
- Lovell, C.S.; Walker, A.; Damion, R.A.; Radhi, A.; Tanner, S.F.; Budtova, T.; Ries, M.E. Influence of cellulose on ion diffusivity in 1-ethyl-3-methyl-imidazolium acetate cellulose solutions. Biomacromolecules 2010, 11, 2927–2935. [Google Scholar] [CrossRef] [PubMed]
- Zhao, Y.; Gao, S.; Wang, J.; Tang, J. Aggregation of ionic liquids [Cnmim]Br (n = 4, 6, 8, 10, 12) in D2O: A NMR study. J. Phys. Chem. B 2008, 112, 2031–2039. [Google Scholar] [CrossRef] [PubMed]
- Zhang, J.; Zhang, H.; Wu, J.; Zhang, J.; He, J.; Xiang, J. NMR spectroscopic studies of cellobiose solvation in EmimAc aimed to understand the dissolution mechanism of cellulose in ionic liquids. Phys. Chem. Chem. Phys. 2010, 12, 1648. [Google Scholar] [CrossRef]
- Zhang, C.; Chen, X.; Shao, Z. Sol-Gel Transition of Regenerated Silk Fibroins in Ionic Liquid/Water Mixtures. ACS Biomater. Sci. Eng. 2016, 2, 12–18. [Google Scholar] [CrossRef]
- Shang, S.; Zhu, L.; Fan, J. Physical properties of silk fibroin/cellulose blend films regenerated from the hydrophilic ionic liquid. Carbohydr. Polym. 2011, 86, 462–468. [Google Scholar] [CrossRef]
- Keppeler, N.; Pires, P.A.R.; Freitas, J.L.S.; Seoud, O.A.E. Cellulose dissolution in mixtures of ionic liquids and molecular solvents: The fruitful synergism of experiment and theory. J. Mol. Liq. 2023, 386, 122490. [Google Scholar] [CrossRef]
- Liang, Y.; Hawkins, J.E.; Ries, M.E.; Hine, P.J. Dissolution of cotton by 1-ethyl-3-methylimidazolium acetate studied with time–temperature superposition for three different fibre arrangements. Cellulose 2021, 28, 715–727. [Google Scholar] [CrossRef]
- Sescousse, R.; Le, K.A.; Ries, M.E.; Budtova, T. Viscosity of cellulose-imidazolium-based ionic liquid solutions. J. Phys. Chem. B 2010, 114, 7222–7228. [Google Scholar] [CrossRef]
- Zhang, X.; Ries, M.E.; Hine, P.J. Time-Temperature Superposition of the Dissolution of Silk Fibers in the Ionic Liquid 1-Ethyl-3-methylimidazolium Acetate. Biomacromolecules 2021, 22, 1091–1101. [Google Scholar] [CrossRef]
- Harris, D.C. Nonlinear least-squares curve fitting with microsoft excel solver. J. Chem. Educ. 1998, 75, 119–121. [Google Scholar] [CrossRef]
- Zhao, Y.; Liu, X.; Wang, J.; Zhang, S. Insight into the cosolvent effect of cellulose dissolution in imidazolium-based ionic liquid systems. J. Phys. Chem. B 2013, 117, 9042–9049. [Google Scholar] [CrossRef] [PubMed]
- Zhang, L.; Huang, C.; Zhang, C.; Pan, H. Swelling and dissolution of cellulose in binary systems of three ionic liquids and three co-solvents. Cellulose 2021, 28, 4643–4653. [Google Scholar] [CrossRef]
- Cuissinat, C.; Navard, P. Swelling and dissolution of cellulose, Part III: Plant fibres in aqueous systems. Cellulose 2008, 15, 67–74. [Google Scholar] [CrossRef]
- Phillips, D.M.; Drummy, L.F.; Conrady, D.G.; Fox, D.M.; Naik, R.R.; Stone, M.O.; Trulove, P.C.; Long, H.C.D.; Mantz, R.A. Dissolution and regeneration of Bombyx mori silk fibroin using ionic liquids. J. Am. Chem. Soc. 2004, 126, 14350–14351. [Google Scholar] [CrossRef]
- Koide, M.; Wataoka, I.; Urakawa, H.; Kajiwara, K.; Henniges, U.; Rosenau, T. Intrinsic characteristics of cellulose dissolved in an ionic liquid: The shape of a single cellulose molecule in solution. Cellulose 2019, 26, 2233–2242. [Google Scholar] [CrossRef]
- Endo, T.; Hosomi, S.; Fujii, S.; Ninomiya, K.; Takahashi, K. Nano-structural investigation on cellulose highly dissolved in ionic liquid: A small angle X-ray scattering study. Molecules 2017, 22, 178. [Google Scholar] [CrossRef]
- Napso, S.; Rein, D.M.; Khalfin, R.; Cohen, Y. Semidilute solution structure of cellulose in an ionic liquid and its mixture with a polar organic co-solvent studied by small-angle X-ray scattering. J. Polym. Sci. Part B Polym. Phys. 2017, 55, 888–894. [Google Scholar] [CrossRef]
- Lu, F.; Wang, L.; Zhang, C.; Cheng, B.; Liu, R.; Huang, Y. Influence of temperature on the solution rheology of cellulose in 1-ethyl-3-methylimidazolium chloride/dimethyl sulfoxide. Cellulose 2015, 22, 3077–3087. [Google Scholar] [CrossRef]
- Bering, E.; Torstensen, J.; Lervik, A.; de Wijn, A.S. Computational study of the dissolution of cellulose into single chains: The role of the solvent and agitation. Cellulose 2022, 29, 1365–1380. [Google Scholar] [CrossRef]
- Müller-Plathe, F. Coarse-graining in polymer simulation: From the atomistic to the mesoscopic scale and back. ChemPhysChem 2002, 3, 754–769. [Google Scholar] [CrossRef]
- Lee, J.M.; Kim, J.H.; Lee, O.J.; Park, C.H. The fixation effect of a silk fibroin-bacterial cellulose composite plate in segmental defects of the zygomatic arch: An experimental study. JAMA Otolaryngol. Head Neck Surg. 2013, 139, 629–635. [Google Scholar] [CrossRef] [PubMed]
- Tandon, S.; Kandasubramanian, B.; Ibrahim, S.M. Silk-Based Composite Scaffolds for Tissue Engineering Applications. Ind. Eng. Chem. Res. 2020, 59, 17593–17611. [Google Scholar] [CrossRef]
- Ang-atikarnkul, P.; Watthanaphanit, A.; Rujiravanit, R. Fabrication of cellulose nanofiber/chitin whisker/silk sericin bionanocomposite sponges and characterizations of their physical and biological properties. Compos. Sci. Technol. 2014, 96, 88–96. [Google Scholar] [CrossRef]
- Chen, Z.J.; Zhang, Y.; Zheng, L.; Zhang, H.; Shi, H.H.; Zhang, X.C.; Liu, B. Mineralized self-assembled silk fibroin/cellulose interpenetrating network aerogel for bone tissue engineering. Mater. Sci. Eng. C 2021, 134, 112549. [Google Scholar] [CrossRef]
- Wang, Z.; Liu, J.; Zhang, J.; Hao, S.; Duan, X.; Song, H.; Zhang, J. Novel chemically cross-linked chitosan-cellulose based ionogel with self-healability, high ionic conductivity, and high thermo-mechanical stability. Cellulose 2020, 27, 5121–5133. [Google Scholar] [CrossRef]






| E:D | 1 h | 2 h | 4 h | 24 h | 48 h |
|---|---|---|---|---|---|
| 1:0 | ![]() | ![]() | ![]() | ![]() | ![]() |
| 8:2 | ![]() | ![]() | ![]() | ![]() | |
| 6:4 | ![]() | ![]() | ![]() | ![]() | |
| 4:6 | ![]() | ![]() | ![]() | ||
| 2:8 | ![]() | ![]() | |||
| 0:1 | ![]() | ![]() | ![]() | ![]() | ![]() |
| E:D | 1 h | 2 h | 4 h | 24 h | 48 h |
|---|---|---|---|---|---|
| 1:0 | ![]() | ![]() | ![]() | ![]() | ![]() |
| 8:2 | ![]() | ![]() | ![]() | ![]() | ![]() |
| 6:4 | ![]() | ![]() | ![]() | ![]() | ![]() |
| 4:6 | ![]() | ![]() | ![]() | ![]() | ![]() |
| 2:8 | ![]() | ![]() | ![]() | ![]() | ![]() |
| 0:1 | ![]() | ![]() | ![]() | ![]() | ![]() |
| Biopolymer Solute | Temperature/°C | R2 | |
|---|---|---|---|
| 10 wt% Cellulose | 100 | 0.31 ± 0.01 | 0.88 |
| 10 wt% SF | 100 | 0.44 ± 0.01 | 0.95 |
| None | 100 | 0.49 ± 0.01 | 0.91 |
| None | 25 | 0.15 | 0.99 |
| Weight Percentage of Cellulose in Solution | |||
|---|---|---|---|
| 0 wt% | 5 wt% | 9 wt% | 10 wt% |
![]() | ![]() | ![]() | ![]() |
| 11 wt% | 15 wt% | 20 wt% | |
![]() | ![]() | ![]() | |
| Weight Percentage of Silk Fibroin in Solution | |||
|---|---|---|---|
| 0 wt% | 5 wt% | 9 wt% | 10 wt% |
![]() | ![]() | ![]() | ![]() |
| 11 wt% | 15 wt% | 20 wt% | |
![]() | ![]() | ![]() | |
Disclaimer/Publisher’s Note: The statements, opinions and data contained in all publications are solely those of the individual author(s) and contributor(s) and not of MDPI and/or the editor(s). MDPI and/or the editor(s) disclaim responsibility for any injury to people or property resulting from any ideas, methods, instructions or products referred to in the content. |
© 2024 by the authors. Licensee MDPI, Basel, Switzerland. This article is an open access article distributed under the terms and conditions of the Creative Commons Attribution (CC BY) license (https://creativecommons.org/licenses/by/4.0/).
Share and Cite
King, J.A.; Hine, P.J.; Baker, D.L.; Ries, M.E. Understanding the Dissolution of Cellulose and Silk Fibroin in 1-ethyl-3-methylimidazolium Acetate and Dimethyl Sulphoxide for Application in Hybrid Films. Materials 2024, 17, 5262. https://doi.org/10.3390/ma17215262
King JA, Hine PJ, Baker DL, Ries ME. Understanding the Dissolution of Cellulose and Silk Fibroin in 1-ethyl-3-methylimidazolium Acetate and Dimethyl Sulphoxide for Application in Hybrid Films. Materials. 2024; 17(21):5262. https://doi.org/10.3390/ma17215262
Chicago/Turabian StyleKing, James A., Peter J. Hine, Daniel L. Baker, and Michael E. Ries. 2024. "Understanding the Dissolution of Cellulose and Silk Fibroin in 1-ethyl-3-methylimidazolium Acetate and Dimethyl Sulphoxide for Application in Hybrid Films" Materials 17, no. 21: 5262. https://doi.org/10.3390/ma17215262
APA StyleKing, J. A., Hine, P. J., Baker, D. L., & Ries, M. E. (2024). Understanding the Dissolution of Cellulose and Silk Fibroin in 1-ethyl-3-methylimidazolium Acetate and Dimethyl Sulphoxide for Application in Hybrid Films. Materials, 17(21), 5262. https://doi.org/10.3390/ma17215262




































































